Development and Application of Similar Materials for Foundation Pit Excavation Model Test of Metro Station
Abstract
1. Introduction
2. Similarity Principle
3. Development of Similar Materials
3.1. Selection of Similar Materials
3.2. Design Scheme of Orthogonal Test
3.3. Preparation of Specimens
3.4. Mechanical Parameters Testing of Similar Materials
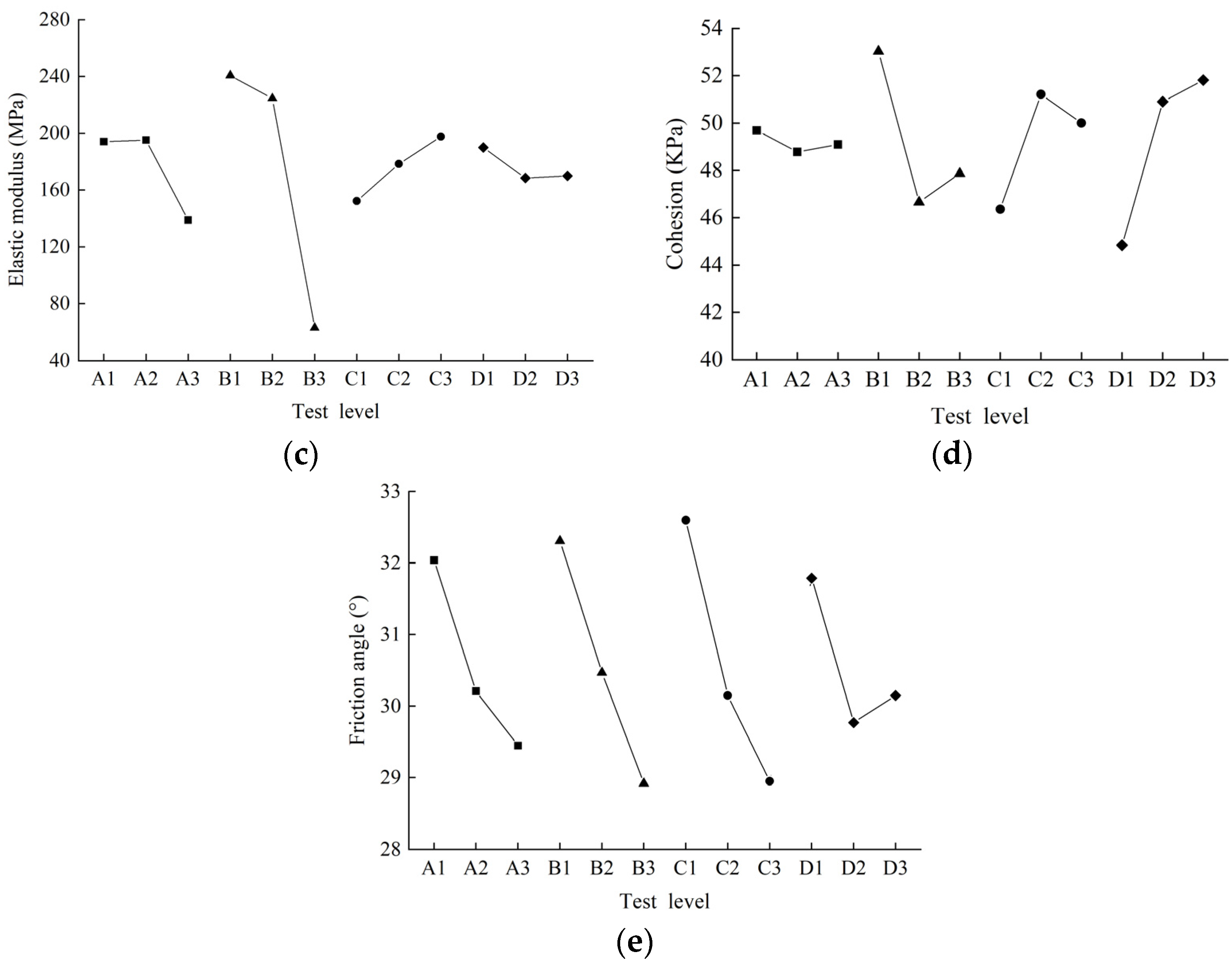
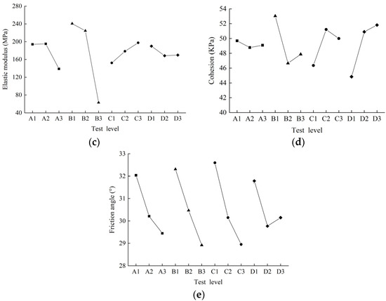
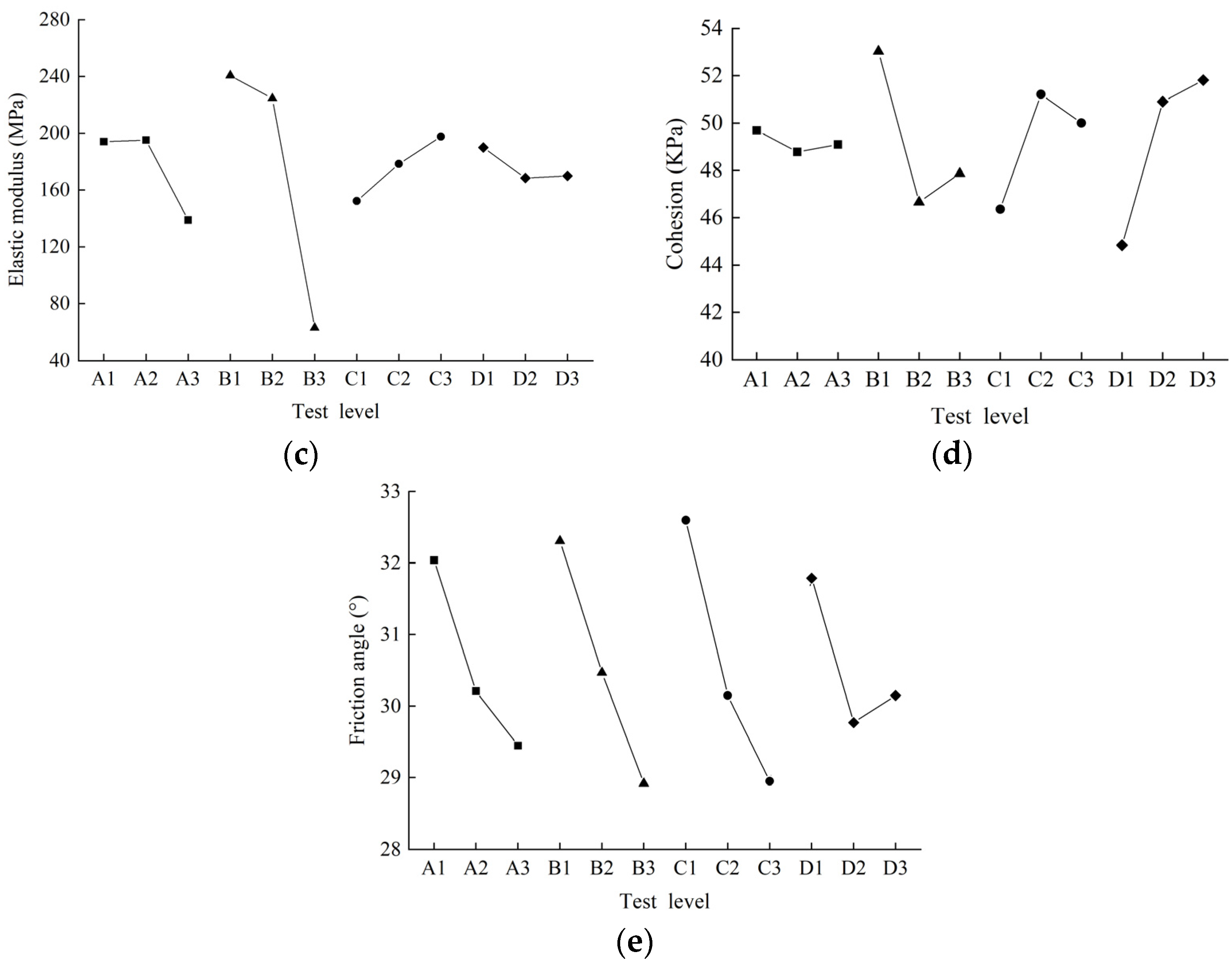
4. Range Analysis
5. Application of Metro Station Excavation Model Test
5.1. Overview of the Model Test
5.2. Model Test Design
5.3. Analysis of the Model Test Results
6. Conclusions
- A new similar material composed of iron ore powder, barite powder, quartz sand, liquid paraffin, rosin, gypsum powder, and water was developed. It can adjust the range of mechanical properties with 0.37–5.37 MPa of uniaxial compressive strength, 42.0–279.0 MPa of elastic modulus, and 2.23–2.65 g/cm3 of gravity. The values of the mechanical parameters of the new similar materials are widely distributed, and thus they can effectively reflect the variation of the physical properties of various soils. Rosin and liquid paraffin can be selected as cementing agents in order to easily adjust the mechanical properties of materials.
