Research on the Impact Force of Rockfall Impacting Sand Cushions with Different Shapes
Abstract
:1. Introduction
2. Experimental Design
2.1. Experimental Device
2.2. Experimental Program
3. Experimental Results
4. Numerical Model and Discussion
4.1. Model Establishment
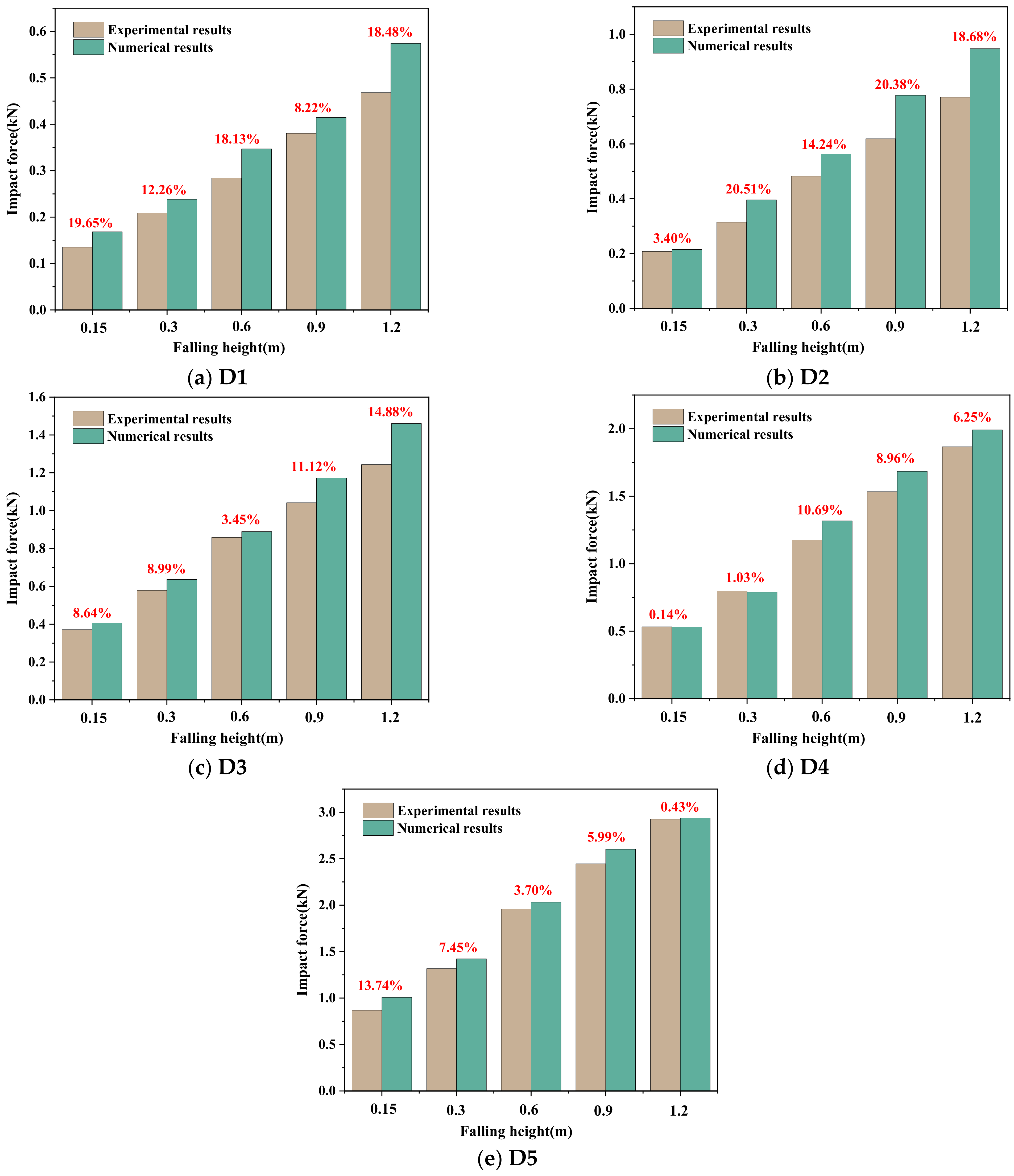
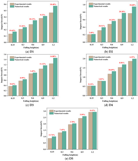
4.2. Model Correction
4.3. Large-Scale Model
4.4. Discussion
4.4.1. Penetration Depth
4.4.2. Diffusion Mechanism
5. Conclusions
- (1)
- The influence of rockfall shape on rockfall impact force cannot be ignored. It is unsafe to ignore the influence of the rockfall shape in the calculation formula of the rockfall impact force. On the basis of the spherical rockfall impact force, a coefficient considering rockfall shape is added to correct the calculation formula of the rockfall impact force.
