The Analysis of the Aftershock Sequences of the Recent Mainshocks in Alaska
Abstract
:1. Introduction


2. Materials and Methods
2.1. Earthquake Catalogue
2.2. Gutenberg–Richter Scaling and the Exponential Distribution
2.3. Omori–Utsu Law
2.4. The Epidemic Type Aftershock Sequence (ETAS) Model
2.5. Extreme Value Distribution
2.6. Bayesian Predictive Distribution
2.7. Forecast Validation
3. Results
3.1. Frequency-Magnitude Statistics Analysis
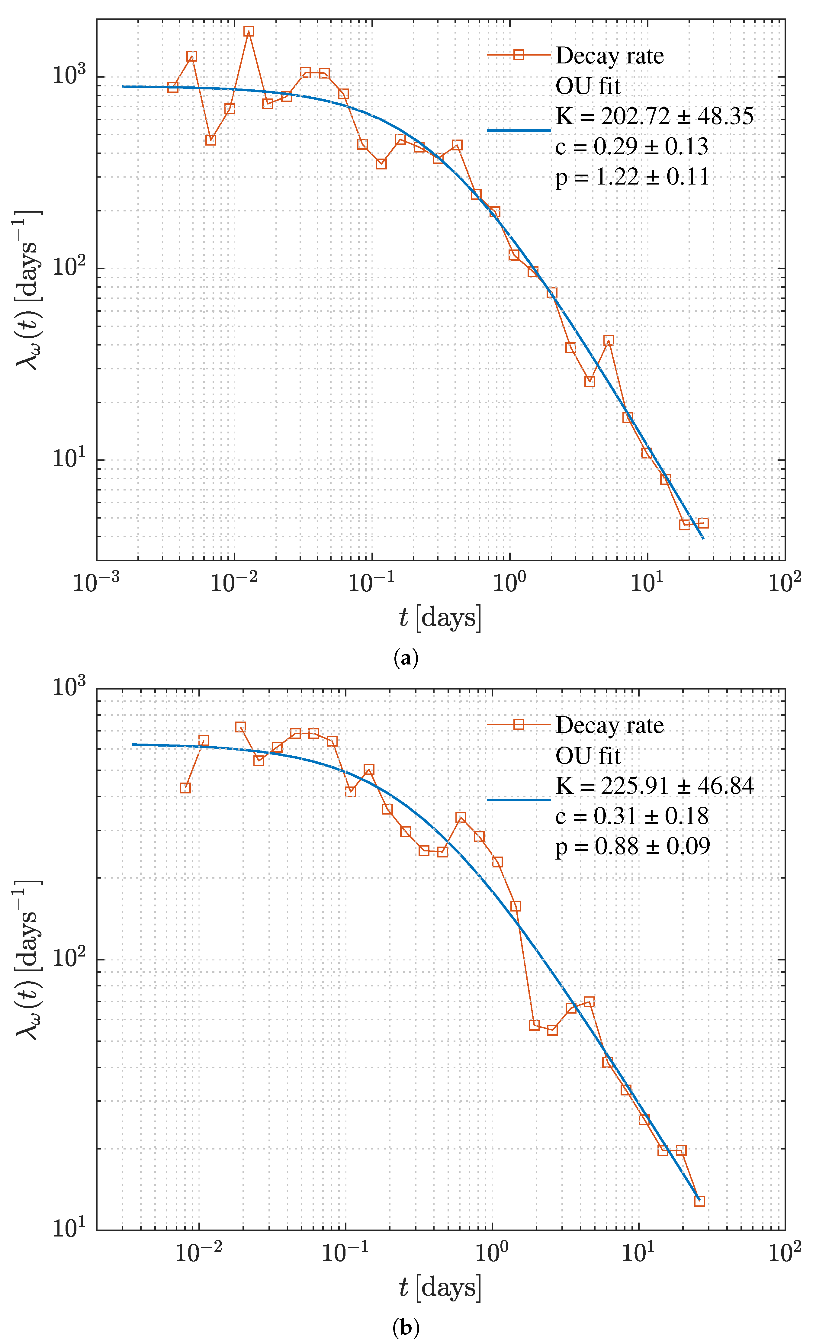
3.2. Aftershock Decay Rate Modelling
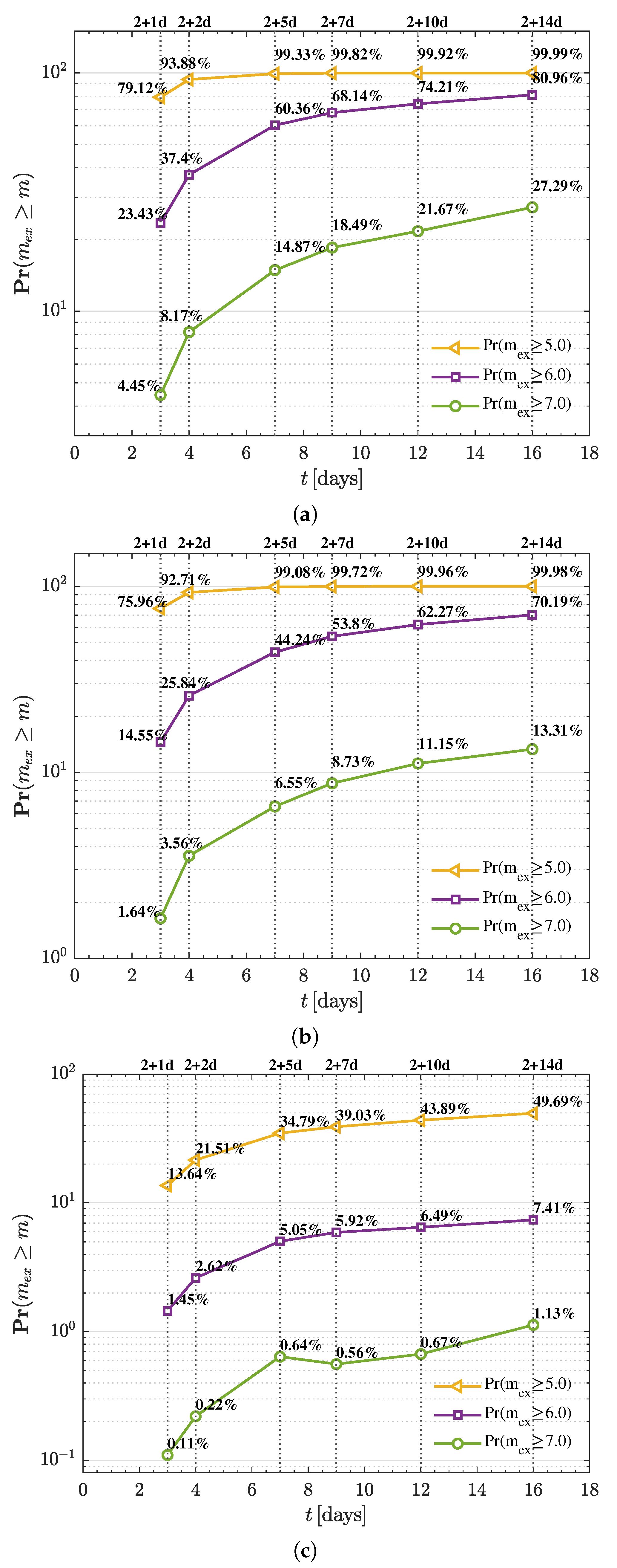
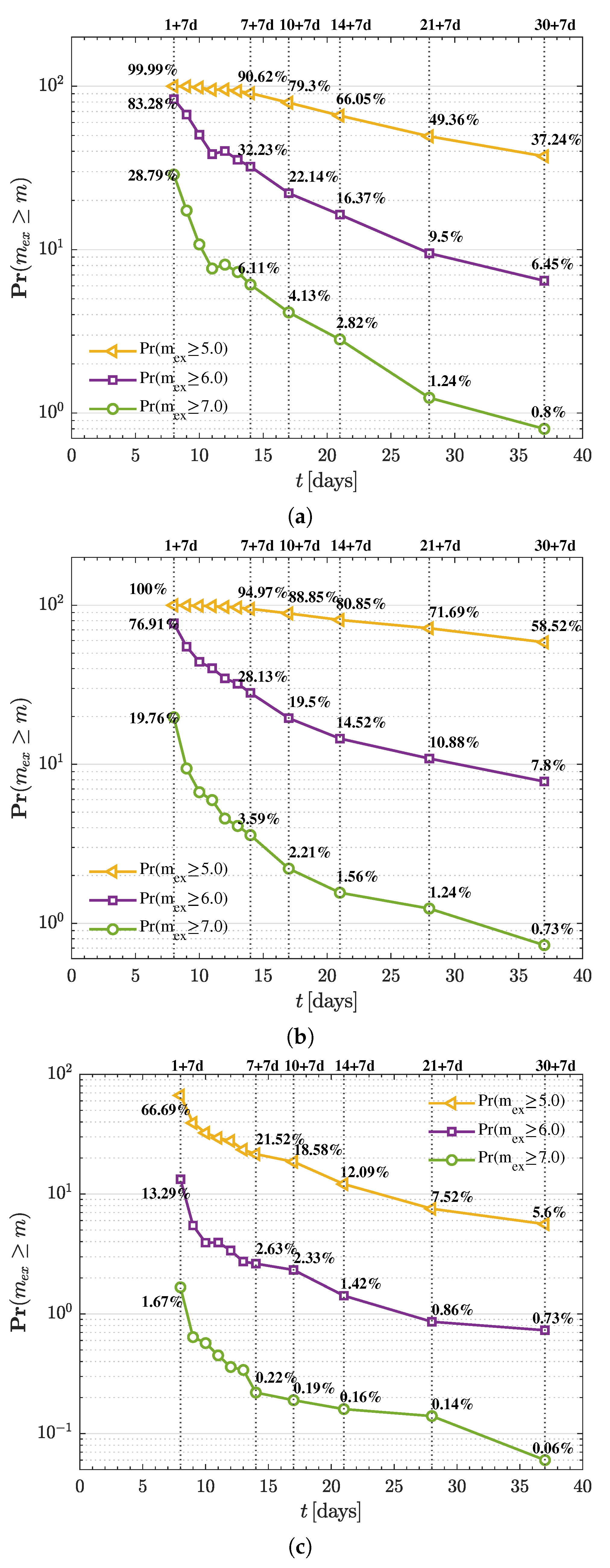
3.3. Retrospective Forecasting of the Largest Expected Aftershocks
3.4. Testing the Model Forecasts
4. Discussion and Conclusions
Author Contributions
Funding
Institutional Review Board Statement
Informed Consent Statement
Data Availability Statement
Acknowledgments
Conflicts of Interest
Abbreviations
| BPD | Bayesian Predictive Distribution |
| CSEP | Collaboratory for the Study of Earthquake Predictability |
| ETAS | Epidemic Type Aftershock Sequence |
| EVD | Extreme Value Distribution |
| GFT | Goodness of Fit Test |
| GR | Gutenberg–Richter |
| MCMC | Markov Chain Monte Carlo |
| MLE | Maximum Likelihood Estimation |
| OU | Omori–Utsu |
| USGS | United States Geological Survey |
Appendix A
| Model | Parameter | Mean | Std | 95% CI |
|---|---|---|---|---|
| Omori–Utsu law, Equation (5), | 2.077 | 0.093 | ||
| with Exponential frequency | K | 144.3 | 2.838 | |
| magnitude distribution, | c | 0.220 | 0.019 | |
| Equation (3), | p | 1.4 | 0.046 | |
| ETAS model, Equation (6), | 2.28 | 0.11 | ||
| with Exponential frequency | 0.001 | 0.0003 | ||
| magnitude distribution, | A | 0.104 | 0.03 | |
| Equation (3), | c | 0.028 | 0.008 | |
| p | 1.113 | 0.034 | ||
