Simulation of Two-Phase Flow of Shotcrete in a Bent Pipe Based on a CFD–DEM Coupling Model
Abstract
:1. Introduction
2. Governing Equations
2.1. The Continuous Phase Model
2.2. Discrete Phase Model
2.3. CFD–DEM Coupling Model
2.4. Particle Contact Model
3. Geometric Model and Meshes
4. Calculation Results and Analysis
4.1. Verification of Simulation
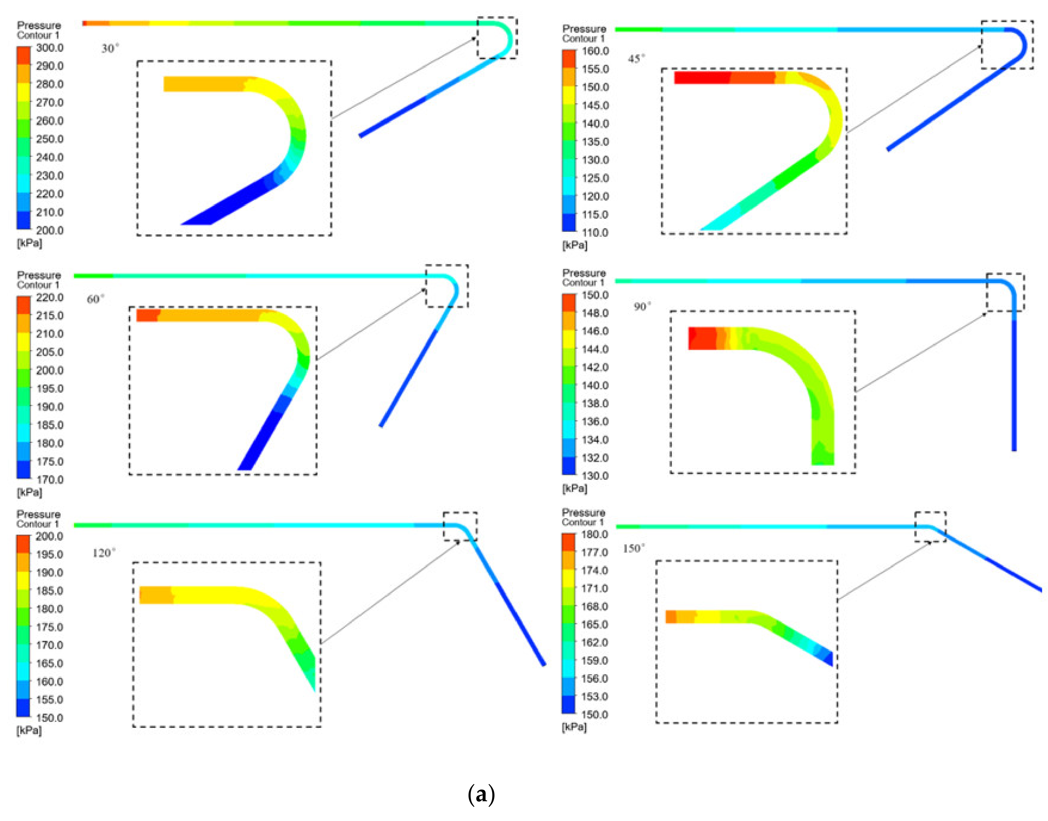
4.2. Gas Phase Flow Field
4.3. Flow Field of Particle Phase
5. Conclusions
- (1)
- The pipeline exhibits a significant pressure loss and pressure difference at the inside and outside walls of the bent pipe. The pressure gradient force leads to a secondary flow, which limits the hitting velocity of the solid phase toward the outside wall of the bent pipe. In addition, the central part of the outer surface of the bent pipe experiences more wear.
- (2)
- The bending angles have a great effect on the particle velocity. The particle loss decreases first and then increases with increasing bend angle. Owing to the inertia and inelastic collisions among the particles and between the particles and pipe wall, the concrete material particles accumulate in the outside area of the bent pipe section in the pneumatic conveying process, which may block the pipe. Nevertheless, the turbulence and secondary flows cause the aggregated particle rope to disperse gradually. The particle velocity decreases by more than 73%, and the particle is accelerated behind the 30° bent pipe section owing to the turbulence and secondary flows. When the bend angle is 90°, the turbulence and secondary flows have less effect on the particle movement behind the bent pipe, and the particle loss is minimal.
- (3)
- With increasing bend angle, the number of particles–pipe wall contact times and the normal contact force firstly increase and then decrease; both reach a maximum at a bend angle of 45°. The wear impact on the 45° bent pipe is stronger than those on the other bent pipes, and the main wear position diffuses radially toward the outside wall of the bent pipe with increasing bend angle. Furthermore, the particle energy loss in the bent pipe is approximately 30 times that in the straight pipe.
