Next Article in Journal
Enhanced Photocatalytic Performance of Bi2O2CO3 Loaded Activated Carbon for Toluene Removal in Air
Next Article in Special Issue
Airline Network Planning Considering Climate Impact: Assessing New Operational Improvements
Previous Article in Journal
Enhanced Impedance Measurement to Predict Electromagnetic Interference Attenuation Provided by EMI Filters in Systems with AC/DC Converters
Previous Article in Special Issue
CORSIA—A Feasible Second Best Solution?
 
 
Font Type:
Arial Georgia Verdana
Font Size:
Aa Aa Aa
Line Spacing:
Column Width:
Background:
Article

Climate-Optimised Intermediate Stop Operations: Mitigation Potential and Differences from Fuel-Optimised Configuration

by
Zarah Lea Zengerling
1,*,
Florian Linke
1,
Christian Martin Weder
1 and
Katrin Dahlmann
2
1
Deutsches Zentrum für Luft- und Raumfahrt, Luftransportsysteme, 21079 Hamburg, Germany
2
Deutsches Zentrum für Luft- und Raumfahrt, Institut für Physik der Atmosphäre, 82234 Oberpfaffenhofen, Germany
*
Author to whom correspondence should be addressed.
Appl. Sci. 2022, 12(23), 12499; https://doi.org/10.3390/app122312499
Submission received: 15 November 2022 / Revised: 30 November 2022 / Accepted: 3 December 2022 / Published: 6 December 2022
(This article belongs to the Special Issue Climate Impact of Aviation)

Abstract

Saving fuel by splitting a flight mission with an intermediate stop for refuelling is described by the concept of intermediate stop operations. This can also be beneficial to the climate impact of aviation, if the flight level and intermediate stop airport are selected accordingly. This study aims to estimate the mitigation potential of an implementation of climate-optimised intermediate stop operations for European long-haul flights and compare it to fuel-optimal operations. For this purpose, fuel consumption and emissions are simulated along four-dimensional trajectories for the selected annual flight plan, and their average temperature response is calculated. A comparison between the reference case and climate-optimised as well as fuel-optimised scenarios shows a significant climate mitigation potential and reveals a shift of trajectories to lower latitudes and altitudes. However, increased flight times and fuel consumption limit implementation from stakeholders’ perspectives.

1. Introduction

Aviation’s contribution to anthropogenic radiative forcing is estimated at around 3.5%, and therefore significantly contributes to climate change [1]. In comparison with other transport sectors, it is the second largest contributor following road transportation [2]. Although the COVID-19 pandemic has led to a significant reduction in air transport in the short term, a quick recovery to previous levels is expected. Hence, a broad set of measures is required to achieve compliance with the ambitious goals that have been defined, for example, in the context of the Paris agreement [3]. In contrast to technological improvements, operational approaches require shorter implementation times and are able to realise mitigation potentials faster [4]. Thus, these measures are expected to play an important role in the near future. In addition to well-investigated climate effects from carbon dioxide (CO 2 ), direct and indirect effects induced by non-CO 2 emissions, such as water vapour (H 2 O), nitrogen oxides (NOx), and contrail cirrus, contribute to about two thirds of the total net-radiative forcing in aviation [1]. These non-CO 2 effects do not only depend on the fuel consumption, but also on emission location, time, and meteorological boundary conditions [1,5,6]. Hence, a sole focus on fuel efficiency and resulting reduction in CO 2 emissions does not necessarily reduce the total climate impact. A comparison of these approaches either aiming for minimal fuel consumption or a minimal climate impact is subject to this study.
The goal of intermediate stop operations (ISO, also referred to as staging or multi-step operations) is to increase fuel efficiency by shortening the stage length of a mission by performing one or more intermediate stops for refuelling. Shorter stage lengths allow to reduce the amount of fuel that is needed to carry the required fuel on the respective mission, which reduces the aircraft mass. As a result, kerosene can be saved compared to the non-stop flight. ISO has been subject to a variety of research studies aiming for fuel efficiency [7,8,9,10,11,12,13]: depending on the different boundary conditions of the studies, e.g., considered mission length, wind conditions, and aircraft type, fuel saving potentials between 5% and 20% are identified on a single mission basis, whereas the maximum global potential is estimated at around 5% to 10% for missions with distances of 2500 nautical miles (NM) and more. With a re-design of the aircraft, i.e., targeting shorter design ranges, up to 30% of fuel can be saved [13,14]. Although ISO enhances fuel efficiency for a large share of long-haul flights, cost savings strongly depend on further mission parameters, such as the connected city pair, fuel prices, wind conditions, and crew composition as the resulting longer travel times negatively influence operating cost [9,10]. This effect is enhanced for concepts with more than one refuelling stop, which only achieve marginal additional improvements in comparison to the one-stop set ups [11].
A reduction in fuel consumption through reduced aircraft weight leads to higher flight altitudes if maximum fuel efficiency is targeted [15,16,17]. Thus, engine emissions are generally released in higher altitudes, which can result in an increase in the climate impact caused by non-CO 2 effects, such as NOx and contrails [18,19]. Therefore, a reduction in climate impact from fuel-proportional CO 2 emissions can be overcompensated by effects induced by other species. Linke et al. [8] confirmed this for a global ISO scenario, where a fuel-optimal implementation was found to be associated with a rise in climate impact by 2.3%, given as the average change of the Earth’s surface temperature over a period of 100 years. In this context, climate impact from these species can be reduced with lower cruise altitudes [18,20,21]. Existing studies focusing on individual missions [22] or a selected airline network [23] showed the climate mitigation potential of ISO with dependence on the set boundary conditions. However, this has not yet been analysed comprehensively on a broader scale. Furthermore, a systematic variation of cruise flight levels and location of intermediate stops as characteristics of the respective ISO missions has not been performed so far. The same holds true for an analysis of the trade-off between cost-increase and climate-impact changes in this concept, referred to as eco-efficient operations [24].
On this basis, the objective of this study is to assess the climate mitigation potential of ISO. For this purpose, adjustments to the concept aiming for fuel efficiency are twofold:
  • The intermediate stop airport is not selected according to fuel-optimal criteria, but based on minimal climate impact.
  • Cruise flight levels are reduced and step climbs are avoided if this reduces the climate impact.
Consequently, we assess characteristics such as flight time, detour, fuel consumption and climate impact as well as the location of selected intermediate stop airports and preferred flight level. Our analysis contributes to the current state of research by (1) providing a methodology to characterise climate-optimised ISO, (2) assessing the climate mitigation potential of implementing ISO on long-haul flights departing from or landing in Europe, and (3) comparing this to a fuel-optimised set-up of ISO in terms of climate and non-climate metrics.
The structure of this paper is as follows: After this introduction, the applied data as well as the developed methodology are explained in Section 2. Section 3.1 presents the results in terms of the climate-mitigation potential of ISO and the characteristics of climate-optimised operations, followed by a comparison of fuel-optimised and climate-optimised operating methods in Section 3.2, and a combination of both in an eco-efficient set-up in Section 3.3. In Section 4, we critically reflect on the achieved results and their impact on aviation industry’s stakeholders before we summarise the study in a final conclusion.

