Spatiotemporal Variation and Ecological Risk Assessment of Heavy Metals in Industrialized Urban River Sediments: Fengshan River in Southern Taiwan as a Case Study
Abstract
:1. Introduction
Case Study
2. Materials and Methods
2.1. Study Area
2.2. Sample Collection and Analysis
2.3. Assessment of Sediment Contamination Level and Ecological Risk
2.3.1. Contamination Factor (CF)
2.3.2. Geo-Accumulation Index (Igeo)
2.3.3. Modified Degree of Contamination (mCd)
2.3.4. Pollution Load Index (PLI)
2.3.5. Potential Ecological Risk Index (RI)
2.3.6. Mean ERM Quotient (mERMQ)
2.3.7. Sum of the Toxic Units (ΣTU)
2.3.8. Contamination Severity Index (CSI)
2.4. Multivariate Statistical Analyses
3. Results and Discussion
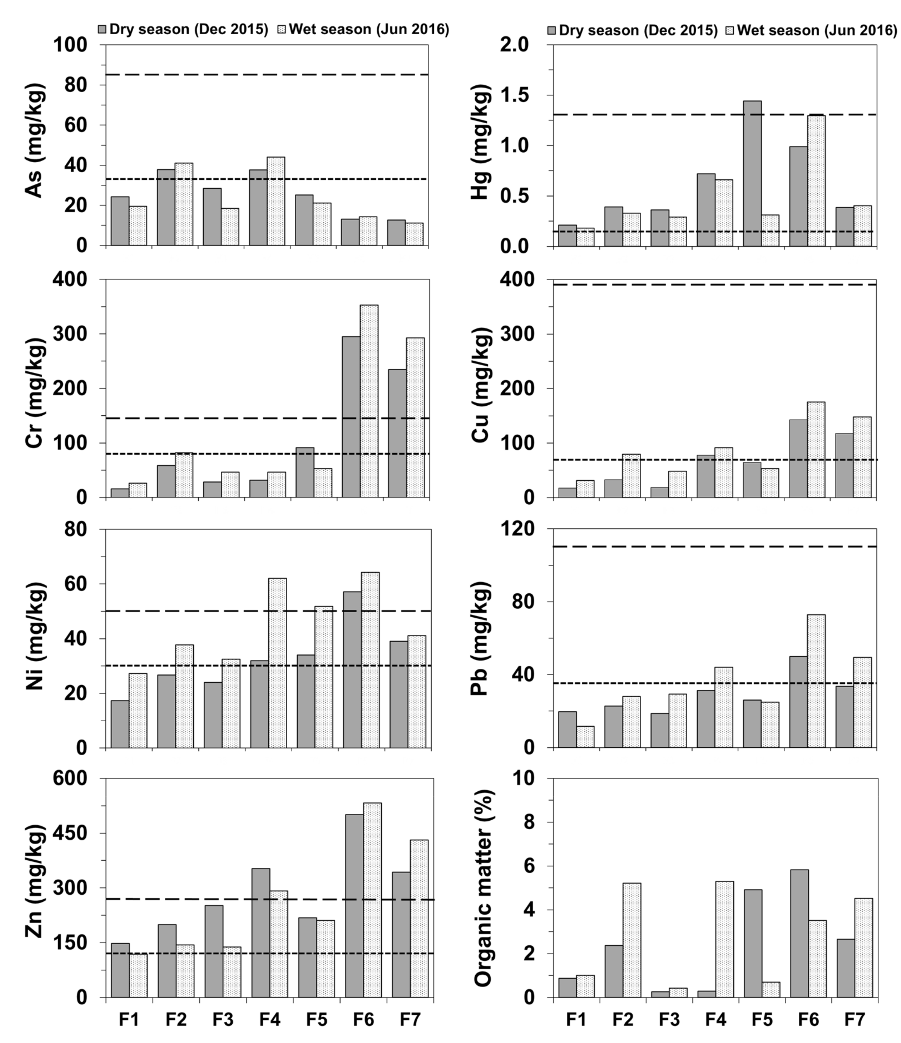
3.1. Spatial and Seasonal Variations in Heavy Metals
3.2. Sediment Pollution Status
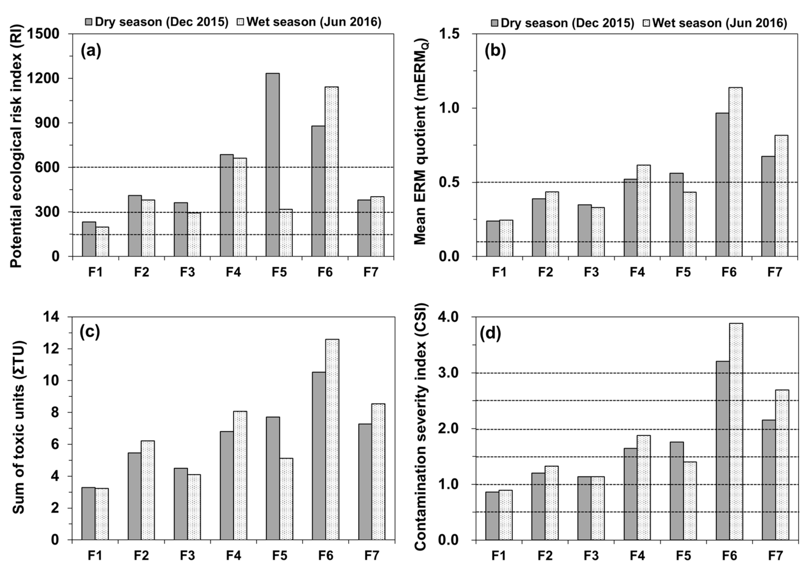
3.3. Potential Biological Risk
3.4. Relationship among Sediment Properties and Heavy Metals
4. Conclusions
Author Contributions
Funding
Institutional Review Board Statement
Informed Consent Statement
Data Availability Statement
Conflicts of Interest
References
- Lin, Q.; Liu, E.; Zhang, E.; Li, K.; Shen, J. Spatial distribution, contamination and ecological risk assessment of heavy metals in surface sediments of Erhai Lake, a large eutrophic plateau lake in southwest China. Catena 2016, 145, 193–203. [Google Scholar] [CrossRef]
- Sin, S.N.; Chua, H.; Lo, W.; Ng, L.M. Assessment of heavy metal cations in sediments of Shing Mun River, Hong Kong. Environ. Int. 2001, 26, 297–301. [Google Scholar] [CrossRef]
- Ghrefat, H.; Yusuf, N. Assessing Mn, Fe, Cu, Zn, and Cd pollution in bottom sediments of Wadi Al-Arab Dam, Jordan. Chemosphere 2006, 65, 2114–2121. [Google Scholar] [CrossRef] [PubMed]
- Deniseger, J.; Erickson, L.J.; Austin, A.; Roch, M.; Clark, M.J.R. The effects of decreasing heavy metal concentrations on the biota of Buttle Lake, Vancouver Island, British Columbia. Water Res. 1990, 24, 403–416. [Google Scholar] [CrossRef]
