Adsorption of CO2 on ZSM-5 Zeolite: Analytical Investigation via a Multilayer Statistical Physics Model
Abstract
:1. Introduction
2. Experimental Section
3. Modeling Analysis
3.1. Monolayer Model with One Energy (M1)
3.2. Monolayer Model with Two Energies (M2)
3.3. Multilayer Model (M3)
4. Advanced Modeling Analysis
5. Analysis of the Steric Parameters
5.1. Number of Molecules Adsorbed per Captured Site (n)
5.2. Density of Binding Sites (Dm)
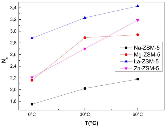
5.3. Total Number of Adsorbed Layers (Nc)
5.4. Adsorption Quantity at Saturation (Qsat)
6. Interpretation of the Adsorption Energy
7. Investigation of the Surface Adsorption Energy
8. Thermodynamic Studies
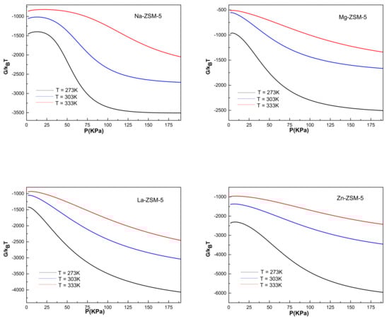
8.1. Gibbs Free Energy
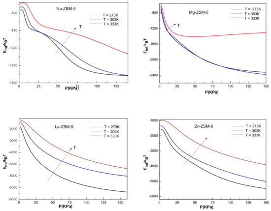
8.2. Internal Energy
9. Discussion
10. Conclusions
Author Contributions
Funding
Institutional Review Board Statement
Informed Consent Statement
Data Availability Statement
Acknowledgments
Conflicts of Interest
References
- Lee, S.C.; Kwon, Y.M.; Park, Y.H.; Lee, W.S.; Park, J.J.; Ryu, C.K.; Yi, C.K.; Kim, J.C. Structure effects of potassium-based TiO2 sorbents on the CO2 capture capacity. Top Catal. 2010, 53, 641–647. [Google Scholar] [CrossRef]
- Emissions of Greenhouse Gases in the United States; Energy Information Administration: Washington, DC, USA, 2003.
- Intergovernmental Panel on Climate Change (IPCC). IPCC Special Report on Carbon Dioxide Capture and Storage; Intergovernmental Panel on Climate Change (IPCC): Geneva, Switzerland, 2005. [Google Scholar]
- Olajire, A.A. Recent progress on the nanoparticles-assisted greenhouse carbon dioxide conversion processes. J. CO2 Util. 2018, 24, 522–547. [Google Scholar] [CrossRef]
- Kenarsari, S.D.; Yang, D.; Jiang, G.; Zhang, S.; Wang, J.; Russell, A.G.; Wei, Q.; Fan, M. Review of recent advances in carbon dioxide separation and capture. RSC Adv. 2013, 3, 22739–22773. [Google Scholar] [CrossRef]
- Luis, P.; Gerven, T.V.; der Bruggen, B.V. Recent developments in membrane-based technologies for CO2 capture. Prog. Energy Combust. Sci. 2012, 38, 419–448. [Google Scholar] [CrossRef]
- Hedin, N.; Andersson, L.; Bergstrm, L.; Yan, J. Adsorbents for the post-combustion capture of CO2 using rapid temperature swing or vacuum swing adsorption. Appl. Energy 2013, 104, 418–433. [Google Scholar] [CrossRef]
- Hadri, N.E.; Quang, D.V.; Goetheer, E.L.; Zahra, M.R.A. Aqueous amine solution characterization for post-combustion CO2 capture process. Appl. Energy 2017, 185, 1433–1449. [Google Scholar] [CrossRef]
- Bhatta, L.K.; Subramanyam, S.; Chengala, M.D.; Bhatta, U.M.; Venkatesh, K. Enhancement in CO2 adsorption on hydrotalcite-based material by novel carbon support combined with K2CO3 impregnation. Ind. Eng. Chem. Res. 2015, 54, 10876–10884. [Google Scholar] [CrossRef]