2. Materials and Methods

Figure 1 illustrates the applied workflow. Based on the reference case of all European long-haul flights in 2018, an implementation of ISO is modelled. In this context, we consider all flights that either depart or arrive in a member state of the European Civil Aviation Conference (ECAC) as well as exceed 2500 NM in flight length. For this purpose, a pre-selected set of possible refuelling airports per mission is created to limit computational efforts. Furthermore, different flight levels are considered for every mission to incorporate the previously discussed aspect of reduced climate impact by avoiding high flight altitudes. These different input parameters determine the calculation of trajectories by applying the base of aircraft data version 4.2 (BADA4) flight performance data [25] with the trajectory calculation model (TCM) developed at DLR Air Transportation Systems [26,27]. Emission quantities and locations are calculated with the DLR Global Air Traffic Emission Distribution Laboratory (GRIDLAB) [26] based on the fuel flow along the calculated four dimensional trajectories. The DLR fuel flow correlation method and emission indices obtained from the ICAO Engine Emission Databank are applied [28,29]. These serve as an input to calculate the climate impact of every single mission with the DLR climate chemistry response model AirClim [30,31]. All results are combined in a joint look-up table that aggregates information on fuel burn, flight time, flight distance, emission quantities and climate metrics in terms of average temperature response over 20 years (ATR20) and over 100 years (ATR100) for all selected combinations of origin, destination, aircraft type, flight level and refuelling airport or direct mission. On this basis, characteristics of the non-stop reference case, climate-optimised and fuel-optimised ISO, can be compared, and mitigation potentials can be assessed.

2.1. Input Data and Definition of Reference Case

A global flight plan of the year 2018 as derived from Sabre Market Intelligence Data Base (www.sabre.com/products/market-intelligence, accessed on 15 June 2021) is the basis for all following calculations. This flight plan contains information on origin and destination airports, aircraft type, airline information, seats capacities, and frequencies of the different flights. The missions to be investigated are derived in a pre-processing step. As this study is performed in the context of the European research project ClimOP, we limit our analysis to flights with either origin or destination airport in a member state of ECAC [32]. Moreover, only long-range flights with a great circle distance of more than 2500 NM are selected in accordance with previous studies, which do not show the benefits of ISO for shorter missions [7,8]. We restrict the study to the most relevant aircraft types in terms of available seat kilometres (ASK). This allows a coverage of 97.7% of the ASK of all long-range flights to or from the ECAC area and ensures high representativeness of the results for the focused region. All in all, we investigate a set of approximately 811,000 flights that cover 18% of all global ASK.
In the following, we define the reference case as the sample of all non-stop connections along the great circle between origin and destination. Flight altitudes are characterised by fuel-optimal step climbs.

2.2. Preselection of ISO Candidate Airports

Appropriate intermediate stop airports are chosen from a global set of airports as provided by OpenFlights (OpenFlights.org, accessed on 11 August 2021). They are selected along the great circle routes based on the corresponding detour and their eccentricity from the fuel-optimal position in the middle between origin and destination, in accordance with Langhans et al. [33]. For this purpose, we limit our considerations to those refuelling airports resulting in a detour below additional 20%. The eccentricity of the ISO airport is limited to an offset factor of 75%. Therefore, a possible intermediate stop airport at point S is considered for a mission from A to B, if
f detour = A S ¯ + S B ¯ A B ¯ 1.2
f offset = m a x ( A S ¯ , S B ¯ ) A S ¯ + S B ¯ 0.75
is satisfied. We exclude airport specific criteria such as runway length, available infrastructure and possible capacity limitations.
Due to the large number of missions and set of possible refuelling airports, we require to further reduce the amount of considered airports to improve calculation performance. For this purpose, we assign all possible airports to 30 × 30° grid cells, with an exemption in the Northern Hemisphere, where two grid cells are set between 30° and 60° North so that a higher resolution of 15° can be provided. From each grid cell, the airport candidate with the smallest detour related to the great circle is selected. By doing so, we may restrict mitigation potentials. It cannot be assured that the overall optimal airport is selected in every case. Therefore, we refer to the outcomes as optimised solutions instead of optimal solutions. By doing so, we consider 9.5 possible ISO connections per origin and destination combination on average. All considered airports are as displayed in Figure 2. Due to the selection with regards to the predefined grid cells, we observe a distortion of considered airports towards the boarders of these grid cells. Nevertheless, the resulting deviation between optimal and optimised solution is estimated to be below 10%. Further details in that regard can be found in Appendix A.

2.3. Trajectory Modelling

Flight performance characteristics are modelled along the individual trajectories of the flight samples with the DLR TCM [26,27]. Besides different considered refuelling airport candidates, we incorporate different flight levels to model the climate benefits from reduced cruise altitudes. The results build the basis for assessing emissions and climate impact metrics in the following.
Within the TCM, a set of simplified equations of motions (total energy model) is applied to model the aircraft’s speeds, accelerations, and altitude changes along the different flight phases from start to landing. With aircraft and engine performance data obtained from BADA4 as provided by EUROCONTROL [25], trajectory characteristics, such as thrust and fuel flow as well as changes in aircraft state, can be modelled over discrete time intervals. Computationally efficient calculations for a large set of flights can be achieved by applying so-called reduced emission profiles: in this course, one-dimensional and non-georeferenced trajectories are calculated for every possible combination from a predefined set of aircraft type, payload, flight level and flight length. The resulting standardised trajectories in terms of altitude and fuel flow over flight distance and time are stored into a database and can be adjusted in the following to match every pair of origin and destination.
As we investigate an annual flight plan, specific airspace restrictions and meteorological conditions are excluded from the study. Instead, we apply average atmosphere conditions in terms of the international standard atmosphere (ISA) and exclude wind effects. Furthermore, we assume an average European load factor of 84% for the considered year of 2018 [34].

2.4. Calculation and Gridding of Emissions

Emissions along the trajectories are estimated and converted to a numerical grid with GRIDLAB by DLR. Based on the reduced emission profiles resulting from the TCM, three-dimensional emission inventories are generated for each flight of the described traffic sample defined by origin, destination, aircraft type, flight level and intermediate stop airport candidate. For this purpose, the best-fitting reduced emission profile in terms of mission length is picked from the before-mentioned trajectory database for every flight. Afterwards, every trajectory is adjusted to the exact great circle distance between the two connected airports by extending or truncating the trajectory in the cruise phase. Airport elevation is also regarded by modifying the respective climb and descent profile within its phases with speed curtailments.
Emissions from taxiing and take-off are calculated following the standardised ICAO landing take-off cycle, assuming reference emission indices from the ICAO engine emission database in both idle and take-off mode and the respective reference fuel flow from the same database [29]. Before take-off, on-ground emissions of engine running in idle mode for 19 min are added for taxiing out, followed by 42 s in engine take-off mode. After landing, emissions of 7 min in idle mode are attached, representing taxiing in.
In-flight emissions are calculated as follows before they are projected on the great circle between the connected airports and distributed spatially on a numerical grid:
  • CO 2 and H 2 O emissions are assumed to be linear to fuel burn [28].
  • NOx emissions are simulated with the non-proportional fuel flow correlation method by DLR [28] with the reference emission indices for engines obtained from the ICAO engine emission database [29].
  • The sulphur dioxides (SO 2 ) emission index varies regionally according to fuel sulphur content [35].
  • Hydrocarbons (HC) and carbon monoxide (CO) emissions are derived with the Boeing fuel flow correlation method [36] with reference emission indices for engines as provided by ICAO engine emission database [29].
  • Soot emission calculations are based on the ICAO smoke number using reference values from the engine emission database [29], applying a method by DLR [37] to derive the soot emission index. An extrapolation beyond the landing take-off cycle to the cruise phase is performed with the P3-T3 correlation [38].
Resolution of the resulting grid per mission is 0.25° both latitudinally and longitudinally and 1000 ft vertically. An exemplary resulting fuel consumption inventory of this study’s reference case and the fuel-optimised ISO scenario is displayed in Figure 3.

