Mutational Chemotaxis Motion Driven Moth-Flame Optimizer for Engineering Applications
Abstract
1. Introduction
- (1)
- A hybrid-mutation strategy is proposed to enhance the exploration ability of the algorithm and the ability to jump out of the local optimum.
- (2)
- Chemotaxis-motion mechanism is proposed to guide the direction of the population to approach optimal solution and improve the algorithm’s local-exploitation capability.
- (3)
- HMCMMFO can obtain high-quality optimal solutions within the CEC 2017 test functions.
- (4)
- HMCMMFO is applied to five typical engineering cases to solve the constraint problems effectively.
2. The Principle of MFO
| Algorithm 1 Pseudocode of MFO |
| Input: The size of the population, n; the dimensionality of the data, dim; the maximum iterations, Maxit; |
| Output: The position of the best flame; |
| Initialize moth-population positions X; |
| it = 0; |
| while (it < Maxit) do |
| if it == 1 |
| P = sort(Xit); |
| FP = sort(FXit); |
| else |
| P = sort(Xit−1, Xit); |
| FP = sort(FXit−1, FXit); |
| end if |
| Update l according to Equation (7); |
| Update the best flame; |
| for i = 1: size(X,1) do |
| for j = 1: size(X,2) do |
| Update parameters a, t; |
| if i <= l |
| Update X(i,j) according to Equation (6); |
| else |
| Update X(l,j) according to Equation (6); |
| end if |
| end for |
| end for |
| it = it + 1; |
| end while |
| return the best flame |
3. Improvement Methods Based on MFO
3.1. Hybrid Mutation
3.2. Chemotaxis Motion
| Algorithm 2 Pseudocode of HMCMMFO |
| Input: The size of the population, n; the dimensionality of the data, dim; the maximum iterations, Maxit; |
| the inertia constant, ; the chemotaxis-motion-step size, C; |
| Output: The position of the best flame; |
| Initialize moth population positions X; |
| it = 0; |
| while (it < Maxit) do |
| if it == 1 |
| P = sort(Xit); |
| FP = sort(FXit); |
| else |
| P = sort(Xit-1, Xit); |
| FP = sort(FXit-1, FXit); |
| end |
| Update the best flame; |
| for i = 1: size(X,1) do |
| if < 0.5 |
| Update X according to Equation (8); |
| Judge whether X is out of bounds and deal with it; |
| else |
| Generate a random direction vector ; |
| Set k = 1; |
| while (k <= 10) |
| Update Xnew according to Equation (9); |
| If Xnew is out of bounds, the search will jump out of the loop; |
| Calculate the fitness before and after updating X; |
