Hydrodynamic Investigation on a Land-Fixed OWC Wave Energy Device under Irregular Waves
Abstract
:1. Introduction
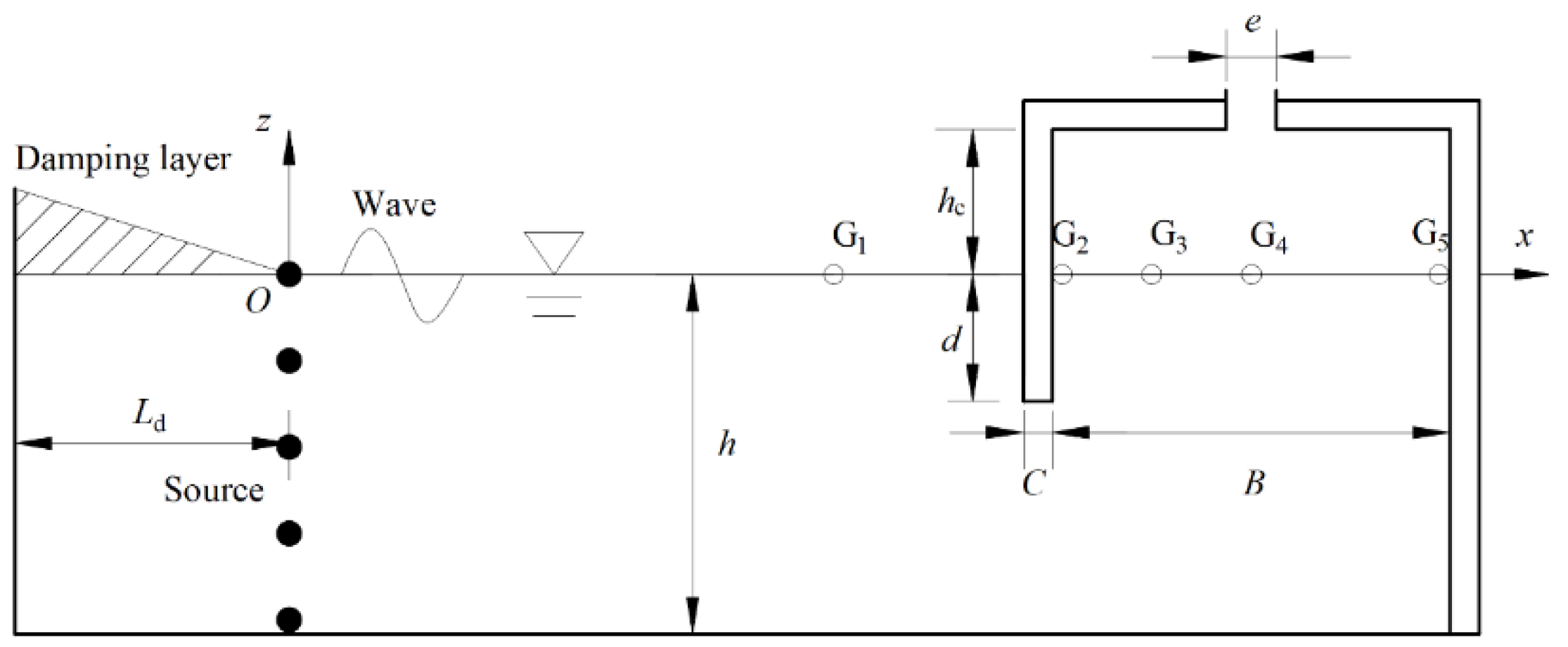
2. Numerical Model
2.1. Governing Equations and Boundary Conditions
2.2. Pneumatic Model and OWC Hydrodynamic Efficiency
2.3. Irregular Wave Generation
3. Validation
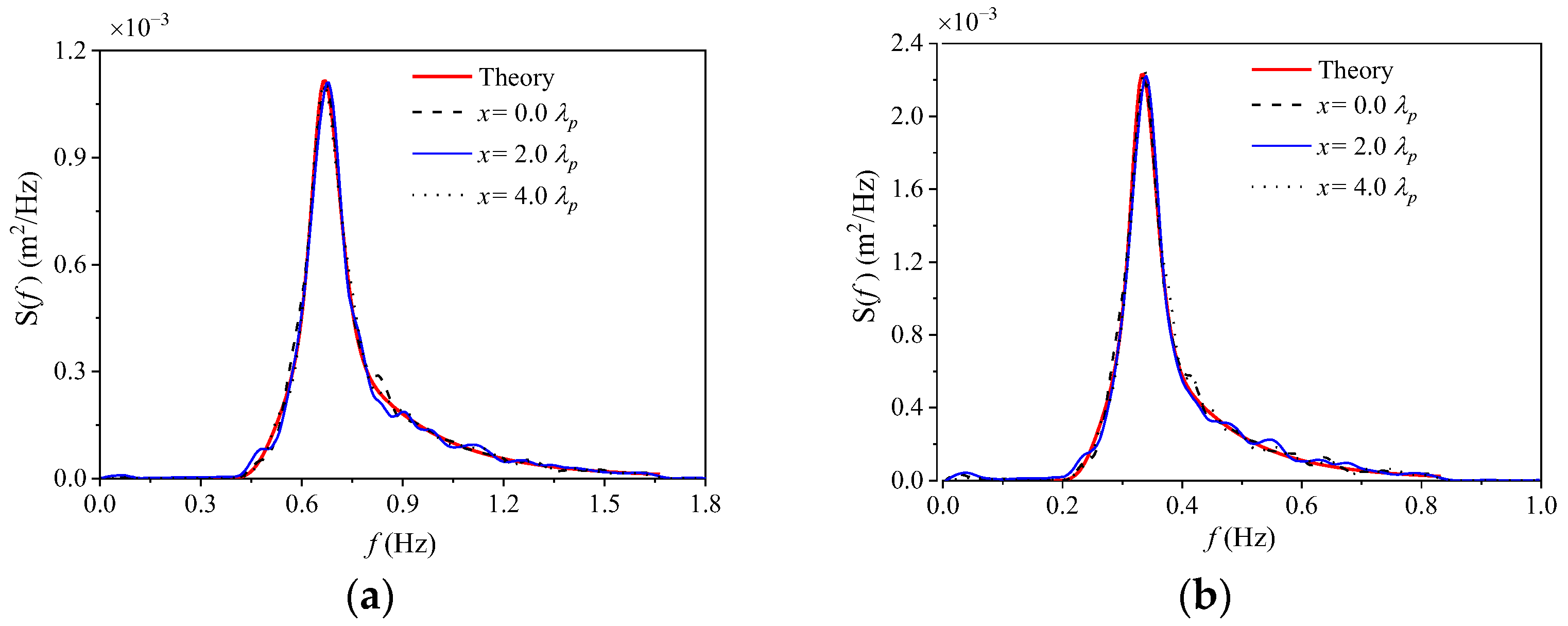
3.1. Irregular Wave Generation Validation
3.2. Model Validation
4. Results and Discussions
4.1. Characteristic of the Wave Height and Pneumatic Pressure
4.2. Comparison between the Irregular Wave and the Regular Waves
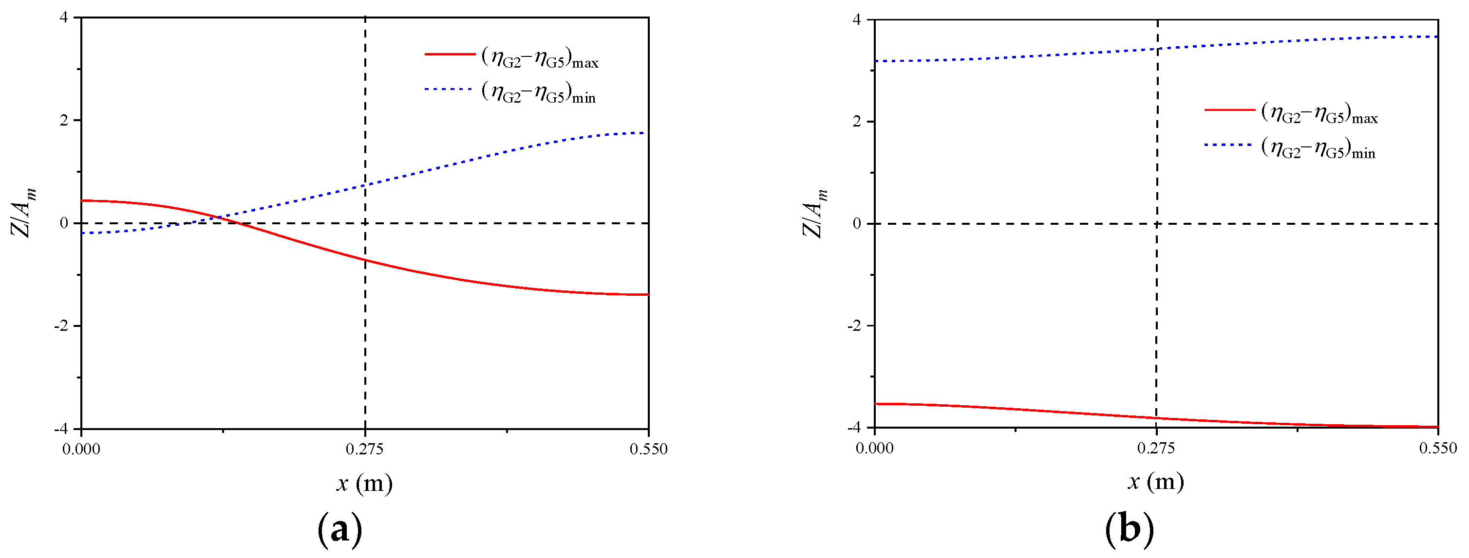
4.3. Water Motion inside the Chamber
5. Conclusions
Author Contributions
Funding
Institutional Review Board Statement
Informed Consent Statement
Data Availability Statement
Conflicts of Interest
References
- Borthwick, A.G.L. Marine Renewable Energy Seascape. Engineering 2016, 2, 69–78. [Google Scholar] [CrossRef] [Green Version]
- Khan, N.; Kalair, A.; Abas, N.; Haider, A. Review of ocean tidal, wave and thermal energy technologies. Renew. Sustain. Energy Rev. 2017, 72, 590–604. [Google Scholar] [CrossRef]
- Palha, A.; Mendes, L.; Fortes, C.J.; Brito-Melo, A.; Sarmento, A. The impact of wave energy farms in the shoreline wave climate: Portuguese pilot zone case study using Pelamis energy wave devices. Renew. Energy 2010, 35, 62–77. [Google Scholar] [CrossRef]
- Carballo, R.; Iglesias, G. Wave farm impact based on realistic wave-WEC interaction. Energy 2013, 51, 216–229. [Google Scholar] [CrossRef]
- Falcão, A.F.O. Wave energy utilization: A review of the technologies. Renew. Sustain. Energy Rev. 2010, 14, 899–918. [Google Scholar] [CrossRef]
- Ning, D.Z.; Shi, J.; Zou, Q.P.; Teng, B. Investigation of hydrodynamic performance of an OWC (oscillating water column) wave energy device using a fully nonlinear HOBEM (higher-order boundary element method). Energy 2015, 83, 177–188. [Google Scholar] [CrossRef]