2.5. Climate Impact Simulation

Based on the spatial distribution of emissions, the climate metrics are calculated with AirClim [30,31]. AirClim is a non-linear climate-chemistry response model to simulate the climate impact resulting from flight emissions. In this context, changes in radiative forcing (RF) directly caused by CO 2 and H 2 O as well as indirect effects from contrail cirrus and changes in methane (CH 4 ) and ozone (O 3 ) induced by NOx emissions are considered. These are described as a function of latitude and altitude as well as longitude for contrail cirrus and were pre-calculated for normalised emissions. In this context, a climatological approach is chosen, i.e., the climate impact is calculated for an average weather situation. This is in line with the assumptions taken above, such as an exclusion of day-specific weather patterns with the consideration of ISA and an aggregation of the results for the full year of 2018.
We aim to address the question of how the climate impact of long-haul flights can be reduced in the long-run with an implementation of the ISO concept. Therefore, we focus our analysis on ATR20 and ATR100, representing the average near surface temperature change over 20 and 100 years. This climate metric reduces the dependence of the time horizon by, at the same time, incorporating the dynamics of the Earth climate system [39,40,41]. We apply a future-emission-scenario-based ATR that incorporates future traffic and technology developments [39]. To do so, we include up-to-date background emissions from aviation as described by the business-as-usual scenario in Grewe et al. [3]. An annual fuel efficiency gain due to technology improvements is included, while carbon offsetting efforts and additional specific aims regarding the climate impact are not considered. For the development of background emissions in terms of CO 2 and CH 4 , we apply Representative Concentration Pathway 4.5 that describes an intermediate scenario with a resulting RF of 4.5 Wm 2 in the year 2100 [42].
In a first step, the GRIDLAB results in terms of longitude, latitude, altitude, fuel burn, NOx emissions, and the aggregated distance for the derivation of contrail effects are fed into AirClim for every individual flight mission to simulate ATR20 and ATR100. We assume an implementation of ISO in 2025, which marks the start of the simulations. Hence, ATR100 is modelled over the period of 100 years until 2125. Subsequently, we identify the optimal combination of flight level and refuelling airport for the different scenarios. In a second step, emissions of the aggregated reference scenario and the climate-optimised ISO flight plan are analysed with AirClim. In doing so, the saturation effects can be considered, and the full potential of this operational measure can be calculated more realistically compared to a linearisation of effects.

3. Results

The results of this study are presented as follows: the full climate mitigation potential of ISO is evaluated (Section 3.1) before a comparison to its fuel-optimised counterpart is performed (Section 3.2). In this context, the effect of intermediate stop airport location (Section 3.2.1) as well as different flight levels are investigated (Section 3.2.2). Finally, both optimisation set-ups are coupled to analyse eco-efficient operations in Section 3.3.

3.1. Climate-Optimised Intermediate Stop Operations

A minimisation of the climate impact was performed by selecting the optimal combination of ISO airport and flight level from the available set of simulated configurations. For almost all of the flights (99.98%), an improvement of the climate impact can be achieved by introducing the ISO concept. In this course, the average flight length of a mission increases moderately (+3.58%), while the duration of the average mission is extended by almost 10% (+9.57%). The amount of required fuel also rises significantly by 17.96%. Emission quantities change as displayed in Figure 4. CO 2 and H 2 O emissions rise proportionally with the additional fuel consumption (+17.96%) compared to the reference case, but NOx and SO 2 increase to a lesser extent. While NOx emission indices vary with the different flight phases and altitudes, SO 2 emissions mainly depend on the sulphur content of the fuel, which varies geographically and is influenced by re-locating refuelling locations through ISO. HC and CO emissions quantities rise disproportionally due to the additional on-ground times caused by the refuelling stop.
Despite the changes in emissions, a mitigation potential of up to 40.3% in ATR100 (38.9% in ATR20) can be achieved with the climate-optimised ISO concept in comparison to the reference case for an average flight of the investigated sample. Figure 5 illustrates changes in ATR100 caused by the implementation of climate-optimised ISO. We confirm that the resulting increase in ATR100 caused by additional CO 2 emissions proportional to the rise in fuel consumption is overcompensated by the reduction in the impact of all non-CO 2 effects. This is caused by changed emission locations both horizontally and vertically. Consequently, the climate impact of contrail cirrus is reduced by 53.0%, and the aggregated impact induced by emissions of NOx is reduced by 48.8%. The small contribution of H 2 O decreases by almost 90%.
Generalising the analysis from individual flights to an investigation of the full flight sample, we incorporate changes in background emissions and saturation effects with regards to contrail cirrus. By doing so, we confirm significant mitigation potentials if ISO is implemented where it reduces ATR. The mitigation potential is estimated to be between 38.3 and 42.0% for ATR100 (36.9 to 40.3% for ATR20).

3.2. Comparison of Climate- and Fuel-Optimised Configurations

Table 1 summarises the major differences between the fuel-optimised and the climate-optimised set-up of ISO compared to the non-stop reference. The comparison reveals the following major differences with regards to the share of beneficial ISO missions, distance and flight time as well as fuel consumption and emissions. An implementation of the ISO concept with the set boundary conditions in terms of possible flight level and airports is beneficial for approximately half of all missions from a fuel-optimising perspective (48.23%), while climate impact can be reduced for almost all missions (99.98%). Fuel-optimised ISO starts to come into effect at stage lengths of 6300 km and above, while it can be beneficial from a climate-perspective for all observed flight lengths. Moreover, it has to be noted that this is not only due to an implementation of the ISO concept itself, but also due to the considered reduction in flight altitudes in the climate-optimised set-up.
In the fuel-optimised context, we observe small additional flight distances due to a preference of intermediate stop airports associated with minimum detour and eccentricity. An intermediate refuelling stop is only performed in those cases where an airport with a small detour is available, so that we see an average detour of 0.04%. By contrast, the climate-optimised set-up accepts higher detour (on average + 3.58%) and eccentricity parameters associated with the selected intermediate stop airports if, in turn, climate-sensitive areas can be avoided. While in the fuel optimised set-up, approximately two thirds (63.5%) of all ISO missions are associated with an offset factor below 0.575, we observe a broader distribution for the climate-optimised ISO flights (22.5% below 0.575 offset factor). Consequently, we observe longer flight times in the climate-optimised case due to larger detours as well the higher share of intermediate landings and the associated on-ground times.
With ISO, fuel consumption can be reduced by 1.9% for the sample of this study. This also reduces total emission quantities for CO 2 , H 2 O, and NOx. Restricting the analysis to missions where ISO is beneficial from a fuel-efficiency perspective, fuel consumption can be decreased by 3.2%. Conversely, the required fuel and emission quantities increase for the climate-optimised scenario caused by longer flight distances and reduced cruise altitudes.
The climate impact in terms of ATR100 increases by 0.64% in the fuel-optimised case, although overall emission quantities decrease. ATR20 changes equivalently (+0.61%). This can be explained with higher emission altitudes. Therefore, climate impact from non-CO 2 emissions rises in comparison to the non-stop reference case: in particular, climate impact induced by nitrogen oxides rises (+2.8% in ATR100) as well as water vapour, (+11.7%) and this overcompensates the reduction caused by decreased CO 2 emissions (−1.9%) and contrail cirrus (−2.7%).
In addition to the above-mentioned points, the location of intermediate stop airports as well as the selected cruise flight level vary significantly between the fuel-optimised and climate-optimised scenarios. This impacts the resulting mitigation potentials. Figure 6 shows the zonal and vertical distributions of CO 2 emissions for both cases. A shift to lower altitudes and latitudes by the climate optimisation is hypothesised and further analysed in the following.

