Abstract
The fluctuation of groundwater causes a change in the groundwater environment and then affects the migration and transformation of pollutants. To study the influence of water level fluctuations on nitrogen migration and transformation, physical experiments on the nitrogen migration and transformation process in the groundwater level fluctuation zone were carried out. A numerical model of nitrogen migration in the Vadose zone and the saturated zone was constructed by using the software HydrUS-1D. The correlation coefficient and the root mean square error of the model show that the model fits well. The numerical model is used to predict nitrogen migration and transformation in different water level fluctuation scenarios. The results show that, compared with the fluctuating physical experiment scenario, when the fluctuation range of the water level increases by 5 cm, the fluctuation range of the nitrogen concentration in the coarse sand, medium sand and fine sand media increases by 37.52%, 31.40% and 21.14%, respectively. Additionally, when the fluctuation range of the water level decreases by 5 cm, the fluctuation range of the nitrogen concentration in the coarse sand, medium sand and fine sand media decreases by 36.74%, 14.70% and 9.39%, respectively. The fluctuation of nitrogen concentration varies most significantly with the amplitude of water level fluctuations in coarse sand; the change in water level has the most significant impact on the flux of nitrate nitrogen and has little effect on the change in nitrite nitrogen and ammonium nitrogen, and the difference in fine sand is the most obvious, followed by medium sand, and the difference in coarse sand is not great.
1. Introduction
Due to industry [1,2], agriculture [3,4], life [5], aquaculture [6], atmospheric deposition [7] and other factors, the groundwater in many countries and regions around the world are affected by nitrogen pollution, including the United States [8], China [9], the United Kingdom [10], South Korea [11] and other countries with severe pollution. In 2005, 34.1% of 1139 groundwater samples in northern China failed to meet World Health Organization (WHO) criteria. [12]. Currently, China has become one of the countries with the highest nitrogen fertilizer used in the world [13]. Nitrate from nitrogen may rapidly leach into groundwater, affecting the ecology and human health [14]. Wild et al. concluded that even if nitrate input is significantly reduced in the future, it will take decades to significantly reduce nitrate concentrations in porous aquifers through denitrification [15]. In 2000, the Water Framework Directive to bring water bodies to good chemical and ecological status by 2027 was issued [16]. Therefore, how to scientifically understand the nitrogen migration and transformation patterns under fluctuating groundwater level conditions has become one of the hot issues in the field of environmental research.
During groundwater level fluctuations, soluble substances in the aquifer medium are gradually dissolved into the groundwater, thus changing the chemical composition of the groundwater [17]. Guo Huaming et al. [18] studied the influencing factors of arsenic enrichment in groundwater, and the results showed that a high pH was unfavorable to the adsorption of arsenic in the form of anions by the aquifer medium. In their study, Sorensen J et al. [19] found that chemical and biological contaminants near the surface were transported to groundwater with minimal attenuation. Water level fluctuations also have a significant effect on nitrogen. Hefting M et al. [20] selected 13 riparian sites to analyze nitrogen cycling processes and confirmed a direct positive correlation between denitrification and elevated water table levels. Heather L. Welch et al. [21] analyzed and found that nitrate-N is weakened by denitrification during downward transport using redox sensitivity metrics at the water table without a location in the vertical direction. Jurado A et al. [22] concluded that the accumulation of N2O in groundwater is also mainly due to denitrification and, to a lesser extent, nitrification. Yang L.P. et al. [23] conducted indoor soil column experiments to study the effect of pH on nitrogen transport and transformation processes and showed that pH 6.5 was the most efficient for the removal of “tri-nitrogen” in the optimal pH range for adsorption nitrification and denitrification. The authors in [24] analyzed the effect of water level fluctuation on nitrogen transformation by simulating aerobic, anoxic and anaerobic zones, and the results showed that denitrification played the greatest role in the anaerobic zone.
Groundwater level fluctuations significantly affect the migration and transformation of groundwater pollutants [25,26,27,28,29]. Scholars at home and abroad have conducted studies on groundwater level fluctuations. Most of their research focuses on the migration and transformation processes of soil salinity, iron, manganese, arsenic, iodin, benzene and other characteristic components when subjected to water level fluctuations, etc. [18,30,31]. Davis et al. [32] studied the changes of organic matter and oxygen at the fluctuation of water level, and the results showed that BTEX and oxygen concentration showed a relationship between this and that near the water level, and the main reason for oxygen reduction was due to microbial degradation. Kamon et al. [33] conducted an experimental and numerical study of the migration of LNAPL with water level fluctuations and showed that the entry and displacement pressures were greater for the air-water system than for the LNAPL-water system. Xiaoxi Xie et al. [34] analyzed the hysteresis relationship between saturation and the capillary pressure in a medium under the water table fluctuation conditions during alternating drying and wetting processes, and the results demonstrated that when the initial water saturation of the drying process is similar, the greater the initial water saturation of the wetting process, the degree of hysteresis gradually decreases. Xiang Li et al. [35] analyzed and verified that groundwater level fluctuations affected the physicochemical properties of soil-water bodies and further affected the movement of nitrate in soil solids.
