Impact of Respiratory Gating on Hemodynamic Parameters from 4D Flow MRI
Abstract
:1. Introduction
2. Materials and Methods
2.1. Data Acquisition
2.2. Segmentation and Data Processing
2.3. Statistical Analysis
3. Results
4. Discussion
Author Contributions
Funding
Institutional Review Board Statement
Informed Consent Statement
Data Availability Statement
Conflicts of Interest
Appendix A
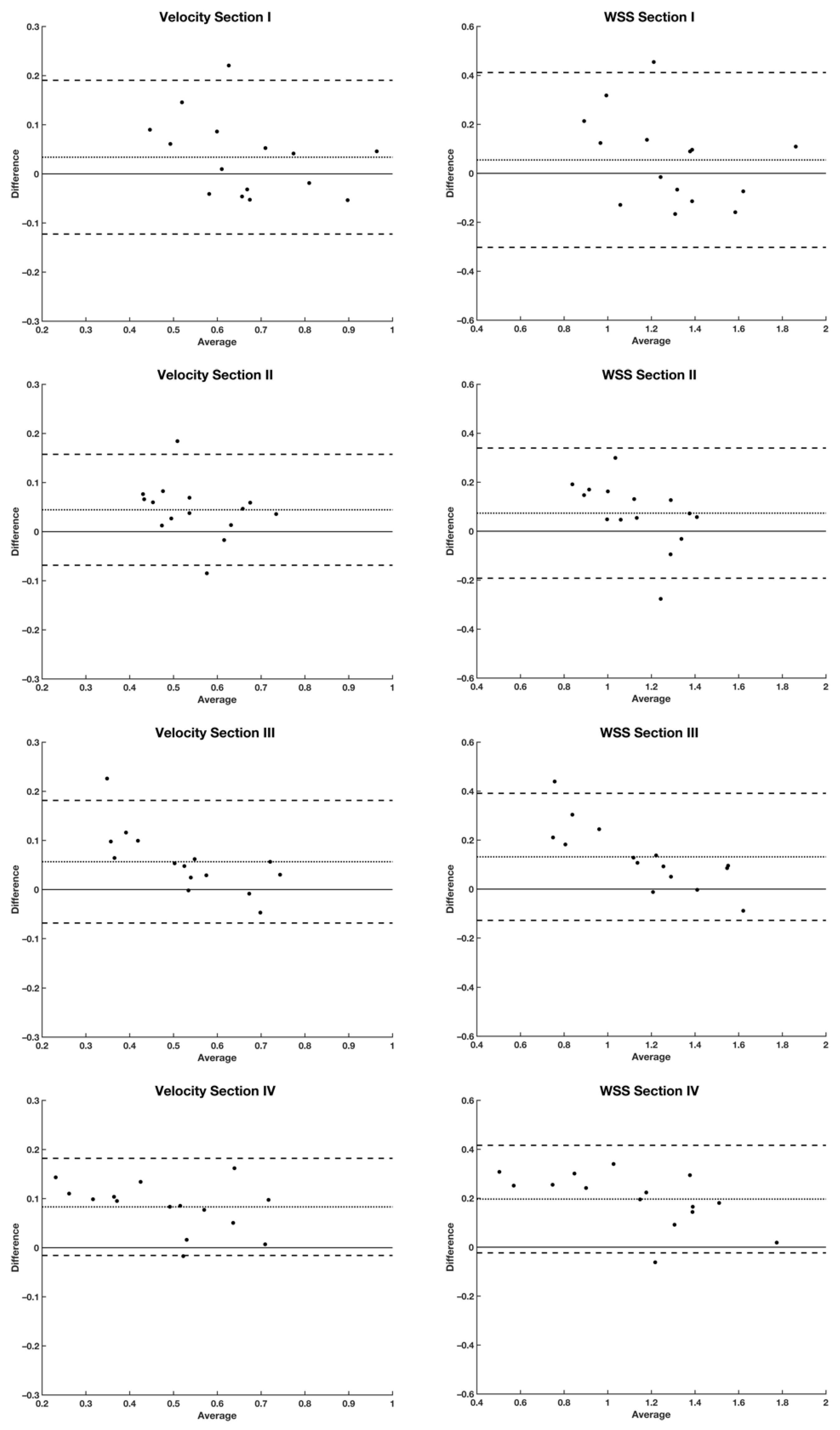
Bland–Altman Plots
| Hemodynamic Parameter | Section I Mean (SD) | Section II Mean (SD) | Section III Mean (SD) | Section IV Mean (SD) |
|---|---|---|---|---|
| Velocity (m/s) | 0.034 (0.080) | 0.045 (0.058) | 0.057 (0.064) | 0.083 (0.050) |
| WSS (N/m2) | 0.055 (0.182) | 0.074 (0.136) | 0.132 (0.132) | 0.197 (0.112) |
| WSSA (N/m2) | 0.056 (0.179) | 0.073 (0.135) | 0.132 (0.132) | 0.197 (0.112) |
| WSSC (N/m2) | −0.001 (0.035) | 0.007 (0.014) | −0.001 (0.008) | −0.004 (0.014) |
| Vorticity (1/s) | −0.289 (6.074) | 2.279 (8.932) | 2.983 (7.033) | 7.531 (8.296) |
| Viscous Dissipation (1/s2) | −0.257 (1.771) | 0.436 (0.705) | 0.246 (0.587) | 0.591 (0.964) |
| Kinetic Energy (µJ) | −0.013 (0.102) | 0.026 (0.040) | 0.015 (0.032) | 0.032 (0.052) |
| Energy Loss (µW) | 0.301 (0.870) | 0.404 (0.581) | 0.472 (0.455) | 0.689 (0.498) |


Appendix B
Local Differences

| Hemodynamic Parameter | Section I | Section II | Section III | Section IV |
|---|---|---|---|---|
| Mean (mm) | −0.0811 | −0.0706 | −0.0505 | −0.0716 |
| Standard deviation (mm) | 0.7883 | 0.7685 | 0.7548 | 0.7399 |
| Minimum value (mm) | −5.1363 | −4.7774 | −4.7275 | −4.6676 |
| Maximum value (mm) | 2.9155 | 2.6580 | 2.6624 | 2.9427 |
References
- Dyverfeldt, P.; Ebbers, T. Comparison of respiratory motion suppression techniques for 4D flow MRI. Magn. Reson. Med. 2017, 78, 1877–1882. [Google Scholar] [CrossRef] [Green Version]
- Stehning, C.; Börnert, P.; Nehrke, K.; Eggers, H.; Stuber, M. Free-breathing whole-heart coronary MRA with 3D radial SSFP and self-navigated image reconstruction. Magn. Reson. Med. 2005, 54, 476–480. [Google Scholar] [CrossRef] [PubMed]
- Liao, J.-R.; Pauly, J.M.; Brosnan, T.J.; Pelc, N.J. Reduction of motion artifacts in cine MRI using variable-density spiral trajectories. Magn. Reson. Med. 1997, 37, 569–575. [Google Scholar] [CrossRef] [PubMed]