3.2.1. Location of Intermediate Stop Airport

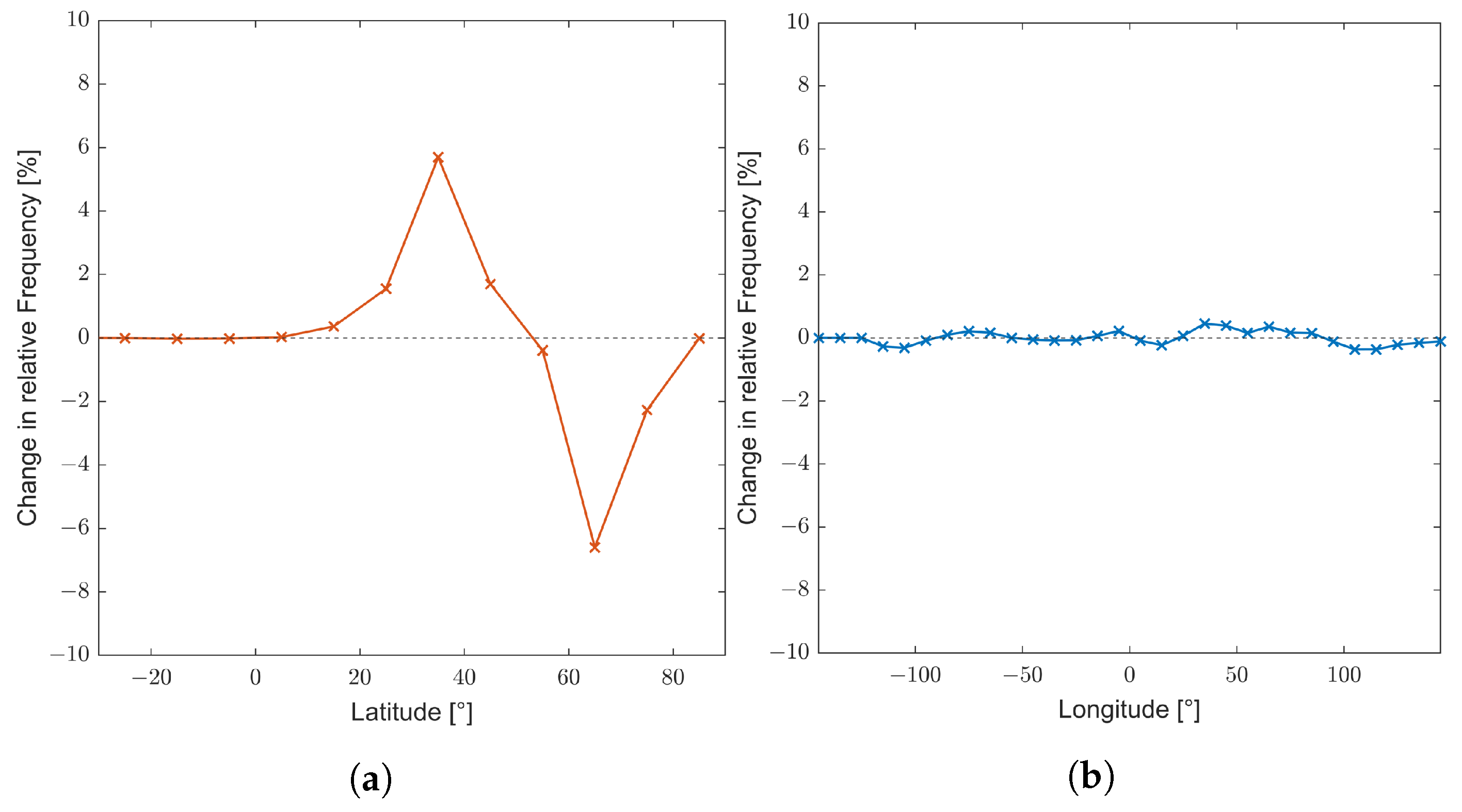
Climate and fuel-optimised refuelling airports per mission are identical for a small share of all investigated missions (6.9% of all flights, 14.3% of all flights with fuel efficiency gains through ISO). Besides the detour and offset factors associated, also the absolute position of the selected airport varies between both cases. A more detailed analysis of the resulting routes and their locations in Figure 7 confirms the hypothesised relation: the latitudes of the fuel-optimised ISO set-up are generally shifted towards the northern polar region, while mid-latitudes are preferred in the climate-optimised case. On a longitudinal scale, in general, smaller and fluctuating changes can be observed.
Figure 8 illustrates the location of preferred refuelling airports for the fuel-optimised and the climate-optimised ISO scenario. Refuelling airports in the climate-optimised context are more broadly distributed, and the additional number of take-offs and landings is below additional 20% per grid cell in most cases. For instance, we observe a large number of additional stops on the Arabian peninsula (126,211 additional take-offs and landings in this grid cell), which is associated with a relative increase of 5.8% in the grid cell. Furthermore, a high load is identified in the Newfoundland area caused by North Atlantic flights as well as in the Middle East region from South-East Asian flights. The two grid cells with the largest relative additional utilisation are located between 30 and 60° N latitudinally and between 30 and 60° E longitudinally. In these cases, take-offs and landings in these cells are more than doubled. In contrast to the climate-optimised case, we find higher peaks in individual grid cells relative to the current number of take-offs and landings for the fuel-optimised scenario. Consequently, adjustments in infrastructure would be required to make these regions capable of handling the additional amount of flights, independent of the selected ISO set-up.

3.2.2. Impact of Reduced Cruise Altitudes

Selected cruise altitudes of both scenarios differ significantly: in the fuel-optimised case, step climbs are performed in a way that the absolute fuel consumption along the trajectories is minimised. By contrast, the constant climate-optimised flight level is selected from the defined set so that in most cases, the lowest possible flight level of 29,000 ft is chosen. On average, we identify a shift to higher flight altitudes in the fuel-optimised ISO case (+0.2%) compared to the non-stop reference missions and to lower altitudes in the climate optimised case (−23.8%). This is also influenced by additional on-ground time through the refuelling stop.
Figure 9 shows the relative frequency change per flight level compared to the reference case. One can derive that emission altitudes in the fuel-optimised case are generally higher. More fuel is consumed above 38,000 ft compared to the reference case and less below. The climate optimised case conversely is significantly more frequent at the lowest considered cruise flight level of 29,000 ft.
However, the significant mitigation potential of climate-optimised ISO and the preference of lower flight altitudes is not only due to the ISO concept itself. We observe an overlay of ATR reduction potentials through optimised refuelling location and reduced aircraft weights by the ISO concepts with a reduction in flight level in general. Consequently, we aim to differentiate both effects caused by a sole reduction of the cruise altitude on the one hand and by the impact of intermediate stops on the other hand. The effect of different cruise altitudes can be eliminated from the ISO effect by assuming constant cruise altitudes so that the impact from changing flight levels is excluded: higher cruise flight altitudes are not considered for the fuel-optimised case, as step-climbs are avoided and effects through a reduction of cruise flight levels are also excluded from the selection in the climate-optimised scenario.
Figure 10 shows the climate mitigation potential of fuel-optimised and climate-optimised ISO for a constant flight level of 35,000 ft in comparison and normalised to the non-stop reference case at the same cruise altitude. In the fuel-optimised case, fuel efficiency enhances by approximately 2% and ATR100 decreases by 5%. By contrast, fuel consumption increases in the climate-optimised case (+2.5%). Mainly, the additional reduction in contrail-cirrus-induced ATR leads to the higher mitigation potential of that scenario. We also see that mitigation potentials in the climate-optimised case are significantly below the combined case of ISO with reduced flight levels. Furthermore, it can be confirmed that a reduction in climate impact caused by non-CO 2 effects overcompensates the rise in fuel consumption and resulting CO 2 emissions in this case. Additionally, this shows that climate mitigation potentials can be increased by a climate-optimised selection of intermediate stop airports. In accordance with the results in Table 1, climate-optimised ISO is beneficial for nearly all selected long-range flights while (99.4%), whereas it is only beneficial for 44.0% of all flights to improve fuel efficiency.