Research on the mechanisms of solute migration and transformation in the fluctuation zone of groundwater level, mainly through technical methods, such as field investigation, indoor experiments, theoretical analysis and numerical simulation, was conducted to predict the temporal and spatial distribution characteristics of solute pollution. Chen et al. [36] found through field experiments, that the depth of shallow groundwater has more influence on the nitrogen concentration in shallow groundwater than other factors. Zhang Dan et al. [27] conducted on-site monitoring of plots at different altitudes for a year. They found that the fluctuation of shallow groundwater levels significantly affected the soil profile and the nitrogen concentration of shallow groundwater. Farnsworth et al. [37] established an indoor soil column experiment, using a set of 1.3 m quartz sand columns inoculated with microorganisms, and changing the water level in the sand column every 30~50 h to simulate the periodic production wells of production wells and groundwater caused by the cessation of mining and the influence of the level fluctuation on the oxidation of manganese—the content of manganese increases as the water level drops, and decreases as the water levels rise. Yang Yang [38] studied the influence of the groundwater level rise and fall on the migration of cadmium, and argued that the rise and fall in the water level mainly affect the transport of cadmium ions through convection. Zhang Xuejing et al. [39] used inverse distance weighting (IDW) interpolation and the water chemistry Piper graphic method to analyze the response relationship between the groundwater chemistry characteristics and the depth of the water level in the Ejina Oasis after the ecological water transport (2001–2017). Cao Wengeng et al. [40] used the potential distribution-multi-point complexation model (CD-MUSIC) to predict the evolution of groundwater chemical composition and hydrochemical types in the Baoding Plain of the South-to-North Water Transfer Project under the condition of groundwater level rebound. Arash Tafteh and Ali Reza Sepaskhah [41] successfully simulated the leaching of water and nitrate from two crops in the field with high accuracy using HYDRUS-1D. Mo Xiaoyu et al. [42] used HYDRUS-1D to simulate the changes in nitrogen leaching under different rainfall intensities, analyzed the influencing factors, and found that high intensity would reduce the nitrogen utilization rate.
In summary, the impact of water level fluctuations on the migration and transformation of pollutants has attracted the attention of scholars. Still, the study of nitrogen migration and transformation under different media water level fluctuations is not systematic enough. In this paper, the indoor soil column is used to simulate water level fluctuations to study the temporal and spatial distribution of nitrate nitrogen, nitrite nitrogen and ammonium nitrogen in three typical soil media subjected to water level fluctuations. According to physical experimental conditions, a numerical model of nitrogen migration and transformation in the fluctuation zone of the groundwater level was established to predict the spatial distribution and temporal change of nitrogen pollutants in the fluctuation zone of the groundwater level under different scenarios. This paper provides a scientific basis for the treatment, restoration and protection of groundwater nitrogen pollution.
2. Materials and Methods
2.1. Experimental Design
2.1.1. Experimental Materials
The experimental soil samples were collected on the floodplain of the Yellow River in Mengjin District, Luoyang City, Henan Province (Figure 1). The groundwater level in this area fluctuates frequently. Sample collection and processing were carried out by the requirements of the “Technical Specifications for Soil Environmental Monitoring” (HJ/T 166-2004). Sampling was performed using the quarter method, followed by drying, crushing and sieving, delineating three media, namely coarse sand, medium sand and fine sand. The pH value of the sand was between 8.5 and 9.3, and the organic matter content was between 0.241 and 1.070 g·kg−1. The basic physical and chemical properties of the soil are shown in Table 1. The water used in the laboratory is ultrapure water made by the German Millipore ultrapure water machine.
Figure 1.
Location of sampling points.
Table 1.
Soil particle composition and its parameters.
2.1.2. Experimental Device
The experiment designed three plexiglass columns with the following exact specifications: the inner diameter was 20 cm, the height was 110 cm, the top was open, and the opening of the glass column was covered with plastic film; the bottom was connected to a pressure-measuring tube and a Markov flask through a three-way valve. Between the Markov flask and the cylinder, a peristaltic pump was equipped to control the water level to simulate the process of groundwater fluctuation (rising–falling); the organic glass column was equipped with four sampling ports from top to bottom, at 15, 25, 35, and 45 cm away from the bottom of the column; adjacent points were separated by 10 cm. The sampling points were equipped with a Rhizon solution sampler (inner diameter: 1 mm); we covered the top and bottom of each column with 5 cm of quartz sand (diameter 2~3 mm), to ensure that the water level rose and fell uniformly. The experimental device is shown in Figure 2.
Figure 2.
Schematic diagram of the experimental device.
2.1.3. Experimental Method
First, the experiments were conducted using soil from different media to fill the columns, filled with distilled water and stabilized at a 30 cm scale at the initial water level. Then, potassium nitrate and ammonium chloride solutions were injected from the top of the column. Three days later, we took out the water sample, and adjusted the water level using a peristaltic pump, raising its height by 10 cm each time until the water level reached 50 cm; after that, we decreased the water level by 10 cm each time, until the water level dropped to 10 cm. Finally, we raised the water level again, by 10 cm each time, until it reached 30 cm. The water levels during the experimental period were 30, 40, 50, 40, 30, 20, 10, 20, and 30 cm, respectively. Each water level was maintained for 3 d, and the change in the water level over time is shown in Figure 3, with the experiment using 24 d as a complete change period. The investigation was carried out for two cycles.
Figure 3.
Time variation of water level.
Before each water level change, water samples were collected at four sampling ports using a diaphragm vacuum pump and a soil solution sampler to measure the concentrations of three forms of ammonium nitrogen, nitrate nitrogen and nitrite nitrogen.