- Uribe, S.; Beerbaum, P.; Sørensen, T.S.; Rasmusson, A.; Razavi, R.; Schaeffter, T. Four-dimensional (4D) flow of the whole heart and great vessels using real-time respiratory self-gating. Magn. Reson. Med. 2009, 62, 984–992. [Google Scholar] [CrossRef]
- Henningsson, M.; Koken, P.; Stehning, C.; Razavi, R.; Prieto, C.; Botnar, R.M. Whole-heart coronary MR angiography with 2D self-navigated image reconstruction. Magn. Reson. Med. 2012, 67, 437–445. [Google Scholar] [CrossRef]
- Weiger, M.; Börnert, P.; Proksa, R.; Schäffter, T.; Haase, A. Motion-adapted gating based onk-space weighting for reduction of respiratory motion artifacts. Magn. Reson. Med. 1997, 38, 322–333. [Google Scholar] [CrossRef] [PubMed]
- Scott, A.D.; Keegan, J.; Firmin, D.N. High-resolution 3D coronary vessel wall imaging with near 100% respiratory efficiency using epicardial fat tracking: Reproducibility and comparison with standard methods. J. Magn. Reson. Imaging 2011, 33, 77–86. [Google Scholar] [CrossRef] [PubMed]
- Akcakaya, M.; Gulaka, P.; Basha, T.A.; Ngo, L.H.; Manning, W.J.; Nezafat, R. Free-breathing phase contrast MRI with near 100% respiratory navigator efficiency using k-space-dependent respiratory gating. Magn. Reson. Med. 2014, 71, 2172–2179. [Google Scholar] [CrossRef] [PubMed] [Green Version]
- Makowski, M.R.; Wiethoff, A.J.; Jansen, C.H.P.; Uribe, S.; Parish, V.; Schuster, A.; Botnar, R.M.; Bell, A.; Kiesewetter, C.; Razavi, R.; et al. Single breath-hold assessment of cardiac function using an accelerated 3D single breath-hold acquisition technique—Comparison of an intravascular and extravascular contrast agent. J. Cardiovasc. Magn. Reson. 2012, 14, 53. [Google Scholar] [CrossRef] [PubMed] [Green Version]
- Markl, M.; Frydrychowicz, A.; Kozerke, S.; Hope, M.; Wieben, O. 4D flow MRI. J. Magn. Reson. Imaging 2012, 36, 1015–1036. [Google Scholar] [CrossRef] [PubMed]
- Bastkowski, R.; Weiss, K.; Maintz, D.; Giese, D. Self-gated golden-angle spiral 4D flow MRI. Magn. Reson. Med. 2018, 80, 904–913. [Google Scholar] [CrossRef] [PubMed]
- Nordmeyer, S.; Riesenkampff, E.; Crelier, G.; Khasheei, A.; Schnackenburg, B.; Berger, F.; Kuehne, T. Flow-sensitive four-dimensional cine magnetic resonance imaging for offline blood flow quantification in multiple vessels: A validation study. J. Magn. Reson. Imaging 2010, 32, 677–683. [Google Scholar] [CrossRef] [PubMed]