- Wang, C.; Zhang, Y. Numerical investigation on the wave power extraction for a 3D dual-chamber oscillating water column system composed of two closely connected circular sub-units. Appl. Energy 2021, 295, 117009. [Google Scholar] [CrossRef]
- Falnes, J. A review of wave-energy extraction. Mar. Struct. 2007, 20, 185–201. [Google Scholar] [CrossRef]
- Cui, Y.; Liu, Z.; Zhang, X.; Xu, C. Review of CFD studies on axial-flow self-rectifying turbines for OWC wave energy conversion. Ocean Eng. 2019, 175, 80–102. [Google Scholar] [CrossRef]
- Heath, T.V. A review of oscillating water columns. Philos. Trans. A Math Phys. Eng. Sci 2012, 370, 235–245. [Google Scholar] [CrossRef] [Green Version]
- Falcão, A.F.O.; Henriques, J.C.C. Oscillating-water-column wave energy converters and air turbines: A review. Renew. Energy 2016, 85, 1391–1424. [Google Scholar] [CrossRef]
- Delmonte, N.; Barater, D.; Giuliani, F.; Cova, P.; Buticchi, G. Review of Oscillating Water Column Converters. IEEE Trans. Ind. Appl. 2015, 52, 1698–1710. [Google Scholar] [CrossRef]
- Gervelas, R.; Trarieux, F.; Patel, M. A time-domain simulator for an oscillating water column in irregular waves at model scale. Ocean Eng. 2011, 38, 1007–1013. [Google Scholar] [CrossRef]
- Koo, W.; Kim, M.-H. A time-domain simulation of an oscillating water column with irregular waves. Ocean. Syst. Eng. 2012, 2, 147–158. [Google Scholar]
- Vyzikas, T.; Deshoulieres, S.; Barton, M.; Giroux, O.; Greaves, D.; Simmonds, D. Experimental investigation of different geometries of fixed oscillating water column devices. Renew. Energy 2017, 104, 248–258. [Google Scholar] [CrossRef] [Green Version]
- Vyzikas, T.; Deshoulieres, S.; Giroux, O.; Barton, M.; Greaves, D. Numerical study of fixed Oscillating Water Column with RANS-type two-phase CFD model. Renew. Energy 2017, 102, 294–305. [Google Scholar] [CrossRef] [Green Version]
