Ultrafast Time-of-Flight Method of Gasoline Contamination Detection Down to ppm Levels by Means of Terahertz Time-Domain Spectroscopy
Abstract
Featured Application
Abstract
1. Introduction
2. Materials and Methods
2.1. Samples and Samples Preparation
2.2. Experimental Setups
2.2.1. Terahertz Time-Domain Spectrometer
2.2.2. Quasi-Optical THz Beam Delivery Setups
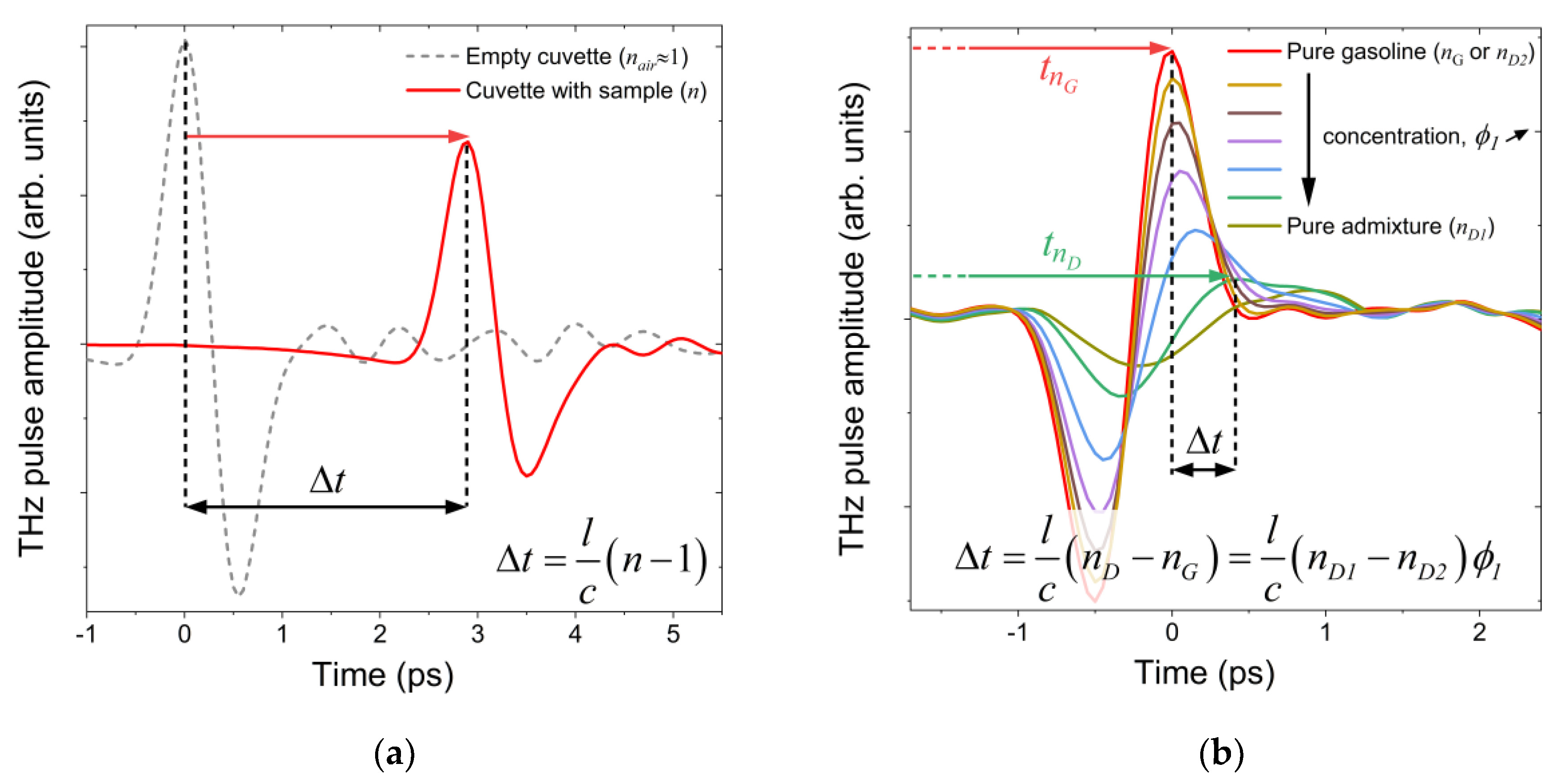
2.3. THz-TDS Time-of-Flight Method
2.4. Theoretical Model of the Refractive Index of Gasoline Admixture Solutions
3. Results
3.1. Time Stability Performance of the THz-TDS Setup
3.2. Determination of the Refractive Indices of Pure Isopropanol and Pure Gasoline
3.3. Investigations of THz Pulse Time of Flights in Gasoline Solutions with Isopropanol
3.4. Limits of Detection of Water and Isopropanol Admixtures in Gasoline Solutions
4. Conclusions
Author Contributions
Funding
Institutional Review Board Statement
Informed Consent Statement
Data Availability Statement
Acknowledgments
Conflicts of Interest
Appendix A
Appendix B
References
- Schmitz, M.; Schmitz, G. Experimental Study on the Accretion and Release of Ice in Aviation Jet Fuel. Aerosp. Sci. Technol. 2018, 82–83, 294–303. [Google Scholar] [CrossRef]
- Hemighaus, G.; Boval, T.; Bacha, J.; Barnes, F.; Franklin, M.; Gibbs, L.; Hogue, N.; Jones, J.; Lesnini, D.; Lind, J.; et al. Aviation Fuels Technical Review; Chevron Products Company, Chevron USA Inc.: San Ramon, CA, USA, 2007. [Google Scholar]
- Baena-Zambrana, S.; Repetto, S.L.; Lawson, C.P.; Lam, J.K.-W. Behaviour of Water in Jet Fuel—A Literature Review. Prog. Aerosp. Sci. 2013, 60, 35–44. [Google Scholar] [CrossRef]
- Zherebtsov, V.L.; Peganova, M.M. Water Solubility versus Temperature in Jet Aviation Fuel. Fuel 2012, 102, 831–834. [Google Scholar] [CrossRef]
- Lam, J.K.-W.; Carpenter, M.D.; Williams, C.; Hetherington, J.; Lao, L.; Hammond, D.; Ramshaw, C.; Yeung, H. Water Behaviour in Aviation Fuel under Cold Temperature Conditions (WAFCOLT); European Aviation Safety Agency: Köln-Deutz, Germany, 2013. [Google Scholar]