2.2. Numerical Model
HYDRUS-1D is widely used in saturated-unsaturated zones of water, heat and solute transport to study the process of nitrogen migration and the transformation in the fluctuation zone at the groundwater level. In this paper, based on indoor physical experiments, a numerical model of nitrogen migration and change in the Vadose zone–saturated zone coupled with water transport and solute transport, was constructed using HYDRUS-1D.
2.2.1. Mathematical Model
- Water Movement Model.
The mathematical model of water movement in the water level fluctuation zone can be expressed as the Richards equation, as follows:
where is the water capacity (cm−1); is the hydraulic conductivity (cm/d); is the negative pressure (cm); represents the position coordinates in the parallel water flow direction (cm); is the time (d); is the angle between the water flow direction and the vertical (°); is the volumetric water content (cm3/cm3); and is the water absorption strength of plant roots (cm3/cm3·d−1).
- Solute transport model in the Vadose zone.
The solute transport model only considers the behavioral characteristics of convection, diffusion, adsorption, degradation, etc., and uses the traditional convection–diffusion equation to describe the transport process. The equation is expressed as:
where C is the solute concentration in the liquid phase (mg/L); is the longitudinal dispersion coefficient (cm/d); is the Darcy flow velocity (cm/d); is the soil bulk density (mg/cm); is the soil bulk density (mg/cm3); is the adsorption distribution coefficient (cm3/g); is the source-sink term (cm3/cm3·d−1); the others are the same as above.
- Nitrogen migration and transformation model.
The transport model of nitrogen in the soil varies according to the different forms of nitrogen. The transport and transformation process of NH4+ is mainly subjected to adsorption and nitrification. The equation is as follows:
Meanwhile NO2− and NO3− are mainly affected by nitrification and denitrification, and the equation is as follows:
where is the soil volume water content (cm3/cm3); is the soil solution NH4+ concentration (mg/L); is the longitudinal diffusion coefficient (cm/d); is the adsorption distribution coefficient (cm3/g) for NH4+ in soil; k1, k2 are the denitrification rate constants (d−1) for NH4+ and NO2−, respectively; is the soil NH4+ initial concentration (mg/L); is the inlet solution NH4+ concentration (mg/L); is the diving NH4+ concentration (mg/L); , are the NO2− and NO3− concentration (mg/L), respectively; is the denitrification rate constant (d−1); , are the soil NO2− and NO3− initial concentration (mg/L), respectively; and , are the diving NO2− and NO3− concentration (mg/L), respectively. No nitrogen input through the water.
2.2.2. Initial Conditions and Boundary Conditions
- Initial conditions.
At the initial moment, the water level was set to 30 cm, and the initial concentration of pollutants is shown in Table 2.
Table 2.
Initial concentration of pollutants.
- Boundary conditions.
1. Water transport and boundary conditions.
According to the experimental model, the upper boundary was in direct contact with the atmosphere and was set as the atmospheric boundary. The lower boundary was set as the variable head boundary due to the rise and fall of the water level.
2. Solute transport boundary.
According to the model, the upper boundary condition was the pollutant concentration boundary, and the lower boundary condition was the zero concentration gradient boundary. In the model setting, the primary considerations were adsorption and desorption, as well as nitrification and denitrification.
2.2.3. Model Parameters
The parameters of the numerical model mainly included soil hydraulic parameters and solute transport parameters. The initial values of the soil hydraulic parameters were determined according to the soil medium hydraulic parameter database of the Hydrus-1D software. The initial values of solute transport parameters were based on the measured results of this physical experiment, and the practical value was determined. The inverse solution module of the Hydrus-1D software was used for inversion to obtain the final parameters of the numerical model (Table 3 and Table 4).
Table 3.
Soil and water characteristic parameters.
Table 4.
Solute transport parameters.
2.2.4. Calibration and Evaluation of the Model
The reliability was verified and analyzed by inputting the solute transport parameters and soil hydraulic parameters through the HYDRUS-1D software, and the simulation’s accuracy was evaluated by the coefficient of determination R2, and the root mean square error (RMSE). The closer the coefficient of determination R2 was to 1, the closer the root mean square error (RMSE) was to 0, which means that the model simulation results and the measured results of nitrogen had higher fitting accuracy. The calculation formula is:
where Si and Mi are simulated and measured values, respectively; N is the number of samples.
According to the simulation results of the numerical model of nitrogen migration and transformation in the water level fluctuation zone, the simulated values of ammonia nitrogen, nitrate nitrogen and nitrite nitrogen are shown in Figure 4, Figure 5 and Figure 6, and the model fitting results are shown in Table 5. The correlation coefficients are mostly above 0.8. The root mean square error (RMSE) is small. Except for the significant simulation error of individual pollutants, the simulation results of the numerical model fit well with the measured results, indicating that the numerical model can better reflect the nitrogen transfer and transformation process under the fluctuation of the groundwater level.

Figure 4.
The process of nitrogen change in coarse sand ((a) nitrate nitrogen; (b) nitrite nitrogen; (c) ammonium nitrogen).
Figure 5.
The process of nitrogen change in medium sand ((a) nitrate nitrogen; (b) nitrite nitrogen; (c) ammonium nitrogen).
Figure 6.