| 2.42 | 0.097 |











References
- Goda, K.; Pomonis, A.; Chian, S.; Offord, M.; Saito, K.; Sammonds, P.; Fraser, S.; Raby, A.; Macabuag, J. Ground motion characteristics and shaking damage of the 11th March 2011 Mw9.0 Great East Japan earthquake. Bull. Earthq. Eng. 2013, 11, 141–170. [Google Scholar] [CrossRef]
- Daniell, J.; Schaefer, A.; Wenzel, F. Losses associated with secondary effects in earthquakes. Front. Built Environ. 2017, 3, 30. [Google Scholar] [CrossRef]
- Shcherbakov, R.; Zhuang, J.; Zöller, G.; Ogata, Y. Forecasting the magnitude of the largest expected earthquake. Nat. Commun. 2019, 10, 4051. [Google Scholar] [CrossRef] [PubMed] [Green Version]
- Shcherbakov, R. Statistics and Forecasting of Aftershocks During the 2019 Ridgecrest, California, Earthquake Sequence. J. Geophys. Res. Solid Earth 2021, 126, e2020JB020887. [Google Scholar] [CrossRef]
- Båth, M. Lateral inhomogeneities of the upper mantle. Tectonophysics 1965, 2, 483–514. [Google Scholar] [CrossRef]
- Vere-Jones, D. A note on the statistical interpretation of Båth’s law. Bull. Seismol. Soc. Am. 1969, 59, 1535–1541. [Google Scholar] [CrossRef]
- Vere-Jones, D. Stochastic Models for Earthquake Sequences. Geophys. J. Int. 1975, 42, 811–826. [Google Scholar] [CrossRef]
- Reasenberg, P.A.; Jones, L.M. Earthquake Hazard after a Mainshock in California. Science 1989, 243, 1173–1176. [Google Scholar] [CrossRef]
- Michael, A.J.; McBride, S.K.; Hardebeck, J.L.; Barall, M.; Martinez, E.; Page, M.T.; van der Elst, N.; Field, E.H.; Milner, K.R.; Wein, A.M. Statistical Seismology and Communication of the USGS Operational Aftershock Forecasts for the 30 November 2018 Mw 7.1 Anchorage, Alaska, Earthquake. Seismol. Res. Lett. 2019, 91, 153–173. [Google Scholar] [CrossRef]
