Seasonal Changes in the Acceleration–Speed Profile of Elite Soccer Players: A Longitudinal Study
Abstract
1. Introduction
2. Materials and Methods
2.1. Experimental Approach to the Problem
2.2. Subjects
2.3. Procedures
2.4. Statistical Analyses
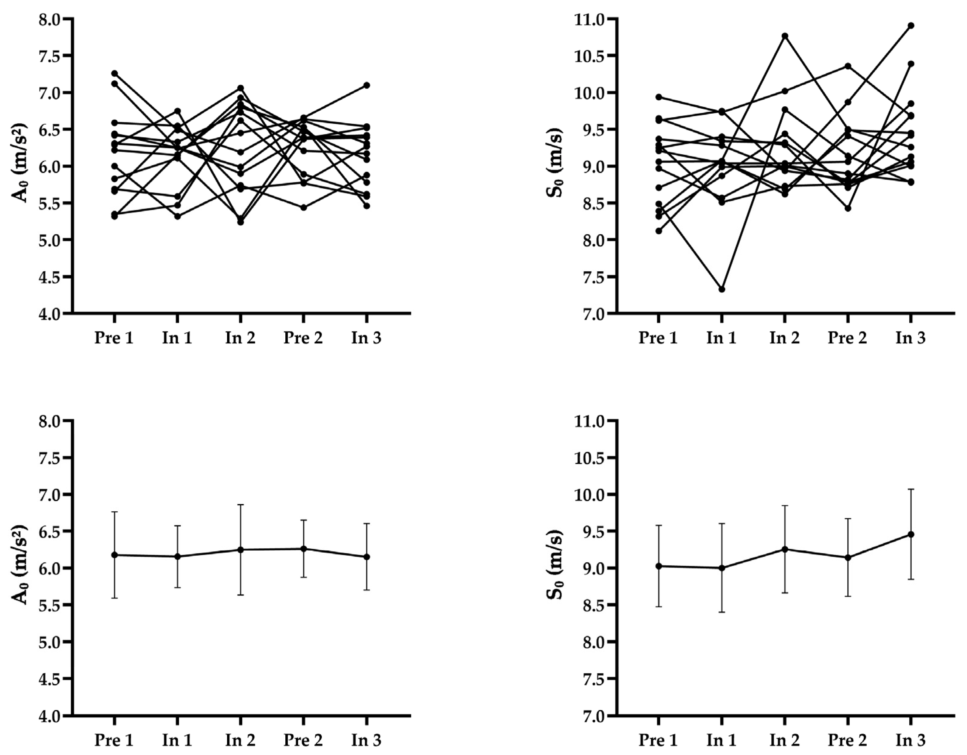
3. Results
4. Discussion
5. Conclusions
Supplementary Materials
Author Contributions
Funding
Institutional Review Board Statement
Informed Consent Statement
Data Availability Statement
Acknowledgments
Conflicts of Interest
References
- Bangsbo, J.; Mohr, M.; Krustrup, P. Physical and metabolic demands of training and match-play in the elite football player. J. Sports Sci. 2006, 24, 665–674. [Google Scholar] [CrossRef] [PubMed]
- Di Salvo, V.; Gregson, W.; Atkinson, G.; Tordoff, P.; Drust, B. Analysis of High Intensity Activity in Premier League Soccer. Int. J. Sports Med. 2009, 30, 205–212. [Google Scholar] [CrossRef]
- Di Salvo, V.; Baron, R.; González-Haro, C.; Gormasz, C.; Pigozzi, F.; Bachl, N. Sprinting analysis of elite soccer players during European Champions League and UEFA Cup matches. J. Sports Sci. 2010, 28, 1489–1494. [Google Scholar] [CrossRef] [PubMed]
- Varley, M.C.; Aughey, R.J. Acceleration Profiles in Elite Australian Soccer. Int. J. Sports Med. 2012, 34, 34–39. [Google Scholar] [CrossRef]
- De Hoyo, M.; Sañudo, B.; Suárez-Arrones, L.; Carrasco, L.; Joel, T.; Domínguez-Cobo, S.; Núñez, F.J. Analysis of the acceleration profile according to initial speed and positional role in elite professional male soccer players. J. Sports Med. Phys. Fit. 2018, 58, 1774–1780. [Google Scholar] [CrossRef]
- Harper, D.J.; Carling, C.; Kiely, J. High-Intensity Acceleration and Deceleration Demands in Elite Team Sports Competitive Match Play: A Systematic Review and Meta-Analysis of Observational Studies. Sports Med. 2019, 49, 1923–1947. [Google Scholar] [CrossRef]
- Oliva-Lozano, J.M.; Fortes, V.; Krustrup, P.; Muyor, J.M. Acceleration and sprint profiles of professional male football players in relation to playing position. PLoS ONE 2020, 15, e0236959. [Google Scholar] [CrossRef]
- Faude, O.; Koch, T.; Meyer, T. Straight sprinting is the most frequent action in goal situations in professional football. J. Sports Sci. 2012, 30, 625–631. [Google Scholar] [CrossRef]
- Jiménez-Reyes, P.; Garcia-Ramos, A.; Párraga-Montilla, J.A.; Morcillo-Losa, J.A.; Cuadrado-Peñafiel, V.; Castaño-Zambudio, A.; Samozino, P.; Morin, J.-B. Seasonal Changes in the Sprint Acceleration Force-Velocity Profile of Elite Male Soccer Players. J. Strength Cond. Res. 2020, 36, 70–74. [Google Scholar] [CrossRef]
- Mendiguchia, J.; Samozino, P.; Martinez-Ruiz, E.; Brughelli, M.; Schmikli, S.; Morin, J.-B.; Mendez-Villanueva, A. Progression of Mechanical Properties during On-field Sprint Running after Returning to Sports from a Hamstring Muscle Injury in Soccer Players. Endoscopy 2014, 35, 690–695. [Google Scholar] [CrossRef]
