Experimental Characterization of Real Driving Cycles in a Light-Duty Diesel Engine under Different Dynamic Conditions
Abstract
:1. Introduction
2. Materials and Methods
2.1. Methodology
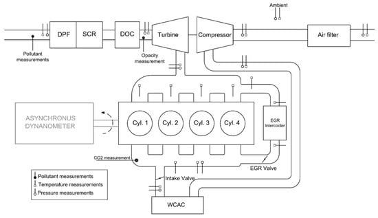
2.2. Test Bench and Engine
- SCHENK DYNAS3 asynchronous dynamometer, which imposed the brake of the engine by simulating the corresponding resistance force along with the real driving cycles. The resistance force applied by the brake is considered aerodynamic, friction, and inertia forces that would be exerted on the vehicle.
- Type K class B thermocouples.
- Kistler 4045A5 piezoresistive pressure sensors.
- Horiba MEXA-7100 gas analyzer, which measured volumetric concentrations of O2, THC, NOX, CO2, and CO at the exhaust tailpipe. CO2 concentration was also registered at the intake manifold, downstream of the EGR junction to estimate the EGR rate.
- AVL 439 opacimeter, to obtain the particulate mass, the opacity has been measured, and later it was traduced to soot density [30] through Equation (1).
- L = measuring length.
- N = opacity (%)
2.3. Simulated Vehicle
3. RDE Cycles Description
3.1. RDE 1
3.2. RDE 2
3.3. RDE 3, 4, 5, and 6
- RDE 3: This cycle presented the lowest duration but the highest average vehicle speed in every zone. This cycle was also characterized by a similar proportion of high and low loads.
- RDE 4: In this case, the previous RDE 3 was taken as a reference. The objective of RDE 4 was to generate a more dynamic cycle in the rural zone. This cycle was also less loaded being the average vehicle speeds in urban and motorways zones are lower than in RDE 3.
- RDE 5: The objective of this cycle was to generate a less loaded and dynamic cycle than the previous ones. In order to achieve that, phases with low dynamic demands were chosen. As observed in Figure 2, the differences in vehicle speed were reduced for the rural and motorway zones compared to other cycles.
- RDE 6: This last cycle was obtained with the same vehicle profile as RDE 5 with the driver behavior as the only difference. In this case, the gear shifting sequence was modified, advancing it to obtain a lower engine speed profile.
4. Results
4.1. RDE Tests
4.2. Test Results Versus Map Results
5. Conclusions
Author Contributions
Funding
Conflicts of Interest
References
- Council Directive 91/441/EEC of 26 June 1991 Amending Directive 70/220/EEC on the Approximation of the Laws of the Member States Relating to Measures to Be Taken against Air Pollution by Emissions from Motor Vehicles. Available online: http://data.europa.eu/eli/dir/1991/441/oj (accessed on 1 December 2021).
- Commission Regulation (EC) No 692/2008 of 18 July 2008 Implementing and Amending Regulation (EC) No 715/2007 of the European Parliament and of the Council on Type-Approval of Motor Vehicles with Respect to Emissions from Light Passenger and Commercial Vehicles (Euro 5 and Euro 6) and on Access to Vehicle Repair and Maintenance Information. Available online: http://data.europa.eu/eli/reg/2008/692/oj (accessed on 1 December 2021).
- State of the Global Climate in 2020, Provisional Report; World Meteorological Organization (WMO): Geneva, Switzerland, 2020.
- Center for Climate and Energy Solutions. Outcomes of the UN climate change conference in Paris. In Proceedings of the 21st Session of the Conference of the Parties to the United Nations Framework Convention on Climate Change (COP 21), Paris, France, 30 November–12 December 2015. [Google Scholar]
- Pandey, D.; Agrawal, M.; Pandey, J.S. Carbon footprint: Current methods of estimation. Environ. Monit. Assess 2011, 178, 135–160. [Google Scholar] [CrossRef] [PubMed]
- IEA. Energy Technology Perspectives; Technical Report; International Energy Agency: Paris, France, 2014; Available online: https://www.iea.org/reports/energy-technology-perspectives2014 (accessed on 10 December 2021).