- Mignan, A.; Woessner, J. Estimating the magnitude of completeness for earthquake catalogs. Community Online Resour. Stat. Seism. Anal. 2012. [Google Scholar] [CrossRef]
- Kagan, Y.Y. Short-term properties of earthquake catalogs and models of earthquake source. Bull. Seismol. Soc. Am. 2004, 94, 1207–1228. [Google Scholar] [CrossRef] [Green Version]
- Peng, Z.G.; Vidale, J.E.; Houston, H. Anomalous early aftershock decay rate of the 2004 Mw 6.0 Parkfield, California, earthquake. Geophys. Res. Lett. 2006, 33, L17307. [Google Scholar] [CrossRef] [Green Version]
- Omi, T.; Ogata, Y.; Hirata, Y.; Aihara, K. Estimating the ETAS model from an early aftershock sequence. Geophys. Res. Lett. 2014, 41, 850–857. [Google Scholar] [CrossRef]
- Page, M.T.; van der Elst, N.; Hardebeck, J.; Felzer, K.; Michael, A.J. Three Ingredients for Improved Global Aftershock Forecasts: Tectonic Region, Time-Dependent Catalog Incompleteness, and Intersequence Variability. Bull. Seismol. Soc. Am. 2016, 106, 2290–2301. [Google Scholar] [CrossRef]
- García, J.; Gómez Rico, M.; Molina Collado, A. A destination-branding model: An empirical analysis based on stakeholders. Tour. Manag. 2012, 33, 646–661. [Google Scholar] [CrossRef]
- Gerstenberger, M.C.; Marzocchi, W.; Allen, T.; Pagani, M.; Adams, J.; Danciu, L.; Field, E.H.; Fujiwara, H.; Luco, N.; Ma, K.F.; et al. Probabilistic Seismic Hazard Analysis at Regional and National Scale: State of the Art and Future Challenges. Rev. Geophys. 2020, 58, e2019RG000653. [Google Scholar] [CrossRef]
- Schorlemmer, D.; Gerstenberger, M.C.; Wiemer, S.; Jackson, D.D.; Rhoades, D.A. Earthquake likelihood model testing. Seismol. Res. Lett. 2007, 78, 17–29. [Google Scholar] [CrossRef]
