Enhanced Impedance Measurement to Predict Electromagnetic Interference Attenuation Provided by EMI Filters in Systems with AC/DC Converters
Abstract
Featured Application
Abstract
1. Introduction
2. Enhanced Single-Probe Method and Verification
2.1. Enhanced Single-Probe Method
2.2. Sensitivity Analysis for Justification of the Two-Turn Loop Setup
2.3. Calibration Procedure and Validation of the Proposed Method
3. Setups to Extract Equivalent Modal Circuits
3.1. Measurement Setups to Extract the Equivalent Modal Circuits
3.2. Measurement Setup for Three-Phase EMI Filters
4. Measurement Results and IL Prediction
4.1. Impedances of the Equivalent Modal Circuits of the Motor Drive System Setup
4.2. Definition of CM/DM IL of Three-Phase Filters
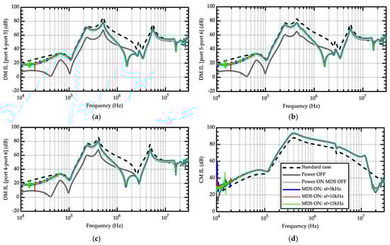
4.3. Predictions of the DM and CM IL
5. Conclusions
Author Contributions
Funding
Institutional Review Board Statement
Informed Consent Statement
Data Availability Statement
Conflicts of Interest
References
- Smolenski, R. Conducted Electromagnetic Interference (EMI) in Smart Grids; Power systems; Springer: London, UK, 2012; ISBN 978-1-4471-2959-2. [Google Scholar]
- Jettanasen, C.; Ngaopitakkul, A. The Conducted Emission Attenuation of Micro-Inverters for Nanogrid Systems. Sustainability 2019, 12, 151. [Google Scholar] [CrossRef]
- Wan, L.; Beshir, A.H.; Wu, X.; Liu, X.; Grassi, F.; Spadacini, G.; Pignari, S.A.; Zanoni, M.; Tenti, L.; Chiumeo, R. Black-Box Modelling of Low-Switching-Frequency Power Inverters for EMC Analyses in Renewable Power Systems. Energies 2021, 14, 3413. [Google Scholar] [CrossRef]
- Baranowski, J.; Drabek, T.; Piątek, P.; Tutaj, A. Diagnosis and Mitigation of Electromagnetic Interference Generated by a Brushless DC Motor Drive of an Electric Torque Tool. Energies 2021, 14, 2149. [Google Scholar] [CrossRef]
- Wunsch, B.; Skibin, S.; Forsström, V.; Stevanovic, I. EMC Component Modeling and System-Level Simulations of Power Converters: AC Motor Drives. Energies 2021, 14, 1568. [Google Scholar] [CrossRef]
- CISPR 17:2011; Methods of Measurement of the Suppression Characteristics of Passive EMC Filtering Devices. 2nd ed. International Special Committee on Radio Interference: Geneva, Switzerland, 2011.
- Mardiguian, M.; Raimbourg, J. An Alternate, Complementary Method for Characterizing EMI Filters. In Proceedings of the 1999 IEEE International Symposium on Electromagnetic Compatability. Symposium Record (Cat. No.99CH36261); IEEE: Seattle, WA, USA, 1999; Volume 2, pp. 882–886. [Google Scholar]
- Kostov, K.S.; Kyyrä, J.J. Insertion Loss and Network Parameters in the Analysis of Power Filters. In Proceedings of the Nordic Workshop on Power and Industrial Electronics (NORPIE/2008), Espoo, Finland, 9–11 June 2008; Helsinki University of Technology: Helsinki, Finland, 2008. [Google Scholar]
- Kovacevic, I.; Krismer, F.; Schroth, S.; Kolar, J.W. Practical Characterization of EMI Filters Replacing CISPR 17 Approximate Worst Case Measurements. In Proceedings of the 2013 IEEE 14th Workshop on Control and Modeling for Power Electronics (COMPEL), Salt Lake City, UT, USA, 23–26 June 2013; pp. 1–10. [Google Scholar]
- Kim, K.; Hwang, H.; Nah, W. An EM-Circuit Co-Simulation Model to Predict Insertion Loss in a Busbar-PCB Type EMI Filter. In Proceedings of the 2021 IEEE International Joint EMC/SI/PI and EMC Europe Symposium, Raleigh, NC, USA, 26 July–13 August 2021; pp. 313–317. [Google Scholar]
- Cuellar, C.; Idir, N. Determination of the Insertion Loss of EMI Filters Using a Black-Box Model. In Proceedings of the 2015 IEEE Energy Conversion Congress and Exposition (ECCE), Montreal, QC, Canada, 20–24 September 2015; pp. 2644–2649. [Google Scholar]