3.3. Eco-Efficient Operations

Our analysis shows that an implementation of the ISO concept can achieve significant reductions in ATR. However, results in Table 1 indicate that this has a major impact on operations and the stakeholders of the air transport system. On the one hand, longer flight times and higher fuel consumption lead to higher direct operating cost and thus limit an implementation of this concept from an operator’s perspective in the climate-optimised set-up. On the other hand, the fuel-optimised concept reduces fuel consumptions and limits detours as well as additional flight times implicitly. Subsequently, a combination of both effects is expected to combine benefits both ecologically and economically. For this purpose, we investigate the maximum climate mitigation potential for defined limits of additional fuel consumption (fuel penalty) per individual flight. Results are displayed in Table 2.
If additional fuel burn is limited to 0.5% per flight relative to the non-stop reference mission, ATR100 can still be reduced by more than 6%. By doing so, total fuel consumption is still reduced (−0.4%), and flight time increase is limited to 3.1%. An analysis of this eco-efficient set-up shows that longer missions are preferred for an implementation of ISO, as shorter distances might not include fuel efficiency gains. The same holds true for detour and eccentricity caused by the selection of refuelling airports. A majority of the flights is associated with detours below 2.5% (97.3% of the ISO missions), and the maximum detour is approximately 5.2% (1.8% in the fuel-optimised set-up). Regarding the flight level, we find that a majority of the flights include step climbs (54.5%) or a cruise altitude of 35,000 ft (19.7%) so that the trade-off of reduced cruise altitudes with higher fuel consumption is mitigated.
For more than one third of all flights (37.2%), fuel consumption and ATR100 can be reduced at the same time with an implementation of the ISO concept. If the climate-optimised solution is selected for all these win–win constellations, ATR100 could be reduced by approximately 5.7%, while fuel burn is reduced by 0.5%. Conversely, if the most fuel-efficient set-up is selected, as long as it is not associated with a higher climate impact, fuel consumption can be reduced by 1.3% and ATR100 by 2.1% in comparison to the reference case. Furthermore, we find that even accepting an individual fuel penalty of 1.5%, an implementation of ISO does not increase overall fuel consumption and still reduces the climate impact (−7.9% in ATR100).

4. Discussion and Conclusions

This study shows the climate mitigation potential of ISO as well as how configurations differ from a fuel-optimised set-up. In general, our results are consistent with what has been presented in previous research: in accordance with Linke et al. [8], we confirm that fuel-optimised ISO increases fuel efficiency and decreases emission quantities but in turn leads to higher ATR through a rise in emission altitudes. We find that this effect can be mitigated by a reduction in flight level, e.g., as shown by Matthes et al. [18]. If ISO airports are additionally selected based on the minimum climate impact, high mitigation potentials can be achieved.
Nevertheless, the quality of results depends on the made assumptions in the course of the simulation process and limitations to the modelling workflow itself. This includes pre-selection of missions and candidate airports, trajectory and emissions modelling as well as simulation of the climate impact.
The selection of considered routes is limited to flights to or from the ECAC area with a great circle distance of more than 2500 NM. By doing so, we ensure to cover a significant share of all global missions (18% in terms of ASK). When transferring the achieved results to the global scale, different regional distributions in terms of routes but also regarding atmospheric boundary conditions need to be considered. Furthermore, the preselection of candidate airports does not ensure that the overall optimal refuelling airport is selected. Due to this approach, the results in terms of fuel efficiency and climate mitigation potential deviate moderately from the absolute optimum, which can be achieved (see Appendix A). From an operational perspective, we did not take available infrastructure and capacities, such as runway lengths or equipment availability as well as the geopolitical situation at the selected intermediate refuelling airports, into account. Consideration of these effects can influence availability of suitable airport candidates and thus the mitigation potential. Nevertheless, this study is capable of reliably indicating the significant potentials of ISO as an operational improvement to reduce the climate impact.
Further inaccuracies may result from the trajectory and emissions modelling: simplifying assumptions in terms of an average load factor and the resulting aircraft mass, great circle connections instead of actual routes, exclusion of wind effects and consideration of ISA as well as optimised flight altitudes and speeds influence fuel consumption and resulting emission quantities on the considered missions. On this basis, we hypothesise that fuel consumption and emission quantities are slightly underestimated. For instance, the impact of wind on a set of global long-haul routes is expected to increase fuel consumption by approximately 1–2% [26]. However, the overall effect is expected to be minor due to the fact that results are generally presented in relation to the reference case. Application of aircraft performance data as provided by BADA4 further influences fuel burn and thus emission quantities. However, BADA4 enhances reliability and improves realism compared to the previous version 3 [43], and a comparison with more detailed models and flight data showed mean errors in fuel consumption below 5% [25]. The applied simplified emission modelling techniques in terms of Boeing and DLR fuel flow correlation methods as well as the standardised ICAO landing take-off cycle further lead to uncertainties. Inaccuracies of NOx emission quantities during cruise flight for example are estimated at, on average, around 10–12% [28,44].
With regards to the climate impact modelling, the choice of the climate metric as well as the assessment approach have an important impact on the study. ATR is the selected as the preferred climate metric. It is well-suitable for describing the long-term temperature reduction potential through an implementation of the ISO concept [40]. Our decision to investigate future-emission based scenarios is reasoned by the aggregated analysis of the flight plan and the focus on long-term impact of an introduction of the ISO concept. By doing so, we can also incorporate the forecasted developments of the air transport sector [3,40]. It needs to be considered that the estimation of climate response, especially for non-CO 2 -emission-induced effects in terms of RF and the resulting ATR, underlie large uncertainties [1,5]. However, it has been shown that an assessment of mitigation options including variation in cruise altitudes can reliably be assessed with AirClim when referring to relative differences of the climate impact [30].
Moreover, we focused on an investigation of the general potentials of the climate-optimised ISO concept by providing the methodology and investigated the differences between fuel and climate-optimised set-ups. In this context, we concentrated our quantitative analysis on the parameters fuel consumption, emission quantities, route configurations and climate impact. Hence, a comprehensive analysis of the ISO concept’s impact on the stakeholders of the air transport system is excluded. This comprises an investigation of changes in direct operating costs for the airlines operating on long-haul routes. Through higher fuel consumption and longer flight times in the climate-optimised case, these costs are expected to rise as well as CO 2 compensation expenses and possibly higher navigation and landing fees through intermediate stops. In addition, ISO is also expected to affect passengers’ acceptance, as longer flight times increase travel duration and additional take-offs and landings reduce travel comfort. Additionally, local air quality and noise pollution are expected to deteriorate at selected refuelling airports. Besides these disadvantages, increasing the number of cycles can raise stress for flight crew and accident rates with the higher number of required take-offs and landings. Furthermore, lateral and vertical shifts of routes leads to increased traffic densities in certain areas and thus higher efforts for air-traffic management.
The resulting implications for the stakeholders, such as airlines, airports, air traffic management, and passengers, require further investigation. The same holds true for a comparison of the achieved results with other measures, such as a sole adjustment of flight levels, to reduce the climate impact or climate-optimised trajectories. Furthermore, an optimisation of the concept considering economic implications as well as airline networks and expanding the concept with a replacement of aircraft optimised for shorter routes should be subject to further research following this study.
All in all, we confirm the climate mitigation potential of ISO if the right set-up is selected. We contribute to current state of research by first, providing a methodology to characterise climate-optimised ISO, including selection of intermediate refuelling airport and flight altitudes that significantly contribute to a reduction in the climate impact. Second, we estimate the climate mitigation potential of ISO in terms of ATR100 reduction of up to 40% for long-haul flights compared to the non-stop reference case. Third, we compare the results from the climate-optimised ISO set-up with its fuel-optimised counterpart. In this course we find that climate-optimised ISO routes are on average conducted at lower latitudes and altitudes. Furthermore, climate-optimised ISO severely impacts non-climate parameters, such as fuel burn and flight time so that stakeholder interests are affected in course of implementation. To address this, eco-efficient operation set-ups can be derived that reduce fuel consumption and ATR at the same time.