- Markl, M.; Harloff, A.; Bley, T.A.; Zaitsev, M.; Jung, B.; Weigang, E.; Langer, M.; Hennig, J.; Frydrychowicz, A. Time-resolved 3D MR velocity mapping at 3T: Improved navigator-gated assessment of vascular anatomy and blood flow. J. Magn. Reson. Imaging 2007, 25, 824–831. [Google Scholar] [CrossRef] [PubMed]
- van Ooij, P.; Semaan, E.; Schnell, S.; Giri, S.; Stankovic, Z.; Carr, J.; Barker, A.J.; Markl, M. Improved respiratory navigator gating for thoracic 4D flow MRI. Magn. Reson. Imaging 2015, 33, 992–999. [Google Scholar] [CrossRef] [Green Version]
- Markl, M.; Chan, F.P.; Alley, M.T.; Wedding, K.L.; Draney, M.T.; Elkins, C.J.; Parker, D.W.; Wicker, R.; Taylor, C.A.; Herfkens, R.J.; et al. Time-resolved three-dimensional phase-contrast MRI. J. Magn. Reson. Imaging 2003, 17, 499–506. [Google Scholar] [CrossRef] [Green Version]
- Montalba, C.; Urbina, J.; Sotelo, J.; Andia, M.E.; Tejos, C.; Irarrazaval, P.; Hurtado, D.E.; Valverde, I.; Uribe, S. Variability of 4D flow parameters when subjected to changes in MRI acquisition parameters using a realistic thoracic aortic phantom. Magn. Reson. Med. 2018, 79, 1882–1892. [Google Scholar] [CrossRef]
- Sotelo, J.; Mura, J.; Hurtado, D.; Uribe, S. A Novel MATLAB Toolbox for Processing 4D Flow MRI Data. Int. Soc. Magn. Reson. Med. 2019, 27, 2. [Google Scholar]
- Sotelo, J.; Urbina, J.; Valverde, I.; Tejos, C.; Irarrazaval, P.; Andia, M.E.; Uribe, S.; Hurtado, D.E. 3D Quantification of Wall Shear Stress and Oscillatory Shear Index Using a Finite-Element Method in 3D CINE PC-MRI Data of the Thoracic Aorta. IEEE Trans. Med. Imaging 2016, 35, 1475–1487. [Google Scholar] [CrossRef]
- Sotelo, J.; Dux-Santoy, L.; Guala, A.; Rodríguez-Palomares, J.; Evangelista, A.; Sing-Long, C.; Urbina, J.; Mura, J.; Hurtado, D.E.; Uribe, S. 3D axial and circumferential wall shear stress from 4D flow MRI data using a finite element method and a laplacian approach. Magn. Reson. Med. 2018, 79, 2816–2823. [Google Scholar] [CrossRef]
- Sotelo, J.; Urbina, J.; Valverde, I.; Mura, J.; Tejos, C.; Irarrazaval, P.; Andia, M.E.; Hurtado, D.E.; Uribe, S. Three-dimensional quantification of vorticity and helicity from 3D cine PC-MRI using finite-element interpolations. Magn. Reson. Med. 2018, 79, 541–553. [Google Scholar] [CrossRef] [PubMed]
