Next Article in Journal
An Advanced Optimization Approach for Long-Short Pairs Trading Strategy Based on Correlation Coefficients and Bollinger Bands
Next Article in Special Issue
Application of Genetic Algorithm to Optimize Location of BRB for Reinforced Concrete Frame with Curtailed Shear Wall
Previous Article in Journal
Certifiable AI
Previous Article in Special Issue
Numerical Assessment of an Innovative RC-Framed Skin for Seismic Retrofit Intervention on Existing Buildings
 
 
Font Type:
Arial Georgia Verdana
Font Size:
Aa Aa Aa
Line Spacing:
Column Width:
Background:
Article

Assessment of Different Retrofitting Methods on Structural Performance of RC Buildings against Progressive Collapse

by
Barham Haidar Ali
1,*,
Esra Mete Güneyisi
1 and
Mohammad Bigonah
2
1
Department of Civil Engineering, Gaziantep University, Gaziantep 27310, Turkey
2
School of Civil Engineering, Iran University of Science and Technology, Narmak, Tehran P.O. Box 16765-163, Iran
*
Author to whom correspondence should be addressed.
Appl. Sci. 2022, 12(3), 1045; https://doi.org/10.3390/app12031045
Submission received: 27 December 2021 / Revised: 3 January 2022 / Accepted: 5 January 2022 / Published: 20 January 2022
(This article belongs to the Special Issue Seismic Assessment and Retrofit of Reinforced Concrete Structures)

Abstract

:
Progressive collapse refers to the spread of primary local damages within the structure. Following such damages due to removing one or more load-bearing columns, the failure spreads in a chain and causes structural failure. This study represents a report investigating the influence of various retrofitting methods on the progressive collapse resistance of multistorey reinforced concrete (RC) structures. To this end, eight different cases were considered. The first one included a thirteen-story RC moment-resisting frame (bare frame), while the others were frames upgraded with the application of X-brace, diagonal brace, inverted V-brace, the viscous damper in the central bay, viscous damper in two inner bays, viscous damper only in certain stories and carbon fiber reinforced polymer. Moreover, three different column removal scenarios were considered as a column failure at stories one, six, and thirteen of each case study structure. The analysis results indicated that the redistribution of loads after the column’s failure and the RC buildings’ collapse resistance was increased depending mainly on the type of approach used for upgrading the bare frame.

1. Introduction

Progressive collapse refers to the spread of primary local damages within the structure (also known as disproportionate collapse) is a high-impact, low-probability event. After the collapse of the Ronan Point Building in London in 1968, the Murrah Federal Building in Oklahoma City in 1995, and the World Trade Center Towers in New York City in 2001, the structural engineers and government organizations became concerned about progressive collapse [1,2]. Because it is hard to describe a potentially hazardous load that causes localized damage to a building, it is common to use the decoupling technique to suppose whether the remaining structure can bridge over the removed components by removing a supporting column or wall. The remaining structures would be subjected to linear static, linear dynamic, non-linear static, and non-linear dynamic analysis [3]. Energy equilibrium [4] or equation of motion can connect dynamic and static performance [5].
Researchers have recently become interested in the effect of secondary components, such as bracing, on progressive collapse performance. The strengthening of reinforced concrete (RC) frame structures against progressive collapse have various challenges: (1) The application of typical strengthening methods for RC frame construction continues to be researched because progressive collapse is a significant deformation behavior; (2) The degree of strengthening against progressive collapse is significant, which could result in “strong beams and weak columns” and have an impact on seismic performance; (3) Anchorage is the primary issue in strengthening reinforced concrete structures against progressive collapse, and dependable and rapid construction anchorage solutions for minimizing progressive collapse strengthening are urgently needed [6].
Retrofitting is not a common practice to make an old system compliant with the new code’s rules, as this option is not cost-effective. Alternatively, to ensure a set degree of collapse or to avoid the building collapsing entirely, it is advised that retrofit goals for a structure prone to progressive collapse be based on performance-based criteria. Steel braces are often employed to produce lateral stiffness and resist lateral loads in steel buildings [7,8,9]. Seismic retrofitting with steel bracing for existing RC frames has also received much interest due to the ease of installing steel braces [10,11,12]. In another study by Bigonah et al. [13], which evaluated the performance of infill types, the results show that adding infill reduces vertical displacement and improves redistribution of forces against progressive collapse. Steel braces impact on the resilience of structures to progressive collapse has recently attracted researchers’ attention through two-dimensional numerical models. In addition, they investigated the progressive collapse of 10-storey braced steel frames designed following different seismic intensities and found that the frame with concentric braces is more likely to collapse than the frame with eccentric braces [14]. The effective techniques of modern strengthening methods of RC frames against progressive failure are studied, and the results show that increasing the percentage of rebar reduced vertical displacement [15]. The structural behavior of three-dimensional (3d) 20-storey braced steel frames is investigated and discovered that removing a column at a higher story increases the likelihood of the frame collapsing [16,17]. Another study experimentally investigated the progressive collapse resistance of five one-fourth scaled two-bay by three-story RC frames strengthened by four types of steel bracing [18]. They found that basically, all bracing can improve progressive collapse resistance, with eccentric X braces performing the best. Steel bracing is either designed for seismic design or lateral stability. The steel braces are only situated at one or several defined spans but are continuous in elevation from the first to the thirteenth floor. Costanzo et al. [19] reviewed the design rules and requirements for XCBFS to simplify the design and improve the ductility and waste capacity of the structural system, applying bracing on the roof floor to obtain a structural response with proper distribution of plastic deformation section with height. At the same time, it can be ignored for three-story structures. D’Aniello et al. and Costanzo et al. [20,21] also investigated the effect of beam flexural stiffness on the seismic response of concentric braces. The results show that the higher the stiffness, the lower the drift ratio occurs. As a result, the deformation in the brace is limited under compression. The braces can add progressive collapse resistance if the removed column is positioned in the braced span; otherwise, their contribution is minimal [12,16,17]. This means that steel bracing designed to withstand seismic loads and provide lateral stability may be incapable of enhancing structural robustness. On the other hand, steel bracing is a viable alternative for strengthening existing buildings against progressive collapse, and the best approach to design such braces requires more research.
Similarly, the effectiveness of proposed carbon fiber reinforced polymers (CFRP) and glass fiber reinforced polymers (GFRP) strengthening strategies for improving progressive collapse behavior using a series of flat slab substructures were evaluated [22]. Moreover, the efficiency of ten RC beams employing CFRP anchors and/or U-wraps is studied [23]. Hence, CFRP is used to improve the continuity of RC beams to shift the load carried by the damaged column to an intact zone and therefore control the spread of progressive collapse [24]. They found that beams with discontinuous reinforcement improved by roughly 55 to 60%, while beams with continuous reinforcement improved by 109%.
Compared to other retrofitting methods, such as bracing and CFRP, there have been fewer researches on the influence of viscous dampers retrofitting. Viscous dampers often meant to reduce building vibration caused by wind or earthquakes, are another type of retrofit to improve a structure’s resistance to progressive collapse. Kim et al. [23] examined the progressive collapse resistance of structures equipped with viscous dampers, often installed to dampen wind- or earthquake-induced vibration.
In this study, an attempt is made to evaluate the influence of various retrofitting systems on the progressive collapse resistance of a multi-storey RC building. For this purpose, eight different cases were taken into account. The first one contained a thirteen-story RC moment-resisting frame (bare frame) while the others were frames upgraded with the use of X-brace, diagonal brace, inverted V-brace, the viscous damper in the central bay, the viscous damper in two inner bays, viscous damper only in certain stories and carbon fiber reinforced polymer (CFRP). Besides, three different column removal scenarios were considered as a column failure at stories one, six, and thirteen. Non-linear dynamic analysis was conducted by using a finite element program. Parametric study results for each case were provided by considering the shear, axial, and moment of columns adjacent to the collapsed column. The moment and shear forces for the beam above the collapsed column were also investigated with the story displacements and building performance levels reported after the vertical member’s loss. Finally, all the investigated parameters for each case were evaluated and discussed comparatively.