- Reimann, C.; de Caritat, P. Distinguishing between natural and anthropogenic sources for elements in the environment: Regional geochemical surveys versus enrichment factors. Sci. Total Environ. 2005, 337, 91–107. [Google Scholar] [CrossRef]
- Simpson, S.L.; Spadaro, D.A. Bioavailability and chronic toxicity of metal sulfide minerals to benthic marine invertebrates: Implications for deep sea exploration, mining and tailings disposal. Environ. Sci. Technol. 2016, 50, 4061–4070. [Google Scholar] [CrossRef]
- Maanan, M.; Saddik, M.; Maanan, M.; Chaibi, M.; Assobhei, O.; Zourarah, B. Environmental and ecological risk assessment of heavy metals in sediments of Nador lagoon, Morocco. Ecol. Indic. 2015, 48, 616–626. [Google Scholar] [CrossRef]
- Singh, K.P.; Mohan, D.; Singh, V.K.; Malik, A. Studies on distribution and fractionation of heavy metals in Gomti river sediments-a tributary of the Ganges. J. Hydrol. 2005, 312, 14–27. [Google Scholar] [CrossRef]
- Chapman, P.M.; Wang, F.; Janssen, C.; Persoone, G.; Allen, H.E. Ecotoxicology of metals in aquatic sediments: Binding and release, bioavailability, risk assessment, and remediation. Can. J. Fish. Aquat. Sci. 1998, 55, 2221–2243. [Google Scholar] [CrossRef]
- McCauley, D.J.; DeGraeve, G.M.; Linton, T.K. Sediment quality guidelines and assessment: Overview and research needs. Environ. Sci. Policy 2000, 3, S133–S144. [Google Scholar] [CrossRef]
- Long, E.R.; MacDonald, D.D.; Smith, S.L.; Calder, F.D. Incidence of adverse biological effects within ranges of chemical concentrations in marine and estuarine sediments. Environ. Manag. 1995, 19, 81–97. [Google Scholar] [CrossRef]
- MacDonald, D.D.; Carr, R.S.; Calder, F.D.; Long, E.R.; Ingersoll, C.G. Development and evaluation of sediment quality guidelines for Florida coastal waters. Ecotoxicology 1996, 5, 253–278. [Google Scholar] [CrossRef]