The process of nitrogen change in fine sand ((a) nitrate nitrogen; (b) nitrite nitrogen; (c) ammonium nitrogen).
Table 5.
Model fitting effect.
3. Results and Discussion
3.1. Nitrogen Changes and Model Validation
The process curves of the measured and simulated results of ammonia nitrogen, nitrate nitrogen and nitrite nitrogen in the coarse sandy soil column under the condition of water level fluctuation are shown in Figure 4.
In the 15 cm and 25 cm sampling ports in the coarse sand column, NO3−-N showed a decreasing trend in the rising stage of the water level, with a decrease of 8.55% on average, the maximum decrease of 14.94% in the second cycle of the second rising stage of the water level, and the minimum decrease of 2.27% in the first rising stage of the second cycle of the water level. The concentration of NO3−-N showed an increasing trend in the declining water level stage, with an average increase of 9.10%, a maximum increase of 15.47% and a minimum increase of 4.62%, and the second fluctuation cycle was more obvious than the first fluctuation cycle of nitrate heel fluctuation. The average increase of NH4+-N concentration was 9.16% at the stage of the water level rise, and the average decrease of NH4+-N concentration was 14.355% at the stage of water level fall, and the fluctuation change was more obvious in the first cycle. The concentration of NO2−-N was much smaller than that of the NO3−-N and NH4+-N concentrations, and NO2−-N showed fluctuating changes and eventually stabilized.
The process curves of the measured and simulated results of ammonia nitrogen, nitrate nitrogen and nitrite nitrogen in the medium sand soil column under the water level fluctuation conditions are shown in Figure 5.
In the medium sand column, the trend of NO3−-N was similar to that of the coarse sand soil column, with insignificant changes in concentrations at the 35 cm and 45 cm sampling ports, and obvious fluctuation trends at the 15 cm and 25 cm sampling ports. The concentration of NO3−-N at the 15 cm sampling port decreased by 780.30% on average, especially during the first water level rise in the first cycle. The concentration of NO2−-N was fluctuating at the beginning and stabilized later.
The process curves of the measured and simulated results of ammonia nitrogen, nitrate nitrogen and nitrite nitrogen in the fine sandy soil column under the condition of water level fluctuation are shown in Figure 6.
In the fine sand soil column, the trend of the NO3−-N concentration changes at the 15 cm, 25 cm and 35 cm sampling ports were basically the same, and the decreases at 15 cm, 25 cm and 35 cm were 25.93%, 68.05% and 19.19, respectively, during the water level rise stage, and the increases were at 15 cm, 25 cm and 35 cm during the water level fall stage. The trends of NH4+-N concentrations at the 15 cm, 25 cm and 35 cm sampling ports were basically the same, and the concentrations at the 45 cm sampling port did not change much, and the increases at the water level rising stage were 32.44%, 23.39% and 27.03% for 15 cm, 25 cm and 35 cm, respectively, and the decreasing water level for the NO2−-N concentration was low and stabilized after fluctuating changes.
Figure 4, Figure 5 and Figure 6 show the actual measurement process curve of ammonia nitrogen, nitrate nitrogen and nitrite nitrogen under the conditions of water level fluctuation. When the water level rises, the dissolved oxygen content decreases, and the NH4+-N concentration should fall. Still, denitrifying bacteria become active and dominant under hypoxic conditions, promoting the increase in the NH4+-N concentration and the significant decrease in the NO3−-N concentration. When the water level drops, the dissolved oxygen content increases and nitrification plays a central role. The concentration of NO3−-N increases significantly. However, due to the strong adsorption of the soil, the concentration of NH4+-N in the free water of the soil solution decreases [43,44]. Nitrite nitrogen, in the three media, fluctuated and eventually stabilized, but its concentration was much smaller than the concentrations of NO3−-N and NH4+-N. Before the water level rises, when the dissolved oxygen is sufficient, the reproduction rate of nitrifying bacteria is slower than that of nitrosating bacteria; at this time, the nitrosation reaction dominates, causing the accumulation of NO2−-N, resulting in an increased concentration of NO2−-N in the soil solution during the rising water level stage. During the falling phase of the water level, nitrification dominates, a lot of H+ is produced in the solution, and the soil solution becomes weakly acidic, which strengthens the conversion of nitrite to nitrate. NO2−-N no longer accumulates, and the concentration gradually decreases [29,45,46]. In the initial stage, the increase in NO2−-N satisfies coarse sand, then medium sand, then fine sand. The more significant the particle size is, the more particle surfaces there are that microbial flocs can come into contact with, and more microbes can participate in the nitrification reaction. With a stronger microbial nitrification ability, it is understood that the nitrification ability of microbial flocs will increase with the increase in particle size [47].
3.2. Scenario Simulation
3.2.1. Increasing Water Level Fluctuation
Scenario 1 is set to: keep the initial pollutant concentration unchanged, and increase the water level fluctuation range. That is, the initial water level is set to 30 cm, and the height is raised by 15 cm at a time, and then rises twice until the water level reaches 60 cm; then it is dropped by 15 cm each time and drops four times until the water level drops to 0 cm; finally, the water level is raised again twice, by 15 cm each time, until it reaches 30 cm, which is the initial water level. The comparison chart of water level changes is shown in Figure 7, recorded as situation A.
Figure 7.
Comparison of water level changes.