- Naftaly, M.; Vieweg, N.; Deninger, A. Industrial Applications of Terahertz Sensing: State of Play. Sensors 2019, 19, 4203. [Google Scholar] [CrossRef] [PubMed]
- Ng, B.; Hanham, S.M.; Giannini, V.; Chen, Z.C.; Tang, M.; Liew, Y.F.; Klein, N.; Hong, M.H.; Maier, S.A. Lattice Resonances in Antenna Arrays for Liquid Sensing in the Terahertz Regime. Opt. Express 2011, 19, 14653–14661. [Google Scholar] [CrossRef]
- Walther, M.; Fischer, B.M.; Ortner, A.; Bitzer, A.; Thoman, A.; Helm, H. Chemical Sensing and Imaging with Pulsed Terahertz Radiation. Anal. Bioanal. Chem. 2010, 397, 1009–1017. [Google Scholar] [CrossRef]
- Yin, M.; Tang, S.; Tong, M. The Application of Terahertz Spectroscopy to Liquid Petrochemicals Detection: A Review. Appl. Spectrosc. Rev. 2016, 51, 379–396. [Google Scholar] [CrossRef]
- Liu, L.; Pathak, R.; Cheng, L.-J.; Wang, T. Real-Time Frequency-Domain Terahertz Sensing and Imaging of Isopropyl Alcohol–Water Mixtures on a Microfluidic Chip. Sens. Actuators B Chem. 2013, 184, 228–234. [Google Scholar] [CrossRef]
- Arik, E.; Altan, H.; Esenturk, O. Dielectric Properties of Ethanol and Gasoline Mixtures by Terahertz Spectroscopy and an Effective Method for Determination of Ethanol Content of Gasoline. J. Phys. Chem. A 2014, 118, 3081–3089. [Google Scholar] [CrossRef]
- Gorenflo, S.; Tauer, U.; Hinkov, I.; Lambrecht, A.; Buchner, R.; Helm, H. Dielectric Properties of Oil–Water Complexes Using Terahertz Transmission Spectroscopy. Chem. Phys. Lett. 2006, 421, 494–498. [Google Scholar] [CrossRef]
- Jin, W.-J.; Zhao, K.; Yang, C.; Xu, C.-H.; Ni, H.; Chen, S.-H. Experimental Measurements of Water Content in Crude Oil Emulsions by Terahertz Time-Domain Spectroscopy. Appl. Geophys. 2013, 10, 506–509. [Google Scholar] [CrossRef]
- Guan, L.; Zhan, H.; Miao, X.; Zhu, J.; Zhao, K. Terahertz-Dependent Evaluation of Water Content in High-Water-Cut Crude Oil Using Additive-Manufactured Samplers. Sci. China Phys. Mech. Astron. 2017, 60, 044211. [Google Scholar] [CrossRef]
- Specification of Unleaded 95-Octane Gasoline, PKN ORLEN. Available online: https://www.orlen.pl/en/for-business/products/fuels/petrol/unleaded-95 (accessed on 2 January 2022).