- Negri, S.; Spadacini, G.; Grassi, F.; Pignari, S. Black-Box Modeling of EMI Filters for Frequency and Time-Domain Simulations. IEEE Trans. Electromagn. Compat. 2022, 64, 119–128. [Google Scholar] [CrossRef]
- Negri, S.; Spadacini, G.; Grassi, F.; Pignari, S.A. Prediction of EMI Filter Attenuation in Power-Electronic Converters via Circuit Simulation. IEEE Trans. Electromagn. Compat. 2022, 64, 1086–1096. [Google Scholar] [CrossRef]
- Nemashkalo, D.; Koch, P.; Moonen, N.; Leferink, F. Multichannel EMI Filter Performance Assessment. In Proceedings of the 2022 International Symposium on Electromagnetic Compatibility—EMC Europe, Gothenburg, Sweden, 5–8 September 2022; pp. 69–73. [Google Scholar]
- Dey, S.; Mallik, A. A Comprehensive Review of EMI Filter Network Architectures: Synthesis, Optimization and Comparison. Electronics 2021, 10, 1919. [Google Scholar] [CrossRef]
- Luna, M.; La Tona, G.; Accetta, A.; Pucci, M.; Di Piazza, M.C. An Evolutionary EMI Filter Design Approach Based on In-Circuit Insertion Loss and Optimization of Power Density. Energies 2020, 13, 1957. [Google Scholar] [CrossRef]
- Mazzola, E.; Grassi, F.; Amaducci, A. Novel Measurement Procedure for Switched-Mode Power Supply Modal Impedances. IEEE Trans. Electromagn. Compat. 2020, 62, 1349–1357. [Google Scholar] [CrossRef]
- Wan, L.; Hamid, A.; Grassi, F.; Spadacini, G.; Pignari, S.A. SPICE Simulation of Modal Impedances in Automotive Powertrains under Different Operating Conditions. In Proceedings of the 2020 International Symposium on Electromagnetic Compatibility—EMC EUROPE, Rome, Italy, 23–25 September 2020; pp. 1–5. [Google Scholar]
- Fan, F.; See, K.Y.; Liu, X.; Li, K.; Gupta, A.K. Systematic Common-Mode Filter Design for Inverter-Driven Motor System Based on In-Circuit Impedance Extraction. IEEE Trans. Electromagn. Compat. 2020, 62, 1711–1722. [Google Scholar] [CrossRef]
- Tarateeraseth, V.; See, K.Y.; Canavero, F.G.; Chang, R.W.-Y. Systematic Electromagnetic Interference Filter Design Based on Information from In-Circuit Impedance Measurements. IEEE Trans. Electromagn. Compat. 2010, 52, 588–598. [Google Scholar] [CrossRef]
- Jie, H.; Zhao, Z.; Fei, F.; See, K.Y.; Simanjorang, R.; Sasongko, F. A Survey of Impedance Measurement Methods in Power Electronics. In Proceedings of the 2022 IEEE International Instrumentation and Measurement Technology Conference (I2MTC), Ottawa, ON, Canada, 16–19 May 2022; pp. 1–6. [Google Scholar]
- Southwick, R.; Dolle, W. Line Impedance Measuring Instrumentation Utilizing Current Probe Coupling. IEEE Trans. Electromagn. Compat. 1971, EMC-13, 31–36. [Google Scholar] [CrossRef]
- Zhao, Z.; Fan, F.; Jie, H.; Sun, Q.; Tu, P.; Wang, W.; See, K.Y. Inductively Coupled In-Circuit Impedance Measurement and Its EMC Applications. arXiv 2022, arXiv:2204.01546. [Google Scholar]
- Zhao, Z.; Fan, F.; Jie, H.; Yang, Z.; Dong, M.; Chua, E.K.; Yak See, K. In-Circuit Impedance Measurement Setups of Inductive Coupling Approach: A Review. In Proceedings of the 2022 Asia-Pacific International Symposium on Electromagnetic Compatibility (APEMC), Beijing, China, 1–4 September 2022; pp. 228–230. [Google Scholar]
- Weerasinghe, A.; Zhao, Z.; Narampanawe, N.; Yang, Z.; Svimonishvili, T.; See, K.Y. Single-Probe Inductively Coupled In-Circuit Impedance Measurement. IEEE Trans. Electromagn. Compat. 2022, 64, 2–10. [Google Scholar] [CrossRef]
- Weerasinghe, A.; Zhao, Z.; Fan, F.; Tu, P.; See, K.Y. In-Circuit Differential-Mode Impedance Extraction at the AC Input of a Motor Drive System. In Proceedings of the 2021 Asia-Pacific International Symposium on Electromagnetic Compatibility (APEMC), Bali, Indonesia, 27–30 September 2021; pp. 1–4. [Google Scholar]