Synchronously with the previous experiment scenario of groundwater level fluctuation, nitrogen migration and transformation (henceforth referred to as the fluctuation experiment), the simulation period is set to two by increasing the amplitude of the water level fluctuation, and the range of solute concentration in the water body increases. The model is built and run according to the scenario, and the simulation result is shown in Figure 8, Figure 9 and Figure 10.

Figure 8.
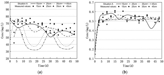
The measured results of coarse sand and the process of dynamic change of nitrogen in situation A ((a) nitrate nitrogen; (b) nitrite nitrogen; (c) ammonium nitrogen).
Figure 9.
The measured results of medium sand and the dynamic process of nitrogen in situation A ((a) nitrate nitrogen; (b) nitrite nitrogen; (c) ammonium nitrogen).
Figure 10.
The measured results of fine sand and the dynamic process of nitrogen in situation A ((a) nitrate nitrogen; (b) nitrite nitrogen; (c) ammonium nitrogen).
The comparison of the standard deviation of nitrogen concentration obtained by the three media simulations is shown in Table 6.
Table 6.
Scenario A model standard deviation comparison.
Table 6 shows that the increase in the fluctuation range of water level can effectively enlarge solute fluctuation.
Water level fluctuations have different effects on the fluctuation range of nitrogen concentration in the three media. When the fluctuation range of water level increases by 5 cm, the fluctuation range of nitrogen in the coarse sand medium increases by 37.52% on average, compared to the fluctuation experiment scenario; the nitrogen concentration in the medium sand medium is increased by 37.52%. The fluctuation range increased by 31.40% on average; the fluctuation range of the nitrogen concentration in the fine sand medium increased by 21.14% on average.
Table 6 shows that in the coarse sand, the fluctuation of the nitrogen concentration changes most significantly with the increase in the fluctuation range of the water level, followed by the medium sand, and the fine sand has the slightest change.
The impact of water level fluctuations on the three solutes is also different. The fluctuation range of the water level is expanded by 5 cm, and the fluctuation range of nitrite nitrogen, nitrate nitrogen and ammonium nitrogen in the coarse sand medium increases by 7.90%, 67.17%, and 37.49%, respectively. In the medium sand medium, the fluctuation range increased by 14.66%, 72.28%, and 7.26%, respectively. The fluctuation range of nitrite nitrogen in the fine sand medium decreased by 10.34%, while the fluctuation range of nitrate nitrogen and ammonium nitrogen increased by 72.17% and 1.62%, respectively.
Table 6 shows that among the three media, the fluctuation of the water level has the most significant effect on the fluctuation of nitrate nitrogen, and the influence on the fluctuation of nitrite nitrogen and ammonium nitrogen is relatively small.
3.2.2. Scenario of Reduced Water Level Fluctuation
Scenario 2 is set to: keep the initial pollutant concentration unchanged, and reduce the fluctuation of the water level. That is, the initial water level is set to 30 cm, and the height is raised by 5 cm each time, and then rises two times until the water level reaches 40 cm; it then starts to drop by 5 cm each time, and drops four times until the water level drops to 20 cm; finally, the water level rises again two times, by 5 cm each time, until it reaches 30 cm, which is the initial water level. The comparison chart of the water level changes is shown in Figure 11. It is recorded as situation B.
Figure 11.
Comparison of Water Level Changes.
Similarly, the simulation period is set to 2. By increasing the fluctuation range of the water level, the variation range of the solute concentration in the water body is increased. The model is built and run according to the scenario, and the simulation result is shown in Figure 12, Figure 13 and Figure 14.
Figure 12.
The measured results of coarse sand and the process of dynamic change of nitrogen in situation B ((a) nitrate nitrogen; (b) nitrite nitrogen; (c) ammonium nitrogen).

Figure 13.
The measured results of medium sand and the dynamic process of nitrogen in situation B ((a) nitrate nitrogen; (b) nitrite nitrogen; (c) ammonium nitrogen).
Figure 14.
The measured results of fine sand and the dynamic process of nitrogen in situation B ((a) nitrate nitrogen; (b) nitrite nitrogen; (c) ammonium nitrogen).
The comparison of the standard deviation of the nitrogen concentration obtained by the three media simulations is shown in Table 7.
Table 7.
Scenario B model standard deviation comparison.
Table 7 shows that the decrease in water level fluctuation can effectively reduce solute fluctuation.
Water level fluctuations have different effects on the fluctuation range of nitrogen concentration in the three media. When the fluctuation range of the water level decreases by 5 cm, the fluctuation range of nitrogen in the coarse sand medium is reduced by 36.74% on average, compared to the fluctuation experiment scenario. In the medium sand medium, the fluctuation range of the concentration of nitrogen decreased by 14.70% on average, while the fluctuation range of the nitrogen concentration in the fine sand medium decreased by 9.39% on average.
Table 7 shows that in the coarse sand, the fluctuation of the nitrogen concentration changes most significantly with the decrease in the fluctuation range of the water level, followed by the medium sand, and the fine sand demonstrates the most minor change.
The impact of water level fluctuations on the three solutes is also different. When the fluctuation range of the water level is reduced by 5 cm, the fluctuation ranges of nitrite nitrogen, nitrate nitrogen and ammonium nitrogen in the coarse sand medium are reduced by 28.07%, 29.55%, and 22.62%, respectively. In the medium sand medium, the average fluctuation range is reduced by 13.00%, 27.23%, and 3.85%, respectively. In the fine sand model, the fluctuation range is reduced by an average of 1.51%, 18.79%, and 7.86%, respectively.