- Range analysis was used to investigate the sensitivity of influence of the different factors on the mechanical parameters of the similar material. The study demonstrated that the cement content has a significant impact on similar materials. In the range of 3–9% cement content, the elastic modulus decreases as the cement content increases, while the compressive strength first increases and then decreases. The mesh number of the quartz sand plays a critical role in controlling the density and cohesion of the specimens.
- Based on the developed new type of similar material, a 3D geomechanical model test on the excavation process of a metro station foundation pit was carried out. The changing mechanical processes of a limited-space soil mass excavation was stimulated truthfully. It was verified that the similar material can meet the test conditions. The variation and distribution of earth pressure in the test results can provide a practical reference for excavation engineering. The comprehensive effects of adjacent structures should be considered in the construction of a station foundation pit. It is necessary to strengthen the support for parts with large earth pressure changes.
Author Contributions
Funding
Institutional Review Board Statement
Informed Consent Statement
Data Availability Statement
Conflicts of Interest
References
- Dou, F.; Li, X.; Xing, H.; Yuan, F.; Ge, W. 3D geological suitability evaluation for urban underground space development—A case study of Qianjiang Newtown in Hangzhou, Eastern China. Tunn. Undergr. Sp. Tech. 2021, 115, 104052. [Google Scholar] [CrossRef]
- Xie, H.; Zhang, Y.; Chen, Y.; Peng, Q.; Liao, Z.; Zhu, J. A case study of development and utilization of urban underground space in Shenzhen and the Guangdong-Hong Kong-Macao Greater Bay Area. Tunn. Undergr. Sp. Tech. 2021, 107, 103651. [Google Scholar] [CrossRef]
- Tao, Y. Analysis of Foundation Pit Design of Metro Station in Complex Environment. Adv. Mater. Sci. Eng. 2021, 2021, 2995380. [Google Scholar] [CrossRef]
- Zhang, G.; Yan, G. In-Flight simulation of the excavation of foundation pit in centrifuge model tests. Geotech. Test. J. 2016, 39, 59–68. [Google Scholar] [CrossRef]
- Wang, J.; Xiang, H.; Yan, J. Numerical Simulation of Steel Sheet Pile Support Structures in Foundation Pit Excavation. Int. J. Geomech. 2019, 19, 05019002. [Google Scholar] [CrossRef]
- Bian, X.; Hu, H.; Zhao, C.; Ye, J.; Chen, Y. Protective effect of partition excavations of a large-deep foundation pit on adjacent tunnels in soft soils: A case study. B. Eng. Geol. Environ. 2021, 80, 5693–5707. [Google Scholar] [CrossRef]
- Wang, W.; Han, Z.; Deng, J.; Zhang, X.; Zhang, Y. Study on soil reinforcement param in deep foundation pit of marshland metro station. Heliyon 2019, 5, e02836. [Google Scholar] [CrossRef]
- Augarde, C.; Lee, S.; Loukidis, D. Numerical modelling of large deformation problems in geotechnical engineering: A state-of-the-art review. Soils. Found. 2021, 61, 1718–1735. [Google Scholar] [CrossRef]