- Mendiguchia, J.; Edouard, P.; Samozino, P.; Brughelli, M.; Cross, M.; Ross, A.; Gill, N.; Morin, J.B. Field monitoring of sprinting power-force-velocity profile before, during and after hamstring injury: Two case reports. J. Sports Sci. 2016, 34, 535–541. [Google Scholar] [CrossRef]
- Emorin, J.-B.; Egimenez, P.; Eedouard, P.; Earnal, P.; Reyes, P.J.; Esamozino, P.; Ebrughelli, M.; Emendiguchia, J. Sprint Acceleration Mechanics: The Major Role of Hamstrings in Horizontal Force Production. Front. Physiol. 2015, 6, 404. [Google Scholar] [CrossRef]
- Baena-Raya, A.; Soriano-Maldonado, A.; Conceição, F.; Jiménez-Reyes, P.; Rodríguez-Pérez, M.A. Association of the vertical and horizontal force-velocity profile and acceleration with change of direction ability in various sports. Eur. J. Sport Sci. 2021, 21, 1659–1667. [Google Scholar] [CrossRef] [PubMed]
- Samozino, P.; Rabita, G.; Dorel, S.; Slawinski, J.; Peyrot, N.; de Villarreal, E.S.; Morin, J.-B. A simple method for measuring power, force, velocity properties, and mechanical effectiveness in sprint running. Scand. J. Med. Sci. Sports 2016, 26, 648–658. [Google Scholar] [CrossRef] [PubMed]
- Haugen, T.A. Soccer seasonal variations in sprint mechanical properties and vertical jump performance. Kinesiology 2018, 50, 102–108. [Google Scholar]
- Morin, J.-B.; Le Mat, Y.; Osgnach, C.; Barnabò, A.; Pilati, A.; Samozino, P.; di Prampero, P.E. Individual acceleration-speed profile in-situ: A proof of concept in professional football players. J. Biomech. 2021, 123, 110524. [Google Scholar] [CrossRef] [PubMed]
- Castillo, A.B.; Carmona, C.D.G.; Sánchez, E.D.L.C.; Ortega, J.P. Accuracy, intra- and inter-unit reliability, and comparison between GPS and UWB-based position-tracking systems used for time–motion analyses in soccer. Eur. J. Sport Sci. 2018, 18, 450–457. [Google Scholar] [CrossRef]
- Clavel, P.; Leduc, C.; Morin, J.-B.; Owen, C.; Samozino, P.; Peeters, A.; Buchheit, M.; Lacome, M. Concurrent Validity and Reliability of Sprinting Force–Velocity Profile Assessed With GPS Devices in Elite Athletes. Int. J. Sports Physiol. Perform. 2022, 17, 1527–1531. [Google Scholar] [CrossRef]
- Haugen, T.; Buchheit, M. Sprint Running Performance Monitoring: Methodological and Practical Considerations. Sports Med. 2015, 46, 641–656. [Google Scholar] [CrossRef]
- Haycraft, J.; Aughey, R. FIFA Electronic Performance Tracking Systems Test Report. FIFA. 2022. Available online: https://www.fifa.com/technical/football-technology/resource-hub?id=70d5b4202e1140bab374384811b157c5 (accessed on 22 June 2022).