- Chen, C.W.; Lim, Y.C.; Chen, C.F.; Ju, Y.R.; Dong, C.D. Spatial distribution and ecological risk assessment of sediment metals in a highly industrialized coastal zone southwestern Taiwan. Environ. Sci. Pollut. Res. 2019, 26, 14717–14731. [Google Scholar] [CrossRef]
- Benson, N.U.; Adedapo, A.E.; Fred-Ahmadu, O.H.; Williams, A.B.; Udosen, E.D.; Ayejuyo, O.O.; Olajire, A.A. New ecological risk indices for evaluating heavy metals contamination in aquatic sediment: A case study of the Gulf of Guinea. Reg. Stud. Mar. Sci. 2018, 18, 44–56. [Google Scholar] [CrossRef]
- Kim, B.S.M.; Angeli, J.L.F.; Ferreira, P.A.L.; de Mahiques, M.M.; Figueira, R.C.L. A multivariate approach and sediment quality index evaluation applied to Baixada Santista, Southeastern Brazil. Mar. Pollut. Bull. 2019, 143, 72–80. [Google Scholar] [CrossRef] [PubMed]
- Ali, A.E.; Strezov, V.; Davies, P.J.; Wright, I. River sediment quality assessment using sediment quality indices for the Sydney basin, Australia affected by coal and coal seam gas mining. Sci. Total Environ. 2018, 616, 695–702. [Google Scholar] [CrossRef] [PubMed]
- Bhuiyan, M.A.H.; Dampare, S.B.; Islam, M.A.; Suzuki, S. Source apportionment and pollution evaluation of heavy metals in water and sediments of Buriganga River, Bangladesh, using multivariate analysis and pollution evaluation indices. Environ. Monit. Assess. 2015, 187, 4075. [Google Scholar] [CrossRef] [PubMed]
- Lin, K.N.; Chen, C.W.; Chen, C.F.; Lim, Y.C.; Kao, C.M.; Dong, C.D. Seasonal variation of phthalate esters in urban river sediments: A case study of Fengshan River system in Taiwan. Sustainability 2022, 14, 347. [Google Scholar] [CrossRef]
- Zou, E.T. Implementation of Environmental Policy: A Case Study of Water Pollution Control of Kaohsiung County’s Fengshan River. Master’s Thesis, I-Shou University, Kaohsiung, Taiwan, 2005. (In Chinese). [Google Scholar]
- Taiwan Central Weather Bureau. 2021. Available online: https://www.cwb.gov.tw/eng/ (accessed on 4 January 2022).