- Schorlemmer, D.; Werner, M.J.; Marzocchi, W.; Jordan, T.H.; Ogata, Y.; Jackson, D.D.; Mak, S.; Rhoades, D.A.; Gerstenberger, M.C.; Hirata, N.; et al. The Collaboratory for the Study of Earthquake Predictability: Achievements and Priorities. Seismol. Res. Lett. 2018, 89, 1305–1313. [Google Scholar] [CrossRef] [Green Version]
- Zechar, J.D.; Gerstenberger, M.C.; Rhoades, D.A. Likelihood-Based Tests for Evaluating Space-Rate-Magnitude Earthquake Forecasts. Bull. Seismol. Soc. Am. 2010, 100, 1184–1195. [Google Scholar] [CrossRef]
- Taroni, M.; Marzocchi, W.; Schorlemmer, D.; Werner, M.J.; Wiemer, S.; Zechar, J.D.; Heiniger, L.; Euchner, F. Prospective CSEP Evaluation of 1-Day, 3-Month, and 5-Yr Earthquake Forecasts for Italy. Seismol. Res. Lett. 2018, 89, 1251–1261. [Google Scholar] [CrossRef] [Green Version]
- Nanjo, K.Z.; Tsuruoka, H.; Yokoi, S.; Ogata, Y.; Falcone, G.; Hirata, N.; Ishigaki, Y.; Jordan, T.H.; Kasahara, K.; Obara, K.; et al. Predictability study on the aftershock sequence following the 2011 Tohoku-Oki, Japan, earthquake: First results. Geophys. J. Int. 2012, 191, 653–658. [Google Scholar] [CrossRef] [Green Version]
- Cattania, C.; Werner, M.J.; Marzocchi, W.; Hainzl, S.; Rhoades, D.; Gerstenberger, M.; Liukis, M.; Savran, W.; Christophersen, A.; Helmstetter, A.; et al. The Forecasting Skill of Physics-Based Seismicity Models during the 2010–2012 Canterbury, New Zealand, Earthquake Sequence. Seismol. Res. Lett. 2018, 89, 1238–1250. [Google Scholar] [CrossRef] [Green Version]
- Rhoades, D.A.; Liukis, M.; Christophersen, A.; Gerstenberger, M.C. Retrospective tests of hybrid operational earthquake forecasting models for Canterbury. Geophys. J. Int. 2016, 204, 440–456. [Google Scholar] [CrossRef]
- Rhoades, D.A.; Christophersen, A.; Gerstenberger, M.C.; Liukis, M.; Silva, F.; Marzocchi, W.; Werner, M.J.; Jordan, T.H. Highlights from the First Ten Years of the New Zealand Earthquake Forecast Testing Center. Seismol. Res. Lett. 2018, 89, 1229–1237. [Google Scholar] [CrossRef]