- Zhao, Z.; Fan, F.; Weerasinghe, A.; Tu, P.; See, K.Y. Measurement of In-Circuit Common-Mode Impedance at the AC Input of a Motor Drive System. In Proceedings of the 2021 Asia-Pacific International Symposium on Electromagnetic Compatibility (APEMC), Bali, Indonesia, 27–30 September 2021; pp. 1–4. [Google Scholar]
- Pozar, D.M. Microwave Engineering, 4th ed.; Wiley: Hoboken, NJ, USA, 2012; ISBN 978-0-470-63155-3. [Google Scholar]
- Wan, L.; Khilnani, A.; Hamid, A.; Grassi, F.; Spadacini, G.; Pignari, S.; Sumner, M.; Thomas, D. Limitations in Applying the Existing LISN Topologies for Low Frequency Conducted Emission Measurements and Possible Solution. In Proceedings of the 2021 Asia-Pacific International Symposium on Electromagnetic Compatibility (APEMC), Bali, Indonesia, 27–30 September 2021; pp. 1–4. [Google Scholar]
- Frickey, D.A. Conversions between S, Z, Y, H, ABCD, and T Parameters Which Are Valid for Complex Source and Load Impedances. IEEE Trans. Microw. Theory Tech. 1994, 42, 205–211. [Google Scholar] [CrossRef]













| Component | Maximum Magnitude Error [Ω] | Maximum Percentage Magnitude Error | Maximum Phase Error [°] |
|---|---|---|---|
| R 18 Ω | −2.08 Ω @ 30 MHz | −10.3% @ 30 MHz | −10.5° @ 30 MHz |
| R 82 Ω | −2.66 Ω @ 11.4 kHz | −3.25% @ 11.4 kHz | 1.87° @ 10.5 kHz |
| R 250 Ω | −24.6 Ω @ 11.8 kHz | −9.86% @ 11.8 kHz | 7.37° @ 10.5 kHz |
| C 3.3 µF | −1.00 Ω @ 30.0 MHz | 20.8% @ 309 kHz | −16.4° @ 359 kHz |
| L 100 µH | 720 Ω @ 17.0 MHz | 57.4% @ 25.9 kHz | −28.1° @ 43.8 kHz |
| Component | Average Magnitude Error [Ω] | Average Percentage Magnitude Error | Magnitude Standard Deviation [Ω] | Average Phase Error [°] | Phase Error Standard Deviation [°] |
|---|---|---|---|---|---|
| R 18 Ω | −0.15 Ω | −0.77% | 0.40 Ω | −1.59° | 3.03° |
| R 82 Ω | −0.01 Ω | −0.01% | 0.23 Ω | −0.05° | 0.18° |
| R 250 Ω | −0.49 Ω | −0.20% | 2.40 Ω | −0.09° | 0.80° |
| C 3.3 µF | −0.12 Ω | −3.41% | 0.26 Ω | −1.41° | 3.56° |
| L 100 µH | 68.7 Ω | 21.4% | 212 Ω | −7.48° | 15.1° |
| Component | Specifications |
|---|---|
| Variable frequency drive | Input: 3-phase, 380–480 V, 50 Hz Output: 0–460 V, 5 kVA, 2.2 kW, 0–599 Hz |
| Induction motor | Nominal power: 0.75 kW, 2.1A, 50 Hz, 1430 rpm |
| LISN | Schwarzbeck, NSLK8128, CISPR16-1-2, 9 kHz—30 MHz |
| VNA | Keysight, E5061B, 5 Hz—1.5 GHz |
| Bulk current injection probe | FCC, F-120-2, 10 kHz—230 MHz |
Publisher’s Note: MDPI stays neutral with regard to jurisdictional claims in published maps and institutional affiliations. |
© 2022 by the authors. Licensee MDPI, Basel, Switzerland. This article is an open access article distributed under the terms and conditions of the Creative Commons Attribution (CC BY) license (https://creativecommons.org/licenses/by/4.0/).
Share and Cite
Wan, L.; Negri, S.; Spadacini, G.; Grassi, F.; Pignari, S.A. Enhanced Impedance Measurement to Predict Electromagnetic Interference Attenuation Provided by EMI Filters in Systems with AC/DC Converters. Appl. Sci. 2022, 12, 12497. https://doi.org/10.3390/app122312497
Wan L, Negri S, Spadacini G, Grassi F, Pignari SA. Enhanced Impedance Measurement to Predict Electromagnetic Interference Attenuation Provided by EMI Filters in Systems with AC/DC Converters. Applied Sciences. 2022; 12(23):12497. https://doi.org/10.3390/app122312497
Chicago/Turabian StyleWan, Lu, Simone Negri, Giordano Spadacini, Flavia Grassi, and Sergio Amedeo Pignari. 2022. "Enhanced Impedance Measurement to Predict Electromagnetic Interference Attenuation Provided by EMI Filters in Systems with AC/DC Converters" Applied Sciences 12, no. 23: 12497. https://doi.org/10.3390/app122312497
APA StyleWan, L., Negri, S., Spadacini, G., Grassi, F., & Pignari, S. A. (2022). Enhanced Impedance Measurement to Predict Electromagnetic Interference Attenuation Provided by EMI Filters in Systems with AC/DC Converters. Applied Sciences, 12(23), 12497. https://doi.org/10.3390/app122312497

