Identification of Variables and Determination of the Mechanism Affecting the Effective Properties of Representative Volume Elements of Unidirectionally Aligned CNT-Based Nanocomposites
Abstract
1. Introduction
2. Nanocomposite Modeling Using Monte Carlo Simulations
3. Results and Discussion
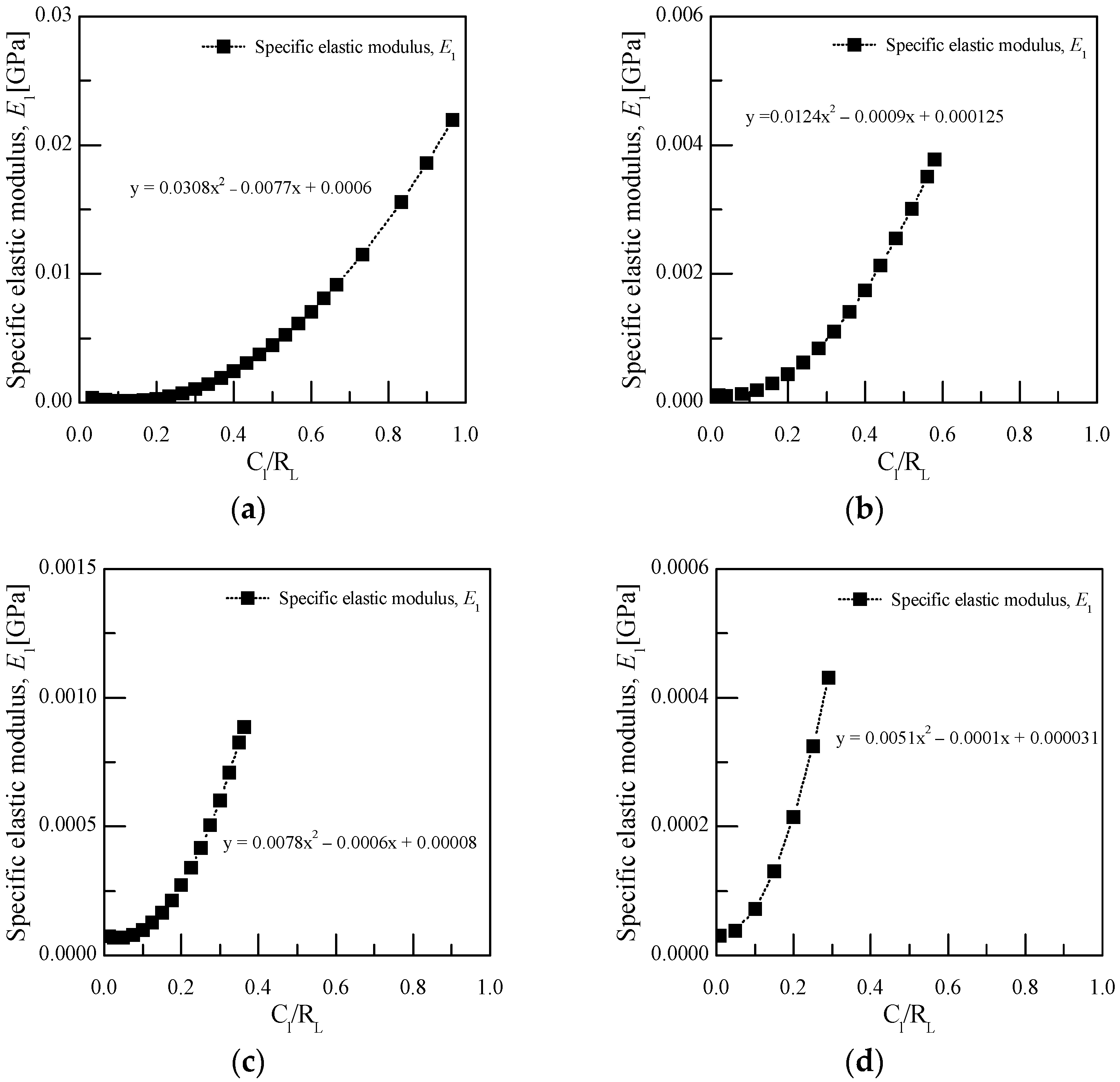
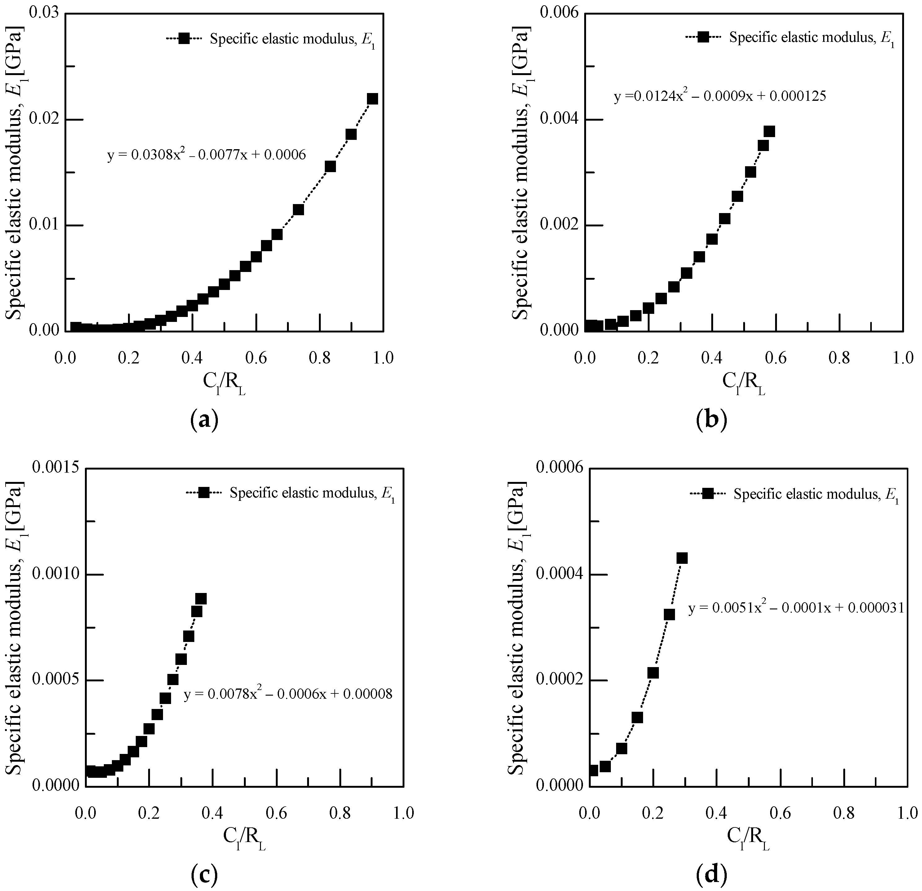
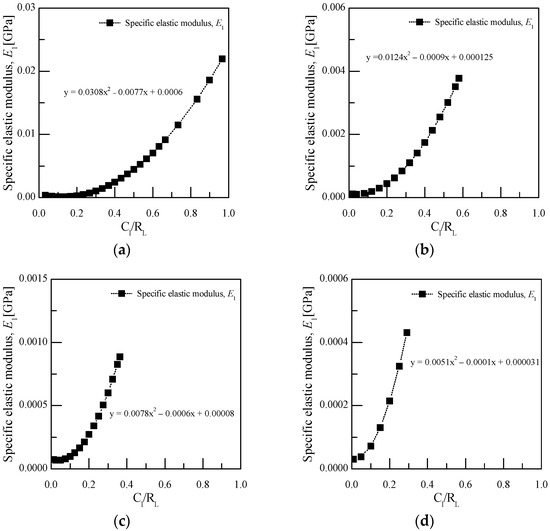
3.1. Analysis of the Variation Mechanism According to the Relationship between the CNT and RVE Lengths
3.2. Analysis of the Variation in Effective Properties According to the RVE Length
4. Conclusions
- Finite element models of nanocomposite RVEs inside which one CNT filament was arranged inside the RVE were created, and their effective properties were calculated.
- An equation for analyzing the interaction between the CNT length fraction and RVE length was presented, using which the effective properties of unidirectionally aligned nanocomposite RVEs were calculated.
- The interaction between the CNT length fraction and RVE length was analyzed via Monte Carlo simulations, and the CNT length fraction that yielded the greatest influence on the effective properties of the RVE was obtained.
- Using the geometrical relationship between the RVE and CNTs, a simplified two-parameter equation that can calculate the effective properties of the RVE was derived.
- As the RVE increased, it was confirmed that the effective properties converge to a certain value, but only up to 10 μm RVE due to the limitation of H/W. Therefore, there is a need for further studies by expanding the size of the RVE.
- In this study, the orientation tensors of CNTs were placed only along the x-axis. In future studies, analysis of the various orientation tensors of CNTs is also required.