| If the fitness of Xnew is worse than that of X, the search will jump out of the loop, otherwise, it will be copied to X; |
| k = k + 1; |
| end while |
| end if |
| end for |
| Update l according to Equation (7); |
| for i = 1: size(X,1) do |
| for j = 1: size(X,2) do |
| Update parameters a, t; |
| if i <= l |
| Update X(i,j) according to Equation (6); |
| else |
| Update X(l,j) according to Equation (6); |
| end if |
| end for |
| end for |
| it = it + 1; |
| end while |
| return the best flame |
4. Discussion of Experimental Results
4.1. Parameters Sensitivity Analyses
4.1.1. Determination of the Parameter δ
4.1.2. Determination of Chemotaxis Motion Step Size
4.2. Impact of Optimization Strategies on MFO
4.2.1. Comparison between Mechanisms
4.2.2. Balance and Diversity Analysis of HMCMMFO and MFO
4.3. Impact of Optimization Strategies on MFO
4.4. Comparison with Original Algorithms
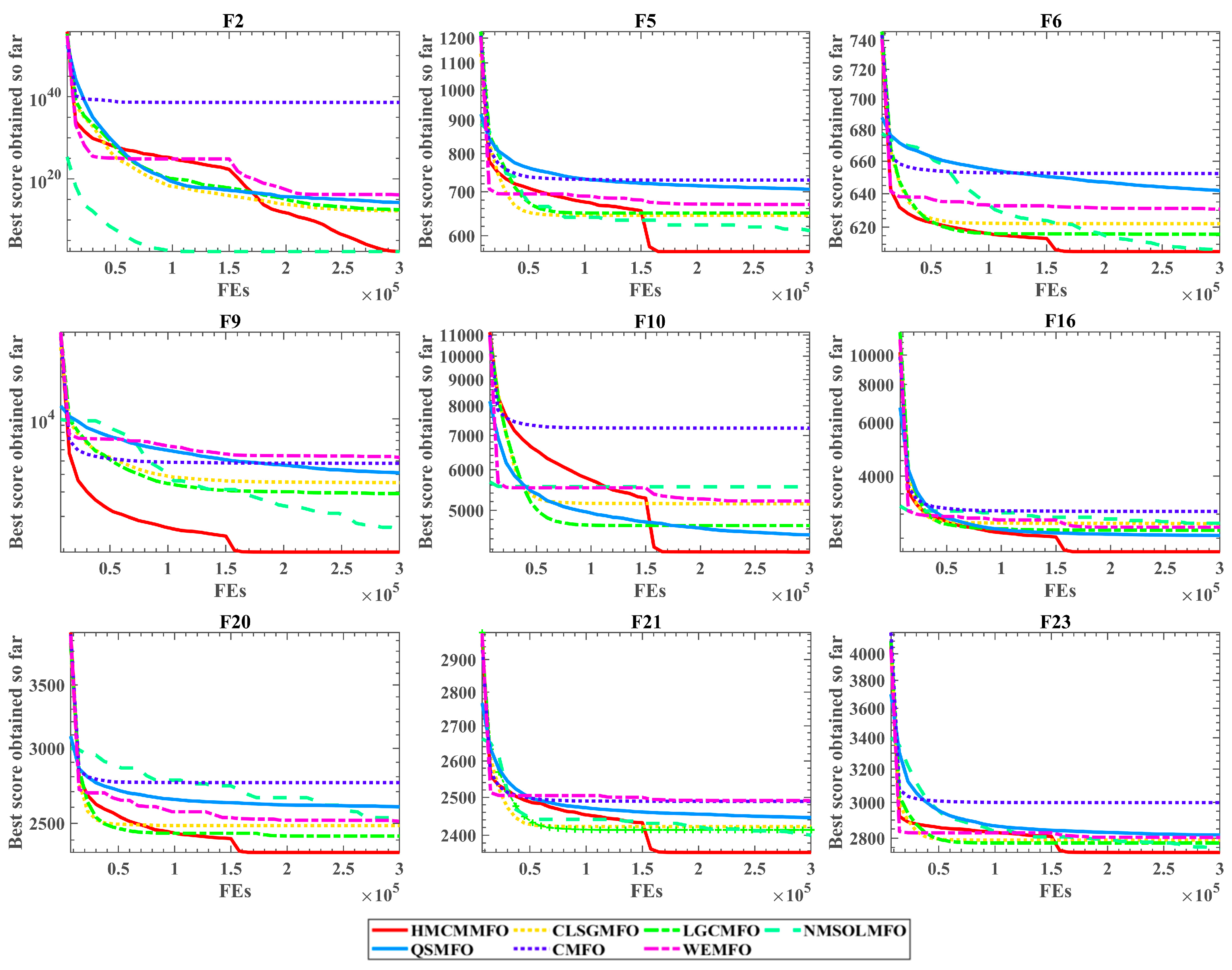
4.5. Comparison with Advanced Algorithms
5. Engineering Design Problems
5.1. Tension-Compression String Problem
5.2. Tension-Compression String Problem
5.3. Pressure Vessel Design Problem
5.4. I-Beam Design Problem
5.5. Speed Reducer Design Problem
6. Conclusions and Future Work
Supplementary Materials
Author Contributions
Funding
Institutional Review Board Statement
Informed Consent Statement
Data Availability Statement
Conflicts of Interest
References
- Cao, B.; Li, M.; Liu, X.; Zhao, J.; Cao, W.; Lv, Z. Many-Objective Deployment Optimization for a Drone-Assisted Camera Network. IEEE Trans. Netw. Sci. Eng. 2021, 8, 2756–2764. [Google Scholar] [CrossRef]
- Cao, B.; Fan, S.; Zhao, J.; Tian, S.; Zheng, Z.; Yan, Y.; Yang, P. Large-scale many-objective deployment optimization of edge servers. IEEE Trans. Intell. Transp. Syst. 2021, 22, 3841–3849. [Google Scholar] [CrossRef]
- Zhang, K.; Wang, Z.; Chen, G.; Zhang, L.; Yang, Y.; Yao, C.; Wang, J.; Yao, J. Training effective deep reinforcement learning agents for real-time life-cycle production optimization. J. Pet. Sci. Eng. 2022, 208, 109766. [Google Scholar] [CrossRef]
- Beheshti, Z.; Shamsuddin, S.M.H. A review of population-based meta-heuristic algorithms. Int. J. Adv. Soft Comput. Appl. 2013, 5, 1–35. [Google Scholar]
- Li, W.K.; Wang, W.L.; Li, L. Optimization of water resources utilization by multi-objective moth-flame algorithm. Water Resour. Manag. 2018, 32, 3303–3316. [Google Scholar] [CrossRef]