- Rudnick, R.L.; Gao, S. Composition of the continental crust. In The Crust, Treatise on Geochemistry; Rudnick, R.L., Ed.; Elsevier: Amsterdam, The Netherlands, 2003; Volume 3, pp. 1–64. [Google Scholar] [CrossRef]
- Håkanson, L. An ecological risk index for aquatic pollution control: A sedimentological approach. Water Res. 1980, 14, 975–1001. [Google Scholar] [CrossRef]
- Müller, G. Schwermetalle in den Sedimenten des Rheins-VeraÈnderungenseit. Umschau 1979, 79, 778–783. [Google Scholar]
- Abrahim, G.; Parker, R. Assessment of heavy metal enrichment factors and the degree of contamination in marine sediments from Tamaki Estuary, Auckland, New Zealand. Environ. Monit. Assess. 2008, 136, 227–238. [Google Scholar] [CrossRef]
- Tomlinson, D.; Wilson, J.; Harris, C.; Jeffrey, D. Problems in the assessment of heavy-metal levels in estuaries and the formation of a pollution index. Helgol. Meeresunters. 1980, 33, 566–575. [Google Scholar] [CrossRef] [Green Version]
- MacDonald, D.D.; Ingersoll, C.G.; Berger, T.A. Development and evaluation of consensus-based sediment quality guidelines for freshwater ecosystems. Arch. Environ. Contam. Toxicol. 2000, 39, 20–31. [Google Scholar] [CrossRef]
- Long, E.R.; MacDonald, D.D.; Severn, C.G.; Hong, C.B. Classifying probabilities of acute toxicity in marine sediments with empirically derived sediment quality guidelines. Environ. Toxicol. Chem. 2009, 19, 2598–2601. [Google Scholar] [CrossRef]
- Pedersen, F.; Bjørnestad, E.; Anderson, H.V.; Kjølholt, J.; Poll, C. Characterization of sediments from Copenhagen Harbour by use of biotests. Water Sci. Technol. 1998, 37, 233–240. [Google Scholar] [CrossRef]
- Pejman, A.; Bidhendi, G.N.; Ardestani, M.; Saeedi, M.; Baghvand, A. A new index for assessing heavy metals contamination in sediment: A case study. Ecol. Indic. 2015, 58, 365–373. [Google Scholar] [CrossRef]
- George, D.A.; Hill, P.S.; Milligan, T.G. Flocculation, heavy metals (Cu, Pb, Zn) and the sand–mud transition on the Adriatic continental shelf, Italy. Cont. Shelf Res. 2007, 27, 475–488. [Google Scholar] [CrossRef]
- Schindler, R.J.; Comber, S.D.W.; Manning, A.J. Metal pollutant pathways in cohesive coastal catchments: Influence of flocculation and biopolymers on partitioning and flux. Sci. Total Environ. 2021, 795, 148800. [Google Scholar] [CrossRef] [PubMed]
- Karthikeyan, R.; Vijayalakshmi, S.; Balasubramanian, T. Seasonal distribution of heavy metals in the sediments from Uppanar estuary (East coast of India). Int. J. Aquat. Biol. 2004, 19, 119–122. [Google Scholar]
- Nguyen, B.T.; Do, D.D.; Nguyen, T.X.; Nguyen, V.N.; Nguyen, D.T.P.; Nguyen, M.H.; Truong, H.T.T.; Dong, H.P.; Le, A.H.; Bach, Q.V. Seasonal, spatial variation, and pollution sources of heavy metals in the sediment of the Saigon River, Vietnam. Environ. Pollut. 2020, 256, 113412. [Google Scholar] [CrossRef] [PubMed]
- Dixit, S.; Yadav, A.; Dwivedi, P.D.; Das, M. Toxic hazards of leather industry and technologies to combat threat: A review. J. Clean. Prod. 2015, 87, 39–49. [Google Scholar] [CrossRef]
- Huang, K.M.; Lin, S. Consequences and implication of heavy metal spatial variations in sediments of the Keelung River drainage basin, Taiwan. Chemosphere 2003, 53, 1113–1121. [Google Scholar] [CrossRef]