- You, H.S.; Jin, H.; Mo, Y.H.; Park, S.E. CO2 adsorption behavior of microwave synthesized zeolite beta. Mater. Lett. 2013, 108, 106–109. [Google Scholar] [CrossRef]
- Chen, C.; Huang, H.; Yu, Y.; Shi, J.; He, C.; Albilali, R.; Pan, H. Template-free synthesis of hierarchical porous carbon with controlled morphology for CO2 efficient capture. Chem. Eng. J. 2018, 353, 584–594. [Google Scholar] [CrossRef]
- Chen, C.; Yu, Y.; He, C.; Wang, L.; Huang, H.; Albilali, R.; Cheng, J.; Hao, Z. Efficient capture of CO2 over ordered micro-mesoporous hybrid carbon nanosphere. Appl. Surf. Sci. 2018, 439, 113–121. [Google Scholar] [CrossRef]
- Zhao, A.; Samanta, A.; Sarkar, P.; Gupta, R. Carbon dioxide adsorption on amine impregnated mesoporous SBA-15 sorbents: Experimental and kinetics study. Ind. Eng. Chem. Res. 2013, 52, 6480–6491. [Google Scholar] [CrossRef]
- Nelson, K.M.; Mahurin, S.M.; Mayes, R.T.; Williamson, B.; Teague, C.M.; Binder, A.J.; Baggetto, L.; Veith, G.M.; Dai, S. Preparation and CO2 adsorption properties of softtemplated mesoporous carbons derived from chestnut tannin precursors. Microporous Mesoporous Mater. 2016, 222, 94–103. [Google Scholar] [CrossRef] [Green Version]
- Ullah, R.; Saad, M.A.H.S.; Aparicio, S.; Atilhan, M. Adsorption equilibrium studies of CO2, CH4 and N2 on various modified zeolites at high pressures up to 200 bars. Microporous Mesoporous Mater. 2018, 262, 49–58. [Google Scholar] [CrossRef]
- Zhang, C.; Wu, Q.; Lei, C.; Pan, S.; Bian, C.; Wang, L.; Meng, X.; Xiao, F.S. Solvent-free and mesoporogen-free synthesis of mesoporous aluminosilicate ZSM-5 zeolites with superior catalytic properties in the methanol-to-olefins reaction. Ind. Eng. Chem. Res. 2017, 56, 1450–1460. [Google Scholar] [CrossRef]
- Ding, W.; Klumpp, M.; Li, H.; Schygulla, U.; Pfeifer, P.; Schwieger, W.; Haas-Santo, K.; Dittmeyer, R. Investigation of high-temperature and high-pressure gas adsorption in zeolite H-ZSM-5 via the langatate crystal microbalance: CO2, H2O, methanol, and dimethyl ether. J. Phys. Chem. C 2015, 119, 23478–23485. [Google Scholar] [CrossRef]
- Weng, X.; Sun, P.; Long, Y.; Meng, Q.; Wu, Z. Catalytic oxidation of chlorobenzene over MnxCe1-x O2/HZSM-5 catalysts: A Study with practical implications. Environ. Sci. Technol. 2017, 51, 8057–8066. [Google Scholar] [CrossRef]
- Sun, P.; Wang, W.; Dai, X.; Weng, X.; Wu, Z. Mechanism study on catalytic oxidation of chlorobenzene over MnxCe1-x O2/HZSM-5 catalysts under dry and humid conditions. Appl. Catal. B Environ. 2016, 198, 389–397. [Google Scholar] [CrossRef]
- Pham, T.D.; Liu, Q.; Lobo, R.F. Carbon dioxide and nitrogen adsorption on cationexchanged SSZ-13 zeolites. Langmuir 2012, 29, 832–839. [Google Scholar] [CrossRef] [PubMed]