- Alonso-Callejo, A.; García-Unanue, J.; Perez-Guerra, A.; Gomez, D.; Sánchez-Sánchez, J.; Gallardo, L.; Felipe, J.L. Effect of playing position and microcycle days on the acceleration speed profile of elite football players. Sci. Rep. 2022, 12, 19266. [Google Scholar] [CrossRef]
- Oliva-Lozano, J.M.; Muyor, J.M. Understanding the FIFA quality performance reports for electronic performance and tracking systems: From science to practice. Sci. Med. Footb. 2021, 6, 398–403. [Google Scholar] [CrossRef] [PubMed]
- Rico-González, M.; Arcos, A.L.; Nakamura, F.Y.; Moura, F.A.; Pino-Ortega, J. The use of technology and sampling frequency to measure variables of tactical positioning in team sports: A systematic review. Res. Sports Med. 2019, 28, 279–292. [Google Scholar] [CrossRef]
- Malone, J.J.; Lovell, R.; Varley, M.C.; Coutts, A.J. Unpacking the Black Box: Applications and Considerations for Using GPS Devices in Sport. Int. J. Sports Physiol. Perform. 2017, 12, 18–26. [Google Scholar] [CrossRef] [PubMed]
- Cohen, J. A power primer. Psychol. Bull. 1992, 112, 155–159. [Google Scholar] [CrossRef] [PubMed]
- Hopkins, W.G.; Marshall, S.W.; Batterham, A.M.; Hanin, J. Progressive Statistics for Studies in Sports Medicine and Exercise Science. Med. Sci. Sports Exerc. 2009, 41, 3–13. [Google Scholar] [CrossRef] [PubMed]
- Casamichana, D.; Bradley, P.S.; Castellano, J. Influence of the Varied Pitch Shape on Soccer Players Physiological Responses and Time-Motion Characteristics During Small-Sided Games. J. Hum. Kinet. 2018, 64, 171–180. [Google Scholar] [CrossRef] [PubMed]
- Dalen, T.; Sandmæl, S.; Stevens, T.G.; Hjelde, G.H.; Kjøsnes, T.N.; Wisløff, U. Differences in Acceleration and High-Intensity Activities Between Small-Sided Games and Peak Periods of Official Matches in Elite Soccer Players. J. Strength Cond. Res. 2021, 35, 2018–2024. [Google Scholar] [CrossRef]
- Asian-Clemente, J.; Rabano-Muñoz, A.; Muñoz, B.; Franco, J.; Suarez-Arrones, L. Can Small-side Games Provide Adequate High-speed Training in Professional Soccer? Int. J. Sports Med. 2020, 42, 523–528. [Google Scholar] [CrossRef]
- Asian-Clemente, J.; Suarez-Arrones, L.; Requena, B.; Santalla, A. Influence of Tactical Behaviour on Running Performance in the Three Most Successful Soccer Teams During the Competitive Season of the Spanish First Division. J. Hum. Kinet. 2022, 82, 135–144. [Google Scholar] [CrossRef]
- Ade, J.; Fitzpatrick, J.; Bradley, P.S. High-intensity efforts in elite soccer matches and associated movement patterns, technical skills and tactical actions. Information for position-specific training drills. J. Sports Sci. 2016, 34, 2205–2214. [Google Scholar] [CrossRef]
- Hopkins, W.G. How to Interpret Changes in an Athletic Performance Test. Sportsci.org. 2004. pp. 1–7. Available online: https://www.sportsci.org/jour/04/wghtests.htm (accessed on 21 May 2022).