2. Methodology

2.1. Description of Structural Models

The structure studied in this research is a 13-story RC building (Figure 1 and Figure 2). The structure is two-dimensional (2D), and it consists of five bays with a 6 m length span. The height of each story is 3.2 m. Dead and live loads are 4 and 2 kN/m2, respectively. The section of the beams for all cases is 500 mm × 350 mm. The column sections from stories 1 to 4, 5 to 9, and 10 to 13 are 600 mm × 600 mm, 500 mm × 500 mm, and 400 mm × 400 mm, respectively. The compressive strength of the concrete is 25 MPa, and the yield strength of the steel bar is 392 MPa according to the specified factory. The structure is designed following the framework of ACI Committee 318 (2014). To evaluate the behavior of the RC buildings against progressive collapse eight different cases were taken into consideration. The first one is RC moment-resisting frame (bare frame), whereas the others are the upgraded frames, namely, X braced frame, diagonally braced frame, inverted V-braced frame, viscously damped frame in the central bay, viscously damped frame in two inner bays, viscously damped frame only in certain story and frame with CFRP. Then, three different column removal scenarios were adopted by considering the failure of the central column at stories one, six, and thirteen. Evaluation and comparison of the structural response of the eight frames against progressive collapse have been conducted. Table 1 defines the cases studied.
In the case of the frames upgraded with braces, common configurations for concentric bracing systems including inverted-V (chevron)-type, X-type, and diagonal braces were considered. The force-displacement relationship of braces based on the uniaxial phenomenological model, adopted in Federal Emergency Management Agency (FEMA-(356)) [25], in which Δy and Δcr are the yielding and buckling displacements, and Py and Pcr are the tension and compression forces, respectively. The braces are hollow steel tubes, and sections are 2UNP14 and 2UNP13 for stories 1 to 6 and 7 to 13, respectively. The analyzed structural models are subjected to the loss of the first, sixth and thirteenth-floor center column, in which the structure deforms symmetrically, and the full capacity of bracing is activated. Figure 3 shows the various bracing configurations to be analyzed.
The diagonal brace or chevron brace is the traditional configuration for viscous dampers. In the case of the frames with viscous dampers, the former one was used. The cases for viscous dampers are viscously damped frame in the central bay, viscously damped frame in two inner bays, and viscously damped frame only in a certain story, as shown in Figure 4. Damper’s capacity has been determined according to the study of Cimellaro and Retamales [26].
In the studied structure, the effect of viscous damping with 15% damping has been investigated. To determine the required damping of the structure to reach the damping percentage of the target, the stiffness of the whole structure should be determined [26]. First, the triangular pattern of the base shear force and the level of drifts of each story are calculated. Then, with the help of the sheer force of each story and the corresponding drift with the same shear force, the shear stiffness of each story can be obtained. Finally, the total damping coefficient that must be added to the structure to achieve the target damping can be calculated [27].
In the case of the frames upgraded with carbon fiber reinforcement polymer (CFRP), the CFRP is assumed to be warped around the two sides and bottom of beams. The ultimate strength is 3200 MPa, in the longitudinal direction of fibers, and the elastic modulus is 210,000 MPa. The thickness of the CFRP wrap is 1.4 mm. An investigation of the effectiveness of the proposed CFRP strengthening schemes in mitigating the progressive collapse of the structures of this study is made.
The nominal shear strength of an RC section ( V n ) with CFRP is expressed in Equation (1) [28]:
V n = V C + V S + V f
V C is the shear strength of the concrete, V S is the shear strength of the steel reinforcement, and V f is the shear contribution of the CFRP. The design shear strength, V n , is achieved by multiplying the nominal shear strength by a strength reduction factor for shear, the factor for steel and concrete contribution from (ACI 440.2R-02) [28] is 0.85 [29], and the factor for CFRP contribution is suggested to be 0.70. Equation (2) [28] presents the design shear strength.
ϕ V n = 0.85 ( V c + V s ) + 0.7 V f
The expression to compute CFRP contribution is given in Equation (3) [28]. This equation is similar to steel shear reinforcement and is consistent with (ACI 440.2R-02).
v f = A f × f f e ( s i n β + c o s β ) × d f S f ( 2 f c × b w × d 2 3 V s )