- Li, R.; Tang, X.; Guo, W.; Lin, L.; Zhao, L.; Hu, Y.; Liu, M. Spatiotemporal distribution dynamics of heavy metals in water, sediment, and zoobenthos in mainstream sections of the middle and lower Changjiang River. Sci. Total Environ. 2020, 714, 136779. [Google Scholar] [CrossRef] [PubMed]
- Liu, C.; Xu, J.; Liu, C.; Zhang, P.; Dai, M. Heavy metals in the surface sediments in Lanzhou Reach of Yellow River, China. Bull. Environ. Contam. Toxicol. 2009, 82, 26–30. [Google Scholar] [CrossRef] [PubMed]
- Zhao, G.; Ye, S.; Yuan, H.; Ding, X.; Wang, J.; Laws, E.A. Surface sediment properties and heavy metal contamination assessment in river sediments of the Pearl River Delta, China. Mar. Pollut. Bull. 2018, 136, 300–308. [Google Scholar] [CrossRef] [PubMed]
- Gupta, A.; Rai, D.K.; Pandey, R.S.; Sharma, B. Analysis of some heavy metals in the riverine water, sediments and fish from river Ganges at Allahabad. Environ. Monit. Assess. 2009, 157, 449–458. [Google Scholar] [CrossRef] [PubMed]
- Islam, M.S.; Ahmed, M.K.; Raknuzzaman, M.; Habibullah-Al-Mamun, M.; Islam, M.K. Heavy metal pollution in surface water and sediment: A preliminary assessment of an urban river in a developing country. Ecol. Indic. 2015, 48, 282–291. [Google Scholar] [CrossRef]
- Nazeer, S.; Hashmi, M.Z.; Malik, R.N. Heavy metals distribution, risk assessment and water quality characterization by water quality index of the River Soan, Pakistan. Ecol. Indic. 2014, 43, 262–270. [Google Scholar] [CrossRef]
- El-Amier, Y.A.; Abd El-Gawad, A.M. Assessing the sediment pollution using heavy metals indices in the Nile River Branches in Egypt. J. Environ. Sci. Pollut. Res. 2016, 2, 107–112. [Google Scholar]
- Marengo, E.; Gennaro, M.C.; Robotti, E.; Rossanigo, P.; Rinaudo, C.; Roz-Gastaldi, M. Investigation of anthropic effects connected with metal ions concentration, organic matter and grain size in Bormida river sediments. Anal. Chim. Acta 2006, 560, 172–183. [Google Scholar] [CrossRef]
- Duodu, G.O.; Goonetilleke, A.; Ayoko, G.A. Comparison of pollution indices for the assessment of heavy metal in Brisbane River sediment. Environ. Pollut. 2016, 219, 1077–1091. [Google Scholar] [CrossRef]
- Bábek, O.; Grygar, T.M.; Faměra, M.; Hron, K.; Nováková, T.; Sedláček, J. Geochemical background in polluted river sediments: How to separate the effects of sediment provenance and grain size with statistical rigour? Catena 2015, 135, 240–253. [Google Scholar] [CrossRef]
- Sun, X.; Fan, D.; Liu, M.; Tian, Y.; Pang, Y.; Liao, H. Source identification, geochemical normalization and influence factors of heavy metals in Yangtze River Estuary sediment. Environ. Pollut. 2018, 241, 938–949. [Google Scholar] [CrossRef] [PubMed]
- Bergaya, F.; Lagaly, G. General introduction: Clays, clay minerals, and clay science. In Handbook of Clay Science, Developments in Clay Science; Bergaya, F., Theng, B.K.G., Lagaly, G., Eds.; Elsevier: Amsterdam, The Netherlands, 2006; Volume 1, pp. 1–18. [Google Scholar]