- Zhang, J.; Singh, R.; Webley, P.A. Alkali and alkaline-earth cation exchanged chabazite zeolites for adsorption based CO2 capture. Microporous Mesoporous Mater. 2008, 11, 478–487. [Google Scholar] [CrossRef]
- Walton, K.S.; Abney, M.B.; Douglas LeVan, M. CO2 adsorption in Y and X zeolites modified by alkali metal cation exchange. Microporous Mesoporous Mater. 2006, 91, 78–84. [Google Scholar] [CrossRef]
- Li, Z.; Sellaoui, L.; Dotto, G.L.; Bonilla-Petriciolet, A.; Lamine, B.A. Understanding theadsorption mechanism of phenol and 2-nitrophenol on a biopolymer-based biochar in single and binary systems via advanced modeling analysis. Chem. Eng. 2019, 371, 1–6. [Google Scholar] [CrossRef]
- Sellaoui, L.; Dotto, G.L.; Peres, E.C.; Benguerba, Y.; Lima, E.C.; Lamine, A.B.; Erto, A. New insights into the adsorption of Crystal Violet dye on functionalized multiwalled carbon nanotubes: Experiments, statistical physics and COSMO–RS models application. J. Mol. Liq. 2017, 248, 890–897. [Google Scholar] [CrossRef]
- Wang, Y.; Du, T.; Jia, H.; Qiu, Z.; Song, Y. Effect of extra-framework cation in ion-exchanged ZSM-5 from rice husk ash on CO2 adsorption. Solid State Sci. 2019, 97, 105985. [Google Scholar] [CrossRef]
- Zhang, L.; Sellaoui, L.; Franco, D.; Dotto, G.L.; Bajahzar, A.; Belmabrouk, H.; Bonilla-Petriciolet, A.; Oliveira, M.L.S.; Lia, Z. Adsorption of dyes brilliant blue, sunset yellow and tartrazine from aqueous solution on chitosan: Analytical interpretation via multilayer statistical physics model. Chem. Eng. J. 2020, 382, 122952. [Google Scholar] [CrossRef]
- Li, Z.; Dotto, G.L.; Bajahzar, A.; Sellaoui, L.; Belmabrouk, H.; Ben Lamine, A.; Bonilla-Petriciolet, A. Adsorption of indium (III) from aqueous solution on raw, ultrasound- and supercritical-modified chitin: Experimental and theoretical analysis. Chem. Eng. J. 2019, 373, 1247–1253. [Google Scholar] [CrossRef]
- Pang, X.; Sellaoui, L.; Franco, D.; Netto, M.S.; Georgin, J.; Dotto, G.L.; Abu Shayeb, M.K.; Belmabrouk, H.; Bonilla-Petriciolet, A.; Li, Z. Preparation and characterization of a novel mountain soursop seeds powder adsorbent and its application for the removal of crystal violet and methylene blue from aqueous solutions. Chem. Eng. J. 2020, 391, 123617. [Google Scholar] [CrossRef]
- Hemalatha, P.; Bhagiyalakshmi, M.; Ganesh, M.; Palanichamy, M.; Murugesan, V.; Jang, H.T. Role of ceria in CO2 adsorption on NaZSM-5 synthesized using rice husk ash. J. Ind. Eng. Chem. 2012, 18, 260–265. [Google Scholar] [CrossRef]
- Westermann, A.; Azambre, B.; Bacariza, M.; Graça, I.; Ribeiro, M.; Lopes, J.; Henriques, C. The promoting effect of Ce in the CO2 methanation performances on NiUSY zeolite: A FTIR in Situ/Operando study. Catal. Today 2017, 83, 74–81. [Google Scholar] [CrossRef]