2.2. Removal of the Column and Details of the Analysis

The removal process of the column should be such that the effect of a dynamic effect on the structure is seen due to the shock caused. A method to consider collapse ability in SAP2000 software was used to do this. The number of joints and elements is depicted in Figure 5. To simulate the sudden removal of columns in different scenarios in non-linear analysis, dead and live loads were first applied from 0 to 5 s, and then, they were removed, and the structure response was reviewed after this moment up to 10 s. Figure 6 shows the removal of the inner columns at different story levels. The dynamic amplification factor in the dynamic analysis is not recommended by both guidelines (GSA and UFC). To apply dynamic analysis, prior to column removal, axial force acting is calculated. Then the column is replaced by point loads equivalent to its member forces [1,2,30].

3. Results and Discussion

In this section, the status removing columns are investigated, with the amount of displacement and the redistribution forces after applying the column removal scenario. Non-linear dynamic analysis (NDA) is done for inner column removal in the first, sixth and thirteenth floors, and results are presented here. Four graphs are plotted in SAP2000: vertical displacement vs. time, axial force vs. time, bending moment vs. time, and shear vs. time. Vertical displacement is taken at the point where the column was removed. The beam with maximum axial force and bending moment vs. time is taken for plotting.
All of the examples were subjected to a 2D frame analysis. As illustrated in Figure 7, Figure 8, Figure 9, Figure 10, Figure 11, Figure 12, Figure 13 and Figure 14, all 2D frame analysis cases showed partial progressive collapse. The collapse zones in the 2D frame analysis were estimated directly after the collapse of beams connected to the removed column. The 2D frame analysis revealed that the collapse spreads to all levels of the structure, indicating that the structure has a high risk of progressive collapse and should be modified, according to the General Service Administration (GSA). In addition, because the main support was removed, the static system of beams became longer, resulting in collapse due to insufficient reinforcing.

3.1. Performance Level of the Frames

The damage levels of members were analyzed for the non-linear analytic techniques using various performance levels such as immediate occupancy (IO), life safety (LS), and collapse prevention (CP). The performance level of the structure should not exceed collapse prevention according to GSA rules, or structural members will be classified as seriously failed [1]. In all cases, the plastic hinge formation is illustrated in 2D frames.
Figure 7 shows the removal of columns on different stories in a moment-resisting frame (bare frame). After removing the column on the first floor, all the beams in the span were failed at collapse prevention, and the span completely collapsed at all floors above. The removal of the column on floor six caused the beams to fail and reach the life safety point at all floors above, and the structure could not redistribute the forces well. Moreover, removing the column on floor thirteen puts its beam almost in a state of complete collapse. The hinges of the beams in the affected spans reach the failure point (red-colored hinge), as shown in Figure 7 in all the cases of column removal scenario. The failure of one column leads to the collapse of all the members in the affected span.
Steel bracings are used as a remedy to provide resistance against progressive collapse [31]. Although few bracing members fail by buckling in compression, a bracing system can strengthen the building to resist progressive collapse. For example, Figure 8 shows the removal of columns at different stories by adding an X brace. After removing a column and a brace, the function of the beams was out of operational performance.
The plastic hinges generated in the beams meet the acceptability level. The plastic hinge creation occurred on the diagonal braced element inside the collapse range, which is considered compression failure of the brace, as shown in Figure 8a.
In Figure 9, the use of one-way bracing on both sides improved the performance of the whole structure. The plastic hinge did not enter the non-linear area because the structure’s chain function was well performed. However, even the performance of the brace did not enter the operational performance levels. As seen in Figure 9a,b, the plastic hinge formation has begun to develop in brace members. As a result, plastic hinges formed in columns and beams and were disseminated over particular building members within the immediate occupancy area. The lateral stiffness is improved as well compared with other braced frames.
In Figure 10, the use of inverted V-bracing in the structure improved the performance of the structure against progressive collapse. Although the column was removed at higher stories, the structure had a better performance, and the concentration of stiffness at the removed point improved the redistribution of forces and the chain performance of the structure. The inverted-braced arrangement increases the constraint level at the beam end, allowing catenary action. The bracing system generated a new load transfer path. The horizontal braces distributed certain gravitational stresses to the surrounding structures then carried to the foundation via the vertical braces. Following compression brace buckling, certain columns buckled before tension braces yielded, culminating in brittle failure modes. When a column adjacent to the braced bay was removed, the constructions with only single-bay braces proved extremely fragile. The progressive collapse can be avoided in this scenario by designing the frame with braces.
In Figure 11, the frame is called a viscously damped frame in the central bay; a viscous damper was used diagonally in a span. The results showed that, as shown in Figure 11a, the plastic hinges in beams on the third and fourth floors reach within range of collapse and that the application of a viscous damper prevented significant oscillation and shock to the structure. In addition, plastic rotation in the beam ends was lowered to below the immediate occupancy state, and plastic hinges were removed in numerous places.
The application of viscous dampers in two inner bays enhanced the structure’s tensile performance, whereas the performance of the beams improved when compared to the viscously damped frame in the central bay example, as shown in Figure 12. As shown in Figure 12a,b, the plastic hinge creation in the area of column removal (the connection of beam and column removal) is observed. The plastic hinge formation is more common in the structure’s vertical parts.
Figure 13 shows viscously damped frame only in certain stories based on the method of Cimellaro and Retamales [26], the most optimal case in 3 stories was used. The results show that it had little effect on the performance of the structure and the redistribution of forces was not well done and the plastic hinges were out of the collapse prevention.
Figure 14 shows a frame with CFRP, which uses a CFRP layer in all beams. The results showed that the redistribution of forces and tensile performance in the beams was fairly distributed, increased the structure’s strength, and improved the chain performance in the beams. Moreover, relatively low cost created the best performance in the whole structure against progressive collapse. The plastic hinge formation disperses mostly on the column, which is in a state of immediate occupancy.