- Tansel, B.; Rafiuddin, S. Heavy metal content in relation to particle size and organic content of surficial sediments in Miami River and transport potential. Int. J. Sediment Res. 2016, 31, 324–329. [Google Scholar] [CrossRef]
- Lin, S.; Hsieh, I.J.; Huang, K.M.; Wang, C.H. Influence of the Yangtze River and grain size on the spatial variations of heavy metals and organic carbon in the East China Sea continental shelf sediments. Chem. Geol. 2002, 182, 377–394. [Google Scholar] [CrossRef]
- Wang, S.; Cao, Z.; Lan, D.; Zheng, Z.; Li, G. Concentration distribution and assessment of several heavy metals in sediments of west-four Pearl River Estuary. Environ. Geol. 2008, 55, 963–975. [Google Scholar] [CrossRef]
- Lin, J.G.; Chen, S.Y. The relationship between adsorption of heavy metal and organic matter in river sediments. Environ. Int. 1998, 24, 345–352. [Google Scholar] [CrossRef]




| Station | As | Hg | Cr | Cu | Ni | Pb | Zn |
|---|---|---|---|---|---|---|---|
| Dry season (December 2015) | |||||||
| F1 | 24.3 | 0.21 | 15.8 | 17.3 | 17.3 | 19.6 | 148 |
| F2 | 37.8 | 0.39 | 58.7 | 32.7 | 26.7 | 22.7 | 200 |
| F3 | 28.5 | 0.36 | 28.6 | 18.6 | 24.0 | 18.6 | 251 |
| F4 | 37.7 | 0.72 | 31.9 | 77.8 | 31.9 | 31.3 | 353 |
| F5 | 25.2 | 1.44 | 91.3 | 64.6 | 34.0 | 26.0 | 218 |
| F6 | 13.1 | 0.99 | 295 | 143 | 57.1 | 49.9 | 501 |
| F7 | 12.6 | 0.39 | 235 | 118 | 39.1 | 33.5 | 343 |
| Wet season (June 2016) | |||||||
| F1 | 19.5 | 0.18 | 26.0 | 31.2 | 27.2 | 11.6 | 119 |
| F2 | 41.1 | 0.33 | 81.9 | 79.4 | 37.7 | 28.0 | 144 |
| F3 | 18.4 | 0.29 | 46.6 | 48.1 | 32.5 | 29.3 | 139 |
| F4 | 44.1 | 0.66 | 46.4 | 91.6 | 62.1 | 44.0 | 292 |
| F5 | 21.1 | 0.31 | 53.1 | 53.2 | 51.8 | 24.9 | 211 |
| F6 | 14.3 | 1.30 | 353 | 175 | 64.3 | 72.8 | 533 |
| F7 | 11.2 | 0.40 | 293 | 148 | 41.1 | 49.5 | 431 |
| ERL | 33 | 0.15 | 80 | 70 | 30 | 35 | 120 |
| ERM | 85 | 1.3 | 145 | 390 | 50 | 110 | 270 |
| TEL | 5.9 | 0.174 | 37.3 | 35.7 | 18 | 35 | 123 |
| PEL | 17 | 0.486 | 90 | 197 | 36 | 91.3 | 315 |
| SEL | 33 | 2 | 110 | 110 | 75 | 250 | 820 |
| UCC | 4.8 | 0.05 | 92 | 28 | 47 | 17 | 67 |
| Station | As | Hg | Cr | Cu | Ni | Pb | Zn |
|---|---|---|---|---|---|---|---|
| Fengshan River, Taiwan | 11–44 | 0.18–1.44 | 16–353 | 17–175 | 17–64 | 12–73 | 119–533 |
| Keelung River, Taiwan [35] | na | na | na | 3.5–120 | na | 9.3–200 | 41–390 |
| Changjiang River, China [36] | 9.0–34 | 0.01–0.09 | na | 14–37 | 26–34 | 17–42 | 72–131 |
| Yellow River, China [37] | 14–48 | na | 41–128 | 30–102 | na | 26–78 | 90–202 |
| Xijiang River, China [38] | 4.9–60 | 0.01–0.48 | 6–119 | 6–120 | na | 11–155 | 28–479 |
| River Ganges, India [39] | na | na | 1.8–6.4 | 1.0–4.4 | na | 4.3–8.4 | 10–20 |
| Korotoa River, Bangladesh [40] | 2.6–52 | na | 55–183 | 35–118 | 37–163 | 36–83 | na |
| River Soan, Pakistan [41] | na | na | 2.9–19 | 4.8–59 | 19–35 | 7.5–78 | 7.3–189 |
| Nile River Branches, Egypt [42] | na | na | na | 12–68 | 1.0–3.7 | 15–30 | 30–80 |
| Bormida River, Italy [43] | 9.0–59 | 0.09–0.96 | 63–392 | 16–77 | 28–231 | 13–77 | 48–228 |
| Brisbane River, Australia [44] | 8.9–13 | 1–2 | 82–332 | 20–110 | 20–34 | 25–126 | 142–257 |
| Clay a | Silt a | Sand a | OM a | TN a | TP a | As | Hg | Cr | Cu | Ni | Pb | |