- Al-Shourbaji, I.; Zogaan, W. A new method for human resource allocation in cloud-based e-commerce using a meta-heuristic algorithm. Kybernetes 2021, 51, 2109–2126. [Google Scholar] [CrossRef]
- Adhikari, M.; Nandy, S.; Amgoth, T. Meta heuristic-based task deployment mechanism for load balancing in IaaS cloud. J. Netw. Comput. Appl. 2019, 128, 64–77. [Google Scholar] [CrossRef]
- Fahimnia, B.; Davarzani, H.; Eshragh, A. Planning of complex supply chains: A performance comparison of three meta-heuristic algorithms. Comput. Oper. Res. 2018, 89, 241–252. [Google Scholar] [CrossRef]
- Chen, H.; Li, S. Multi-Sensor Fusion by CWT-PARAFAC-IPSO-SVM for Intelligent Mechanical Fault Diagnosis. Sensors 2022, 22, 3647. [Google Scholar] [CrossRef]
- Cao, B.; Gu, Y.; Lv, Z.; Yang, S.; Zhao, J.; Li, Y. RFID Reader Anticollision Based on Distributed Parallel Particle Swarm Optimization. IEEE Internet Things J. 2021, 8, 3099–3107. [Google Scholar] [CrossRef]
- Sun, G.; Li, C.; Deng, L. An adaptive regeneration framework based on search space adjustment for differential evolution. Neural Comput. Appl. 2021, 33, 9503–9519. [Google Scholar] [CrossRef]
- Zhu, B.; Zhong, Q.; Chen, Y.; Liao, S.; Li, Z.; Shi, K.; Sotelo, M.A. A Novel Reconstruction Method for Temperature Distribution Measurement Based on Ultrasonic Tomography. IEEE Trans. Ultrason. Ferroelectr. Freq. Control 2022, 69, 2352–2370. [Google Scholar] [CrossRef]
- Ahmadianfar, I.; Heidari, A.A.; Gandomi, A.H.; Chu, X.; Chen, H. RUN beyond the metaphor: An efficient optimization algorithm based on Runge Kutta method. Expert Syst. Appl. 2021, 181, 115079. [Google Scholar] [CrossRef]
- Yang, Y.; Chen, H.; Heidari, A.A.; Gandomi, A.H. Hunger games search: Visions, conception, implementation, deep analysis, perspectives, and towards performance shifts. Expert Syst. Appl. 2021, 177, 114864. [Google Scholar] [CrossRef]
- Li, S.; Chen, H.; Wang, M.; Heidari, A.A.; Mirjalili, S. Slime mould algorithm: A new method for stochastic optimization. Future Gener. Comput. Syst. 2020, 111, 300–323. [Google Scholar] [CrossRef]
- Heidari, A.A.; Mirjalili, S.; Faris, H.; Aljarah, I.; Mafarja, M.; Chen, H. Harris hawks optimization: Algorithm and applications. Future Gener. Comput. Syst. 2019, 97, 849–872. [Google Scholar] [CrossRef]