- Yang, S.T.; Kim, J.; Ahn, W.S. CO2 adsorption over ion-exchanged zeolite beta with alkali and alkaline earth metal ions. Microporous Mesoporous Mater. 2010, 135, 90–94. [Google Scholar] [CrossRef]
- Du, T.; Che, S.; Liu, L.; Fang, X. Preparation of zinc chabazite (ZnCHA) for CO2capture. Res. Chem. Intermed. 2017, 43, 1783–1792. [Google Scholar] [CrossRef]
- Al-Yousef, H.; Alotaibi, M.B.; Alanazi, M.M.; Aouaini, F.; Sellaoui, L.; Bonilla-Petriciolet, A. Theoretical assessment of the adsorption mechanism of ibuprofen, ampicillin, orange G and malachite green on a biomass functionalized with plasma. J. Environ. Chem. Eng. 2021, 9, 104950. [Google Scholar] [CrossRef]
- Bouaziz, N.; Aouaini, F.; Ben Torkia, Y.; Altowyan, S.A.; Ben Lamine, A. Advanced interpretation of hydrogen absorption process in LaMgNi3.6M0.4 (M = Ni, Mn, Al, Co, Cu) alloys using statistical physics treatment. Int. J. Hydrogen Energy 2021, 6, 10389–10395. [Google Scholar] [CrossRef]
- Aouaini, F.; Bouazizi, N.; Almoneef, M.M.; Al-Ghamdi, H.; Ben Lamine, A. Absorption and desorption of hydrogen in Ti1.02Cr1.1Mn0.3Fe0.6RE0.03: Experiments characterization and analytical interpretation using statistical physics treatment. RSC Adv. 2021, 11, 15905. [Google Scholar] [CrossRef]
- Aouaini, F. Water vapor molecule adsorption onto ‘Ajwa’ dates: Analytical investigation via infinite multilayer statistical physics model. Arab. J. Chem. 2021, 14, 103248. [Google Scholar] [CrossRef]
- Bouaziz, N.; Bouzid, M.; Ben Lamine, A. Theoretical study of hydrogen absorption and desorption in Ti1-xZrxMn1.4 using statistical physics treatment: Microscopic investigation and thermodynamic potential interpretation. Int. J. Hydrogen Energy 2018, 43, 1615–1633. [Google Scholar] [CrossRef]
- Wjihi, S.; Yang, J.; Sellaoui, L.; Knani, S.; Ben Lamine, A. Interpreting the hydrogen adsorption on organic groups functionalized MOF-5s by statistical physics model. Int. J. Hydrogen Energy 2017, 42, 10023–10037. [Google Scholar] [CrossRef]
- Kumar, K.V.; Castro, M.M.; Martinez-Escandell, M.; Molina-Sabio, M.; Silvestre-Albero, J.; Rodriguez-Reinoso, F. A continuous site energy distribution function from Redlich-Peterson isotherm for adsorption on heterogeneous surfaces. Chem. Phys. Lett. 2010, 492, 187–192. [Google Scholar] [CrossRef]
- Carter, M.C.; Kilduff, J.E.; Weber, W.J., Jr. Site energy distribution analysis of preloaded adsorbents. Environ. Sci. Technol. 1995, 29, 1773–1780. [Google Scholar] [CrossRef]
- Diu, B.; Guthmann, C.; Lederer, D.; Roulet, B. Macroscopic motion of a totally isolated system in statistical equilibrium. Am. J. Phys. 1990, 58, 974–978. [Google Scholar] [CrossRef]














| Adsorbents | Temperature (K) | Coefficient of Determination R2 | ||
|---|---|---|---|---|
| M1 | M2 | M3 | ||
| Na-ZSM-5 | 0 °C | 0.896 | 0.969 | 0.997 |