Author Contributions

Conceptualisation, F.L., C.M.W. and Z.L.Z.; methodology, K.D., F.L., C.M.W. and Z.L.Z.; software, K.D., F.L., C.M.W. and Z.L.Z.; validation, K.D., F.L., C.M.W. and Z.L.Z.; data curation, C.M.W. and Z.L.Z.; writing—original draft preparation, Z.L.Z.; writing—review and editing, K.D., F.L. and C.M.W.; visualisation, C.M.W. and Z.L.Z.; supervision, F.L.; project administration, F.L.; funding acquisition, F.L. All authors have read and agreed to the published version of the manuscript.

Funding

This research is part of the project ClimOP, which is funded by European Union’s Horizon 2020 Research and Innovation Programme under Grant Agreement number 875503.

Institutional Review Board Statement

Not applicable.

Data Availability Statement

The data presented in this study are available on request from the corresponding author as long as it does not underlie any additional licence conditions. Restrictions apply to Sabre Market Intelligence data and BADA4 aircraft performance data.

Acknowledgments

Detailed airport data were kindly made available by openflights.org (accessed on 11 August 2021). We thank Alexander Lau for performing an internal review.

Conflicts of Interest

The authors declare no conflict of interest.

Abbreviations

The following abbreviations are used in this manuscript:
ASKAvailable seat kilometre
AUHAbu Dhabi International Airport
ATRAverage Temperature Response
ATR20Average Temperature Response over 20 years
ATR100Average Temperature Response over 100 years
BADA4Base of aircraft data version 4.2
BBUAurel Vlaicu International Airport
BNXBanja Luka International Airport
CH 4 Methane
CO 2 Carbon dioxide
DLRDeutsches Zentrum für Luft- und Raumfahrt e.V. (German Aerospace Centre)
ECACEuropean Civil Aviation conference
GRIDLABGlobal air traffic emission distribution laboratory
H 2 OWater, water vapour
ICAOInternational Civil Aviation Organisation
ISAInternational Standard Atmosphere
ISOIntermediate Stop Operations
LHRHeathrow Airport
NMNautical miles
NOxNitrogen oxides
O 3 ozone
RFRadiative forcing
SO 2 Sulphur dioxides
TCMTrajectory calculation module

Appendix A. Sensitivity Analysis of Airport Preselection Method

The preselection of candidate airports as described above influences the climate mitigation potentials. For the selected individual flight example from Heathrow Airport (LHR) in London to Abu Dhabi International Airport (AUH) with an Airbus A380 at a cruise altitude of 29,000 ft, we find that climate-optimised and climate-optimal ISO airport are not identical if all possible refuelling airports are considered. However, differences are moderate in terms of location and associated ATR as displayed in Figure A1. We find that the climate-optimal refuelling location is at René Mouawad Airport Qlayaat (KYE) in Lebanon, whereas the selected airport according to the described methodology is at Al Jouf-Sakaka-Almatar Airport (AJF) in Saudi Arabia. The deviation is below 2% (1.67% in ATR20 and 1.89% in ATR100).
Looking at the 25 most relevant routes in terms of ASK, we aim to perform a sensitivity analysis on the airports location to support our approach of airport preselection (Section 2.2). In this case study, we cover approximately 35,000 flights of the total sample and a share of 5% with regards to all ASK of this study. Thereby, we can confirm that the results in ATR100 and ATR20 change gradually so that no significant errors are caused through the preselection process. While ATR results in the climate-optimal case are on average 10% above the solution resulting from the applied approach (+9.62% in ATR20, +9.66% in ATR100), deviations in fuel consumption are below 0.5% (+0.37%).
However in this context, it has to be noted that an investigation of intermediate airport locations and the impact on stakeholders in terms of additional take-offs and landings at the selected intermediate stop airports needs further analysis, as these are influenced by the preselection method.
Figure A1. Possible intermediate stop airports for a flight from LHR to AUH with an Airbus A380 and the associated relative change in ATR20 compared to the climate-optimal case.
Figure A1. Possible intermediate stop airports for a flight from LHR to AUH with an Airbus A380 and the associated relative change in ATR20 compared to the climate-optimal case.
Applsci 12 12499 g0a1