3.2. Frame Displacements Due to Column Loss

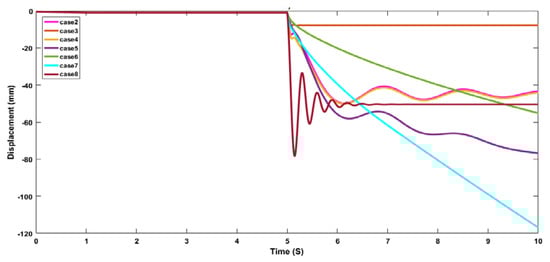
For internal column loss in the first, sixth, and thirteenth stories, the numerical findings from non-linear dynamic calculations up to 10 s are given in Figure 15, Figure 16 and Figure 17. The maximum permitted ductility and/or rotation limits of beams are verified following GSA. For RC structures, GSA refers to ASCE 41 [32] approval criteria for non-linear analysis to assess the damage on a structure due to a column loss. If beam end rotations in any of the frames investigated herein surpassed the acceptance standards, then it would indicate the maximum permissible ductility of the beam, as specified in [1,32]. It is seen that the maximum displacement is varied around 45 cm for the braced frames, as indicated in Figure 15, due to the rapid inner column loss in story one. When compared to other types of frames, the abrupt columns in the first, sixth and thirteenth stories do not affect the displacement of an X braced frame.
On the other hand, the displacement of X braced, and inverted V-braced frames are often smaller than that of other types of frames. Moreover, as given in Table 2, the moment-resistant frame (bare frame) is observed to be failed for all column removal scenarios. The discrepancies in displacement values for the others are varied depending mainly on the strengthening method used.
Due to the removal of the column on the first story as shown in Table 2, the maximum vertical displacement is related to case 7 and also case 1 is damaged in all floors and the best performance is related to case 3, while in the 6th floor the most Vertical displacement is related to case 7 and the lowest is related to case 3 with a value of −8.63 mm. Therefore, in addition to removing the column on the top floor, there was a breakdown in case 3 in case 7.

3.3. Force Distribution Due to Column Loss in Beams Next to Column Removal

Bending moment and shear generated by sudden column loss were greater for story one beams than for frames with CFRP (Case 8). This is due to the higher flexural stiffness of the CFRP-framed structure, which captivates more forces. Figure 18 and Figure 19 depict the bending moment and shear on the beam caused by column loss for the first and sixth stories. Bending moments for the bare frame and various retrofitting frames are less than for CFRP framed first and sixth stories, as demonstrated in Figure 19. This is because the joint stiffness of CFRP frames attracts more force. Apart from Case 8, forces are dispersed evenly throughout all levels in all other situations. As a result, having a CFRP framed structure reduces the bending moment demands in a simple jointed beam, increasing the CFRP frame’s progressive collapse resistance owing to column loss.
In the first and sixth stories, the beam shear force for the bare frame (Case 1) is less than the other cases (see Figure 18 and Figure 19). This is because the joint stiffness of CFRP frames attracts more force. In other circumstances, pressures are evenly dispersed overall plot levels. As a result, having a CFRP framed structure minimizes the axial force demands in a simple jointed beam, enhancing the CFRP frame’s progressive collapse resistance due to column loss. The bending moment value for the viscously damped frame in two inner bays on floor thirteen is more than the bending moment for CFRP framed, as shown in Figure 20. Because of the stiffness, Case 8 performs well against progressive collapse, although there are many moments in the column adjacent to the brace, necessitating the employment of a less rigid brace. Viscous dampers were able to lower bending moment forces and provide effective energy absorption in the circumstances where they were applied.
As shown in Table 3, which was compared with the removal of the column on the first floor in case 8, in beam number 118, the highest shear force is related to case 8, and the lowest is related to case 1; however, in the bending moment model is the highest force in case 8 and the lowest is related to case 3. As Figure 19 shows and values are illustrated in Table 4, after removing the column on the 6th floor, the highest shear force is created in case 8, while the lowest is related to case 3. Therefore, the bending moment force is related to case 3.
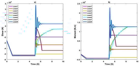
As shown in Figure 20 and tabulated in Table 5, case 8 has the highest shear force, and its lowest shear force is related to case 7 with a value of −2622.87 N. In the case of bending moment, when it is proven after the oscillation, the highest bending moment is related to case 4; however, the lowest is related to case 7 and its value is 20,838.58 N.
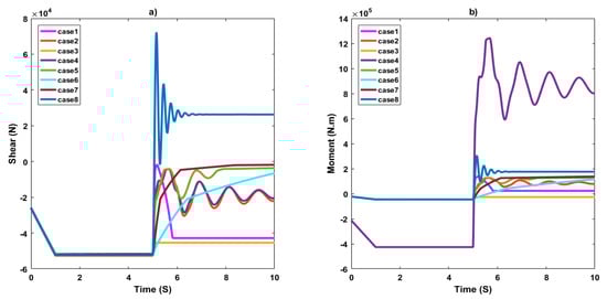
As shown in Figure 21 and depicted in Table 6, after removing the first-floor column, the results show that the highest axial force in the case of Case 4 is with the −1,009,521 N value, whereas the lowest in case of Case 6 is that of 18,863.2 N in the case of flexural anchor, is the most applied force associated with Case 5 and the lowest in case of Case 7.
As shown in Figure 22 and Table 7, after removing the column in the 6th floor, the maximum axial force created in the column in case 3 is −594,235 N, while in the shear force created in the column, the maximum is related to case 2, and in the case of bending moment, most of it is related to case 2, although it has good performance in some members and has enhances improved the chain performance as well as the forces in the members.
In Figure 23 and Table 8, the results show that the maximum bending force generated in Case 2 is 92,318.4 N, while the lowest bending force is in Case 3. The lowest is related to case 3. In the case of shear force, the highest force is related to case 8, and the lowest is 5244.2 N in case 3.