- Rezanejad, K.; Guedes Soares, C.; López, I.; Carballo, R. Experimental and numerical investigation of the hydrodynamic performance of an oscillating water column wave energy converter. Renew. Energy 2017, 106, 1–16. [Google Scholar] [CrossRef]
- Mitchell Ferguson, T.; Penesis, I.; Macfarlane, G.; Fleming, A. A PIV investigation of OWC operation in regular, polychromatic and irregular waves. Renew. Energy 2017, 103, 143–155. [Google Scholar] [CrossRef]
- Liu, Z.; Xu, C.; Shi, H.; Qu, N. Wave-flume tests of a model-scaled OWC chamber-turbine system under irregular wave conditions. Appl. Ocean Res. 2020, 99, 102141. [Google Scholar] [CrossRef]
- Zabihi, M.; Mazaheri, S.; Montazeri Namin, M.; Rezaee Mazyak, A. Irregular wave interaction with an offshore OWC wave energy converter. Ocean Eng. 2021, 222, 108619. [Google Scholar] [CrossRef]
- Gkikas, G.D.; Athanassoulis, G.A. Development of a novel nonlinear system identification scheme for the pressure fluctuation inside an oscillating water column-wave energy converter Part I: Theoretical background and harmonic excitation case. Ocean Eng. 2014, 80, 84–99. [Google Scholar] [CrossRef]
- Wang, R.-Q.; Ning, D.-Z.; Zou, Q.-P. Wave loads on a land-based dual-chamber Oscillating Water Column wave energy device. Coastal Eng. 2020, 160, 103744. [Google Scholar] [CrossRef]
- Ning, D.-Z.; Ke, S.; Mayon, R.; Zhang, C. Numerical Investigation on Hydrodynamic Performance of an OWC Wave Energy Device in the Stepped Bottom. Front. Energy Res. 2019, 7, 152. [Google Scholar] [CrossRef]
- Abbasnia, A.; Rezanejad, K.; Guedes Soares, C. Adaptive fully nonlinear potential model for the free surface under compressible air pressure of oscillating water column devices. Eng. Anal. Boundary Elem. 2021, 133, 153–164. [Google Scholar] [CrossRef]