- (2)
- The influence of the falling height on the impact force of rockfall is independent and is not affected by the rockfall shape. The impact force changes with the falling height with a power function with less than 1 as the index.
- (3)
- At the same energy level, the impact force of different working conditions is roughly the same. However, there is still the fact that the impact force corresponding to large mass is greater than small mass. The condition of large mass and small height is relatively more dangerous.
- (4)
- The shed-tunnel structure usually sets a buffer cushion above the concrete slab to disperse and absorb the impact energy. The impact force is dispersed through the cushion and transmitted to the plate and frame. Therefore, accurately obtaining the rockfall impact force acting on the cushion of the shed tunnel can provide a basis for the selection of the most unfavourable load in the design of the shed tunnel structure.
- (5)
- In the design of the shed-tunnel structure, in addition to the physical quantity of rockfall impact force, the penetration depth and the diffusion mechanism of impact force in the cushion cannot be ignored.
Author Contributions
Funding
Institutional Review Board Statement
Informed Consent Statement
Data Availability Statement
Acknowledgments
Conflicts of Interest
References
- Abdelmaboud, A.; Abaker, M.; Osman, M.; Alghobiri, M.; Abdelmotlab, A.; Dafaalla, H. Hybrid Early Warning System for Rock-Fall Risks Reduction. Appl. Sci. 2021, 11, 9506. [Google Scholar] [CrossRef]
- Bao, F.; Hu, R. Application of the Shed Hole on the Yu-Xiang express way. Highway 2009, 10, 260–262. [Google Scholar]
- Wang, Q.; Wang, L.; Li, Z.; Wang, H.; Xu, X. Open tunnel engineering and secondary disasters of earthquake in the post-earthquake reconstruction projects along Duwen road. J. Mt. Sci. 2011, 29, 356–361. [Google Scholar]
- Zhao, P.; Xie, L.; Li, L.; Liu, Q.; Yuan, S. Large-scale rockfall impact experiments on a RC rock-shed with a newly proposed cushion layer composed of sand and EPE. Eng. Struct. 2018, 175, 386–398. [Google Scholar] [CrossRef]
- He, S.; Shen, J.; Wu, Y. Rock shed dynamic response to impact of rock-fall. Rock Soil Mech. 2011, 32, 781–788. [Google Scholar]
- Yang, L.; Li, S.; Wu, Z.; Shen, X. Dynamic analysis of rock-fall impact on shed tunnel structure. J. Traffic Transp. Eng. 2012, 12, 25–30. [Google Scholar]
- Wang, L.; Liu, L.; Tang, F.; Tang, H. Study on Impact Force of Rockfall Impact Experiment on Shed Tuunel. J. Disaster Prev. Mitig. Eng. 2018, 38, 973–979. [Google Scholar]
- Zhao, P.; Xie, L.; He, B.; Zhang, Y. Experimental study of rock-sheds constructed with PE fibres and composite cushion against rockfall impacts. Eng. Struct. 2018, 177, 175–189. [Google Scholar] [CrossRef]
- Calvetti, F.; Di Prisco, C. Rockfall impacts on sheltering tunnels: Real-scale experiments. Géotechnique 2012, 62, 865–876. [Google Scholar] [CrossRef]
- Breugnot, A.; Lambert, S.; Villard, P.; Gotteland, P. A Discrete/continuous Coupled Approach for Modeling Impacts on Cellular Geostructures. Rock Mech. Rock Eng. 2015, 49, 1831–1848. [Google Scholar] [CrossRef]
- Labiouse, V.; Descoeudres, F.; Montani, S. Experimental Study of Rock Sheds Impacted by Rock Blocks. Struct. Eng. Intern. 1996, 6, 171–176. [Google Scholar] [CrossRef]
- Ferrari, F.; Giacomini, A.; Thoeni, K. Qualitative Rockfall Hazard Assessment: A Comprehensive Review of Current Practices. Rock Mech. Rock Eng. 2016, 49, 2865–2922. [Google Scholar] [CrossRef]
- Di Luzio, E.; Mazzanti, P.; Brunetti, A.; Baleani, M. Assessment of tectonic-controlled rock fall processes threatening the ancient Appia route at the Aurunci Mountain pass (central Italy). Nat. Hazards 2020, 102, 909–937. [Google Scholar] [CrossRef]