- Regulation (EC). No 443/2009 of the European Parliament and of the Council of 23 April 2009 Setting Emission Performance Standards for New Passenger Cars as Part of the Community’s Integrated Approach to Reduce CO2 Emissions from Light-Duty Vehicles. J. Eur. Union 2009, 140, 5–6. [Google Scholar]
- Regulation (EU). 2019/631 of the European Parliament and of the Council of 17 April 2019 Setting CO2 Emission Performance Standards for New Passenger Cars and for New Light Commercial Vehicles, and Repealing Regulations (EC) No 443/2009 and (EU) No 510/2011; European Union: Brussels, Belgium, 2019. [Google Scholar]
- Zhang, L.; Lin, J.; Qiu, R. Characterizing the toxic gaseous emissions of gasoline and diesel vehicles based on a real-world on-road investigation. J. Clean. Prod. 2021, 286, 124957. [Google Scholar] [CrossRef]
- Tutuianu, M.; Bonnel, P.; Ciuffo, B.; Haniu, T.; Ichikawa, N.; Marotta, A.; Pavlovic, J.; Steven, H. Development of the World-wide harmonized Light duty Test Cycle (WLTC) and a possible pathway for its introduction in the European legislation. Transp. Res. Part D Transp. Environ. 2015, 40, 61–75. [Google Scholar] [CrossRef]
- Commission Regulation (EU) 2016/427 of 10 March 2016 amending Regulation (EC) No 692/2008 as Regards Emissions from Light Passenger and Commercial Vehicles (Euro 6). Available online: https://eur-lex.europa.eu/legal-content/EN/TXT/PDF/?uri=CELEX:32016R0427&from=ES (accessed on 1 December 2021).
- Lee, H.; Lee, K. Comparative Evaluation of the Effect of Vehicle Parameters on Fuel Consumption under NEDC and WLTP. Energies 2020, 13, 4245. [Google Scholar] [CrossRef]
- Dimaratos, A.; Toumasatos, Z.; Doulgeris, S.; Triantafyllopoulos, G.; Kontses, A.; Samaras, Z. Assessment of CO2 and NOx Emissions of One Diesel and One Bi-Fuel Gasoline/CNG Euro 6 Vehicles during Real-World Driving and Laboratory Testing. Front. Mech. Eng. 2019, 5. [Google Scholar] [CrossRef] [Green Version]
- Luján, J.M.; Bermúdez, V.; Dolz, V.; Monsalve-Serrano, J. An assessment of the real-world driving gaseous emissions from a Euro 6 light-duty diesel vehicle using a portable emissions measurement system (PEMS). Atmos. Environ. 2018, 174, 112–121. [Google Scholar] [CrossRef]
- García-Contreras, R.; Soriano, J.A.; Fernández-Yáñez, P.; Sánchez-Rodríguez, L.; Mata, C.; Gómez, A.; Armas, O.; Cárdenas, M.D. Dolores Cárdenas, Impact of regulated pollutant emissions of Euro 6d-Temp light-duty diesel vehicles under real driving conditions. J. Clean. Prod. 2021, 286, 124927. [Google Scholar] [CrossRef]
- Commission Regulation (EU) 2018/1832 of 5 November 2018 Amending Directive 2007/46/EC of the European Parliament and of the Council, Commission Regulation (EC) No 692/2008 and Commission Regulation (EU) 2017/1151 for the Purpose of Improving the Emission Type Approval Tests and Procedures for Light Passenger and Commercial Vehicles, Including Those for In-Service Conformity and Real-Driving Emissions and Introducing Devices for Monitoring the Consumption of Fuel and Electric Energy. Available online: https://eur-lex.europa.eu/legal-content/EN/TXT/HTML/?uri=CELEX:32018R1832&from=EN (accessed on 14 December 2021).