4. Conclusions

In this study, the assessment of different retrofitting approaches on the structural performance of RC buildings against progressive collapse was studied by comparing the eight different cases. The following conclusions are drawn from the results of the analysis:
  • Overall, in structures reinforced with various braces, the use of a diagonal bracing system has performed better than other braces and has been able to maintain the level of immediate occupancy performance, and the distribution of plastic hinges in structures has been improved. The most important limitation of this method is that the brace’s frame has a better performance against progressive failure. However, 2D models do not redistribute forces properly and affect other frames.
  • In X-braced frames, the plastic hinge creation occurred on the braced element inside the collapse range, which is considered compression failure of the brace.
  • In diagonal bracing, the plastic hinge formation has begun to develop in brace members. As a result, plastic hinges formed in columns and beams and were disseminated over particular building members within the immediate occupancy area.
  • The inverted V-braced arrangement increases the constraint level at the beam end, allowing catenary action. In addition, the horizontal braces distributed certain gravitational stresses to the surrounding structures, which were then carried to the foundation via the vertical members.
  • In structures reinforced with viscous dampers, the results show that dampers in certain stories have lower performance than other methods.
  • In the viscously damped frame in the central bay, the plastic hinges in beams on the third and fourth stories reach within range of collapse, and that the application of a viscous damper prevented oscillation and shock to the structure.
  • Using the viscously damped frame in two inner bays enhanced the structure’s tensile performance, and improved the performance of the beams compared with the viscously damped frame in the central bay.
  • The use of CFRP to retrofit the results shows that it improves the structure’s overall performance, increases its chain performance, and improves the redistribution of forces in the structures. The advantages of this method are that it can be easily implemented in the whole structure and does not cause architectural problems. On the other hand, the disadvantage of this method is that it could create much force after removing the column; this issue could be problematic with increasing the possibility of damage in the structure.
  • In general, various retrofitting schemes can be applied to strengthen the structure and increase the resistance of the structures under progressive collapse. In this regard, their combined use could be utilized furtherly to redistribute forces more quickly and achieve the best performance in the structure in terms of chain performance under progressive collapse.

Author Contributions

Conceptualization, B.H.A.; methodology, B.H.A.; software, B.H.A.; validation, M.B and B.H.A.; formal analysis, B.H.A.; investigation, B.H.A. and E.M.G.; resources, B.H.A. and M.B; writing—original draft preparation, B.H.A. and M.B.; writing—review and editing, E.M.G.; visualization, B.H.A.; supervision, E.M.G.; project administration, E.M.G.; funding acquisition, B.H.A. All authors have read and agreed to the published version of the manuscript.

Funding

This research received no external funding.

Institutional Review Board Statement

Not applicable.

Informed Consent Statement

Not applicable.

Data Availability Statement

Not applicable.

Conflicts of Interest

The authors declare no conflict of interest.

