The Water-Enhanced Turbofan as Enabler for Climate-Neutral Aviation
Abstract
Featured Application
Abstract
1. Introduction
2. Climate Impact of Aviation
2.1. Carbon Dioxide (CO2)
2.2. Nitrogen Oxide (NOx)
2.3. Water Emission (H2O) and Condensation Trails (Contrails)
2.4. Particulate Matter and Soot
3. The Water-Enhanced Turbofan
4. Engine Performance and Climate Impact Evaluation Methods
4.1. Thermodynamics
4.2. Cycle Definition
4.3. Weight and Volume
4.4. Aircraft-Level Effects
4.5. Climate Impact Methodology
4.5.1. Carbon Dioxide Emissions
4.5.2. Contrails
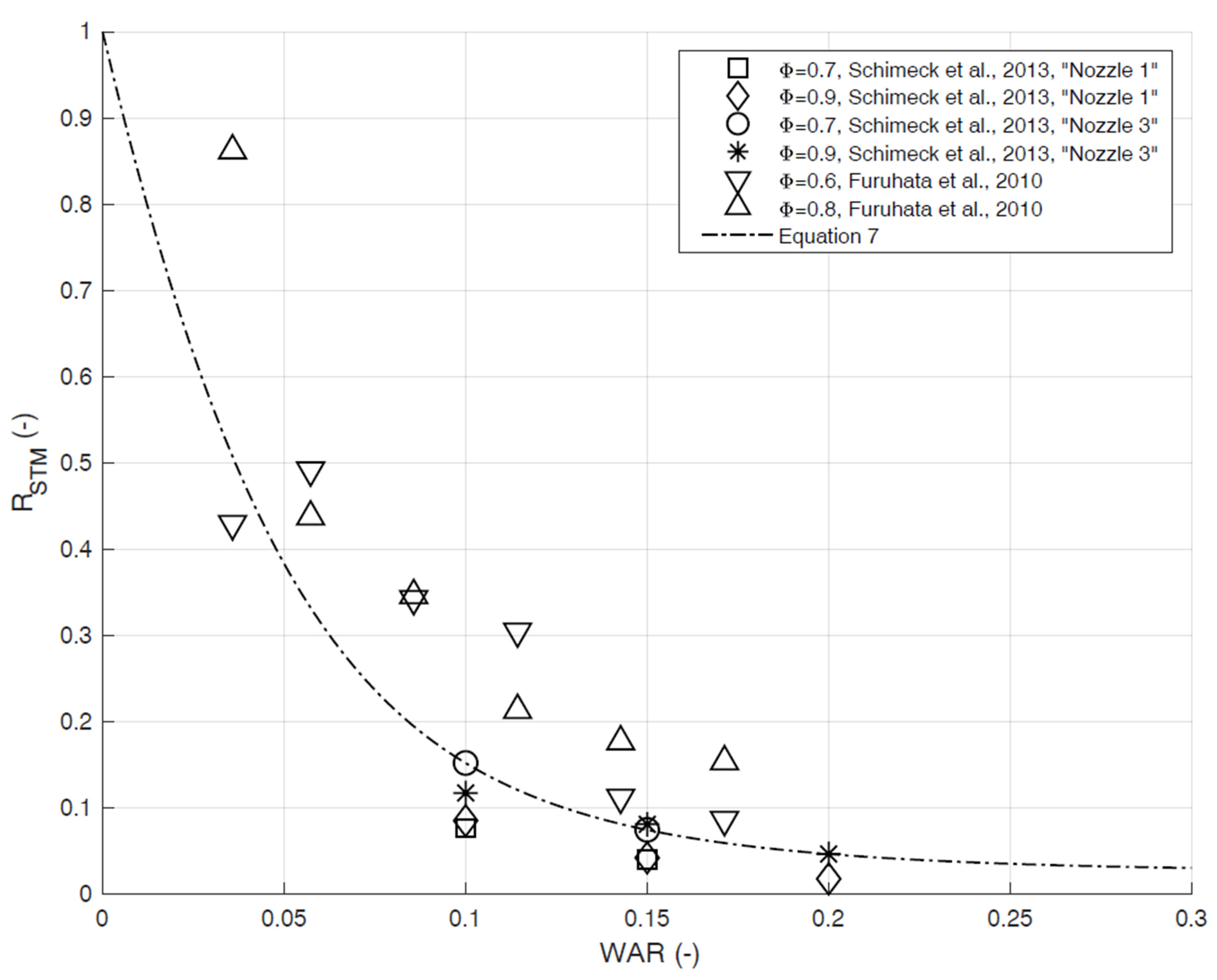
4.5.3. Nitrogen Oxide Emissions
- Reduced stoichiometric flame temperature Tst,fl,ad due to added steam, which acts as an inert species in the combustion process;
- Reduced combustor inlet temperature T37 due to reduced OPR and mixing with (colder) steam;
- Reduced combustion pressure p37 due to reduced OPR.