Author Contributions
Funding
Institutional Review Board Statement
Informed Consent Statement
Data Availability Statement
Conflicts of Interest
References
- Guoming, L.; Weimin, C.; Zhen, L.; Xin, Y. Pressure Distribution Calculation Along Pipes Used for Mining Pumping Wet Shotcrete Based on Shear and Slip. J. Shandong Univ. Sci. Technol. Nat. Sci. 2017, 6, 66–72. [Google Scholar]
- Yin, L.; Yalan, G.; Hao, L.; Haoyu, W. Experimental study on effect of recycled aggregate from construction waste on conveying performance of mine filling paste. J. Shandong Univ. Sci. Technol. 2020, 3, 59–65. [Google Scholar]
- Qunfei, F.; Jie, F.; Jie, S.; Xiaoqiang, C.; Xianjun, L. Effect of respirable particulate matter on dust removal performance of polyacrylonitrile fiber bundle filter. J. Shandong Univ. Sci. Technol. 2019, 6, 33–39. [Google Scholar]
- Tripathi, N.M.; Santo, N.; Kalman, H.; Levy, A. Experimental analysis of particle velocity and acceleration in vertical dilute phase pneumatic conveying. Powder Technol. 2018, 330, 239–251. [Google Scholar] [CrossRef]
- Ghafori, H.; Sharifi, M. Numerical and experimental study of an innovative design of elbow in the pipe line of a pneumatic conveying system. Powder Technol. 2018, 331, 171–178. [Google Scholar] [CrossRef]
- Chen, L.; Sun, Z.; Liu, G.; Ma, G.; Liu, X. Spraying characteristics of mining wet shotcrete. Constr. Build. Mater. 2022, 316, 125888. [Google Scholar] [CrossRef]
- Roussel, N.; Geiker, M.R.; Dufour, F.; Thrane, L.; Szabo, P. Computational modeling of concrete flow: General overview. Cem. Concr. Res. 2007, 37, 1298–1307. [Google Scholar] [CrossRef] [Green Version]
- Zhou, H.; Yang, Y.; Wang, L. Numerical investigation of gas-particle flow in the primary air pipe of a low NOx swirl burner—The DEM-CFD method. Particuology 2015, 19, 133–140. [Google Scholar] [CrossRef]
- Cheikh, K.E.; Remond, S.; Khalil, N.; Aouad, G. Numerical and experimental studies of aggregate blocking in mortar extrusion. Constr. Build. Mater. 2017, 145, 452–463. [Google Scholar] [CrossRef]
- Nerella, V.N.; Mechtcherine, V. Virtual Sliding Pipe Rheometer for estimating pumpability of concrete. Constr. Build. Mater. 2018, 170, 366–377. [Google Scholar] [CrossRef]
- Ebrahimi, M.; Siegmann, E.; Prieling, D.; Glasser, B.J.; Khinast, J. An investigation of the hydrodynamic similarity of single-spout fluidized beds using CFD-DEM simulations. Adv. Powder Technol. 2017, 28, 2465–2481. [Google Scholar] [CrossRef]
- Pietsch, S.; Heinrich, S.; Karpinski, K.; Muller, M.; Schonherr, M.; Jager, F.K. CFD-DEM modeling of a three-dimensional prismatic spouted bed. Powder Technol. 2017, 316, 245–255. [Google Scholar] [CrossRef]
- Zhao, H.; Zhao, Y. CFD–DEM simulation of pneumatic conveying in a horizontal channel. Int. J. Multiph. Flow 2019, 118, 64–74. [Google Scholar] [CrossRef]
- Du, J.; Hu, G.; Fang, Z.; Fan, Z. Simulation of dilute pneumatic conveying with bends by CFD-DEM. J. Natl. Univ. Def. Technol. 2014, 4, 134–139. [Google Scholar] [CrossRef]
- Wang, X.; Sun, X. Three-dimensional simulations of air–water bubbly flows. Int. J. Multiph. Flow 2010, 36, 882–890. [Google Scholar] [CrossRef]
- Wu, J.; Naggar, M.H.E.; Li, X.; Wen, H. DEM analysis of geobag wall system filled with recycled concrete aggregate. Constr. Build. Mater. 2020, 238, 117684. [Google Scholar] [CrossRef]
- Krenzer, K.; Mechtcherine, V.; Palzer, U. Simulating mixing processes of fresh concrete using the discrete element method (DEM) under consideration of water addition and changes in moisture distribution. Cem. Concr. Res. 2019, 115, 274–282. [Google Scholar] [CrossRef]
- Li, Z.; Cao, G.; Guo, K. Numerical method for thixotropic behavior of fresh concrete. Constr. Build. Mater. 2018, 187, 931–941. [Google Scholar] [CrossRef]