| 30 °C | 0.861 | 0.970 | 0.999 | |
| 60 °C | 0.921 | 0.985 | 0.999 | |
| Mg-ZSM-5 | 0 °C | 0.713 | 0.951 | 0.999 |
| 30 °C | 0.689 | 0.902 | 0.998 | |
| 60 °C | 0.741 | 0.981 | 0.998 | |
| La-ZSM-5 | 0 °C | 0.762 | 0.920 | 0.999 |
| 30 °C | 0.802 | 0.911 | 0.997 | |
| 60 °C | 0.831 | 0.899 | 0.997 | |
| Zn-ZSM-5 | 0 °C | 0.812 | 0.931 | 0.999 |
| 30 °C | 0.791 | 0.962 | 0.999 | |
| 60 °C | 0.851 | 0.973 | 0.999 | |
| Adsorbents | Temperature (K) | Parameters | |||||
|---|---|---|---|---|---|---|---|
| n | Dm | Nc | Qsat | (−ε1) | (−ε2) | ||
| Na-ZSM-5 | 0 °C | 3.23 | 11.83 | 1.75 | 28.65 | −15.265 | −10.702 |
| 30 °C | 2.55 | 10.72 | 2.02 | 27.88 | −17.022 | −11.87 | |
| 60 °C | 2.39 | 9.27 | 2.18 | 26.14 | −18.772 | −13.244 | |
| Mg-ZSM-5 | 0 °C | 1.44 | 16.75 | 2.16 | 27.97 | −16.696 | −10.491 |
| 30 °C | 1.02 | 13.92 | 2.89 | 26.83 | −17.543 | −10.561 | |
| 60 °C | 0.99 | 13.31 | 2.94 | 25.82 | −19.27 | −11.989 | |
| La-ZSM-5 | 0 °C | 0.85 | 42.95 | 2.88 | 68.63 | −17.426 | −9.15 |
| 30 °C | 0.81 | 33.32 | 3.23 | 60.18 | −18.271 | −10.441 | |
| 60 °C | 0.79 | 30.56 | 3.43 | 54.82 | −19.154 | −11.833 | |
| Zn-ZSM-5 | 0 °C | 1.51 | 40.9 | 2.21 | 74.72 | −16.061 | −10.4 |
| 30 °C | 1.05 | 34.2 | 2.7 | 61.74 | −16.748 | −10.761 | |
| 60 °C | 1.01 | 25.31 | 3.19 | 56.53 | −18.628 | −11.468 | |
Publisher’s Note: MDPI stays neutral with regard to jurisdictional claims in published maps and institutional affiliations. |
© 2022 by the authors. Licensee MDPI, Basel, Switzerland. This article is an open access article distributed under the terms and conditions of the Creative Commons Attribution (CC BY) license (https://creativecommons.org/licenses/by/4.0/).
Share and Cite
Aouaini, F.; Bouaziz, N.; Alfwzan, W.; Khemiri, N.; Elqahtani, Z.; Lamine, A.B. Adsorption of CO2 on ZSM-5 Zeolite: Analytical Investigation via a Multilayer Statistical Physics Model. Appl. Sci. 2022, 12, 1558. https://doi.org/10.3390/app12031558
Aouaini F, Bouaziz N, Alfwzan W, Khemiri N, Elqahtani Z, Lamine AB. Adsorption of CO2 on ZSM-5 Zeolite: Analytical Investigation via a Multilayer Statistical Physics Model. Applied Sciences. 2022; 12(3):1558. https://doi.org/10.3390/app12031558
Chicago/Turabian StyleAouaini, Fatma, Nadia Bouaziz, Wafa Alfwzan, Noura Khemiri, Zainab Elqahtani, and Abdelmottaleb Ben Lamine. 2022. "Adsorption of CO2 on ZSM-5 Zeolite: Analytical Investigation via a Multilayer Statistical Physics Model" Applied Sciences 12, no. 3: 1558. https://doi.org/10.3390/app12031558
APA StyleAouaini, F., Bouaziz, N., Alfwzan, W., Khemiri, N., Elqahtani, Z., & Lamine, A. B. (2022). Adsorption of CO2 on ZSM-5 Zeolite: Analytical Investigation via a Multilayer Statistical Physics Model. Applied Sciences, 12(3), 1558. https://doi.org/10.3390/app12031558