4.5.4. Climate Metric
5. Climate Impact Evaluation
6. Conclusion and Outlook
Author Contributions
Funding
Institutional Review Board Statement
Informed Consent Statement
Data Availability Statement
Acknowledgments
Conflicts of Interest
References
- Lee, D.S.; Fahey, D.W.; Skowron, A.; Allen, M.R.; Burkhardt, U.; Chen, Q.; Doherty, S.J.; Freeman, S.; Forster, P.M.; Fuglestvedt, J.; et al. The Contribution of Global Aviation to Anthropogenic Climate Forcing for 2000 to 2018. Atmos. Environ. 2021, 244. [Google Scholar] [CrossRef] [PubMed]
- Pratt & Whitney–PurePower–Family of Engines. Brochure. East Hartford, Connecticut: Pratt & Whitney. 2015. Available online: http://newsroom.pw.utc.com/download/PurePowerFamily-S16154.pdf (accessed on 15 November 2022).
- Chen, S. Effects of Novel Coronavirus (COVID-19) on Civil Aviation: Economic Impact Analysis; International Civil Aviation Organization (ICAO), Economic Development—Air Transport Bureau: Montréal, QC, Canada, 2022. [Google Scholar]
- The Right Flightpath to Reduce Aviation Emissions; Brochure; Air Transport Action Group (ATAG): Durban, South Africa, 2011.
- United Nations Framework Convention on Climate Change (UNFCCC). The Paris Agreement. In Proceedings of the Paris Climate Change Conference (COP 21), Paris, France, 30 November–12 December 2015. [Google Scholar]
- European Commission. The European Green Deal; Document 52019DC0640; European Commission: Brussels, Belgium, 2019. [Google Scholar]
- European Commission. ‘Fit for 55’: Delivering the EU’s 2030 Climate Target on the Way to Climate Neutrality; Document 52021DC0550; European Commission: Brussels, Belgium, 2021. [Google Scholar]
- Geffert, N. Zero Emissions—Clean Air Engine (Claire) Technology Agenda; Aero Report; Issue 06/2022; MTU Aero Engines AG: Munich, Germany, 2022. [Google Scholar]
- Schmitz, O.; Klingels, H.; Kufner, P. Aero Engine Concepts Beyond 2030: Part 1—The Steam Injecting and Recovering Aero Engine. ASME J. Eng. Gas Turbines Power 2021, 143, 021001. [Google Scholar] [CrossRef]
- Kaiser, S.; Schmitz, O.; Klingels, H. Aero Engine Concepts Beyond 2030: Part 2—The Free-Piston Composite Cycle Engine. ASME J. Eng. Gas Turbines Power 2021, 143, 021002. [Google Scholar] [CrossRef]
- Schmitz, O.; Klingels, H.; Kufner, P.; Obermüller, M.; Henke, M.; Zanger, J.; Grimm, F.; Schuldt, S.; Marcellan, A.; Cirigliano, D. Aero Engine Concepts Beyond 2030—Part 3: Experimental Demonstration of Technological Feasibility. ASME J. Eng. Gas Turbines Power 2021, 143, 021003. [Google Scholar] [CrossRef]
- Pouzolz, R.; Schmitz, O.; Klingels, H. Evaluation of the Climate Impact Reduction Potential of the Water-Enhanced Turbofan (WET) Concept. Aerospace 2021, 8, 59. [Google Scholar] [CrossRef]
- Grewe, V.; Rao, A.G.; Grönstedt, T.; Xisto, C.; Linke, F.; Melkert, J.; Middel, J.; Ohlenforst, B.; Blakey, S.; Christie, S.; et al. Evaluating the climate impact of aviation emission scenarios towards the Paris agreement including COVID-19 effects. Nat. Commun. 2021, 12, 3841. [Google Scholar] [CrossRef] [PubMed]
- Moore, R.H.; Thornhill, K.L.; Weinzierl, B.; Sauer, D.; D’Ascoli, E.; Kim, J.; Lichtenstern, M.; Scheibe, M.; Beaton, B.; Beyersdorf, A.J.; et al. Biofuel blending reduces particle emissions from aircraft engines at cruise conditions. Nature 2017, 543, 411–415. [Google Scholar] [CrossRef] [PubMed]
- Burkhardt, U.; Bock, L.; Bier, A. Mitigating the contrail cirrus climate impact by reducing aircraft soot number emissions. npj Clim. Atmos Sci. 2018, 1, 37. [Google Scholar] [CrossRef]
- Langholtz, M.H.; Stokes, B.J.; Eaton, L.M. 2016 Billion-Ton Report: Advancing Domestic Resources for a Thriving Bioeconomy, Volume 1: Economic Availability of Feedstock. U.S. Department of Energy; ORNL/TM-2016/160; Oak Ridge National Laboratory: Oak Ridge, TN, USA, 2016; 411p.