- Zhang, X.; Zhang, Z.; Li, Z.; Li, Y.; Sun, T. Filling capacity analysis of self-compacting concrete in rock-filled concrete based on DEM. Constr. Build. Mater. 2020, 233, 117321. [Google Scholar] [CrossRef]
- Karakurt, C.; Celik, A.O.; Yilmazer, C.; Kiricci, V.; Ozyasar, E. CFD simulations of self-compacting concrete with discrete phase modeling. Constr. Build. Mater. 2018, 186, 20–30. [Google Scholar] [CrossRef]
- Remond, S.; Pizette, P.J.C.; Research, C. A DEM hard-core soft-shell model for the simulation of concrete flow. Cem. Concr. Res. 2014, 58, 169–178. [Google Scholar] [CrossRef]
- Haervig, J.; Kleinhans, U.; Wieland, C.; Spliethoff, H.; Jensen, A.L.; Sorensen, K.; Condra, T.J. On the Adhesive JKR Contact and Rolling Models for Reduced Particle Stiffness Discrete Element Simulations. Powder Technol. 2017, 319, 472–482. [Google Scholar] [CrossRef] [Green Version]
- Ji, Y.; Liu, S.; Li, J. Experimental study of supply pressure on spraying materials in horizontal pipe. Vacuum 2019, 159, 51–58. [Google Scholar] [CrossRef]
- Ji, Y.; Liu, S. Effect of secondary flow on gas-solid flow regimes in lifting elbows. Powder Technol. 2019, 352, 397–412. [Google Scholar] [CrossRef]
- Liuabc, G.; Chengab, W.; Chenab, L.; Panab, G.; Liuab, Z. Rheological properties of fresh concrete and its application on shotcrete. Constr. Build. Mater. 2020, 243, 118180. [Google Scholar]
- Pan, G.; Li, P.; Chen, L.; Liu, G. A study of the effect of rheological properties of fresh concrete on shotcrete-rebound based on different additive components. Constr. Build. Mater. 2019, 224, 1069–1080. [Google Scholar] [CrossRef]
- Chenab, L.; Zhanga, X.; Liua, G. Analysis of dynamic mechanical properties of sprayed fiber-reinforced concrete based on the energy conversion principle. Constr. Build. Mater. 2020, 254, 119167. [Google Scholar] [CrossRef]
- Cui, X.; Liu, G.; Wang, C.; Qi, Y. Effects of PET Fibers on Pumpability, Shootability, and Mechanical Properties of Wet-Mix Shotcrete. Adv. Civ. Eng. 2019, 2019, 2756489. [Google Scholar] [CrossRef]
- Chen, L.; Zhou, Z.; Liu, G.; Cui, X.; Dong, Q.; Cao, H. Effects of substrate materials and liner thickness on the adhesive strength of the novel thin spray-on liner. Adv. Mech. Eng. 2020, 12, 1687814020904574. [Google Scholar] [CrossRef]
- Jiang, S.; Chen, X.; Cao, G.; Tan, Y.; Xiao, X.; Zhou, Y.; Liu, S.; Tong, Z.; Wu, Y. Optimization of fresh concrete pumping pressure loss with CFD-DEM approach. Constr. Build. Mater. 2021, 276, 122204. [Google Scholar] [CrossRef]
- Chen, L.; Sun, Z.; Ma, H.; Pan, G.; Li, P.; Gao, K. Flow characteristics of pneumatic conveying of stiff shotcrete based on CFD-DEM method. Powder Technol. 2022, 397, 117109. [Google Scholar] [CrossRef]
- Ma, G.; Sun, Z.; Ma, H.; Li, P. Calibration of Contact Parameters for Moist Bulk of Shotcrete Based on EDEM. Adv. Mater. Sci. Eng. 2022, 2022, 6072303. [Google Scholar] [CrossRef]
- Sun, Z.; Chen, L.; Yu, X.; Liu, G.; Pan, G.; Li, P.; Ma, H. Study on optimization of shotcrete loading technology and the diffusion law of intermittent dust generation. J. Clean. Prod. 2021, 312, 127765. [Google Scholar] [CrossRef]
- Yan, F.; Luo, C.; Zhu, R.; Wang, Z. Experimental and numerical study of a horizontal-vertical gas-solid two-phase system with self-excited oscillatory flow. Adv. Powder Technol. 2019, 30, 843–853. [Google Scholar] [CrossRef]
- Wei, J.; Zhang, H.; Wang, Y.; Wen, Z.; Yao, B.; Dong, J. The gas-solid flow characteristics of cyclones. Powder Technol. 2017, 308, 178–192. [Google Scholar] [CrossRef]
- Johnson, K.L.; Kendall, K.; Roberts, A. Surface Energy and the Contact of Elastic Solids. Proc. R. Soc. A Math. Phys. Eng. Sci. 1971, 324, 301–313. [Google Scholar]