- Ahmed, S.M.; Ahmad, F.; Osman, S.M. Preparation and Characterization of Derivatives of Isoricinoleic Acid and Their Antimicrobial Activity. J. Am. Oil Chem. Soc. 1985, 62, 1578–1580. [Google Scholar] [CrossRef]
- Mercier, L.; Detellier, C. Preparation, Characterization, and Applications as Heavy Metals Sorbents of Covalently Grafted Thiol Functionalities on the Interlamellar Surface of Montmorillonite. Environ. Sci. Technol. 1995, 29, 1318–1323. [Google Scholar] [CrossRef]
- Amer, A.; Mehlhorn, H. Larvicidal Effects of Various Essential Oils against Aedes, Anopheles, and Culex Larvae (Diptera, Culicidae). Parasitol. Res. 2006, 99, 466–472. [Google Scholar] [CrossRef]
- Dietz, R.J.B.; Vieweg, N.; Puppe, T.; Zach, A.; Globisch, B.; Göbel, T.; Leisching, P.; Schell, M. All Fiber-Coupled THz-TDS System with kHz Measurement Rate Based on Electronically Controlled Optical Sampling. Opt. Lett. 2014, 39, 6482–6485. [Google Scholar] [CrossRef]
- Auston, D.H. Chapter 4—Picosecond Photoconductors: Physical Properties and Applications. In Picosecond Optoelectronic Devices; Lee, C.H., Ed.; Academic Press: Cambridge, MA, USA, 1984; pp. 73–117. ISBN 978-0-12-440880-7. [Google Scholar]
- Tani, M.; Matsuura, S.; Sakai, K.; Nakashima, S. Emission Characteristics of Photoconductive Antennas Based on Low-Temperature-Grown GaAs and Semi-Insulating GaAs. Appl. Opt. 1997, 36, 7853–7859. [Google Scholar] [CrossRef] [PubMed]
- Dietz, R.J.B.; Globisch, B.; Gerhard, M.; Velauthapillai, A.; Stanze, D.; Roehle, H.; Koch, M.; Göbel, T.; Schell, M. 64 μW Pulsed Terahertz Emission from Growth Optimized InGaAs/InAlAs Heterostructures with Separated Photoconductive and Trapping Regions. Appl. Phys. Lett. 2013, 103, 061103. [Google Scholar] [CrossRef]
- Dietz, R.J.B.; Globisch, B.; Roehle, H.; Stanze, D.; Göbel, T.; Schell, M. Influence and Adjustment of Carrier Lifetimes in InGaAs/InAlAs Photoconductive Pulsed Terahertz Detectors: 6 THz Bandwidth and 90dB Dynamic Range. Opt. Express 2014, 22, 19411–19422. [Google Scholar] [CrossRef]
- Vieweg, N.; Rettich, F.; Deninger, A.; Roehle, H.; Dietz, R.; Göbel, T.; Schell, M. Terahertz-Time Domain Spectrometer with 90 DB Peak Dynamic Range. J. Infrared Millim. Terahertz Waves 2014, 35, 823–832. [Google Scholar] [CrossRef]
- Jepsen, P.U.; Cooke, D.G.; Koch, M. Terahertz Spectroscopy and Imaging—Modern Techniques and Applications. Laser Photonics Rev. 2011, 5, 124–166. [Google Scholar] [CrossRef]
- Klingshirn, C.F. Maxwell’s Equations, Photons and the Density of States. In Semiconductor Optics; Klingshirn, C.F., Ed.; Graduate Texts in Physics; Springer: Berlin/Heidelberg, Germany, 2012; pp. 11–37. ISBN 978-3-642-28362-8. [Google Scholar]
- Pretorius, F.; Focke, W.W.; Androsch, R.; du Toit, E. Estimating Binary Liquid Composition from Density and Refractive Index Measurements: A Comprehensive Review of Mixing Rules. J. Mol. Liq. 2021, 332, 115893. [Google Scholar] [CrossRef]