- Lay, T.; Ye, L.; Bai, Y.; Cheung, K.F.; Kanamori, H. The 2018 MW 7.9 Gulf of Alaska earthquake: Multiple fault rupture in the Pacific plate. Geophys. Res. Lett. 2018, 45, 9542–9551. [Google Scholar] [CrossRef]
- Ruppert, N.A.; Rollins, C.; Zhang, A.; Meng, L.; Holtkamp, S.G.; West, M.E.; Freymueller, J.T. Complex faulting and triggered rupture during the 2018 MW 7.9 offshore Kodiak, Alaska, earthquake. Geophys. Res. Lett. 2018, 45, 7533–7541. [Google Scholar] [CrossRef] [Green Version]
- West, M.E.; Bender, A.; Gardine, M.; Gardine, L.; Gately, K.; Haeussler, P.; Hassan, W.; Meyer, F.; Richards, C.; Ruppert, N.; et al. The 30 November 2018 M w 7.1 Anchorage earthquake. Seismol. Res. Lett. 2020, 91, 66–84. [Google Scholar] [CrossRef]
- Gomberg, J. Slow-slip phenomena in Cascadia from 2007 and beyond: A review. Geol. Soc. Am. Bull. 2010, 122, 963–978. [Google Scholar] [CrossRef]
- Bhattacharya, P.; Phan, M.; Shcherbakov, R. Statistical Analysis of the 2002 Mw 7.9 Denali Earthquake. Bull. Seismol. Soc. Am. 2011, 101, 2662–2674. [Google Scholar] [CrossRef]
- Vere-Jones, D. Foundations of Statistical Seismology. Pure Appl. Geophys. 2010, 167, 645–653. [Google Scholar] [CrossRef]
- Utsu, T. A statistical study on the occurrence of aftershocks. Geophys. Mag. 1961, 30, 521–605. [Google Scholar]
- Ogata, Y. Statistics of Earthquake Activity: Models and Methods for Earthquake Predictability Studies. Annu. Rev. Earth Planet. Sci. 2017, 45, 497–527. [Google Scholar] [CrossRef]
- USGS. Quaternary Fault and Fold Database. 2006. Available online: https://www.usgs.gov/natural-hazards/earthquake-hazards/faults/ (accessed on 18 December 2021).