- Chen, L.; Ma, G.; Liu, G.; Liu, Z. Effect of pumping and spraying processes on the rheological properties and air content of wet-mix shotcrete with various admixtures. Constr. Build. Mater. 2019, 225, 311–323. [Google Scholar] [CrossRef]
- Liu, G.; Guo, X.; Cheng, W.; Chen, L.; Cui, X. Investigating the migration law of aggregates during concrete flowing in pipe. Constr. Build. Mater. 2020, 251, 119065. [Google Scholar] [CrossRef]
- Cross, R. Measurements of the horizontal coefficient of restitution for a superball and a tennis ball. Am. J. Phys. 2002, 70, 482–489. [Google Scholar] [CrossRef]
- Li, T.; Zhang, J.; Ge, W. Simple measurement of restitution coefficient of irregular particles. China Particuology 2004, 2, 274–275. [Google Scholar] [CrossRef]
- Grima, A.P.; Wypych, P.W. Investigation into calibration of discrete element model parameters for scale-up and validation of particle-structure interactions under impact conditions. Powder Technol. 2011, 212, 198–209. [Google Scholar] [CrossRef]
- Barrios, G.K.P.; De Carvalho, R.M.; Kwade, A.; Tavares, L.M. Contact parameter estimation for DEM simulation of iron ore pellet handling. Powder Technol. 2013, 248, 84–93. [Google Scholar] [CrossRef]
- Chu, K.; Yu, A. Numerical Simulation of the Gas−Solid Flow in Three-Dimensional Pneumatic Conveying Bends. Ind. Eng. Chem. Res. 2008, 47, 7058–7071. [Google Scholar] [CrossRef]
- Solnordal, C.B.; Wong, C.Y.; Boulanger, J. An experimental and numerical analysis of erosion caused by sand pneumatically conveyed through a standard pipe elbow. Wear 2015, 336, 43–57. [Google Scholar] [CrossRef]
- Xu, L.; Zhang, Q.; Zheng, J.; Zhao, Y. Numerical prediction of erosion in elbow based on CFD-DEM simulation. Powder Technol. 2016, 302, 236–246. [Google Scholar] [CrossRef]















| Item | Index | Unit | Value |
|---|---|---|---|
| DEM | Pipe diameter D | m | 0.06 |
| Horizontal tube length L1 | m | 5 | |
| Horizontal tube length L2 | m | 2.5 | |
| Curvature radius of bent pipe R | m | 0.2 | |
| Coefficient of static friction | - | 0.68 | |
| Coefficient of rolling friction | - | 0.15 | |
| Coefficient of restitution | - | 0.55 | |
| Density (particles) | kg/m3 | 2300 | |
| JKR surface energy | J | 16 | |
| Poisson ratio | - | 0.25 | |
| Time step | s | 2 × 10−5 | |
| CFD | Density (air) | kg/m3 | 1.225 |
| Viscosity | kg/(m·s) | 1.7894 × 10−5 | |
| Pressure outlet | Pa | 101325 | |
| Time step | s | 2 × 10−3 | |
| Viscous model | - | k-epsilon model |
Publisher’s Note: MDPI stays neutral with regard to jurisdictional claims in published maps and institutional affiliations. |
© 2022 by the authors. Licensee MDPI, Basel, Switzerland. This article is an open access article distributed under the terms and conditions of the Creative Commons Attribution (CC BY) license (https://creativecommons.org/licenses/by/4.0/).
Share and Cite
Ma, G.; Ma, H.; Sun, Z. Simulation of Two-Phase Flow of Shotcrete in a Bent Pipe Based on a CFD–DEM Coupling Model. Appl. Sci. 2022, 12, 3530. https://doi.org/10.3390/app12073530
Ma G, Ma H, Sun Z. Simulation of Two-Phase Flow of Shotcrete in a Bent Pipe Based on a CFD–DEM Coupling Model. Applied Sciences. 2022; 12(7):3530. https://doi.org/10.3390/app12073530
Chicago/Turabian StyleMa, Guanguo, Hui Ma, and Zhenjiao Sun. 2022. "Simulation of Two-Phase Flow of Shotcrete in a Bent Pipe Based on a CFD–DEM Coupling Model" Applied Sciences 12, no. 7: 3530. https://doi.org/10.3390/app12073530
APA StyleMa, G., Ma, H., & Sun, Z. (2022). Simulation of Two-Phase Flow of Shotcrete in a Bent Pipe Based on a CFD–DEM Coupling Model. Applied Sciences, 12(7), 3530. https://doi.org/10.3390/app12073530