- Tasic, A.Z.; Djordjevic, B.D.; Grozdanic, D.K.; Radojkovic, N. Use of Mixing Rules in Predicting Refractive Indexes and Specific Refractivities for Some Binary Liquid Mixtures. J. Chem. Eng. Data 1992, 37, 310–313. [Google Scholar] [CrossRef]
- Resa, J.M.; González, C.; Ortiz de Landaluce, S.; Lanz, J. Densities, Excess Molar Volumes, and Refractive Indices of Ethyl Acetate and Aromatic Hydrocarbon Binary Mixtures. J. Chem. Thermodyn. 2002, 34, 995–1004. [Google Scholar] [CrossRef]
- Krishnaswamy, R.K.; Janzen, J. Exploiting Refractometry to Estimate the Density of Polyethylene: The Lorentz–Lorenz Approach Re-Visited. Polym. Test. 2005, 24, 762–765. [Google Scholar] [CrossRef]
- Iglesias-Otero, M.A.; Troncoso, J.; Carballo, E.; Romaní, L. Density and Refractive Index in Mixtures of Ionic Liquids and Organic Solvents: Correlations and Predictions. J. Chem. Thermodyn. 2008, 40, 949–956. [Google Scholar] [CrossRef]
- Nita, I.; Iulian, O.; Geacai, E.; Osman, S. Physico-Chemical Properties of the Pseudo-Binary Mixture Gasoline + 1—Butanol. Energy Procedia 2016, 95, 330–336. [Google Scholar] [CrossRef][Green Version]
- Nita, I.; Geacai, E.; Iulian, O.; Osman, S. Study of the Refractive Index of Gasoline+alcohol Pseudo-Binary Mixtures. Ovidius Univ. Ann. Chem. 2017, 28. [Google Scholar] [CrossRef]
- Arik, E.; Altan, H.; Esenturk, O. Dielectric Properties of Diesel and Gasoline by Terahertz Spectroscopy. J. Infrared Millim. Terahertz Waves 2014, 35, 759–769. [Google Scholar] [CrossRef]
- Bettega, M.H.F.; Winstead, C.; McKoy, V.; Jo, A.; Gauf, A.; Tanner, J.; Hargreaves, L.R.; Khakoo, M.A. Collisions of Low-Energy Electrons with Isopropanol. Phys. Rev. A 2011, 84, 042702. [Google Scholar] [CrossRef]
- Lapuerta, M.; Rodríguez-Fernández, J.; Patiño-Camino, R.; Cova-Bonillo, A.; Monedero, E.; Meziani, Y.M. Determination of Optical and Dielectric Properties of Blends of Alcohol with Diesel and Biodiesel Fuels from Terahertz Spectroscopy. Fuel 2020, 274, 117877. [Google Scholar] [CrossRef]
- Huang, S.; Ashworth, P.C.; Kan, K.W.C.; Chen, Y.; Wallace, V.P.; Zhang, Y.; Pickwell-MacPherson, E. Improved Sample Characterization in Terahertz Reflection Imaging and Spectroscopy. Opt. Express 2009, 17, 3848–3854. [Google Scholar] [CrossRef]
- Jin, Y.-S.; Kim, G.-J.; Shon, C.-H.; Jeon, S.-G.; Kim, J.I. Analysis of Petroleum Products and Their Mixtures by Using Terahertz Time Domain Spectroscopy. J. Korean Phys. Soc. 2008, 53, 1879–1885. [Google Scholar] [CrossRef]
- Al-Douseri, F.M.; Chen, Y.; Zhang, X.-C. THz Wave Sensing for Petroleum Industrial Applications. Int. J. Infrared Millim. Waves 2006, 27, 481–503. [Google Scholar] [CrossRef]
- Gramajo de Doz, M.B.; Bonatti, C.M.; Sólimo, H.N. Water Tolerance and Ethanol Concentration in Ethanol-Gasoline Fuels at Three Temperatures. Energy Fuels 2004, 18, 334–337. [Google Scholar] [CrossRef]