- USGS. Mw 7.9 Central Alaska. 2015. Available online: https://earthquake.usgs.gov/earthquakes/eventpage/ak002e435qpj/executive (accessed on 18 December 2021).
- USGS. Mw 7.9 Kodiak Alaska. 2018. Available online: https://earthquake.usgs.gov/earthquakes/eventpage/us2000cmy3/executive (accessed on 18 December 2021).
- USGS. Mw 7.1 Anchorage Alaska. 2018. Available online: https://earthquake.usgs.gov/earthquakes/eventpage/ak20419010/executive (accessed on 18 December 2021).
- Krabbenhoeft, A.; von Huene, R.; Miller, J.J.; Lange, D.; Vera, F. Strike-slip 23 January 2018 MW 7.9 Gulf of Alaska rare intraplate earthquake: Complex rupture of a fracture zone system. Sci. Rep. 2018, 8, 13706. [Google Scholar] [CrossRef] [Green Version]
- Guo, Y.; Miyakoshi, K.; Tsurugi, M. Simultaneous rupture on conjugate faults during the 2018 Anchorage, Alaska, intraslab earthquake (MW 7.1) inverted from strong-motion waveforms. Earth Planets Space 2020, 72, 176. [Google Scholar] [CrossRef]
- Liu, C.; Lay, T.; Xie, Z.; Xiong, X. Intraslab deformation in the 30 November 2018 Anchorage, Alaska, MW 7.1 earthquake. Geophys. Res. Lett. 2019, 46, 2449–2457. [Google Scholar] [CrossRef]
- Gutenberg, B.; Richter, C.F. Frequency of earthquakes in California. Bull. Seismol. Soc. Am. 1944, 4, 185–188. [Google Scholar] [CrossRef]
- Bender, B. Maximum-likelihood estimation of b-values for magnitude grouped data. Bull. Seismol. Soc. Am. 1983, 73, 831–851. [Google Scholar] [CrossRef]
- Tinti, S.; Mulargia, F. Confidence intervals of b-values for grouped magnitudes. Bull. Seismol. Soc. Am. 1987, 77, 2125–2134. [Google Scholar]
- Omori, F. On after-shocks of earthquakes. J. Coll. Sci. Imp. Univ. Tokyo 1894, 7, 113–200. [Google Scholar]
- Ogata, Y. Estimation of the Parameters in the Modified Omori Formula for Aftershock Frequencies by the Maximum-Likelihood Procedure. J. Phys. Earth 1983, 31, 115–124. [Google Scholar] [CrossRef]
- Ogata, Y. Seismicity analysis through point-process modeling: A review. Pure Appl. Geophys. 1999, 155, 471–507. [Google Scholar] [CrossRef]
- Ogata, Y. Statistical-Models For Earthquake Occurrences And Residual Analysis For Point-Processes. J. Am. Stat. Assoc. 1988, 83, 9–27. [Google Scholar] [CrossRef]
- Daley, D.J.; Vere-Jones, D. An Introduction to the Theory of Point Processes, 2nd ed.; Springer: New York, NY, USA, 2003; Volume 1. [Google Scholar]
- Shcherbakov, R.; Zhuang, J.; Ogata, Y. Constraining the magnitude of the largest event in a foreshock-mainshock-aftershock sequence. Geophys. J. Int. 2018, 212, 1–13. [Google Scholar] [CrossRef]
- Rhoades, D.A.; Schorlemmer, D.; Gerstenberger, M.C.; Christophersen, A.; Zechar, J.D.; Imoto, M. Efficient testing of earthquake forecasting models. Acta Geophys. 2011, 59, 728–747. [Google Scholar] [CrossRef]
- Wiemer, S.; Wyss, M. Minimum magnitude of completeness in earthquake catalogs: Examples from Alaska, the western United States, and Japan. Bull. Seismol. Soc. Am. 2000, 90, 859–869. [Google Scholar] [CrossRef]