- Sotelo, J.; Valverde, I.; Martins, D.; Bonnet, D.; Boddaert, N.; Pushparajan, K.; Uribe, S.; Raimondi, F. Impact of aortic arch curvature in flow haemodynamics in patients with transposition of the great arteries after arterial switch operation. Eur. Heart J. Cardiovasc. Imaging 2021, jeaa416. [Google Scholar] [CrossRef] [PubMed]
- Arrieta, C.; Uribe, S.; Ramos-Grez, J.; Vargas, A.; Irarrazaval, P.; Parot, V.; Tejos, C. Quantitative assessments of geometric errors for rapid prototyping in medical applications. Rapid Prototyp. J. 2012, 18, 431–442. [Google Scholar] [CrossRef] [Green Version]


| Parameter | ||
|---|---|---|
| Field of view, mm | 236 × 226 × 134 | |
| Voxel size, mm | 2.34 × 2.34 × 2.5 | |
| Cardiac phases | 25 | |
| VENC, cm/s | 250 | |
| Echo time, ms | 2.66 | |
| Repetition time, ms | 4.78–4.80 | |
| Flip angle | 5° | |
| Self-Gated | Non-Gated | |
| Temporal resolution, ms | 37.62 ± 4.43 | 36.11 ± 4.18 |
| Heart rate, bpm | 66.33 ± 7.62 | 67.93 ± 8.03 |
| Acquisition time, min | 15.00 ± 2.86 | 12.33 ± 0.37 |
| Section I | Section II | |||
|---|---|---|---|---|
| Hemodynamic Parameter | Self-Gated Mean (CV) | Non-Gated Mean (CV) | Self-Gated Mean (CV) | Non-Gated Mean (CV) |
| Velocity (m/s) | 0.686 (0.197) | 0.652 (0.251) | 0.571 (0.159) | 0.527 (0.204) |
| WSS (N/m2) | 1.320 (0.186) | 1.265 (0.245) | 1.165 (0.138) | 1.092 (0.209) |
| WSSA (N/m2) | 1.308 (0.187) | 1.252 (0.242) | 1.157 (0.135) | 1.084 (0.208) |
| WSSC (N/m2) | 0.121 (0.343) | 0.122 (0.505) | 0.101 (0.333) | 0.094 (0.302) |
| Vorticity (1/s) | 45.549 (0.310) | 45.838 (0.330) | 42.008 (0.345) | 39.730 (0.370) |
| Viscous Dissipation (1/s2) | 4.569 (0.394) | 4.826 (0.590) | 3.047 (0.377) | 2.611 (0.370) |
| Kinetic Energy (µJ) | 0.258 (0.404) | 0.271 (0.601) | 0.172 (0.386) | 0.147 (0.384) |
| Energy Loss (µW) | 4.303 (0.392) | 4.002 (0.479) | 2.976 (0.324) | 2.572 (0.401) |
| Section III | Section IV | |||
| Hemodynamic Parameter | Self-Gated Mean (CV) | Non-Gated Mean (CV) | Self-Gated Mean (CV) | Non-Gated Mean (CV) |
| Velocity (m/s) | 0.558 (0.205) | 0.501 (0.318) | 0.528 (0.277) | 0.445 (0.375) |
| WSS (N/m2) | 1.230 (0.198) | 1.099 (0.318) | 1.224 (0.268) | 1.027 (0.384) |
| WSSA (N/m2) | 1.228 (0.198) | 1.096 (0.319) | 1.222 (0.268) | 1.024 (0.385) |