- Thanikasalam, K.; Rahmat, M.; Fahmi, A.G.M.; Zulkifli, A.M.; Shawal, N.N.; Ilanchelvi, K.; Ananth, M.; Elayarasan, R. A Review of Phase Separation Issues in Aviation Gasoline Fuel and Motor Gasoline Fuels in Aviation. IOP Conf. Ser. Mater. Sci. Eng. 2018, 370, 012007. [Google Scholar] [CrossRef]
- Kwon, G.; Kota, A.K.; Li, Y.; Sohani, A.; Mabry, J.M.; Tuteja, A. On-Demand Separation of Oil-Water Mixtures. Adv. Mater. 2012, 24, 3666–3671. [Google Scholar] [CrossRef] [PubMed]
- Song, Y.; Zhan, H.L.; Zhao, K.; Miao, X.Y.; Lu, Z.Q.; Bao, R.M.; Zhu, J.; Xiao, L.Z. Simultaneous Characterization of Water Content and Distribution in High-Water-Cut Crude Oil. Energy Fuels 2016, 30, 3929–3933. [Google Scholar] [CrossRef]
- Feng, X.; Wu, S.-X.; Zhao, K.; Wang, W.; Zhan, H.-L.; Jiang, C.; Xiao, L.-Z.; Chen, S.-H. Pattern Transitions of Oil-Water Two-Phase Flow with Low Water Content in Rectangular Horizontal Pipes Probed by Terahertz Spectrum. Opt. Express 2015, 23, A1693–A1699. [Google Scholar] [CrossRef]
- Palchoudhury, S.; Lead, J.R. A Facile and Cost-Effective Method for Separation of Oil–Water Mixtures Using Polymer-Coated Iron Oxide Nanoparticles. Environ. Sci. Technol. 2014, 48, 14558–14563. [Google Scholar] [CrossRef]
- Hepp, C.; Lüttjohann, S.; Roggenbuck, A.; Deninger, A.; Nellen, S.; Göbel, T.; Jörger, M.; Harig, R. A Cw-Terahertz Gas Analysis System with ppm Detection Limits. In Proceedings of the 2016 41st International Conference on Infrared, Millimeter, and Terahertz waves (IRMMW-THz), Copenhagen, Denmark, 25–30 September 2016; pp. 1–2. [Google Scholar]
- Nellen, S.; Globisch, B.; Kohlhaas, R.B.; Liebermeister, L.; Schell, M. Recent Progress of Continuous-Wave Terahertz Systems for Spectroscopy, Non-Destructive Testing, and Telecommunication. In Proceedings of the Terahertz, RF, Millimeter, and Submillimeter-Wave Technology and Applications XI, San Francisco, CA, USA, 29 January–1 February 2018; SPIE: Bellingham, WA, USA, 2018; Volume 10531, pp. 44–51. [Google Scholar]
- Dexheimer, S.L. Terahertz Spectroscopy: Principles and Applications; CRC Press: Boca Raton, 2008; ISBN 978-0-8493-7525-5. [Google Scholar]
- Peiponen, K.-E.; Zeitler, A.; Kuwata-Gonokami, M. (Eds.) Terahertz Spectroscopy and Imaging; Springer Series in Optical Sciences; Springer: Berlin/Heidelberg, Germany, 2013; ISBN 978-3-642-29563-8. [Google Scholar]
- Ahi, K. Mathematical Modeling of THz Point Spread Function and Simulation of THz Imaging Systems. IEEE Trans. Terahertz Sci. Technol. 2017, 7, 747–754. [Google Scholar] [CrossRef]










| Cuvette Length | TOFQuartz cuvette ± δ 1 (ps) | TOFliquid ± δ (ps) | Δt ± δ (ps) | THz Ref. Index n ± δ |
| Isopropanol | ||||
| l = 1.00 mm | 2613.09 ± 0.05 | 2614.78 ± 0.05 | 1.69 ± 0.10 | 1.507 ± 0.030 |
| l = 2.00 mm | 2612.93 ± 0.05 | 2616.30 ± 0.07 | 3.37 ± 0.12 | 1.506 ± 0.020 |