- Wang, B.; Cavers, D.S. A simplified approach for rockfall ground penetration and impact stress calculations. Landslides 2008, 5, 305–310. [Google Scholar] [CrossRef]
- Perera, S.; Lam, N.; Pathirana, M.; Zhang, L.; Ruan, D.; Gad, E. Deterministic solutions for contact force generated by impact of windborne debris. Intern. J. Impact Eng. 2016, 91, 126–141. [Google Scholar] [CrossRef]
- Chen, C.; Liu, C.; Chen, L.; Zhao, S. Study on Impact Force of Rock-fall onto Rock Shed Tunnel. J. Highw. Transp. Res. Dev. 2015, 32, 102–109. [Google Scholar]
- Yan, P.; Zhang, J.; Fang, Q.; Zhang, Y. Numerical simulation of the effects of falling rock’s shape and impact pose on impact force and response of RC slabs. Constr. Build. Mater. 2018, 160, 497–504. [Google Scholar] [CrossRef]
- Shen, W.; Zhao, T.; Dai, F.; Jiang, M.; Zhou, G.G.D. DEM analyses of rock block shape effect on the response of rockfall impact against a soil buffering layer. Eng. Geol. 2019, 249, 60–70. [Google Scholar] [CrossRef]
- Ji, Z.; Chen, Z.; Niu, Q.; Wang, T.; Song, H.; Wang, T. Laboratory study on the influencing factors and their control for the coefficient of restitution during rockfall impacts. Landslides 2019, 16, 1939–1963. [Google Scholar] [CrossRef]
- Yan, P.; Fang, Q.; Zhang, J.; Zhang, Y.; Chen, L.; Fan, J. Experimental study and dimensionless analysis of rockfall impacts on the sand cushion considering different typical shapes of falling rocks. Explos. Shock Waves 2021, 41, 96–111. [Google Scholar]
- Yu, Z.; Luo, L.; Liu, C.; Guo, L.; Qi, X.; Zhao, L. Dynamic response of flexible rockfall barriers with different block shapes. Landslides 2021, 18, 2621–2637. [Google Scholar] [CrossRef]
- Yu, B.; Yi, W.; Zhao, H. Experimental study on the maximum impact force by rock fall. Landslides 2017, 15, 233–242. [Google Scholar] [CrossRef]
- Ministry of Transport of the People’s Republic of China. 1995. Available online: https://www.mot.gov.cn/shuju/ (accessed on 17 February 2022).
- Yang, Q.; Guan, B. Test and research on calculating method of falling stone impulsive force. J. China Railw. Soc. 1996, 18, 101–106. [Google Scholar]
- Kawahara, S.; Muro, T. Effects of dry density and thickness of sandy soil on impact response due to rockfall. J. TerraMech. 2006, 43, 329–340. [Google Scholar] [CrossRef]
- Seguin, A.; Bertho, Y.; Martinez, F.; Crassous, J.; Gondret, P. Experimental velocity fields and forces for a cylinder penetrating into a granular medium. Phys. Rev. E Stat. Nonlin. Soft Matter Phys. 2013, 87, 012201. [Google Scholar] [CrossRef] [Green Version]
- Guangkun, W. Research on Shed Structure for Rockfall Impact; Chongqing Jiaotong: Chongqing, China, 2014. [Google Scholar]
- Plassiard, J.P.; Donzé, F.V. Rockfall impact parameters on embankments: A discrete element method analysis. Struct. Eng. Intern. J. Intern. Assoc. Bridge Struct. Eng. 2009, 19, 333–341. [Google Scholar] [CrossRef]
- Dong, F.; Bie, X.; Tian, J.; Xie, X.; Du, G. Experimental and Numerical Study on the Strain Behavior of Buried Pipelines Subjected to an Impact Load. Appl. Sci. 2019, 9, 3284. [Google Scholar] [CrossRef] [Green Version]
- Wang, H.; Guo, C.; Wang, F.; Ni, P.; Sun, W. Peridynamics simulation of structural damage characteristics in rock sheds under rockfall impact. Comput. Geotech. 2022, 143, 104625. [Google Scholar] [CrossRef]
- Wang, Y.; Xu, M.; Yang, C.; Lu, M.; Meng, J.; Wang, Z.; Wang, M. Effects of elastoplastic strengthening of gravel soil on rockfall impact force and penetration depth. Intern. J. Impact Eng. 2020, 136, 103411. [Google Scholar] [CrossRef]
- Liao, X.; Ouyang, Q.; Liu, H.; Sun, J.; Wang, X.; Li, L.; Yang, Z.; Chen, Z. Experimental Study on Rockfall Mechanism of Platy Rock on a Complex Slope. Appl. Sci. 2020, 10, 2849. [Google Scholar] [CrossRef] [Green Version]