References

  1. GSA. General Services Administration Alternate Path Analysis and Design Guidelines for Progressive Collapse Resistance; US General Services Administration: Washington, DC, USA, 2013. [Google Scholar]
  2. UFC. UFC 4-023-03: Design of Buildings to Resist Progressive Collapse; Department of Defense: Washington, DC, USA, 2009. [Google Scholar]
  3. Marjanishvili, S. Progressive Analysis Procedure for Progressive Collapse. J. Perform. Constr. Facil. 2004, 18, 79–85. [Google Scholar] [CrossRef]
  4. Izzuddin, B.; Vlassis, A.; Elghazouli, A.; Nethercot, D. Progressive collapse of multi-storey buildings due to sudden column loss—Part I: Simplified assessment framework. Eng. Struct. 2008, 30, 1308–1318. [Google Scholar] [CrossRef] [Green Version]
  5. Yu, J.; Yin, C.; Guo, Y. Nonlinear SDOF model for progressive collapse responses of structures with consideration of viscous damping. J. Eng. Mech. 2017, 143, 04017108. [Google Scholar] [CrossRef]
  6. Pan, J.; Wang, X.; Dong, H. Strengthening of Precast RC Frame to Mitigate Progressive Collapse by Externally Anchored Carbon Fiber Ropes. Polymers 2021, 13, 1306. [Google Scholar] [CrossRef]
  7. American Concrete Institute. ACI 318, Building Code Requirements for Structural Concrete (ACI 318-05) and Commentary (ACI 318R-05), ACI Committee 318, American Concrete Institute, Farmington Hills, MI, 2005 ACI 530, Building Code Requirements for Masonry Structures (ACI 530-05/ASCE 5-05/TMS 402-05); American Concrete Institute: Farmington Hills, MI, USA, 2005. [Google Scholar]
  8. AISC. ANSI/AISC 360–05: Specification for Structural Steel Buildings; AISC: Chicago, IL, USA, 2005. [Google Scholar]
  9. ANSI. AISC 341-05: Seismic Provisions for Structural Steel Buildings; American Institute of Steel Construction Inc.: Chicago, IL, USA, 2005. [Google Scholar]
  10. Badoux, M.; Jirsa, J.O. Steel Bracing of RC Frames for Seismic Retrofitting. J. Struct. Eng. 1990, 116, 55–74. [Google Scholar] [CrossRef]
  11. Nateghi-A, F. Seismic strengthening of eightstorey RC apartment building using steel braces. Eng. Struct. 1995, 17, 455–461. [Google Scholar] [CrossRef]
  12. Maheri, M.R.; Sahebi, A. Use of steel bracing in reinforced concrete frames. Eng. Struct. 1997, 19, 1018–1024. [Google Scholar] [CrossRef]
  13. Bigonah, M.; Soltani, H.; Zabihi-Samani, M.; Shyanfar, M.A. Performance evaluation on effects of all types of infill against the progressive collapse of reinforced concrete frames. Asian J. Civ. Eng. 2020, 21, 395–409. [Google Scholar] [CrossRef]
  14. Khandelwal, K.; El-Tawil, S.; Sadek, F. Progressive collapse analysis of seismically designed steel braced frames. J. Constr. Steel Res. 2009, 65, 699–708. [Google Scholar] [CrossRef]
  15. Shayanfar, M.A.; Bigonah, M.; Sobhani, D.; Zabihi-Samani, M. The Effectiveness Investigation of New Retrofitting Techniques for RC Frame against Progressive Collapse. Civ. Eng. J. 2018, 4, 2132–2142. [Google Scholar] [CrossRef] [Green Version]
  16. Fu, F. Progressive collapse analysis of high-rise building with 3-D finite element modeling method. J. Constr. Steel Res. 2009, 65, 1269–1278. [Google Scholar] [CrossRef]
  17. Fu, F. Response of a multi-storey steel composite building with concentric bracing under consecutive column removal scenarios. J. Constr. Steel Res. 2012, 70, 115–126. [Google Scholar] [CrossRef]
  18. Feng, P.; Qiang, H.; Ou, X.; Qin, W.; Yang, J. Progressive Collapse Resistance of GFRP-Strengthened RC Beam–Slab Subassemblages in a Corner Column–Removal Scenario. J. Compos. Constr. 2019, 23, 04018076. [Google Scholar] [CrossRef]
  19. Costanzo, S.; D’Aniello, M.; Landolfo, R. Proposal of design rules for ductile X-CBFS in the framework of EUROCODE 8. Earthq. Eng. Struct. Dyn. 2019, 48, 124–151. [Google Scholar] [CrossRef] [Green Version]
  20. D’Aniello, M.; Costanzo, S.; Landolfo, R. The influence of beam stiffness on seismic response of chevron concentric bracings. J. Constr. Steel Res. 2015, 112, 305–324. [Google Scholar] [CrossRef]
  21. Costanzo, S.; D’Aniello, M.; Landolfo, R. Seismic design rules for ductile Eurocode-compliant two-storey X concentrically braced frames. Steel Compos. Struct. 2020, 36, 273–291. [Google Scholar]
  22. Qian, K.; Li, B.; Zhang, Z. Influence of Multicolumn Removal on the Behavior of RC Floors. J. Struct. Eng. 2016, 142, 04016006. [Google Scholar] [CrossRef]
  23. Kim, J.; Lee, S.; Choi, H. Progressive Collapse Resisting Capacity of Moment Frames with Viscous Dampers. J. Comput. Struct. Eng. Inst. Korea 2010, 23, 517–524. [Google Scholar] [CrossRef]
  24. Orton, S.L.; Chiarito, V.P.; Minor, J.K.; Coleman, T.G. Experimental testing of CFRP-strengthened reinforced concrete slab elements loaded by close-in blast. J. Struct. Eng. 2014, 140, 04013060. [Google Scholar] [CrossRef]
  25. Council, B.S.S. Prestandard and Commentary for the Seismic Rehabilitation of Buildings; Report FEMA-356; Federal Emergency Management Agency: Washington, DC, USA, 2000. [Google Scholar]
  26. Cimellaro, G.P.; Retamales, R.M. Optimal softening and damping design for buildings. Struct. Control Health Monit. Off. J. Int. Assoc. Struct. Control Monit. Eur. Assoc. Control Struct. 2007, 14, 831–857. [Google Scholar] [CrossRef]
  27. Hu, X.; Zhang, R.; Ren, X.; Pan, C.; Zhang, X.; Li, H. Simplified design method for structure with viscous damper based on the specified damping distribution pattern. J. Earthq. Eng. 2020, 1–21. [Google Scholar] [CrossRef]
  28. Soudki, K.; Alkhrdaji, T. Guide for the design and construction of externally bonded FRP systems for strengthening concrete structures (ACI 440.2 R-02). In Structures Congress 2005: Metropolis and Beyond; American Concrete Institute: Farmington Hills, MI, USA, 2005; pp. 1–8. [Google Scholar]
  29. Khalifa, A.; Belarbi, A.; Nanni, A. Shear performance of RC members strengthened with externally bonded FRP wraps. In Proceedings of the (CD-ROM) of Twelfth World Conference on Earthquake, Auckland, New Zealand, 30 January–4 February 2000. [Google Scholar]
  30. Kim, J.; Kim, T. Assessment of progressive collapse-resisting capacity of steel moment frames. J. Constr. Steel Res. 2009, 65, 169–179. [Google Scholar] [CrossRef]
  31. Qian, K.; Weng, Y.-H.; Li, B. Improving Behavior of Reinforced Concrete Frames to Resist Progressive Collapse through Steel Bracings. J. Struct. Eng. 2019, 145, 04018248. [Google Scholar] [CrossRef]
  32. ASCE. Seismic Evaluation and Retrofit of Existing Buildings; American Society of Civil Engineers: Reston, VA, USA, 2014. [Google Scholar]
Figure 1. Plan view of the RC building.
Figure 1. Plan view of the RC building.
Applsci 12 01045 g001
Figure 2. Elevation view of the RC building.
Figure 2. Elevation view of the RC building.
Applsci 12 01045 g002
Figure 3. (a) X-braced frame; (b) Diagonally braced frame, and (c) Inverted V-braced frame.
Figure 3. (a) X-braced frame; (b) Diagonally braced frame, and (c) Inverted V-braced frame.
Applsci 12 01045 g003
Figure 4. (a) Viscously damped frame in the central bay, (b) viscously damped frame in two inner bays, and (c) Viscously damped frame only in certain stories.
Figure 4. (a) Viscously damped frame in the central bay, (b) viscously damped frame in two inner bays, and (c) Viscously damped frame only in certain stories.
Applsci 12 01045 g004
Figure 5. Numbering of elements and joints.
Figure 5. Numbering of elements and joints.
Applsci 12 01045 g005
Figure 6. Column removal scenario in (a) story one, (b) story six, and (c) story thirteen.
Figure 6. Column removal scenario in (a) story one, (b) story six, and (c) story thirteen.
Applsci 12 01045 g006
Figure 7. Hinge formation in the moment-resisting frame (Bare frame) exposed to column removal in (a) story one, (b) story six, and (c) story thirteen.
Figure 7. Hinge formation in the moment-resisting frame (Bare frame) exposed to column removal in (a) story one, (b) story six, and (c) story thirteen.
Applsci 12 01045 g007
Figure 8. Hinge formation in the X braced frame exposed to column removal in (a) story one, (b) story six, and (c) story thirteen.
Figure 8. Hinge formation in the X braced frame exposed to column removal in (a) story one, (b) story six, and (c) story thirteen.