| l= 5.00 mm | 2612.99 ± 0.05 | 2621.45 ± 0.10 | 8.46 ± 0.15 | 1.5076 ± 0.0090 |
| niso = <1.50687 ± 0.00081> 2 | ||||
| Gasoline | ||||
| l = 1.00 mm | 2613.07 ± 0.05 | 2614.51 ± 0.06 | 1.44 ± 0.11 | 1.432 ± 0.033 |
| l = 2.00 mm | 2612.94 ± 0.05 | 2615.80 ± 0.08 | 2.86 ± 0.13 | 1.429 ± 0.020 |
| l = 5.00 mm | 2612.98 ± 0.05 | 2620.17 ± 0.09 | 7.19 ± 0.14 | 1.4314 ± 0.0084 |
| ngas = <1.4308 ± 0.0016> | ||||
| Substance | TOF n | Reference n |
| Isopropanol | niso = 1.50687 ± 0.00081 | n = 1.50 1 |
| Gasoline | ngas = 1.4308 ± 0.0016 | n = 1.415 − 1.441 2–4 |
| Cuvette Length | Isopropanol Concentration (%wt.) | Isopropanol Mass Fraction, ϕ1 (ppm) |
| l = 1.00 mm | 0.00 | 0 |
| 0.05 | 500 | |
| 0.20 | 2000 | |
| 0.50 | 5000 | |
| 1.00 | 10,000 | |
| 2.00 | 20,000 | |
| 5.00 | 50,000 | |
| 6.25 | 62,500 | |
| 12.5 | 125,000 | |
| 25.00 | 250,000 | |
| 50.00 | 500,000 | |
| 75.00 | 750,000 | |
| l = 2.00 mm | 0.00 | 0 |
| 0.05 | 500 | |
| 0.20 | 2000 | |
| 0.50 | 5000 | |
| 1.00 | 10,000 | |
| 2.00 | 20,000 | |
| 6.25 | 62,500 | |
| 12.50 | 125,000 | |
| 25.00 | 250,000 | |
| 50.00 | 500,000 | |
| l = 5.00 mm 1 | 0.00 | 0 |
| 0.05 | 500 | |
| 0.20 | 2000 | |
| 0.50 | 5000 | |
| 1.00 | 10,000 | |
| 2.00 | 20,000 | |
| 5.00 | 50,000 |
Publisher’s Note: MDPI stays neutral with regard to jurisdictional claims in published maps and institutional affiliations. |
© 2022 by the authors. Licensee MDPI, Basel, Switzerland. This article is an open access article distributed under the terms and conditions of the Creative Commons Attribution (CC BY) license (https://creativecommons.org/licenses/by/4.0/).
Share and Cite
Stelmaszczyk, K.; Karpierz-Marczewska, E.; Mikhnev, V.; Cywinski, G.; Skotnicki, T.; Knap, W. Ultrafast Time-of-Flight Method of Gasoline Contamination Detection Down to ppm Levels by Means of Terahertz Time-Domain Spectroscopy. Appl. Sci. 2022, 12, 1629. https://doi.org/10.3390/app12031629
Stelmaszczyk K, Karpierz-Marczewska E, Mikhnev V, Cywinski G, Skotnicki T, Knap W. Ultrafast Time-of-Flight Method of Gasoline Contamination Detection Down to ppm Levels by Means of Terahertz Time-Domain Spectroscopy. Applied Sciences. 2022; 12(3):1629. https://doi.org/10.3390/app12031629
Chicago/Turabian StyleStelmaszczyk, Kamil, Ewelina Karpierz-Marczewska, Valeri Mikhnev, Grzegorz Cywinski, Thomas Skotnicki, and Wojciech Knap. 2022. "Ultrafast Time-of-Flight Method of Gasoline Contamination Detection Down to ppm Levels by Means of Terahertz Time-Domain Spectroscopy" Applied Sciences 12, no. 3: 1629. https://doi.org/10.3390/app12031629
APA StyleStelmaszczyk, K., Karpierz-Marczewska, E., Mikhnev, V., Cywinski, G., Skotnicki, T., & Knap, W. (2022). Ultrafast Time-of-Flight Method of Gasoline Contamination Detection Down to ppm Levels by Means of Terahertz Time-Domain Spectroscopy. Applied Sciences, 12(3), 1629. https://doi.org/10.3390/app12031629