|---|---|---|---|---|---|---|---|---|---|---|---|---|
| Silt | 0.911 ** | |||||||||||
| Sand | −0.911 ** | −1.00 ** | ||||||||||
| OM | 0.422 | 0.534 * | −0.534 * | |||||||||
| TN | 0.477 | 0.697 ** | −0.697 ** | 0.763 ** | ||||||||
| TP | 0.163 | 0.433 | −0.433 | 0.688 ** | 0.842 ** | |||||||
| As | −0.255 | −0.363 | 0.363 | −0.051 | −0.407 | −0.538 * | ||||||
| Hg | 0.218 | 0.332 | −0.332 | 0.497 | 0.673 ** | 0.376 | −0.037 | |||||
| Cr | 0.343 | 0.534 * | −0.534 * | 0.622 * | 0.815 ** | 0.749 ** | −0.495 | 0.651 * | ||||
| Cu | 0.165 | 0.385 | −0.385 | 0.648 * | 0.829 ** | 0.807 ** | −0.402 | 0.682 ** | 0.842 ** | |||
| Ni | −0.073 | 0.152 | −0.152 | 0.635 * | 0.657 * | 0.741 ** | −0.301 | 0.535 * | 0.714 ** | 0.868 ** | ||
| Pb | 0.134 | 0.297 | −0.297 | 0.556 * | 0.771 ** | 0.714 ** | −0.393 | 0.680 ** | 0.754 ** | 0.938 ** | 0.820 ** | |
| Zn | 0.244 | 0.371 | −0.371 | 0.314 | 0.631 * | 0.486 | −0.358 | 0.801 ** | 0.622 * | 0.763 ** | 0.600 * | 0.780 ** |
| VF1 | VF2 | VF3 | |
|---|---|---|---|
| Clay a | −0.096 | 0.938 | −0.043 |
| Silt a | 0.275 | 0.917 | 0.232 |
| Sand a | −0.217 | −0.951 | −0.191 |
| OM a | 0.762 | 0.317 | −0.331 |
| TN a | 0.865 | 0.365 | 0.292 |
| TP a | 0.823 | 0.165 | 0.315 |
| As | −0.175 | −0.192 | −0.901 |
| Hg | 0.711 | 0.111 | −0.187 |
| Cr | 0.776 | 0.342 | 0.507 |
| Cu | 0.910 | 0.122 | 0.319 |
| Ni | 0.881 | −0.201 | 0.031 |
| Pb | 0.915 | 0.042 | 0.229 |
| Zn | 0.819 | 0.141 | 0.352 |
| Eigenvalue | 6.387 | 3.130 | 1.768 |
| % of Total variance | 49.1% | 24.1% | 13.6% |
Publisher’s Note: MDPI stays neutral with regard to jurisdictional claims in published maps and institutional affiliations. |
© 2022 by the authors. Licensee MDPI, Basel, Switzerland. This article is an open access article distributed under the terms and conditions of the Creative Commons Attribution (CC BY) license (https://creativecommons.org/licenses/by/4.0/).
Share and Cite
Lin, K.-N.; Lim, Y.-C.; Chen, C.-W.; Chen, C.-F.; Kao, C.-M.; Dong, C.-D. Spatiotemporal Variation and Ecological Risk Assessment of Heavy Metals in Industrialized Urban River Sediments: Fengshan River in Southern Taiwan as a Case Study. Appl. Sci. 2022, 12, 1013. https://doi.org/10.3390/app12031013
Lin K-N, Lim Y-C, Chen C-W, Chen C-F, Kao C-M, Dong C-D. Spatiotemporal Variation and Ecological Risk Assessment of Heavy Metals in Industrialized Urban River Sediments: Fengshan River in Southern Taiwan as a Case Study. Applied Sciences. 2022; 12(3):1013. https://doi.org/10.3390/app12031013
Chicago/Turabian StyleLin, Kuan-Nan, Yee-Cheng Lim, Chiu-Wen Chen, Chih-Feng Chen, Chih-Ming Kao, and Cheng-Di Dong. 2022. "Spatiotemporal Variation and Ecological Risk Assessment of Heavy Metals in Industrialized Urban River Sediments: Fengshan River in Southern Taiwan as a Case Study" Applied Sciences 12, no. 3: 1013. https://doi.org/10.3390/app12031013
APA StyleLin, K.-N., Lim, Y.-C., Chen, C.-W., Chen, C.-F., Kao, C.-M., & Dong, C.-D. (2022). Spatiotemporal Variation and Ecological Risk Assessment of Heavy Metals in Industrialized Urban River Sediments: Fengshan River in Southern Taiwan as a Case Study. Applied Sciences, 12(3), 1013. https://doi.org/10.3390/app12031013