Table 7 shows that among the three media, water level fluctuations have the most significant impact on the fluctuations of nitrate nitrogen, have less impact on the fluctuations of nitrite nitrogen and ammonium nitrogen, and the difference is the most obvious in the fine sand medium, followed by medium sand. This difference is not great in the coarse sand.
4. Conclusions
In this paper, through the experiment examining nitrogen migration and transformation in the groundwater fluctuating zone, we analyzed the nitrogen migration and transformation process. A numerical model of nitrogen migration and transformation in the groundwater level fluctuating zone was established with the help of the HYDRUS-1D model. The paper obtained the following main conclusions:
- Groundwater level fluctuations can significantly affect the nitrogen transport and transformation patterns in soil–groundwater. The nitrate nitrogen concentration increased and the ammonium nitrogen mass concentration decreased when the water level decreased. Moreover, the nitrate nitrogen mass concentration decreased and the ammonium nitrogen mass concentration increased when the water level increased; the nitrite nitrogen did not change significantly.
- In this study, indoor soil column experiments were combined with the Hydrus-1D software simulation prediction to simulate the theoretical values of the tri-nitrogen transformation process in indoor soil columns. Although simple, the software does not take into account the existence of non-homogeneous changes in the soil column, is not accurate enough, there are certain limitations, and the influence of biological processes on the transformation of pollutants has not been taken into account. Furthermore, there is still a certain gap with the actual results.
- As an important factor of the hydrological mechanism, the water level plays a vital role in the groundwater system, and the effect of the level and intensity of fluctuation of the groundwater level on the migration and transformation of nitrogen cannot be ignored. The change in water level will affect the water content in the soil, the state of water movement, the physical and chemical properties of soil and the state of the microorganisms, which in turn, will affect the migration and transformation of nitrogen in the soil.
Author Contributions
Conceptualization, Y.L. and J.Q.; methodology, Y.L., L.W. and X.Z.; software, L.W. and X.Z.; validation, Y.L., L.W. and J.Q.; writing—original draft preparation, Y.L. and L.W.; writing—review and editing, Y.L. and J.Q.; visualization, G.B. All authors have read and agreed to the published version of the manuscript.
Funding
This research was funded by the Doctoral Research Fund of North China University of Water Resources and Electric Power (40651) and the Key Project of Science and Technology Research of Henan Education Department (14A170006), and by the Key R&D and Promotion Projects in Henan Province (202102310012).
Institutional Review Board Statement
Not applicable.
Informed Consent Statement
Not applicable.
Data Availability Statement
Data are contained within the article.
Conflicts of Interest
The authors declare no conflict of interest.
References
- Matiatos, I. Nitrate source identification in groundwater of multiple land-use areas by combining isotopes and multivariate statistical analysis: A case study of Asopos basin (Central Greece). Sci. Total Environ. 2016, 541, 802–814. [Google Scholar] [CrossRef] [PubMed]
- Fu, J.; Shan, J.; Yuan, Y.; Gao, Y.; Wu, R.; Yang, J. Comprehensive traceability of nitrogen pollution in the Shenfu section of Hunhe River Basin. Acta Sci. Circumstantiae 2018, 38, 2560–2567. [Google Scholar]
- van der Schans, M.L.; Harter, T.; Leijnse, A.; Mathews, M.C.; Meyer, R.D. Characterizing sources of nitrate leaching from an irrigated dairy farm in Merced County, California. J. Contam. Hydrol. 2009, 110, 9–21. [Google Scholar] [CrossRef] [PubMed]
- Rosenstock, T.S.; Liptzin, D.; Dzurella, K.; Fryjoff-Hung, A.; Hollander, A.; Jensen, V.; King, A.; Kourakos, G.; McNally, A.; Pettygrove, G.S.; et al. Agriculture’s Contribution to Nitrate Contamination of Californian Groundwater (1945–2005). J. Environ. Qual. 2014, 43, 895–907. [Google Scholar] [CrossRef] [PubMed]
- Meghdadi, A.; Javar, N. Quantification of spatial and seasonal variations in the proportional contribution of nitrate sources using a multi-isotope approach and Bayesian isotope mixing model. Environ. Pollut. 2018, 235, 207–222. [Google Scholar] [CrossRef] [PubMed]
- Cui, N.; Liu, S. Comprehensive evaluation of soybean meal replacement based on RIAM model. Feed. Res. 2020, 43, 126–130. [Google Scholar]