Applsci 12 01045 g008
Figure 9. Hinge formation in the diagonally braced frame exposed to column removal in (a) story one, (b) story six, and (c) story thirteen.
Figure 9. Hinge formation in the diagonally braced frame exposed to column removal in (a) story one, (b) story six, and (c) story thirteen.
Applsci 12 01045 g009
Figure 10. Hinge formation in the inverted V-braced frame exposed to column removal in (a) story one, (b) story six, and (c) story thirteen.
Figure 10. Hinge formation in the inverted V-braced frame exposed to column removal in (a) story one, (b) story six, and (c) story thirteen.
Applsci 12 01045 g010
Figure 11. Hinge formation in the viscously damped frame in central bay exposed to column removal in (a) story one, (b) story six, and (c) story thirteen.
Figure 11. Hinge formation in the viscously damped frame in central bay exposed to column removal in (a) story one, (b) story six, and (c) story thirteen.
Applsci 12 01045 g011
Figure 12. Hinge formation in the viscously damped frame in two inner bays exposed to column removal in (a) story one, (b) story six, and (c) story thirteen.
Figure 12. Hinge formation in the viscously damped frame in two inner bays exposed to column removal in (a) story one, (b) story six, and (c) story thirteen.
Applsci 12 01045 g012
Figure 13. Hinge formation in the viscously damped frame only in certain stories exposed to column removal in (a) story one, (b) story six, and (c) story thirteen.
Figure 13. Hinge formation in the viscously damped frame only in certain stories exposed to column removal in (a) story one, (b) story six, and (c) story thirteen.
Applsci 12 01045 g013
Figure 14. Hinge formation in the frame with CFRP exposed to column removal in (a) story one, (b) story six, and (c) story thirteen.
Figure 14. Hinge formation in the frame with CFRP exposed to column removal in (a) story one, (b) story six, and (c) story thirteen.
Applsci 12 01045 g014
Figure 15. Vertical displacement at column removed position due to column loss in story one.
Figure 15. Vertical displacement at column removed position due to column loss in story one.
Applsci 12 01045 g015
Figure 16. Vertical displacement at column removed position due to column loss in story six.
Figure 16. Vertical displacement at column removed position due to column loss in story six.
Applsci 12 01045 g016
Figure 17. Vertical displacement at column removed position due to column loss in story thirteen.
Figure 17. Vertical displacement at column removed position due to column loss in story thirteen.
Applsci 12 01045 g017
Figure 18. Beam behavior after column removal in story one: (a) shear and (b) moment.
Figure 18. Beam behavior after column removal in story one: (a) shear and (b) moment.
Applsci 12 01045 g018
Figure 19. Beam behavior after column removal in story one: (a) shear and (b) moment.
Figure 19. Beam behavior after column removal in story one: (a) shear and (b) moment.
Applsci 12 01045 g019
Figure 20. Beam behavior after column removal in story thirteen: (a) shear and (b) moment.
Figure 20. Beam behavior after column removal in story thirteen: (a) shear and (b) moment.
Applsci 12 01045 g020
Figure 21. Column behavior after column removal in story one: (a) axial force, (b) shear, and (c) moment.
Figure 21. Column behavior after column removal in story one: (a) axial force, (b) shear, and (c) moment.
Applsci 12 01045 g021
Figure 22. Column behavior after column removal in story six: (a) axial force, (b) shear, and (c) moment.
Figure 22. Column behavior after column removal in story six: (a) axial force, (b) shear, and (c) moment.
Applsci 12 01045 g022
Figure 23. Column behavior after column removal in story six: (a) axial force, (b) shear, and (c) moment.
Figure 23. Column behavior after column removal in story six: (a) axial force, (b) shear, and (c) moment.
Applsci 12 01045 g023
Table 1. Definitions for the different frames.
Table 1. Definitions for the different frames.
Case NoFrame Model
Case 1Moment resisting frame (Bare frame)
Case 2X braced frame
Case 3Diagonally braced frame
Case 4Inverted V braced frame
Case 5Viscously damped frame in the central bay
Case 6Viscously damped frame in two inner bays
Case 7Viscously damped frame only in certain stories
Case 8Frame with CFRP
Table 2. Vertical displacement after removing a column in the stories.
Table 2. Vertical displacement after removing a column in the stories.
ST1ST6ST13
TypeDisplacement (mm)Displacement (mm)Displacement (mm)
MaxConstantMaxConstantMaxConstant
Case 1FailFailFailFailFailFail
Case 2−49.94−43.38−44.20−37.99−28.77−22.18
Case 3−8.68−7.73−9.72−8.63−13.10−11.50
Case 4−50.19−44.05−47.08−41.33−37.32−30.38
Case 5−76.75−76.75−66.65−66.65−76.48−76.48
Case 6−55.15−55.15−56.81−56.81−77.93−77.93
Case 7−116.87−116.87−168.79−168.79FailFail
Case 8−78.35−50.45−78.64−51.37−71.40−47.77
Table 3. Result force story 1 for element 118.
Table 3. Result force story 1 for element 118.
TypeShear (N)Moment (Nm)
MaxConstantMaxConstant
Case 1−954.38−41,857137,747−4271.2
Case 2−2409.6−23,488129,084−2396.7
Case 3−25,662−40,876−11,803−4171
Case 4−2531.8−23,531128,930−2401.2
Case 5−2031.4−2044.9130,093−208.66
Case 6−3693−3693125,379−376.84
Case 7−1123.5−1123.5132,357−114.65
Case 891,11539,827345,4804063.98
Table 4. Result force story 6 for element 123.
Table 4. Result force story 6 for element 123.
TypeShear (N)Moment (Nm)
MaxConstantMaxConstant
Case 1−1860.2−42,805137,63223,002.7
Case 2−4208.8−21,984126,34778,079.4
Case 3−26,358−45,391−23,574−26,477
Case 4−4254.7−20,6111,242,119802,693
Case 5−3646.9−3646.9127,990127,990
Case 6−6524.5−6524.5115,720115,720
Case 7−1857.7−1857.7137,318137,318
Case 871,997.326,287.7304,069175,567
Table 5. Result force story 13 for element 130.
Table 5. Result force story 13 for element 130.
TypeShear (N)Moment (Nm)
MaxConstantMaxConstant
Case 1−2625.25−43,752.4137,480.420,838.6
Case 2−24,073.4−33,571.728,612.194591.762
Case 3−26,772.2−19,694.6−24,506.6−38,748.3
Case 4−7316.24−19,694.6118,550.380,526.13
Case 5−5218.5−5218.5126,341.4126,341.4
Case 6−5199.03−5199.03126,519.3126,519.3
Case 7−2622.87−43,752.4137,66020,838.58
Case 837,417.973799.409228,482.2126,166.3
Table 6. Result force story 1 for element 53.
Table 6. Result force story 1 for element 53.
TypeShear (N)Axial force (N)Moment (Nm)
MaxConstantMaxConstantMaxConstant
Case 131,745.631,742.8−1,005,789−2,413,73232,907.132,878.7
Case 290,041.526,483−1,006,285−2,059,768398,733252,295.7
Case 36833.026028.07−1,055,734−2,890,0487058.886225.3
Case 477,242.529,757.9−1,009,521−2,080,616345,715215,709.8
Case 5114,22429,249.3−1,005,789−2,413,732404,512166,427.8
Case 618,863.218,847.7−1,005,789−2,964,21519,528.719,506.1
Case 720,330.720,318.1−1,005,789−2,984,73221,128.221,106.5
Case 877,252.249,470.8−1,008,649−3,013,59980,140.951,206.8
Table 7. Result force story 6 for element 58.
Table 7. Result force story 6 for element 58.
TypeShear (N)Axial force (N)Moment (Nm)
MaxConstantMaxConstantMaxConstant
Case 124,731.724,718.8−581,912−1,702,4290.9−428
Case 269,741.240,499.1−582,285−1,228,997168,017.6118,980.8
Case 348863924−594,235−1,619,6191640.2629.3
Case 465,370.132,649.9−584,647−1,241,878124,436.881,744.3
Case 516,127.4−522.1−581,912−1,444,98233,400.3329.2
Case 616,423.715,919.1−581,912−1,687,4957708.16959.7
Case 717,723.217,067.8−581,912−1,567,2638725.87948.4
Case 856,651.435,584.6−583,447−1,752,19530,784.918,377.1
Table 8. Result force story 13 for element 65.
Table 8. Result force story 13 for element 65.
TypeShear (N)Axial force (N)Moment (Nm)
MaxConstantMaxConstantMaxConstant
Case 143,96338,738.9−69,268.5−200,11029,336.225,964.6
Case 274,027.348,891−69,311.3−149,52992,318.461,104.8
Case 35244.24527.3−68,916.7−141,6674554.14132.5
Case 460,21439,615.7−69,922.7−168,47068,195.244,635.9
Case 568,762.740,588.4−69,268.5−190,00285,899.233,461.9
Case 633,930.333,930.3−69,268.5−193,06222,85822,858
Case 744,140.839,111−69,268.5−200,60229,511.126,201.8
Case 877,010.449,050.8−69,591.2−207,39151,915.933,394.9
Publisher’s Note: MDPI stays neutral with regard to jurisdictional claims in published maps and institutional affiliations.