- Zhuang, J.; Ogata, Y.; Wang, T. Data completeness of the Kumamoto earthquake sequence in the JMA catalog and its influence on the estimation of the ETAS parameters. Earth Planets Space 2017, 69, 1–12. [Google Scholar] [CrossRef] [Green Version]
- Gulia, L.; Rinaldi, A.P.; Tormann, T.; Vannucci, G.; Enescu, B.; Wiemer, S. The effect of a mainshock on the size distribution of the aftershocks. Geophys. Res. Lett. 2018, 45, 13–277. [Google Scholar] [CrossRef] [Green Version]
- Spassiani, I.; Marzocchi, W. An Energy-Dependent Earthquake Moment–Frequency Distribution. Bull. Seismol. Soc. Am. 2021, 111, 762–774. [Google Scholar] [CrossRef]















| Name | Date | Time | Latitude | Longitude | Magnitude | Depth |
|---|---|---|---|---|---|---|
| Denali | 3 November 2002 | 22:12:41 | 63.5141 | −147.4529 | 7.9 Mw | 4.2 km |
| Kodiak | 23 January 2018 | 09:31:40 | 56.0039 | −149.1658 | 7.9 Mw | 14 km |
| Anchorage | 30 November 2018 | 17:29:29 | 61.3464 | −149.9552 | 7.1 Mw | 46.7 km |
| Mainshock Name | Start Date and Time | Elliptical Aftershock Zone | Magnitude Cut-Off, | ||||
|---|---|---|---|---|---|---|---|
| Center | Declination | Radii | |||||
| Latitude | Longitude | ||||||
| Denali | 3 November 2002 (22:12:41) | 63.1 | −145.40 | 117.5 | 1.85 | 0.55 | 3.0 |
| Kodiak | 23 January 2018 (09:31:40) | 56.2 | −149 | 40 | 0.85 | 0.65 | 3.2 |
| Anchorage | 30 November 2018 (17:29:29) | 61.425 | −149.91 | 35 | 0.22 | 0.16 | 2.8 |
| Name | Start Time | End Time | (Events per Day) | |
|---|---|---|---|---|
| Denali | 1 January 2000 | 3 October 2002 | 3.0 | 0.1 |
| Kodiak | 1 January 2000 | 23 December 2017 | 3.2 | 0.005 |
| Anchorage | 1 January 2000 | 30 October 2018 | 2.8 | 0.02 |
Publisher’s Note: MDPI stays neutral with regard to jurisdictional claims in published maps and institutional affiliations. |
© 2022 by the authors. Licensee MDPI, Basel, Switzerland. This article is an open access article distributed under the terms and conditions of the Creative Commons Attribution (CC BY) license (https://creativecommons.org/licenses/by/4.0/).
Share and Cite
Sedghizadeh, M.; Shcherbakov, R. The Analysis of the Aftershock Sequences of the Recent Mainshocks in Alaska. Appl. Sci. 2022, 12, 1809. https://doi.org/10.3390/app12041809
Sedghizadeh M, Shcherbakov R. The Analysis of the Aftershock Sequences of the Recent Mainshocks in Alaska. Applied Sciences. 2022; 12(4):1809. https://doi.org/10.3390/app12041809
Chicago/Turabian StyleSedghizadeh, Mohammadamin, and Robert Shcherbakov. 2022. "The Analysis of the Aftershock Sequences of the Recent Mainshocks in Alaska" Applied Sciences 12, no. 4: 1809. https://doi.org/10.3390/app12041809
APA StyleSedghizadeh, M., & Shcherbakov, R. (2022). The Analysis of the Aftershock Sequences of the Recent Mainshocks in Alaska. Applied Sciences, 12(4), 1809. https://doi.org/10.3390/app12041809