- Xiaoliang, J.; Xie, R.; Yun, H.; Lu, J. Quantitative identification of nitrate pollution sources and uncertainty analysis based on dual isotope ap-proach in an agricultural watershed. Environ. Pollut. 2017, 229, 586–594. [Google Scholar]
- Burow, K.R.; Nolan, B.T.; Rupert, M.G.; Dubrovsky, N.M. Nitrate in groundwater of the United States, 1991–2003. Environ. Sci. Technol. 2010, 44, 4988–4997. [Google Scholar] [CrossRef]
- Gu, B.; Ge, Y.; Chang, S.X.; Luo, W.; Chang, J. Nitrate in groundwater of China: Sources and driving forces. Glob. Environ. Chang. 2013, 23, 1112–1121. [Google Scholar] [CrossRef]
- Stuart, M.; Gooddy, D.; Bloomfield, J.; Williams, A. A review of the impact of climate change on future nitrate concentrations in groundwater of the UK. Sci. Total Environ. 2011, 409, 2859–2873. [Google Scholar] [CrossRef]
- Cheong, J.-Y.; Hamm, S.-Y.; Lee, J.-H.; Lee, K.-S.; Woo, N. Groundwater nitrate contamination and risk assessment in an agricultural area, South Korea. Environ. Earth Sci. 2011, 66, 1127–1136. [Google Scholar] [CrossRef]
- Zhao, T.; Zhang, C.; Du, L.; Liu, B.; An, Z. Investigation of nitrate content in groundwater of seven provinces (cities) around the Bohai Sea. Acta Agri-Environ. Sci. 2007, 2, 779–783. [Google Scholar]
- Zhao, Y.; Shao, M. Experimental study on nitrate-nitrogen migration in farmland under different fertilization conditions. J. Agric. Eng. 2002, 18, 37–40. [Google Scholar]
- Filippis, G.D.; Ercoli, L.; Rossetto, R. A Spatially Distributed, Physically-Based Modeling Approach for Estimating Agricultural Nitrate Leaching to Groundwater. Hydrology 2021, 8, 8. [Google Scholar] [CrossRef]
- Wild, L.M.; Mayer, B.; Einsiedl, F. Decadal Delays in Groundwater Recovery from Nitrate Contamination Caused by Low O2Reduction Rates. Water Resour. Res. 2018, 54, 9996. [Google Scholar] [CrossRef]
- European Commission. Establishing a Framework for the Community Action in the Field of Water Policy. In Directive 2000/60/EC of the European Parliament and of the Council of 23 October 2000; European Commission: Brussels, Belgium, 2000. [Google Scholar]
- Liu, M. Migration and Transformation of Petroleum Hydrocarbons in the Envelope Zone with Numerical Simulation; Jilin University: Jilin, China, 2014. [Google Scholar]
- Guo, H.M.; Wang, Y.X.; Li, Y.M. Analysis of arsenic enrichment factors in groundwater in the arsenic poisoning area of Shan Yin water. Environ. Sci. 2003, 4, 60–67. [Google Scholar]
- Sorensen, J.; Butcher, A.S.; Stuart, M.E.; Townsend, B.R. Nitrate fluctuations at the water table: Implications for recharge processes and solute transport in the Chalk aquifer. Hydrol. Process. 2015, 29, 3355–3367. [Google Scholar]
- Hefting, M.J.C.; Clément, D.D.; Cosandey, A.C.; Bernal, S.; Cimpian, C.; Tatur, A.; Burt, T.P.; Pinay, G. Water table elevation controls on soil nitrogen cycling in riparian wetlands along a European climatic gradient. Biogeochemistry 2004, 67, 113–134. [Google Scholar]
- Welch, H.L.; Green, C.; Coupe, R.H. The fate and transport of nitrate in shallow groundwater in northwestern Mississippi, USA. Appl. Hydrogeol. 2011, 19, 1239–1252. [Google Scholar] [CrossRef]
- Jurado, A.; Borges, A.V.; Brouyère, S. Dynamics and emissions of N2O in groundwater: A review. Sci. Total Environ. 2017, 584–585, 207–218. [Google Scholar]
- Yang, L.-P.; Li, N.; Zhang, J. Effect of pH on the transport and transformation of “tri-nitrogen” in shallow groundwater. Chin. Agron. Bull. 2017, 33, 56–60. [Google Scholar]
- Zhang, Z.; Furman, A. Redox dynamics at a dynamic capillary fringe for nitrogen cycling in a sandy column. J. Hydrol. 2021, 603, 26899. [Google Scholar] [CrossRef]
- Ashworth, D.J.; Shaw, G. Effects of moisture content and redox potential on in situ Kd values for radioiodine in soil. Sci. Total Environ. 2006, 359, 244–254. [Google Scholar] [CrossRef]
- Li, X.; Yang, T.; Bai, S.; Xi, B.; Zhu, X.; Yuan, Z.; Wei, Y.; Li, W. Research on the Influence of Groundwater Level Fluctuation on the Transport of Nitrogen in Vadose Zone. Agric. Environ. Sci. J. 2013, 32, 2443–2450. [Google Scholar]
- Zhang, D.; Fan, M.; Liu, H.; Wang, R.; Zhao, J.; Yang, Y.; Cui, R.; Chen, A. Effects of shallow groundwater table fluctuations on nitrogen in the groundwater and soil profile in the nearshore vegetable fields of Erhai Lake, southwest China. J. Soils Sediments 2019, 20, 42–51. [Google Scholar] [CrossRef]
- Xin, L.; Rui, Z.; Li, M.; Peng, L.; Zhiping, L.; Zhukun, H.; Qiao, L.; Jinsheng, W. Research on Nitrate Nitrogen (Nitrate) Pollution Changes in the Process of Groundwater Level Rising. China Environ. Sci. 2021, 41, 232–238. [Google Scholar]