Share and Cite

MDPI and ACS Style

Ali, B.H.; Mete Güneyisi, E.; Bigonah, M. Assessment of Different Retrofitting Methods on Structural Performance of RC Buildings against Progressive Collapse. Appl. Sci. 2022, 12, 1045. https://doi.org/10.3390/app12031045

AMA Style

Ali BH, Mete Güneyisi E, Bigonah M. Assessment of Different Retrofitting Methods on Structural Performance of RC Buildings against Progressive Collapse. Applied Sciences. 2022; 12(3):1045. https://doi.org/10.3390/app12031045

Chicago/Turabian Style

Ali, Barham Haidar, Esra Mete Güneyisi, and Mohammad Bigonah. 2022. "Assessment of Different Retrofitting Methods on Structural Performance of RC Buildings against Progressive Collapse" Applied Sciences 12, no. 3: 1045. https://doi.org/10.3390/app12031045

APA Style

Ali, B. H., Mete Güneyisi, E., & Bigonah, M. (2022). Assessment of Different Retrofitting Methods on Structural Performance of RC Buildings against Progressive Collapse. Applied Sciences, 12(3), 1045. https://doi.org/10.3390/app12031045

Note that from the first issue of 2016, this journal uses article numbers instead of page numbers. See further details here.

Article Metrics

Back to TopTop