Author Contributions
Funding
Institutional Review Board Statement
Informed Consent Statement
Data Availability Statement
Conflicts of Interest
References
- Toozandehjani, M.; Kamarudin, N.; Dashtizadeh, Z.; Lim, E.Y.; Gomes, A.; Gomes, C. Conventional and advanced composites in aerospace industry: Technologies revisited. Am. J. Aerosp. Eng. 2018, 5, 9–15. [Google Scholar] [CrossRef]
- Zhang, S.; Hao, A.; Nguyen, N.; Oluwalowo, A.; Liu, Z.; Dessureault, Y.; Liang, R. Carbon nanotube/carbon composite fiber with improved strength and electrical conductivity via interface engineering. Carbon 2019, 144, 628–638. [Google Scholar] [CrossRef]
- Lee, S.P.; Jin, J.W.; Kang, K.W. Probabilistic analysis for mechanical properties of glass/epoxy composites using homogenization method and Monte Carlo simulation. Renew. Energy 2014, 65, 219–226. [Google Scholar] [CrossRef]
- Han, X.; Xu, C.; Xie, W.; Meng, S. Multiscale computational homogenization of woven composites from microscale to mesoscale using data-driven self-consistent clustering analysis. Compos. Struct. 2019, 220, 760–768. [Google Scholar] [CrossRef]
- Basavanahalli, R. Finite Element Modeling of Carbon Nanotube Reinforced Polymer Composites and Evaluating Its Thermal Conductivities; The University of Texas: Austin, TX, USA, 2007. [Google Scholar]
- Grabowski, K.; Zbyrad, P.; Uhl, T.; Staszewski, W.J.; Packo, P. Multiscale electro-mechanical modeling of carbon nanotube composites. Comput. Mater. Sci. 2017, 135, 169–180. [Google Scholar] [CrossRef]
- Hu, A.; Li, X.; Ajdari, A.; Jiang, B.; Burkhart, C.; Chen, W.; Brinson, L.C. Computational analysis of particle reinforced viscoelastic polymer nanocomposites–statistical study of representative volume element. J. Mech. Phys. Solids 2018, 114, 55–74. [Google Scholar] [CrossRef]
- Rafiee, R.; Firouzbakht, V. Stochastic Multiscale Modeling of CNT/Polymer. In Carbon Nanotube-Reinforced Polymers; Elsevier: Amsterdam, The Netherlands, 2018; pp. 503–520. [Google Scholar]
- Naili, C.; Doghri, I.; Kanit, T.; Sukiman, M.S.; Aissa-Berraies, A.; Imad, A. Short fiber reinforced composites: Unbiased full-field evaluation of various homogenization methods in elasticity. Compos. Sci. Technol. 2020, 187, 107942. [Google Scholar] [CrossRef]
- Wan, H.; Delale, F.; Shen, L. Effect of CNT length and CNT-matrix interphase in carbon nanotube (CNT) reinforced composites. Mech. Res. Commun. 2005, 32, 481–489. [Google Scholar] [CrossRef]
- Mamanpush, H.; Golestanian, H. Effects of carbon nanotube dispersion on the mechanical properties of nanocomposites considering interface effect. Int. J. Curr. Life Sci. 2014, 4, 4366–4373. [Google Scholar]
- Shaffiar, N.M.; Hasnan, M.A.; Anuar, H.; Al Hazza, M.H.F. Finite element analysis of HDPE/EPR-CNT nanocomposite under tensile loading. Adv. Mater. Res. 2015, 1115, 410–413. [Google Scholar] [CrossRef]
- Savvas, D.; Stefanou, G.; Papadopoulos, V.; Papadrakakis, M. Effect of waviness and orientation of carbon nanotubes on random apparent material properties and RVE size of CNT reinforced composites. Compos. Struct. 2016, 152, 870–882. [Google Scholar] [CrossRef]
- Tahouneh, V.; Mashhadi, M.M.; Naei, M.H. Finite element and micromechanical modeling for investigating effective material properties of polymer–matrix nanocomposites with microfiber, reinforced by CNT arrays. Int. J. Adv. Struct. Eng. 2016, 8, 297–306. [Google Scholar] [CrossRef][Green Version]
- Bhuiyan, M.A.; Pucha, R.V.; Kalaitzidou, K. 3D RVE Models able to capture and Quantify the Dispersion, agglomeration, and Orientation state of CNT in CNT/PP nanocomposites. Front. Mater. 2016, 3, 2. [Google Scholar] [CrossRef]
- Malagù, M.; Goudarzi, M.; Lyulin, A.; Benvenuti, E.; Simone, A. Diameter-dependent elastic properties of carbon nanotube-polymer composites: Emergence of size effects from atomistic-scale simulations. Compos. Part B Eng. 2017, 131, 260–281. [Google Scholar] [CrossRef]