- Jia, W.; Yin, L.; Zhang, M.; Zhang, J.; Zhang, X.; Gu, X.; Dong, J. Modified method for the estimation of groundwater evapotranspiration under very shallow water table con-ditions based on diurnal water table fluctuations. J. Hydrol. 2021, 597, 126193. [Google Scholar] [CrossRef]
- Kamon, M.; Endo, K.; Katsumi, T. Measuring the k–S–p relations on DNAPLs migration. Eng. Geol. 2003, 70, 64–65. [Google Scholar] [CrossRef]
- Nedrich, S.M.; Burton, G.A. Indirect effects of climate change on zinc cycling in sediments: The role of changing water levels. Environ. Toxicol. Chem. 2017, 36, 2456–2464. [Google Scholar] [CrossRef]
- Davis, G.B.; Rayner, J.L.; Trefry, M.G.; Fisher, S.J.; Patterson, B.M. Measurement and Modeling of Temporal Variations in Hydrocarbon Vapor Behavior in a Layered Soil Profile. Vadose Zone J. 2005, 4, 265–273. [Google Scholar] [CrossRef]
- Kamon, M.; Li, Y.; Endo, K.; Inui, T.; Katsumi, T. Experimental Study on the Measurement of S-p Relations of LNAPL in a Porous Medium. Soils Found. 2007, 47, 33–45. [Google Scholar] [CrossRef][Green Version]
- Xie, X.; Li, Y.; Xia, B.; Su, Y.; Gu, Q. Study on the hysteresis of saturation-capillary pressure relationship in sand media under fluctuating water level. Acta Pedol. Sin. 2011, 48, 286–294. [Google Scholar]
- Li, X.; Li, J.; Xi, B.; Yuan, Z.; Zhu, X.; Zhang, X. Effects of groundwater level variations on the nitrate content of groundwater: A case study in Luoyang area, China. Environ. Earth Sci. 2015, 74, 3969–3983. [Google Scholar] [CrossRef]
- Chen, A.; Lei, B.; Hu, W.; Wang, H.; Dan, Z. Temporal-spatial variations and influencing factors of nitrogen in the shallow groundwater of the nearshore vegetable field of Erhai Lake, China. Environ. Ence Pollut. Res. 2017, 25, 4858–4870. [Google Scholar] [CrossRef] [PubMed]
- Farnsworth, C.E.; Voegelin, A.; Hering, J.G. Manganese oxidation induced by water table fluctuations in a sand column. Environ. Sci. Technol. 2012, 46, 277–284. [Google Scholar] [CrossRef] [PubMed]
- Yang, Y. Research on Soil Pollutant Transport Model Considering Groundwater Level Fluctuations. Master’s Thesis, Hebei Agricultural University, Baoding, China, 3 June 2015. [Google Scholar]
- Zhang, X.; Wang, P.; Wang, T.; Yu, J.; Liu, X. Hydrochemical characteristics of shallow groundwater in Ejina Oasis and the relationship between water level and depth under water transport conditions. South-to-North Water Divers. Water Conserv. Sci. Technol. 2019, 17, 86–94. [Google Scholar]
- Cao, W.; Yang, H.; Gao, Y.; Nan, T.; Wang, Z.; Xu, S. Prediction of groundwater quality evolution in Baoding Plain in the wa-ter-receiving area of the Middle Route of the South-to-North Water Transfer Project. J. Hydraul. Eng. 2020, 51, 924–935. [Google Scholar]
- Tafteh, A.; Sepaskhah, A.R. Application of HYDRUS-1D model for simulating water and nitrate leaching from continuous and alternate furrow irrigated rapeseed and maize fields. Agric. Water Manag. 2012, 113, 19–29. [Google Scholar] [CrossRef]
- Mo, X.; Peng, H.; Xin, J.; Wang, S. Analysis of urea nitrogen leaching under high-intensity rainfall using HYDRUS-1D. J. Environ. Manag. 2022, 312, 114900. [Google Scholar] [CrossRef]
- Chang, C.; Entz, T. Nitrate Leaching Losses under Repeated Cattle Feedlot Manure Applications in Southern Alberta. J. Environ. Qual. 1996, 25, 145–153. [Google Scholar] [CrossRef]
- Steffy, D.A.; Johnston, C.D.; Barry, D.A. Numerical Simulations and Long-Column Tests of LNAPL Displacement and Trapping by a Fluctuating Water Table. J. Soil Contam. 1998, 7, 325–356. [Google Scholar] [CrossRef]
- Marshall, H.W.H. Ecology of Water-Level Manipulations on a Northern Marsh. Ecology 1963, 44, 331–343. [Google Scholar]
- Wang, Y. Ammonia Nitrogen Adsorption-Desorption Characteristics of Sediments of Different Sizes in the Xiliao River. Master’s Thesis, Liaoning Technical University, Liaoning, China, 15 September 2012. [Google Scholar]
- Sasikala, S.; Tanaka, N.; Wah, H.W.; Jinadasa, K. Effects of water level fluctuation on radial oxygen loss, root porosity, and nitrogen removal in subsurface vertical flow wetland mesocosms. Ecol. Eng. 2009, 35, 410–417. [Google Scholar] [CrossRef]
Publisher’s Note: MDPI stays neutral with regard to jurisdictional claims in published maps and institutional affiliations. |
© 2022 by the authors. Licensee MDPI, Basel, Switzerland. This article is an open access article distributed under the terms and conditions of the Creative Commons Attribution (CC BY) license (https://creativecommons.org/licenses/by/4.0/).