References

  1. Lee, D.; Fahey, D.; Skowron, A.; Allen, M.; Burkhardt, U.; Chen, Q.; Doherty, S.; Freeman, S.; Forster, P.; Fuglestvedt, J.; et al. The contribution of global aviation to anthropogenic climate forcing for 2000 to 2018. Atmos. Environ. 2021, 244, 117834. [Google Scholar] [CrossRef]
  2. Skeie, R.B.; Fuglestvedt, J.; Berntsen, T.; Lund, M.T.; Myhre, G.; Rypdal, K. Global temperature change from the transport sectors: Historical development and future scenarios. Atmos. Environ. 2009, 43, 6260–6270. [Google Scholar] [CrossRef]
  3. Grewe, V.; Gangoli Rao, A.; Grönstedt, T.; Xisto, C.; Linke, F.; Melkert, J.; Middel, J.; Ohlenforst, B.; Blakey, S.; Christie, S.; et al. Evaluating the climate impact of aviation emission scenarios towards the Paris agreement including COVID-19 effects. Nat. Commun. 2021, 12, 3841. [Google Scholar] [CrossRef] [PubMed]
  4. Aviation Benefits Beyond Borders (ATAG). Waypoint 2050. 2021. Available online: https://aviationbenefits.org/environmental-efficiency/climate-action/waypoint-2050/ (accessed on 5 October 2022).
  5. Lee, D.; Pitari, G.; Grewe, V.; Gierens, K.; Penner, J.; Petzold, A.; Prather, M.; Schumann, U.; Bais, A.; Berntsen, T.; et al. Transport impacts on atmosphere and climate: Aviation. Atmos. Environ. 2010, 44, 4678–4734. [Google Scholar] [CrossRef] [PubMed]
  6. Yin, F.; Grewe, V.; Frömming, C.; Yamashita, H. Impact on flight trajectory characteristics when avoiding the formation of persistent contrails for transatlantic flights. Transp. Res. Part D Transp. Environ. 2018, 65, 466–484. [Google Scholar] [CrossRef]
  7. Linke, F. The Global Fuel Saving Potential of Intermediate Stop Operations Considering Meteorological and Operational Influences. In Proceedings of the 31st Congress of the International Council of the Aeronautical Sciences (ICAS), Belo Horizonte, Brazil, 9–14 September 2018. [Google Scholar]
  8. Linke, F.; Grewe, V.; Gollnick, V. The Implications of Intermediate Stop Operations on Aviation Emissions and Climate. Meteorol. Z. 2017, 26, 697–709. [Google Scholar] [CrossRef]
  9. Hartjes, S.; Bos, F. Evaluation of Intermediate Stop Operations in Long-haul Flights. Transp. Res. Procedia 2015, 10, 951–959. [Google Scholar] [CrossRef][Green Version]
  10. Martinez-Val, R.; Perez, E.; Cuerno, C.; Palacin, J.F. Cost-range trade-off of intermediate stop operations of long-range transport airplanes. Proc. Inst. Mech. Eng. Part G J. Aerosp. Eng. 2013, 227, 394–404. [Google Scholar] [CrossRef]
  11. Poll, D.I.A. On the effect of stage length on the efficiency of air transport. Aeronaut. J. 2011, 115, 273–283. [Google Scholar] [CrossRef]
  12. Langhans, S.; Linke, F.; Nolte, P.; Schnieder, H. System Analysis for Future Long-Range Operation Concepts. In Proceedings of the 27th International Congress of the Aeronautical Sciences (ICAS), Nice, France, 19–24 September 2010. [Google Scholar]
  13. Hahn, A. Staging Airliner Service. In Proceedings of the 7th AIAA Aviation Technology, Integration and Operations Conference (ATIO), Belfast, Northern Ireland, 18–20 September 2007. [Google Scholar] [CrossRef][Green Version]
  14. Green, J. Air Travel—Greener by Design mitigating the environmental impact of aviation: Opportunities and priorities—Report of the air travel—Greener by Design science and Technology Sub Group London. Aeronaut. J. New Ser. 2005, 109, 361–416. [Google Scholar]
  15. Jensen, L.; Tran, H.; Hansman, R. Cruise Fuel Reduction Potential from Altitude and Speed Optimization in Global Airline Operations. In Proceedings of the Eleventh USA/Europe Air Traffic Management Reserach and Development Seminar (ATM2015), Lisbon, Portugal, 23–26 June 2015. [Google Scholar]
  16. Liden, S. Optimum cruise profiles in the presence of winds. In Proceedings of the IEEE/AIAA 11th Digital Avionics Systems Conference, Seattle, WA, USA, 5–8 October 1992; pp. 254–261. [Google Scholar] [CrossRef]
  17. Torenbeek, E. Synthesis of Subsonic Airplane Design; Delft University Press: Delft, The Netherlands, 1982. [Google Scholar]
  18. Matthes, S.; Lim, L.; Burkhardt, U.; Dahlmann, K.; Dietmüller, S.; Grewe, V.; Haslerud, A.S.; Hendricks, J.; Owen, B.; Pitari, G.; et al. Mitigation of Non-CO2 Aviation’s Climate Impact by Changing Cruise Altitudes. Aerospace 2021, 8, 36. [Google Scholar] [CrossRef]
  19. Fichter, C.; Marquart, S.; Sausen, R.; Lee, D.S. The impact of cruise altitude on contrails and related radiative forcing. Meteorol. Z. 2005, 14, 563–572. [Google Scholar] [CrossRef]
  20. Fichter, C. Climate Impact of Air Traffic Emissions in Dependency of the Emission Location and Altitude. Ph.D. Thesis, Manchester Metropolitan University, Manchester, UK, 2009. [Google Scholar]
  21. Gauss, M.; Isaksen, I.S.A.; Lee, D.S.; Søvde, O.A. Impact of aircraft NOx emissions on the atmosphere—Tradeoffs to reduce the impact. Atmos. Chem. Phys. 2006, 6, 1529–1548. [Google Scholar] [CrossRef]
  22. Zengerling, Z.L.; Linke, F.; Weder, C.M.; Dahlmann, K. A comparison of climate-optimised and fuel-optimised intermediate stop operations for selected case studies. In Proceedings of the 33rd Congress of the International Council of the Aeronautical Sciences (ICAS), Stockholm, Sweden, 4–9 September 2022. [Google Scholar]
  23. Alvarez, M.; Santos, B. Assessment of the Climate Impact Mitigation Potential of Intermediate Stop Operations. Master Thesis, Delft University of Technology, Delft, The Netherlands, 2021. [Google Scholar]
  24. Grewe, V.; Linke, F. Eco-efficiency in aviation. Meteorol. Z. 2017, 26, 689–696. [Google Scholar] [CrossRef]
  25. Nuic, A.; Poles, D.; Mouillet, V. BADA: An advanced aircraft performance model for present and future ATM systems. Int. J. Adapt. Control Signal Process. 2010, 24, 850–866. [Google Scholar] [CrossRef]
  26. Linke, F. Ökologische Analyse operationeller Lufttransportkonzepte. Ph.D. Thesis, Technische Universität Hamburg-Harburg, Hamburg, Germany, 2016. [Google Scholar]
  27. Linke, F. Trajectory Calculation Module (Teil I: VNAV)—Entwicklung Eines Simulink-Moduls zur Vorhersage Realer Flugzeugtrajektorien; Internal Report IB 328-2008-01; Deutsches Zentrum für Luft- und Raumfahrt: Hamburg, Germany, 2008. [Google Scholar]
  28. Schäfer, M.; Bartosch, S. Overview on Fuel Flow Correlation Methods for the Calculation of NOx, CO and HC Emissions and Their Implementation into Aircraft Performance Software; Internal Report IB-325-11-13; Deutsches Zentrum für Luft- und Raumfahrt: Köln, Germany, 2013. [Google Scholar]
  29. International Civil Aviation Organisaiton (ICAO). ICAO Aircraft Engine Emissions Data Bank. Available online: https://www.easa.europa.eu/domains/environment/icao-aircraft-engine-emissions-databank (accessed on 18 July 2022).
  30. Dahlmann, K.; Grewe, V.; Frömming, C.; Burkhardt, U. Can we reliably assess climate mitigation options for air traffic scenarios despite large uncertainties in atmospheric processes? Transp. Res. Part D Transp. Environ. 2016, 46, 40–55. [Google Scholar] [CrossRef]
  31. Grewe, V.; Stenke, A. AirClim: An efficient tool for climate evaluation of aircraft technology. Atmos. Chem. Phys. 2008, 8, 4621–4639. [Google Scholar] [CrossRef]
  32. European Civil Aviation Conference (ECAC). About ECAC: Member States. Available online: Https://www.ecac-ceac.org/about-ecac/member-states (accessed on 17 July 2022).
  33. Langhans, S.; Linke, F.; Gollnick, V. System Analysis for an Intermediate Stop Operations Concept on Long Range Routes. J. Aircr. 2013, 50, 29–37. [Google Scholar] [CrossRef]
  34. International Civil Aviation Organisaiton (ICAO). Annual Report 2018—Presentation of 2018 Air Transport Statistical Results. 2018. Available online: https://www.icao.int/annual-report-2018/Pages/the-world-of-air-transport-in-2018-statistical-results.aspx (accessed on 5 October 2022).
  35. Coordinating Research Council (CRC). Update of the Survey of Sulfur Levels in Commercial Jet Fuel: Final Report; Technical Report, CRC Project AV-1-10; Coordinating Research Council, Inc.: Alpharetta, GA, USA, 2012. [Google Scholar]
  36. DuBois, D.; Paynter, G.C. “Fuel Flow Method2” for Estimating Aircraft Emissions; SAE Technical Paper 2006-01-1987; SAE International: Warrendale, PA, USA, 2006. [Google Scholar]
  37. Döpelheuer, A. Anwendungsorientierte Verfahren zur Bestimmung von CO, HC und Ruß aus Luftfahrttriebwerken. Ph.D. Thesis, Ruhr-Universität Bochum, Bochum, Germany, 2002. [Google Scholar]
  38. Döpelheuer, A. Quantities, Characteristics and Reduction Potentials of Aircraft Engine Emissions. In Proceedings of the Aerospace Congress, Washington, DC, USA, 10–14 September 2001. [Google Scholar]
  39. Grewe, V.; Frömming, C.; Matthes, S.; Brinkop, S.; Ponater, M.; Dietmüller, S.; Jöckel, P.; Garny, H.; Tsati, E.; Dahlmann, K.; et al. Aircraft routing with minimal climate impact: The REACT4C climate cost function modelling approach (V1.0). Geosci. Model Dev. 2014, 7, 175–201. [Google Scholar] [CrossRef]
  40. Grewe, V.; Dahlmann, K. How ambiguous are climate metrics? And are we prepared to assess and compare the climate impact of new air traffic technologies? Atmos. Environ. 2015, 106, 373–374. [Google Scholar] [CrossRef]
  41. Fuglestvedt, J.; Shine, K.; Berntsen, T.; Cook, J.; Lee, D.; Stenke, A.; Skeie, R.; Velders, G.; Waitz, I. Transport impacts on atmosphere and climate: Metrics. Transport Impacts on Atmosphere and Climate: The ATTICA Assessment Report. Atmos. Environ. 2010, 44, 4648–4677. [Google Scholar] [CrossRef]
  42. IPCC. Summary for Policymakers. In Climate Change 2014: Mitigation of Climate Change. Contribution of Working Group III to the Fifth Assessment Report of the Intergovernmental Panel on Climate Change; Edenhofer, O., Pichs-Madruga, R., Sokona, Y., Farahani, E., Kadner, S., Seyboth, K., Adler, A., Baum, I., Brunner, S., Eickemeier, P., et al., Eds.; Cambridge University Press: Cambridge, UK; New York, NY, USA, 2014. [Google Scholar]
  43. Poles, D.; Nuic, A.; Mouillet, V. Advanced aircraft performance modeling for ATM: Analysis of BADA model capabilities. In Proceedings of the 29th Digital Avionics Systems Conference, Salt Lake City, UT, USA, 3–7 October 2010. [Google Scholar]
  44. Schulte, P.; Schlager, H.; Ziereis, H.; Schumann, U.; Baughcum, S.L.; Deidewig, F. NOx emission indices of subsonic long-range jet aircraft at cruise altitude: In situ measurements and predictions. J. Geophys. Res. Atmos. 1997, 102, 21431–21442. [Google Scholar] [CrossRef]
Figure 1. Modelling workflow to assess climate mitigation potential of different ISO scenarios.
Figure 1. Modelling workflow to assess climate mitigation potential of different ISO scenarios.
Applsci 12 12499 g001
Figure 2. Global distribution of considered airports.
Figure 2. Global distribution of considered airports.
Applsci 12 12499 g002
Figure 3. Global distribution of fuel consumption in the reference case, vertically aggregated and normalised per grid cell area given in kg/km 2 .
Figure 3. Global distribution of fuel consumption in the reference case, vertically aggregated and normalised per grid cell area given in kg/km 2 .
Applsci 12 12499 g003
Figure 4. Relative increase in emission quantities for climate-optimised ISO compared to the non-stop reference case, additional relative fuel consumption of 17.96% is indicated by the dashed line as a reference.
Figure 4. Relative increase in emission quantities for climate-optimised ISO compared to the non-stop reference case, additional relative fuel consumption of 17.96% is indicated by the dashed line as a reference.
Applsci 12 12499 g004
Figure 5. Change in ATR100 per emission species for climate-optimised ISO compared to the non-stop reference case.
Figure 5. Change in ATR100 per emission species for climate-optimised ISO compared to the non-stop reference case.
Applsci 12 12499 g005
Figure 6. Zonal and vertical distribution of CO 2 emissions with fuel-optimised ISO (left) and climate-optimised ISO (right).
Figure 6. Zonal and vertical distribution of CO 2 emissions with fuel-optimised ISO (left) and climate-optimised ISO (right).
Applsci 12 12499 g006
Figure 7. Latitude (a) and longitude (b) along resulting routes: difference between climate-optimised and fuel-optimised ISO set-up. Positives values indicate a higher share in the climate-optimised case, negative ones, a higher frequency in the fuel-optimised case.
Figure 7. Latitude (a) and longitude (b) along resulting routes: difference between climate-optimised and fuel-optimised ISO set-up. Positives values indicate a higher share in the climate-optimised case, negative ones, a higher frequency in the fuel-optimised case.
Applsci 12 12499 g007
Figure 8. Distribution of additional take-offs and landings per grid cell with introduction of fuel-optimised ISO concept (left) and climate-optimised ISO concept (right).
Figure 8. Distribution of additional take-offs and landings per grid cell with introduction of fuel-optimised ISO concept (left) and climate-optimised ISO concept (right).
Applsci 12 12499 g008
Figure 9. Distribution of fuel consumption over flight levels in the different scenarios compared to the reference case.
Figure 9. Distribution of fuel consumption over flight levels in the different scenarios compared to the reference case.
Applsci 12 12499 g009
Figure 10. Change in ATR100 per emission species for fuel and climate-optimised ISO compared to the non-stop reference case at constant flight level of 35,000 ft.
Figure 10. Change in ATR100 per emission species for fuel and climate-optimised ISO compared to the non-stop reference case at constant flight level of 35,000 ft.
Applsci 12 12499 g010
Table 1. Comparison of key parameters of an average flight of the underlying sample in reference case, fuel-optimised ISO and climate-optimised ISO.
Table 1. Comparison of key parameters of an average flight of the underlying sample in reference case, fuel-optimised ISO and climate-optimised ISO.
Reference ScenarioFuel-Optimised ISOClimate-Optimised ISO
Flight altitudefuel-optimal, step climbsfuel-optimal, step climbsclimate-optimised, constant
Share ISO missions-48.23%99.98%
Avg. Distance7341 km+0.04%+3.58%
Avg. Flight Time08:57 h+3.34%+9.57%
Avg. Trip Fuel56.53 t−1.92%+17.96%
CO 2 emissions178.03 t−1.92%+17.96%
H 2 O emissions69.54 t−1.92%+17.96%
NOx emissions868.91 kg−2.42%+17.53%
Table 2. Climate impact mitigation when limiting additional fuel burn per flight (all numbers in % compared to the reference case).
Table 2. Climate impact mitigation when limiting additional fuel burn per flight (all numbers in % compared to the reference case).
Allowed Fuel Penalty per FlightTotal Change in ATR100Total Change in Fuel BurnTotal Change in Flight TimeShare of ISO Missions
0−5.66−0.53+2.7537.16
0.5−6.03−0.40+3.0941.73
1.0−6.73−0.21+3.3845.43
2.0−8.87+0.28+4.0454.19
5.0−15.46+2.57+6.0382.10
10−27.27+7.21+7.0196.84
Publisher’s Note: MDPI stays neutral with regard to jurisdictional claims in published maps and institutional affiliations.