- O’Malley, J.; Pavlenko, N.; Searle, S. Estimating Sustainable Aviation Fuel Feedstock Availability to Meet Growing European Union Demand; Working Paper 2021-13; International Council on Clean Transportation (ICCT): Washington DC, USA, 2021. [Google Scholar]
- Pavlenko, N.; Searle, S.; Christensen, A. The Cost of Supporting Alternative Jet Fuels in the European Union; International Council on Clean Transportation (ICCT): Washington DC, USA, 2019. [Google Scholar]
- Dahal, K.; Brynolf, S.; Xisto, C.; Hansson, J.; Grahn, M.; Grönstedt, T.; Lehtveer, M. Techno-economic review of alternative fuels and propulsion systems for the aviation sector. Renew. Sustain. Energy Rev. 2021, 151, 111564. [Google Scholar] [CrossRef]
- Klingels, H. Flugzeug mit Mantelstromtriebwerk. German Patent No. DE 10 2019 203 59.7, 27 May 2019. [Google Scholar]
- Klingels, H. Reduction of Contrails During Operation of Aircraft. German Patent No. DE 10 2018 203 159 A1/International Patent No. WO 2019/166040 A1, 5 September 2019. [Google Scholar]
- Klingels, H.; Schmitz, O. Exhaust-Gas Treatment Device, Aircraft Propulsion System, and Method for Treating an Exhaust-Gas Stream. International Patent No. WO 2019/223823 A1, 28 November 2019. [Google Scholar]
- Meredith, F.W. Cooling of Aircraft Engines with Special Reference to Ethylene Glycol Radiators Enclosed in Ducts; HM Stationery Office: London, UK, 1935. [Google Scholar]
- Sanford, G.; McBride, B.J. Computer Program for Calculation of Complex Chemical Equilibrium Compositions and Applications, I. Analysis; NASA Technical Report; NASA-RP-1311; Lewis Research Center: Cleveland, OH, USA, 1994. [Google Scholar]
- Wagner, W.; Cooper, J.R.; Dittmann, A.; Kijima, J.; Kretzschmar, H.; Kruse, A.; Mares, R.; Oguchi, K.; Sato, H.; Stöcker, I.; et al. The IAPWS Industrial Formulation 1997 for the Thermodynamic Properties of Water and Steam. ASME J. Eng. Gas Turbines Power 2000, 122, 150–184. [Google Scholar] [CrossRef]
- McBride, B.J.; Zehe, M.J.; Gordon, S. NASA Glenn Coefficients for Calculating Thermodynamic Properties of Individual Species; NASA Glenn Research Center at Lewis Field: Cleveland, OH, USA, 2002.
- Baumann, N. Konzeptionierung und Optimierung von Wärmeübertragern für die WET-Engine. Master’s Thesis, Karlsruhe Institute of Technology, Karlsuhe, Germany, 2022. [Google Scholar]
- Philipp, H.; Panagiotou, P.; Vratny, P.; Kaiser, S.; Hornung, M.; Yakinthos, K. Advanced tube and wing aircraft for year 2050 timeframe. In Proceedings of the 55th AIAA Aerospace Sciences Meeting, Grapevine, TX, USA, 9–13 January 2017. [Google Scholar]
- Kärcher, B. Formation and radiative forcing of contrail cirrus. Nat. Commun. 2018, 9, 1824. [Google Scholar] [CrossRef] [PubMed]
- Schmidt, E. Die Entstehung von Eisnebel aus den Auspuffgasen von Flugmotoren. In Schriften der Deutschen Akademie der Luftfahrtforschung Heft 44; Verlag R. Oldenbourg: München, Germany, 1941; pp. 1–15. [Google Scholar]
- Appleman, H. The Formation of Exhaust Condensation Trails by Jet Aircraft. Bull. Am. Meteorol. Soc. 1953, 34, 14–20. [Google Scholar] [CrossRef]
- Schumann, U. On Conditions for Contrail Formation from Aircraft Exhausts. Meteorol. Z. 1996, 5, 4–23. [Google Scholar] [CrossRef]
- Göke, S. Ultra Wet Combustion: An Experimental and Numerical Study. Ph.D. Thesis, TU Berlin, Berlin, Germay, 2012. [Google Scholar]
- DuBois, D.; Paynter, G.C. “Fuel Flow Method2” for Estimating Aircraft Emissions. In SAE Technical Paper Series; Non-Conference Specific Technical Papers–2006; SAE International: Warrendale, PA, USA, 2006. [Google Scholar]
- Baughcum, S.L.; Tritz, T.G.; Henderson, S.C.; Pickett, D.C. Scheduled Civil Aircraft Emission Inventories for 1992: Database Development and Analysis; NASA Contractor Report No. 4700; NASA: Hampton, VA, USA, 1996.