| A0 (m/s2) | Pre 1 | In 1 | In 2 | Pre 2 | In 3 | Mean ± SD | p | ES |
|---|---|---|---|---|---|---|---|---|
| Player 1 | 6.44 | 6.25 | 5.90 | 6.39 | 6.42 | 6.28 ± 0.23 | 0.88 | 0.11 |
| Player 2 | 6.31 | 6.25 | 5.99 | 6.62 | 6.31 | 6.30 ± 0.22 | 0.79 | 0.17 |
| Player 3 | 7.12 | 6.24 | 6.45 | 6.64 | 6.54 | 6.60 ± 0.33 | 0.49 | 0.35 |
| Player 4 | 6.29 b | 6.75 e | 5.24 behi | 6.37 h | 6.52 i | 6.16 ± 0.65 | 0.01 | 0.91 |
| Player 5 | 5.66 | 6.52 | 7.06 | 5.77 | 5.59 | 6.12 ± 0.64 | 0.19 | 0.59 |
| Player 6 | 6.59 | 6.55 | 5.69 | 5.78 | 6.27 | 6.18 ± 0.42 | 0.59 | 0.34 |
| Player 7 | 6.00 | 5.32 | 5.74 | 5.44 | 5.88 | 5.68 ± 0.29 | 0.33 | 0.49 |
| Player 8 | 5.69 | 5.59 e | 6.61 ei | 5.89 | 5.62 i | 5.88 ± 0.42 | 0.04 | 0.82 |
| Player 9 | 5.35 | 5.47 | 6.80 | 6.53 | 5.46 | 5.92 ± 0.69 | 0.83 | 0.23 |
| Player 10 | 6.22 | 6.15 | 6.93 | 6.47 | 6.09 | 6.37 ± 0.34 | 0.44 | 0.54 |
| Player 11 | 7.26 | 6.49 | 6.19 | 6.66 | 7.10 | 6.74 ± 0.44 | 0.21 | 0.63 |
| Player 12 | 5.83 | 6.11 | 5.29 | 6.53 | 5.78 | 5.91 ± 0.46 | 0.88 | 0.22 |
| Player 13 | 6.42 | 6.33 | 6.73 | 6.21 | 6.17 | 6.37 ± 0.22 | 0.58 | 0.45 |
| Player 14 | 5.32 | 6.16 | 6.84 | 6.37 | 6.39 | 6.22 ± 0.56 | 0.85 | 0.30 |
| Mean ± SD | 6.18 ± 0.58 | 6.15 ± 0.42 | 6.25 ± 0.61 | 6.26 ± 0.39 | 6.15 ± 0.45 | 6.20 ± 0.42 | 0.85 | 0.26 |
| S0 (m/s) | Pre 1 | In 1 | In 2 | Pre 2 | In 3 | Mean ± SD | p | ES |
|---|---|---|---|---|---|---|---|---|
| Player 1 | 8.71 | 9.07 | 8.69 | 9.41 | 9.00 | 8.98 ± 0.30 | 0.17 | 0.48 |
| Player 2 | 9.65 | 9.34 | 9.32 | 8.77 | 9.42 | 9.30 ± 0.32 | 0.58 | 0.27 |
| Player 3 | 8.32 | 8.87 | 9.44 | 8.71 | 9.13 | 8.89 ± 0.42 | 0.17 | 0.56 |
| Player 4 | 8.12 | 8.99 | 9.00 | 8.78 | 9.06 | 8.79 ± 0.39 | 0.38 | 0.46 |
| Player 5 | 9.06 | 9.07 | 8.62 | 9.49 | 9.45 | 9.14 ± 0.35 | 0.61 | 0.33 |
| Player 6 | 8.49 | 7.33 ef | 9.77 e | 9.14 f | 8.78 | 8.70 ± 0.90 | 0.03 | 0.79 |
| Player 7 | 9.94 | 9.73 | 10.02 | 10.36 | 9.68 | 9.95 ± 0.27 | 0.36 | 0.47 |
| Player 8 | 9.62 | 9.75 | 8.94 i | 9.87 | 10.91 i | 9.82 ± 0.71 | 0.03 | 0.85 |