Share and Cite

MDPI and ACS Style

Zengerling, Z.L.; Linke, F.; Weder, C.M.; Dahlmann, K. Climate-Optimised Intermediate Stop Operations: Mitigation Potential and Differences from Fuel-Optimised Configuration. Appl. Sci. 2022, 12, 12499. https://doi.org/10.3390/app122312499

AMA Style

Zengerling ZL, Linke F, Weder CM, Dahlmann K. Climate-Optimised Intermediate Stop Operations: Mitigation Potential and Differences from Fuel-Optimised Configuration. Applied Sciences. 2022; 12(23):12499. https://doi.org/10.3390/app122312499

Chicago/Turabian Style

Zengerling, Zarah Lea, Florian Linke, Christian Martin Weder, and Katrin Dahlmann. 2022. "Climate-Optimised Intermediate Stop Operations: Mitigation Potential and Differences from Fuel-Optimised Configuration" Applied Sciences 12, no. 23: 12499. https://doi.org/10.3390/app122312499

APA Style

Zengerling, Z. L., Linke, F., Weder, C. M., & Dahlmann, K. (2022). Climate-Optimised Intermediate Stop Operations: Mitigation Potential and Differences from Fuel-Optimised Configuration. Applied Sciences, 12(23), 12499. https://doi.org/10.3390/app122312499

Note that from the first issue of 2016, this journal uses article numbers instead of page numbers. See further details here.

Article Metrics

Back to TopTop