- Zhang, L.; Hu, X.; Qiu, R.; Lin, J. Comparison of real-world emissions of LDGVs of different vehicle emission standards on both mountainous and level roads in China. Transp. Res. Part D Transp. Environ. 2019, 69, 24–39. [Google Scholar] [CrossRef]
- Faria, M.V.; Duarte, G.O.; Varella, R.A.; Farias, T.L.; Baptista, P.C. How do road grade, road type and driving aggressiveness impact vehicle fuel consumption? Assessing potential fuel savings in Lisbon, Portugal. Transp. Res. Part D Transp. Environ. 2019, 72, 148–161. [Google Scholar] [CrossRef]
- Bodisco, T.; Zare, A. Practicalities and Driving Dynamics of a Real Driving Emissions (RDE) Euro 6 Regulation Homologation Test. Energies 2019, 12, 2306. [Google Scholar] [CrossRef] [Green Version]
- Triantafyllopoulos, G.; Katsaounis, D.; Karamitros, D.; Ntziachristos, L.; Samaras, Z. Experimental assessment of the potential to decrease diesel NOx emissions beyond minimum requirements for Euro 6 Real Drive Emissions (RDE) compliance. Sci. Total Environment. 2017, 618, 2306. [Google Scholar] [CrossRef] [PubMed]
- Yang, Z.; Liu, Y.; Wu, L.; Martinet, S.; Zhang, Y.; Andre, M.; Mao, H. Real-world gaseous emission characteristics of Euro 6b light-duty gasoline- and diesel-fueled vehicles. Transp. Res. Part D Transp. Environ. 2020, 78, 102215. [Google Scholar] [CrossRef]
- Taborda, A.M.; Varella, R.A.; Farias, T.L.; Duarte, G.O. Evaluation of technological solutions for compliance of environmental legislation in light-duty passenger: A numerical and experimental approach. Transp. Res. Part D Transp. Environ. 2019, 70, 135–146. [Google Scholar] [CrossRef]
- Luján, J.M.; Bermudez, V.; Pla, B.; Redondo, F. Engine test bench feasibility for the study and research of real driving cycles: Pollutant emissions uncertainty characterization. Int. J. Engine Res. 2021. [Google Scholar] [CrossRef]
- Broatch, A.; Margot, X.; Gil, A.; Galindo, E.; Soler, R. Definition of wind blowers for vehicles testing at chassis-dyno facilities using a CFD approach. Transp. Res. Part D Transp. Environ. 2017, 55, 99–112. [Google Scholar] [CrossRef]
- Rodríguez-Fernández, J.; Hernández, J.J.; Ramos, Á.; Calle-Asensio, A. Fuel economy, NOx emissions and lean NOx trap efficiency: Lessons from current driving cycles. Int. J. Engine Res. 2021. [Google Scholar] [CrossRef]
- Claßen, J.; Krysmon, S.; Dorscheidt, F.; Sterlepper, S.; Pischinger, S. Real Driving Emission Calibration—Review of Current Validation Methods against the Background of Future Emission Legislation. Appl. Sci. 2021, 11, 5429. [Google Scholar] [CrossRef]
- Giechaskiel, B.; Casadei, S.; Mazzini, M.; Sammarco, M.; Montabone, G.; Tonelli, R.; Deana, M.; Costi, G.; Di Tanno, F.; Prati, M.V.; et al. Inter-Laboratory Correlation Exercise with Portable Emissions Measurement Systems (PEMS) on Chassis Dynamometers. Appl. Sci. 2018, 8, 2275. [Google Scholar] [CrossRef] [Green Version]
- Varella, R.A.; Giechaskiel, B.; Sousa, L.; Duarte, G. Comparison of Portable Emissions Measurement Systems (PEMS) with Laboratory Grade Equipment. Appl. Sci. 2018, 8, 1633. [Google Scholar] [CrossRef] [Green Version]