- Zhang, J.; Xie, R.; Zhang, H. Mechanical response analysis of the buried pipeline due to adjacent foundation pit excavation. Tunn. Undergr. Sp. Tech. 2018, 78, 135–145. [Google Scholar] [CrossRef]
- Stead, D.; Eberhardt, E.; Coggan, J. Developments in the characterization of complex rock slope deformation and failure using numerical modelling techniques. Eng. Geol. 2006, 83, 217–235. [Google Scholar] [CrossRef]
- Zhou, Z.; Chen, S.; Tu, P.; Zhang, H. An analytic study on the deflection of subway tunnel due to adjacent excavation of foundation pit. J. Mod. Transp. 2015, 23, 287–297. [Google Scholar] [CrossRef]
- Ye, S.; Zhao, Z.; Wang, D. Deformation analysis and safety assessment of existing metro tunnels affected by excavation of a foundation pit. Undergr. Space 2020, 6, 421–431. [Google Scholar] [CrossRef]
- Wang, J.; Liu, X.; Xiang, J.; Jiang, Y.; Feng, B. Laboratory model tests on water inrush in foundation pit bottom. Environ. Earth. Sci. 2016, 75, 1072. [Google Scholar] [CrossRef]
- Zhang, Q.; Hu, J.; Wang, J.; He, P.; Hou, L.; Lin, P.; Song, S. Study on the mechanical behavior of a foundation pit retaining structure adjacent to the pile foundation of a subway station. Environ. Earth Sci. 2021, 80, 704. [Google Scholar] [CrossRef]
- Wang, G.; Chen, W.; Nie, Q.; Chen, J.; Fan, H.; Zhang, C. Impacts of pit excavation on foundation piles in deep silty soil by centrifugal model tests. Rock. Soil. Mech. 2019, 41, 399. [Google Scholar]
- Liu, Q.; Li, S.; Li, L.; Zhao, Y.; Yuan, X. Development of Geomechanical Model Similar Material for Soft Rock Tunnels. Adv. Mater. Res. 2011, 168, 2249–2253. [Google Scholar] [CrossRef]
- Bai, J.; Wang, M.; Zhang, Q.; Zhu, Z.; Liu, R.; Li, W. Development and application of a new similar material for fluid–solid coupling model test. Arab. J. Geosci. 2020, 13, 913. [Google Scholar] [CrossRef]
- Zhao, Y.; Cheng, Z.; Gao, Y.; Wu, S.; Chen, C. Review of geomechanical similar-material test systems. Arab. J. Geosci. 2020, 13, 906. [Google Scholar] [CrossRef]
- Li, Y.; Li, X.; Zhu, W.S.; Zhang, Q. Study on a New Type of Analogue Material for Geotechnical Tests and Its Applications. Adv. Mater. Res. 2008, 33, 693–698. [Google Scholar] [CrossRef]
- Chen, X.; Mei, Y.; Zhang, X.; Chen, Q. Development of a Rheology Analogical Material for Time-Based Rock Masses. Adv. Mater. Res. 2014, 838, 967–971. [Google Scholar] [CrossRef]
- Han, B.; Chen, X.; Song, Y.; Li, H. Research on similar material of rock mass. J. Wuhan Univ. Hydraulic. Electric Eng. 1997, 30, 6–9. (In Chinese) [Google Scholar]
- Ma, F.; Li, Z.; Luo, G. NIOS model material and its use in geo-mechanical similarity model test. J. Hydroelectr. Eng. 2004, 23, 48–51. (In Chinese) [Google Scholar]
- Zhu, W.; Li, Y.; Li, S.; Wang, S.; Zhang, Q. Quasi-Three-dimensional physical model tests on a cavern complex under high in-situ stresses. Int. J. Rock Mech. Min. Sci. 2011, 48, 199–209. [Google Scholar]
- Zhu, W.; Zhang, Q.; Zhu, H.; Li, Y.; Yin, J.; Li, S.; Sun, L.; Zhang, L. Large-Scale geomechanical model testing of an underground cavern group in a true three-dimensional (3-D) stress state. Can. Geotech. J. 2010, 47, 935–946. [Google Scholar] [CrossRef]