- Lefebvre, A.H. Fuel effects on gas turbine combustion-liner temperature, pattern factor, and pollutant emissions. J. Aircr. 1984, 21, 887–898. [Google Scholar] [CrossRef]
- Odgers, J.; Kretschmer, D. The Prediction of Thermal NOx in Gas Turbines. In Volume 2: Coal, Biomass and Alternative Fuels, Proceedings of the ASME 1985 Beijing International Gas Turbine Symposium and Exposition, Beijing, China, 1–7 September 1985; Combustion and Fuels; American Society of Mechanical Engineers: New York, NY, USA, 1985; ISBN 978-0-7918-7943-6. [Google Scholar]
- GasTurb GmbH. GasTurb 14: Design and Off-Design Performance of Gas Turbines; GasTurb GmbH: Aachen, Germany, 2021. [Google Scholar]
- Kyprianidis, K.G.; Nalianda, D.; Dahlquist, E. A NOx Emissions Correlation for Modern RQL Combustors. Energy Procedia 2015, 75, 2323–2330. [Google Scholar] [CrossRef][Green Version]
- Rizk, N.; Mongia, H. Emissions predictions of different gas turbine combustors. In Proceedings of the 32nd Aerospace Sciences Meeting and Exhibit, Reno, NV, USA, 10–13 January 1994. [Google Scholar]
- Tsalavoutas, A.; Kelaidis, M.; Thoma, N.; Mathioudakis, K. Correlations Adaptation for Optimal Emissions Prediction. In Volume 3: Turbo Expo 2007, Proceedings of the ASME Turbo Expo 2007: Power for Land, Sea, and Air, Montreal, QC, Canada, 14–17 May 2007; ASMEDC: Houston, TX, USA, 2007; pp. 545–555. ISBN 0-7918-4792-6. [Google Scholar]
- Daggett, L.D.; Hendricks, R.C. Water Misting and Injection of Commercial Aircraft Engines to Reduce Airport NOx; Technical Report NASA/CR—2004-212957; National Aeronautics and Space Administration: Seattle, WA, USA, 2004.
- Hiestermann, M.; Konle, M.; de Guillebon, L. Numerical Investigation of the Effect of high Steam Loads on the Combustion of an Academic Premixed Swirl Stabilized Combustor. In Proceedings of the Global Power and Propulsion Society, GPPS-TC-2022-0094, Chania, Zurich, Switzerland, 12–13 January 2022. [Google Scholar]
- ICAO Committee on Aviation Environmental Protection (CAEP). ICAO Aircraft Engine Emissions Databank—Version 28C. Jul. 2021. Available online: https://www.easa.europa.eu/en/domains/environment/icao-aircraft-engine-emissions-databank (accessed on 15 November 2022).