| Player 9 | 9.29 | 8.51 | 8.73 | 8.76 | 9.01 | 8.86 ± 0.30 | 0.74 | 0.29 |
| Player 10 | 9.37 | 9.28 | 8.94 | 8.82 | 9.69 | 9.22 ± 0.35 | 0.57 | 0.45 |
| Player 11 | 8.39 | 9.08 | 10.77 | 9.50 | 9.26 | 9.40 ± 0.87 | 0.24 | 0.61 |
| Player 12 | 9.25 | 9.40 | 9.29 | 8.43 | 10.39 | 9.35 ± 0.70 | 0.65 | 0.40 |
| Player 13 | 8.97 | 8.57 | 9.01 | 8.90 | 8.79 | 8.85 ± 0.18 | 0.45 | 0.50 |
| Player 14 | 9.21 | 9.04 | 9.04 | 9.06 | 9.85 | 9.24 ± 0.35 | 0.23 | 0.77 |
| Mean ± SD | 9.03 ± 0.55 | 9.00 ± 0.6 | 9.26 ± 0.59 | 9.14 ± 0.53 | 9.46 ± 0.61 | 9.18 ± 0.58 | 0.11 | 0.30 |
Publisher’s Note: MDPI stays neutral with regard to jurisdictional claims in published maps and institutional affiliations. |
© 2022 by the authors. Licensee MDPI, Basel, Switzerland. This article is an open access article distributed under the terms and conditions of the Creative Commons Attribution (CC BY) license (https://creativecommons.org/licenses/by/4.0/).
Share and Cite
López-Sagarra, A.; Baena-Raya, A.; Casimiro-Artés, M.Á.; Granero-Gil, P.; Rodríguez-Pérez, M.A. Seasonal Changes in the Acceleration–Speed Profile of Elite Soccer Players: A Longitudinal Study. Appl. Sci. 2022, 12, 12987. https://doi.org/10.3390/app122412987
López-Sagarra A, Baena-Raya A, Casimiro-Artés MÁ, Granero-Gil P, Rodríguez-Pérez MA. Seasonal Changes in the Acceleration–Speed Profile of Elite Soccer Players: A Longitudinal Study. Applied Sciences. 2022; 12(24):12987. https://doi.org/10.3390/app122412987
Chicago/Turabian StyleLópez-Sagarra, Andrés, Andrés Baena-Raya, Miguel Á. Casimiro-Artés, Paulino Granero-Gil, and Manuel A. Rodríguez-Pérez. 2022. "Seasonal Changes in the Acceleration–Speed Profile of Elite Soccer Players: A Longitudinal Study" Applied Sciences 12, no. 24: 12987. https://doi.org/10.3390/app122412987
APA StyleLópez-Sagarra, A., Baena-Raya, A., Casimiro-Artés, M. Á., Granero-Gil, P., & Rodríguez-Pérez, M. A. (2022). Seasonal Changes in the Acceleration–Speed Profile of Elite Soccer Players: A Longitudinal Study. Applied Sciences, 12(24), 12987. https://doi.org/10.3390/app122412987