- Zhang, Q.; Gao, Q. Geomechanical modeling of the stability of deep tunnel in Dingji coal mine in China. Geotech. Geol. Eng. 2019, 37, 3313–3327. [Google Scholar] [CrossRef]
- Huang, F.; Zhu, H.; Xu, Q.; Cai, Y.; Zhuang, X. The effect of weak interlayer on the failure pattern of rock mass around tunnel-Scaled model tests and numerical analysis. Tunn. Undergr. Sp. Tech. 2013, 35, 207–218. [Google Scholar] [CrossRef]
- Shi, X.; Liu, B.; Xiang, Y.; Qi, Y. A Method for Selecting Similar Materials for Rocks in Scaled Physical Modeling Tests. J. Min. Sci. 2018, 54, 938–948. [Google Scholar] [CrossRef]
- Yang, S.; Chen, M.; Fang, G.; Wang, Y.; Meng, B.; Li, Y.; Jing, H. Physical experiment and numerical modelling of tunnel excavation in slanted upper-soft and lower-hard strata. Tunn. Undergr. Sp. Tech. 2018, 82, 248–264. [Google Scholar] [CrossRef]
- Xu, Z.; Luo, Y.; Chen, J.; Su, Z.; Zhu, T.; Yuan, J. Mechanical properties and reasonable proportioning of similar materials in physical model test of tunnel lining cracking. Constr. Build. Mater. 2021, 300, 123960. [Google Scholar] [CrossRef]
- Yang, M.; Yang, Y.; Zhao, B. Study on the Proportion of Conglomerate Similar Materials Based on the Orthogonal Test. Shock. Vib. 2021, 2021, 6657323. [Google Scholar] [CrossRef]
- Tian, Q.; Zhang, J.; Zhang, Y. Similar simulation experiment of expressway tunnel in karst area. Constr. Build. Mater. 2018, 176, 1–13. [Google Scholar] [CrossRef]
- Zhou, Y.; Feng, S.; Li, J. Study on the failure mechanism of rock mass around a mined-out area above a highway tunnel—Similarity model test and numerical analysis. Tunn. Undergr. Sp. Tech. 2021, 118, 104182. [Google Scholar] [CrossRef]
- Li, L.; Shang, C.; Chu, K.; Zhou, Z.; Song, S. Large-Scale geo-mechanical model tests for stability assessment of super-large cross-section tunnel. Tunn. Undergr. Sp. Tech. 2021, 109, 103756. [Google Scholar] [CrossRef]
- Lu, H.; Zhang, K.; Yi, J.; Wei, A. A study on the optimal selection of similar materials for the physical simulation experiment based on rock mineral components. Eng. Fail. Anal. 2022, 140, 106607. [Google Scholar]
- Lin, P.; Liu, H.; Zhou, W. Experimental study on failure behaviour of deep tunnels under high in-situ stresses. Tunn. Undergr. Sp. Tech. 2015, 46, 28–45. [Google Scholar] [CrossRef]
- Li, S.; Wang, H.; Zhang, Q.; Li, Y. New type geo-mechanical similar material experiments research and its application. Key Eng. Mater. 2006, 326, 1801–1804. [Google Scholar] [CrossRef]













| Level | Factor | |||
|---|---|---|---|---|
| A | B | C | D | |
| 1 | 65 | 3 | 20 | 10–20 |
| 2 | 75 | 6 | 40 | 20–40 |
| 3 | 85 | 9 | 60 | 40–80 |
| Level | Factor | |||
|---|---|---|---|---|
| A | B | C | D | |
| 1 | 65 | 3 | 20 | 10–20 |
| 2 | 65 | 6 | 40 | 20–40 |
| 3 | 65 | 9 | 60 | 40–80 |
| 4 | 75 | 3 | 40 | 40–80 |
| 5 | 75 | 6 | 60 | 10–20 |
| 6 | 75 | 9 | 20 | 20–40 |
| 7 | 85 | 3 | 60 | 20–40 |
| 8 | 85 | 6 | 20 | 40–80 |
| 9 | 85 | 9 | 40 | 10–20 |
| Test | ρ (g/cm3) | σc (MPa) | σt (MPa) | E (MPa) | C (kPa) | φ (°) |
|---|---|---|---|---|---|---|