| WSSC (N/m2) | 0.048 (0.314) | 0.049 (0.316) | 0.047 (0.254) | 0.051 (0.330) |
| Vorticity (1/s) | 35.541 (0.258) | 32.558 (0.306) | 41.900 (0.312) | 34.369 (0.287) |
| Viscous Dissipation (1/s2) | 1.999 (0.471) | 1.753 (0.580) | 2.394 (0.643) | 1.803 (0.545) |
| Kinetic Energy (µJ) | 0.112 (0.477) | 0.097 (0.588) | 0.132 (0.637) | 0.099 (0.553) |
| Energy Loss (µW) | 2.995 (0.410) | 2.523 (0.579) | 2.873 (0.510) | 2.184 (0.642) |
| Hemodynamic Parameter | Section I | Section II | Section III | Section IV |
|---|---|---|---|---|
| Velocity (m/s) | 0.1688 | 0.0125 * | 0.0020 * | 0.0003 * |
| WSS (N/m2) | 0.4212 | 0.0302 * | 0.0015 * | 0.0002 * |
| WSSA (N/m2) | 0.3894 | 0.0302 * | 0.0015 * | 0.0002 * |
| WSSC (N/m2) | 0.4543 | 0.0946 | 0.6788 | 0.3303 |
| Vorticity (1/s) | 0.6788 | 0.1354 | 0.0833 | 0.0015 * |
| Viscous Dissipation (1/s2) | 0.6788 | 0.0215 * | 0.0946 | 0.0302 * |
| Kinetic Energy (µJ) | 0.8904 | 0.0103 * | 0.0554 | 0.0302 * |
| Energy Loss (µW) | 0.2524 | 0.0125 * | 0.0034 * | 0.0003 * |
Publisher’s Note: MDPI stays neutral with regard to jurisdictional claims in published maps and institutional affiliations. |
© 2022 by the authors. Licensee MDPI, Basel, Switzerland. This article is an open access article distributed under the terms and conditions of the Creative Commons Attribution (CC BY) license (https://creativecommons.org/licenses/by/4.0/).
Share and Cite
Denecken, E.; Sotelo, J.; Arrieta, C.; Andia, M.E.; Uribe, S. Impact of Respiratory Gating on Hemodynamic Parameters from 4D Flow MRI. Appl. Sci. 2022, 12, 2943. https://doi.org/10.3390/app12062943
Denecken E, Sotelo J, Arrieta C, Andia ME, Uribe S. Impact of Respiratory Gating on Hemodynamic Parameters from 4D Flow MRI. Applied Sciences. 2022; 12(6):2943. https://doi.org/10.3390/app12062943
Chicago/Turabian StyleDenecken, Esteban, Julio Sotelo, Cristobal Arrieta, Marcelo E. Andia, and Sergio Uribe. 2022. "Impact of Respiratory Gating on Hemodynamic Parameters from 4D Flow MRI" Applied Sciences 12, no. 6: 2943. https://doi.org/10.3390/app12062943
APA StyleDenecken, E., Sotelo, J., Arrieta, C., Andia, M. E., & Uribe, S. (2022). Impact of Respiratory Gating on Hemodynamic Parameters from 4D Flow MRI. Applied Sciences, 12(6), 2943. https://doi.org/10.3390/app12062943