- Bhowmik, K.; Kumar, P.; Khutia, N.; Chowdhury, A.R. Evaluation of Directional Strength of SWCNT Reinforced Nanocomposites: A Finite Element Study. Mater. Today Proc. 2018, 5, 20528–20534. [Google Scholar] [CrossRef]
- Sanei, S.H.R.; Doles, R.; Ekaitis, T. Effect of nanocomposite microstructure on stochastic elastic properties: An finite element analysis study. ASCE-ASME J. Risk Uncertain. Eng. Syst. Part B Mech. Eng. 2019, 5, 30903. [Google Scholar] [CrossRef]
- Chen, X.L.; Liu, Y.J. Square representative volume elements for evaluating the effective material properties of carbon nanotube-based composites. Comput. Mater. Sci. 2004, 29, 1–11. [Google Scholar] [CrossRef]
- Araújo, F.C.D.; d’Azevedo, E.F.; Gray, L.J. Boundary-element parallel-computing algorithm for the microstructural analysis of general composites. Comput. Struct. 2010, 88, 773–784. [Google Scholar] [CrossRef][Green Version]
- Moghaddam, F.; Ghavanloo, E.; Fazelzadeh, S.A. Effect of carbon nanotube geometries on mechanical properties of nanocomposite via nanoscale representative volume element. J. Solid Mech. 2016, 8, 568–577. [Google Scholar]
- Alian, A.R.; Meguid, S.A. Large-scale atomistic simulations of CNT-reinforced thermoplastic polymers. Compos. Struct. 2018, 191, 221–230. [Google Scholar] [CrossRef]
- Weidt, D.; Figiel, L. Finite strain compressive behaviour of CNT/epoxy nanocomposites: 2D versus 3D RVE-based modelling. Comput. Mater. Sci. 2014, 82, 298–309. [Google Scholar] [CrossRef]
- Song, W.; Krishnaswamy, V.; Pucha, R.V. Computational homogenization in RVE models with material periodic conditions for CNT polymer composites. Compos. Struct. 2016, 137, 9–17. [Google Scholar] [CrossRef]
- Suzuki, K.; Kikuchi, N. A homogenization method for shape and topology optimization. Comput. Methods Appl. Mech. Eng. 1991, 93, 291–318. [Google Scholar] [CrossRef]
- Zio, E. Monte carlo simulation: The method. In The Monte Carlo Simulation Method for System Reliability and Risk Analysis; Springer: New York, NY, USA, 2013; pp. 19–58. [Google Scholar]















| MWNT | PVDF | |
|---|---|---|
| Density ( ) | 2.6 | 1.78 |
| Young’s modulus (GPa) | 940 | 2 |
| Poisson’s ratio | 0.20 | 0.34 |
Publisher’s Note: MDPI stays neutral with regard to jurisdictional claims in published maps and institutional affiliations. |
© 2022 by the authors. Licensee MDPI, Basel, Switzerland. This article is an open access article distributed under the terms and conditions of the Creative Commons Attribution (CC BY) license (https://creativecommons.org/licenses/by/4.0/).
Share and Cite
Choi, C.-W.; Kang, K.-W.; Jin, J.-W. Identification of Variables and Determination of the Mechanism Affecting the Effective Properties of Representative Volume Elements of Unidirectionally Aligned CNT-Based Nanocomposites. Appl. Sci. 2022, 12, 4000. https://doi.org/10.3390/app12084000
Choi C-W, Kang K-W, Jin J-W. Identification of Variables and Determination of the Mechanism Affecting the Effective Properties of Representative Volume Elements of Unidirectionally Aligned CNT-Based Nanocomposites. Applied Sciences. 2022; 12(8):4000. https://doi.org/10.3390/app12084000
Chicago/Turabian StyleChoi, Chan-Woong, Ki-Weon Kang, and Ji-Won Jin. 2022. "Identification of Variables and Determination of the Mechanism Affecting the Effective Properties of Representative Volume Elements of Unidirectionally Aligned CNT-Based Nanocomposites" Applied Sciences 12, no. 8: 4000. https://doi.org/10.3390/app12084000
APA StyleChoi, C.-W., Kang, K.-W., & Jin, J.-W. (2022). Identification of Variables and Determination of the Mechanism Affecting the Effective Properties of Representative Volume Elements of Unidirectionally Aligned CNT-Based Nanocomposites. Applied Sciences, 12(8), 4000. https://doi.org/10.3390/app12084000