- Schimek, S.; Göke, S.; Paschereit, C. Emission formation of liquid fuel combustion under humidified conditions. In Proceedings of the 51st AIAA Aerospace Sciences Meeting including the New Horizons Forum and Aerospace Exposition, Grapevine, TX, USA, 7–10 January 2013; American Institute of Aeronautics and Astronautics: Reston, VA, USA, 2013. ISBN 978-1-62410-181-6. [Google Scholar]
- Furuhata, T.; Kawata, T.; Mizukoshi, N.; Arai, M. Effect of steam addition pathways on NO reduction characteristics in a can-type spray combustor. Fuel 2010, 89, 3119–3126. [Google Scholar] [CrossRef]
- Hung, W.S.Y. Accurate Method of Predicting the Effect of Humidity or Injected Water on NOx Emissions from Industrial Gas Turbines; ASME Paper 74-WA/GT-6; ASME: New York, NY, USA, 1974. [Google Scholar]
- Touchton, G.L. Influence of Gas Turbine Combustor Design and Operating Parameters on Effectiveness of NOx Suppression by Injected Steam or Water. In 1984 Joint Power Generation Conference: GT Papers, Proceedings of the 1984 Joint Power Generation Conference: GT Papers, Toronto, ON, Canada, 30 September–4 October 1984; American Society of Mechanical Engineers: New York, NY, USA, 1984; ISBN 978-0-7918-7935-1. [Google Scholar]
- Bahr, D.W.; Lyon, T.F. NOx Abatement via Water Injection in Aircraft-Derivative Turbine Engines. In Volume 3: Coal, Biomass and Alternative Fuels; Combustion and Fuels; Oil and Gas Applications; Cycle Innovations, Proceedings of the ASME 1984 International Gas Turbine Conference and Exhibit, Amsterdam, The Netherlands, 4–7 June 1984; American Society of Mechanical Engineers: New York, NY, USA, 1984; ISBN 978-0-7918-7948-1. [Google Scholar]
- Köhler, M.O.; Rädel, G.; Dessens, O.; Shine, K.P.; Rogers, H.L.; Wild, O.; Pyle, J.A. Impact of Perturbations to Nitrogen Oxide Emissions from Global Aviation. J. Geophys. Res. 2008, 113, D11305. [Google Scholar] [CrossRef]
- Rädel, G.; Shine, K.P. Radiative Forcing by Persistent Contrails and its Dependence on Cruise Altitudes. J. Geophys. Res. 2008, 113, D07105. [Google Scholar] [CrossRef]
- Egelhofer, R. Aircraft Design Driven by Climate Change. Ph.D. Thesis, Technische Universität München, München, Germany, 2008. [Google Scholar]
- Shine, K.P.; Fuglestvedt, J.S.; Hailemariam, K.; Stuber, N. Alternatives to the Global Warming Potential for Comparing Climate Impacts of Emissions of Greenhouse Gases. Clim. Chang. 2005, 68, 281–302. [Google Scholar] [CrossRef]







| Parameter | Unit | Value |
|---|---|---|
| Net thrust | kN | 21.0 |
| Fan diameter | m | 2.20 |
| Thrust-specific fuel consumptions (TSFC) | g/kN/s | 12.56 |
| Bypass ratio (BPR) | - | 34.5 |
| Outer fan pressure ratio | - | 1.32 |
| Specific thrust | m/s | 75 |
| Cruise combustor exit temperature T4 (vs. TF2030+) | K | +140 |
| Take-off combustor exit temperature T4 (vs. TF2030+) | K | −100 |
| Fuel-to-air ratio FAR4 (vs. TF2030+) | - | +91% |
| Reference | Offset/Factor | Time | Inlet Temperature | Other Temperature | Pressure | Humidity Correction | Others |
|---|---|---|---|---|---|---|---|
| Lefebvre [36] | |||||||
| Odgers and Kretschmer [37] | |||||||
| GasTurb [38] | |||||||
| Kyprianidis [39] | |||||||
| Rizk and Mongia [40] | |||||||
| Tslavoutas et al. [41] (Equation (16)) | |||||||
| Tslavoutas et al. [41] (Equation (17)) |
| Parameter | vs. TF2030+ |
|---|---|
| −45% | |
| −16% | |
| −84%, −92%, −95% * |
Publisher’s Note: MDPI stays neutral with regard to jurisdictional claims in published maps and institutional affiliations. |
© 2022 by the authors. Licensee MDPI, Basel, Switzerland. This article is an open access article distributed under the terms and conditions of the Creative Commons Attribution (CC BY) license (https://creativecommons.org/licenses/by/4.0/).
Share and Cite
Kaiser, S.; Schmitz, O.; Ziegler, P.; Klingels, H. The Water-Enhanced Turbofan as Enabler for Climate-Neutral Aviation. Appl. Sci. 2022, 12, 12431. https://doi.org/10.3390/app122312431
Kaiser S, Schmitz O, Ziegler P, Klingels H. The Water-Enhanced Turbofan as Enabler for Climate-Neutral Aviation. Applied Sciences. 2022; 12(23):12431. https://doi.org/10.3390/app122312431
Chicago/Turabian StyleKaiser, Sascha, Oliver Schmitz, Paul Ziegler, and Hermann Klingels. 2022. "The Water-Enhanced Turbofan as Enabler for Climate-Neutral Aviation" Applied Sciences 12, no. 23: 12431. https://doi.org/10.3390/app122312431
APA StyleKaiser, S., Schmitz, O., Ziegler, P., & Klingels, H. (2022). The Water-Enhanced Turbofan as Enabler for Climate-Neutral Aviation. Applied Sciences, 12(23), 12431. https://doi.org/10.3390/app122312431