| 1 | 2.46 | 0.69 | 0.071 | 248.67 | 46.359 | 37.04 |
| 2 | 2.47 | 3.47 | 0.363 | 237.33 | 50.904 | 30.73 |
| 3 | 2.33 | 1.10 | 0.097 | 96.33 | 51.813 | 28.37 |
| 4 | 2.23 | 2.24 | 0.211 | 256.00 | 57.267 | 31.12 |
| 5 | 2.46 | 5.37 | 0.498 | 279.00 | 42.723 | 29.72 |
| 6 | 2.53 | 0.34 | 0.029 | 50.67 | 46.359 | 29.80 |
| 7 | 2.39 | 2.02 | 0.235 | 217.33 | 55.449 | 28.77 |
| 8 | 2.46 | 0.62 | 0.058 | 157.33 | 46.359 | 30.96 |
| 9 | 2.65 | 0.37 | 0.033 | 42.00 | 45.450 | 28.61 |
| Parameter | Level | Factor | |||
|---|---|---|---|---|---|
| A | B | C | D | ||
| ρ (g/cm3) | 1 | 2.42 | 2.30 | 2.48 | 2.52 |
| 2 | 2.41 | 2.46 | 2.45 | 2.46 | |
| 3 | 2.50 | 2.50 | 2.39 | 2.34 | |
| Range | 0.09 | 0.14 | 0.09 | 0.18 | |
| σc (MPa) | 1 | 1.75 | 1.65 | 0.55 | 2.14 |
| 2 | 2.65 | 3.15 | 2.03 | 1.94 | |
| 3 | 1.01 | 0.60 | 2.83 | 1.32 | |
| Range | 1.64 | 2.55 | 2.28 | 0.82 | |
| E (MPa) | 1 | 194.11 | 240.67 | 152.22 | 189.89 |
| 2 | 195.22 | 224.56 | 178.44 | 168.44 | |
| 3 | 138.89 | 63.00 | 197.56 | 169.89 | |
| Range | 56.33 | 177.67 | 45.33 | 21.44 | |
| C (kPa) | 1 | 49.69 | 53.03 | 46.36 | 44.84 |
| 2 | 48.78 | 46.66 | 51.21 | 50.90 | |
| 3 | 49.09 | 47.87 | 50.00 | 51.81 | |
| Range | 0.91 | 6.36 | 4.85 | 6.97 | |
| φ (°) | 1 | 32.04 | 32.31 | 32.60 | 31.79 |
| 2 | 30.21 | 30.47 | 30.15 | 29.77 | |
| 3 | 29.45 | 28.92 | 28.95 | 30.15 | |
| Range | 2.60 | 3.38 | 3.65 | 2.02 | |
| Material Type | Ρ (g/cm3) | E (MPa) | C (kPa) | φ (°) | σc (MPa) | Poisson Ratio |
|---|---|---|---|---|---|---|
| Foundation pit soils | 2.42 | 2350 | 141 | 24.8 | 25.5 | 0.27 |
| Similar materials | 2.42 | 47 | 2.82 | 24.8 | 0.51 | 0.27 |
| B + I/% | B/I | β/% | PA/% | G/% | Mesh no. | S/% |
|---|---|---|---|---|---|---|
| 65 | 7:3 | 40 | 6 | 1.5 | 40 | 27.5 |
Publisher’s Note: MDPI stays neutral with regard to jurisdictional claims in published maps and institutional affiliations. |
© 2022 by the authors. Licensee MDPI, Basel, Switzerland. This article is an open access article distributed under the terms and conditions of the Creative Commons Attribution (CC BY) license (https://creativecommons.org/licenses/by/4.0/).
Share and Cite
Zhang, Z.; Gao, Y.; Zheng, X.; Cao, J.; Chen, Y. Development and Application of Similar Materials for Foundation Pit Excavation Model Test of Metro Station. Appl. Sci. 2022, 12, 12880. https://doi.org/10.3390/app122412880
Zhang Z, Gao Y, Zheng X, Cao J, Chen Y. Development and Application of Similar Materials for Foundation Pit Excavation Model Test of Metro Station. Applied Sciences. 2022; 12(24):12880. https://doi.org/10.3390/app122412880
Chicago/Turabian StyleZhang, Zeyao, Yang Gao, Xinyu Zheng, Jiarui Cao, and Yong Chen. 2022. "Development and Application of Similar Materials for Foundation Pit Excavation Model Test of Metro Station" Applied Sciences 12, no. 24: 12880. https://doi.org/10.3390/app122412880
APA StyleZhang, Z., Gao, Y., Zheng, X., Cao, J., & Chen, Y. (2022). Development and Application of Similar Materials for Foundation Pit Excavation Model Test of Metro Station. Applied Sciences, 12(24), 12880. https://doi.org/10.3390/app122412880