- Azarafza, M.; Akgun, H.; Feizi-Derakhshi, M.R.; Azarafza, M.; Rahnamarad, J.; Derakhshani, R. Discontinuous rock slope stability analysis under blocky structural sliding by fuzzy key-block analysis method. Heliyon 2020, 6, e03907. [Google Scholar] [CrossRef]













| Algorithms | Principles | Advantages | Disadvantages |
|---|---|---|---|
| Ministry of Transport of the People’s Republic of China [23] | Work-energy principle | Widely used in roadbed protection in China | 1. Not maximum impact force 2. Not considered cushion thickness |
| Yang et al. [24] | Newton’s law and laboratory impact test | Comprehensive consideration of rockfall quality, cushion thickness and impact velocity | 1. Not maximum impact force 2. Smaller scale of experiments |
| Labiouse et al. [11] Kawahara et al. [25] | On-site impulse test | 1. Good reliability 2. Simple calculation 3. Basically reflect the impact factors of rockfall | 1. Only considered frontal collision 2. Depend heavily on the empirical values of the relevant constants |
| No. | m (kg) | h (mm) | d (mm) | b (mm) | S |
|---|---|---|---|---|---|
| D1 | 1.629 | 96 | 72 | 144 | 4 |
| D2 | 1.612 | 60 | 90 | 90 | 2 |
| D3 | 1.696 | 38 | 114 | 57 | 1 |
| D4 | 1.633 | 24 | 144 | 36 | 0.5 |
| D5 | 1.677 | 15 | 180 | 22.5 | 0.25 |
| No. | α | β |
|---|---|---|
| D1 | 0.41 | 0.60 |
| D2 | 0.68 | 0.64 |
| D3 | 1.12 | 0.56 |
| D4 | 1.65 | 0.61 |
| D5 | 2.62 | 0.58 |
| S > 1 | 1.15 | 1.41 | 1.71 | 2.16 |
| Yan [14] | 0.93 | 0.88 | 0.76 | 0.51 |
| Equation (2) | 0.92 | 0.81 | 0.72 | 0.63 |
| S < 1 | 0.4 | 0.6 | ||
| Wang [18] | 1.2~2.0 | 1.0~1.5 | ||
| Equation (2) | 1.74 | 1.36 |
| Material | Density (kg/m3) | Elastic Modulus (MPa) | Poisson Ratio |
|---|---|---|---|
| Rock block | 2135 | 25,000 | 0.20 |
| Sand cushion | 1600 | 39 | 0.20 |
| Case | Falling Height(m) | Shape Coefficient | Mass (kg) | Vertical Radius (m) | Horizontal Radius (m) |
|---|---|---|---|---|---|
| Case 1 | 18 | 4 | 992.582 | 1.12 | 0.28 |
| 2 | 1011.456 | 0.71 | 0.355 | ||
| 1 | 1002.852 | 0.446 | 0.446 | ||
| 0.5 | 992.582 | 0.28 | 0.56 | ||
| 0.25 | 1011.456 | 0.1775 | 0.71 | ||
| Case 2 | 12 | 4 | 1481.638 | 1.28 | 0.32 |
| 2 | 1501.852 | 0.81 | 0.405 | ||
| 1 | 1499.487 | 0.51 | 0.51 | ||
| 0.5 | 1481.638 | 0.32 | 0.64 | ||
| 0.25 | 1501.852 | 0.2025 | 0.81 | ||
| Case 3 | 9 | 4 | 2022.913 | 1.42 | 0.355 |
| 2 | 2060.154 | 0.9 | 0.45 | ||
| 1 | 1985.163 | 0.56 | 0.56 | ||
| 0.5 | 2022.913 | 0.355 | 0.71 | ||
| 0.25 | 2060.154 | 0.225 | 0.9 |
Publisher’s Note: MDPI stays neutral with regard to jurisdictional claims in published maps and institutional affiliations. |
© 2022 by the authors. Licensee MDPI, Basel, Switzerland. This article is an open access article distributed under the terms and conditions of the Creative Commons Attribution (CC BY) license (https://creativecommons.org/licenses/by/4.0/).
Share and Cite
Zhang, Y.; Xie, L.; He, B.; Zhao, P. Research on the Impact Force of Rockfall Impacting Sand Cushions with Different Shapes. Appl. Sci. 2022, 12, 3540. https://doi.org/10.3390/app12073540
Zhang Y, Xie L, He B, Zhao P. Research on the Impact Force of Rockfall Impacting Sand Cushions with Different Shapes. Applied Sciences. 2022; 12(7):3540. https://doi.org/10.3390/app12073540
Chicago/Turabian StyleZhang, Yu, Lingzhi Xie, Bo He, and Peng Zhao. 2022. "Research on the Impact Force of Rockfall Impacting Sand Cushions with Different Shapes" Applied Sciences 12, no. 7: 3540. https://doi.org/10.3390/app12073540
APA StyleZhang, Y., Xie, L., He, B., & Zhao, P. (2022). Research on the Impact Force of Rockfall Impacting Sand Cushions with Different Shapes. Applied Sciences, 12(7), 3540. https://doi.org/10.3390/app12073540