- Czerwinski, J.; Comte, P.; Zimmerli, Y.; Reutimann, F. Testing emissions of passenger cars in laboratory and on-road (PEMS, RDE). Combust. Engines 2016, 166, 17–23. [Google Scholar] [CrossRef]
- Daniel, C.N. Estudio de las Emisiones de Escape en Motores de Combustión Interna Alternativos Utilizando Diferentes Sistemas de Control de Contaminantes; Departamento de Máquinas y Motores Térmicos, Universidad Politecnica de Valencia: Valencia, Spain, 2016. [Google Scholar]
- Robert Bosch GmbH. Bosch Automotive Handbook, 10th ed.; John Wiley & Sons: West Sussex, UK, 2018. [Google Scholar]
- Chong, H.S.; Park, Y.; Kwon, S.; Hong, Y. Analysis of real driving gaseous emissions from light-duty diesel vehicles. Transp. Res. Part D Transp. Environ. 2018, 65, 485–499. [Google Scholar] [CrossRef]
- Kogo, T.; Hamamura, Y.; Nakatani, K.; Toda, T.; Kawaguchi, A.; Shoji, A. High efficiency diesel engine with low heat loss combustion concept—Toyota’s inline 4-cylinder 2.8-liter ESTEC 1GD-FTV engine; SAE Paper; SAE: Warrendale, PA, USA, 2016. [Google Scholar] [CrossRef]















| Date | CO [g/km] | NOX [g/km] | PM [g/km] | THC + NOX [g/km] | |
|---|---|---|---|---|---|
| Euro 1 | 07-1992 | 2.72 | - | 0.14 | 0.97 |
| Euro 2 | 01-1996 | 1 | - | 0.08 | 0.9 |
| Euro 3 | 01-2000 | 0.64 | 0.5 | 0.1 | 0.56 |
| Euro 4 | 01-2005 | 0.5 | 0.25 | 0.05 | 0.3 |
| Euro 5 | 09-2009 | 0.5 | 0.18 | 0.05 | 0.23 |
| Euro 6 | 09-2014 | 0.5 | 0.08 | 0.05 | 0.17 |
| Reduction from Euro 1 to Euro 6 * | −81.6% | −84% | −64.3% | −82.5% |
| Characteristics | ||
|---|---|---|
| Tires code | 225/70 R15 | |
| Vehicle mass (M) | kg | 2731 |
| Frontal area (A) | m2 | 3.95 |
| Drag coefficient (Cx) | 0.335 | |
| 0.032 | ||
| N° of gears: | 6 | |
| 1st | Vehicle speed (km/h at 1000 rpm) | 6.79 |
| 2nd | 12.96 | |
| 3rd | 21.20 | |
| 4th | 31.80 | |
| 5th | 40.62 | |
| 6th | 47.33 | |
| RDE 1–5 | RDE 6 | |
|---|---|---|
| 1st | 3400 | 2900 |
| 2nd | 3300 | 2800 |
| 3rd | 3200 | 2700 |
| 4th | 3100 | 2700 |
| 5th | 3000 | 2650 |
| 6th | - | - |
| Min Value | Max Value | RDE 1 | RDE 2 | RDE 3 | RDE 4 | RDE 5&6 | ||
|---|---|---|---|---|---|---|---|---|
| Route characteristics | ||||||||
| Duration | min | 90 | 120 | 94.9 | 92.58 | 90.9 | 92.33 | 93.4 |
| Altitude | m a.s.l. | 0 | 700 | 6 | 6 | 6 | 6 | 6 |
| Temperature | °C | 0 | 30 | 20 | 20 | 20 | 20 | 20 |
| Altitude difference (start–end) | m a.s.l. | 100 | 0 | 0 | 0 | 0 | 0 | |
| Urban zone | ||||||||
| Distance | km | 16 | - | 24.1 | 21.59 | 25.87 | 24.86 | 24.19 |
| Distance proportion | % | 29 | 44 | 36.48 | 32.86 | 36.38 | 34.54 | 36.71 |
| Stop time (idle) | % | 6 | 30 | 28.87 | 28.94 | 27.67 | 28.74 | 29.24 |
| Longer stop | % | - | 80 | 7.25 | 5.67 | 4.08 | 4.23 | 4.05 |
| Average speed | km/h | 15 | 30 | 22.4 | 20.93 | 25.67 | 24.2 | 23.96 |
| Rural zone | ||||||||
| Distance | km | 16 | - | 24.25 | 23.64 | 27.89 | 26.61 | 22.31 |
| Distance proportion | % | 23 | 43 | 36.71 | 35.98 | 39.22 | 36.97 | 33.86 |