- Ning, D.Z.; Wang, R.Q.; Zou, Q.P.; Teng, B. An experimental investigation of hydrodynamics of a fixed OWC Wave Energy Converter. Appl. Energy 2016, 168, 636–648. [Google Scholar] [CrossRef]
- Zabihi, M.; Mazaheri, S.; Namin, M.M. Experimental hydrodynamic investigation of a fixed offshore Oscillating Water Column device. Appl. Ocean Res. 2019, 85, 20–33. [Google Scholar] [CrossRef]
- Goda, Y. A Comparative Review on the Functional Forms of Directional Wave Spectrum. Coast. Eng. J. 2018, 41, 1–20. [Google Scholar] [CrossRef]














| Tp0 (s) | TH1/3 (s) | H1/3 (m) | H1/10 (m) | Hmax (m) | |
|---|---|---|---|---|---|
| Incident wave | 1.560 | 1.625 | 0.060 | 0.080 | 0.111 |
| Chamber center | 1.812 | 0.054 | 0.076 | 0.094 |
Publisher’s Note: MDPI stays neutral with regard to jurisdictional claims in published maps and institutional affiliations. |
© 2022 by the authors. Licensee MDPI, Basel, Switzerland. This article is an open access article distributed under the terms and conditions of the Creative Commons Attribution (CC BY) license (https://creativecommons.org/licenses/by/4.0/).
Share and Cite
Zhou, Z.; Ke, S.; Wang, R.; Mayon, R.; Ning, D. Hydrodynamic Investigation on a Land-Fixed OWC Wave Energy Device under Irregular Waves. Appl. Sci. 2022, 12, 2855. https://doi.org/10.3390/app12062855
Zhou Z, Ke S, Wang R, Mayon R, Ning D. Hydrodynamic Investigation on a Land-Fixed OWC Wave Energy Device under Irregular Waves. Applied Sciences. 2022; 12(6):2855. https://doi.org/10.3390/app12062855
Chicago/Turabian StyleZhou, Zhimin, Song Ke, Rongquan Wang, Robert Mayon, and Dezhi Ning. 2022. "Hydrodynamic Investigation on a Land-Fixed OWC Wave Energy Device under Irregular Waves" Applied Sciences 12, no. 6: 2855. https://doi.org/10.3390/app12062855
APA StyleZhou, Z., Ke, S., Wang, R., Mayon, R., & Ning, D. (2022). Hydrodynamic Investigation on a Land-Fixed OWC Wave Energy Device under Irregular Waves. Applied Sciences, 12(6), 2855. https://doi.org/10.3390/app12062855