| Motorway zone | ||||||||
| Distance | km | 16 | - | 17.71 | 20.47 | 17.36 | 20.5 | 19.39 |
| Distance proportion | % | 23 | 43 | 26.81 | 35.98 | 39.22 | 36.97 | 33.86 |
| Time speed >100 km/h | min | 5 | - | 6.85 | 8.95 | 7.37 | 6.88 | 6.17 |
| Power [kW] | |||||||
|---|---|---|---|---|---|---|---|
| - | >0 | >20 | >40 | >60 | |||
| ≤0 | ≤20 | ≤40 | ≤60 | - | |||
| Dragging | Bin 0 | - | - | - | - | ||
| Vehicle Speed [km/h] | =0(Idle) | Bin 1 | - | - | - | - | |
| ≥0 | <60 | - | Bin 2 | Bin 5 | Bin 8 | Bin 11 | |
| ≥60 | <90 | - | Bin 3 | Bin 6 | Bin 9 | Bin 12 | |
| ≥90 | - | - | Bin 4 | Bin 7 | Bin 10 | Bin 13 | |
| NOX | THC | CO | CO2 | |
|---|---|---|---|---|
| [g/km] | ||||
| RDE 1 | 0.4378 | 0.0170 | 0.0738 | 175.28 |
| RDE 2 | 0.4778 | 0.0217 | 0.1268 | 174.29 |
| RDE 3 | 0.4508 | 0.0234 | 0.0978 | 164.15 |
| RDE 4 | 0.4384 | 0.0174 | 0.0685 | 169.73 |
| RDE 5 | 0.4241 | 0.0142 | 0.0515 | 162.27 |
| RDE 6 | 0.2799 | 0.0110 | 0.0501 | 147.34 |
| CO2 [kg] | NOX [g] | |||||
|---|---|---|---|---|---|---|
| Test | Map | εco2 | Test | Map | εNOx | |
| RDE 1 | 11.56 | 11.38 | 1.61% | 28.89 | 29.32 | −1.50% |
| RDE 2 | 11.36 | 11.21 | 1.34% | 31.16 | 30.04 | 3.62% |
| RDE 3 | 11.68 | 11.82 | −1.19% | 32.08 | 33.28 | −3.74% |
| RDE 4 | 12.21 | 12.38 | −1.34% | 31.55 | 31.96 | −1.31% |
| RDE 5 | 10.66 | 10.57 | 0.77% | 27.85 | 28.87 | −3.65% |
| RDE 6 | 9.68 | 9.61 | 0.79% | 18.38 | 17.57 | 4.39% |
| PM Mass [g] | |||
|---|---|---|---|
| Test | Map | εPM | |
| Urban period | 0.285 | 0.276 | 3.4% |
| Rural period | 0.383 | 0.385 | −0.5% |
| Motorway period | 0.672 | 0.643 | 4.4% |
| TOTAL | 1.340 | 1.303 | 2.8% |
Publisher’s Note: MDPI stays neutral with regard to jurisdictional claims in published maps and institutional affiliations. |
© 2022 by the authors. Licensee MDPI, Basel, Switzerland. This article is an open access article distributed under the terms and conditions of the Creative Commons Attribution (CC BY) license (https://creativecommons.org/licenses/by/4.0/).
Share and Cite
Luján, J.M.; Piqueras, P.; de la Morena, J.; Redondo, F. Experimental Characterization of Real Driving Cycles in a Light-Duty Diesel Engine under Different Dynamic Conditions. Appl. Sci. 2022, 12, 2472. https://doi.org/10.3390/app12052472
Luján JM, Piqueras P, de la Morena J, Redondo F. Experimental Characterization of Real Driving Cycles in a Light-Duty Diesel Engine under Different Dynamic Conditions. Applied Sciences. 2022; 12(5):2472. https://doi.org/10.3390/app12052472
Chicago/Turabian StyleLuján, José Manuel, Pedro Piqueras, Joaquín de la Morena, and Fernando Redondo. 2022. "Experimental Characterization of Real Driving Cycles in a Light-Duty Diesel Engine under Different Dynamic Conditions" Applied Sciences 12, no. 5: 2472. https://doi.org/10.3390/app12052472
APA StyleLuján, J. M., Piqueras, P., de la Morena, J., & Redondo, F. (2022). Experimental Characterization of Real Driving Cycles in a Light-Duty Diesel Engine under Different Dynamic Conditions. Applied Sciences, 12(5), 2472. https://doi.org/10.3390/app12052472