- Tu, J.; Chen, H.; Wang, M.; Gandomi, A.H. The Colony Predation Algorithm. J. Bionic Eng. 2021, 18, 674–710. [Google Scholar] [CrossRef]
- Ahmadianfar, I.; Asghar Heidari, A.; Noshadian, S.; Chen, H.; Gandomi, A.H. INFO: An Efficient Optimization Algorithm based on Weighted Mean of Vectors. Expert Syst. Appl. 2022, 195, 116516. [Google Scholar] [CrossRef]
- Dhiman, G.; Kumar, V. Seagull optimization algorithm: Theory and its applications for large-scale industrial engineering problems. Knowl.-Based Syst. 2019, 165, 169–196. [Google Scholar] [CrossRef]
- Hussien, A.G.; Heidari, A.A.; Ye, X.; Liang, G.; Chen, H.; Pan, Z. Boosting whale optimization with evolution strategy and Gaussian random walks: An image segmentation method. Eng. Comput. 2022, 1–45. [Google Scholar] [CrossRef]
- Yu, H.; Song, J.; Chen, C.; Heidari, A.A.; Liu, J.; Chen, H.; Zaguia, A.; Mafarja, M. Image segmentation of Leaf Spot Diseases on Maize using multi-stage Cauchy-enabled grey wolf algorithm. Eng. Appl. Artif. Intell. 2022, 109, 104653. [Google Scholar] [CrossRef]
- Deng, W.; Xu, J.; Gao, X.Z.; Zhao, H. An Enhanced MSIQDE Algorithm With Novel Multiple Strategies for Global Optimization Problems. IEEE Trans. Syst. Man Cybern. Syst. 2022, 52, 1578–1587. [Google Scholar] [CrossRef]
- Hu, J.; Gui, W.; Heidari, A.A.; Cai, Z.; Liang, G.; Chen, H.; Pan, Z. Dispersed foraging slime mould algorithm: Continuous and binary variants for global optimization and wrapper-based feature selection. Knowl.-Based Syst. 2022, 237, 107761. [Google Scholar] [CrossRef]
- Liu, Y.; Heidari, A.A.; Cai, Z.; Liang, G.; Chen, H.; Pan, Z.; Alsufyani, A.; Bourouis, S. Simulated annealing-based dynamic step shuffled frog leaping algorithm: Optimal performance design and feature selection. Neurocomputing 2022, 503, 325–362. [Google Scholar] [CrossRef]
- Deng, W.; Ni, H.; Liu, Y.; Chen, H.; Zhao, H. An adaptive differential evolution algorithm based on belief space and generalized opposition-based learning for resource allocation. Appl. Soft Comput. 2022, 127, 109419. [Google Scholar] [CrossRef]
- Wang, M.; Chen, H.; Yang, B.; Zhao, X.; Hu, L.; Cai, Z.; Huang, H.; Tong, C. Toward an optimal kernel extreme learning machine using a chaotic moth-flame optimization strategy with applications in medical diagnoses. Neurocomputing 2017, 267, 69–84. [Google Scholar] [CrossRef]
- Chen, H.-L.; Wang, G.; Ma, C.; Cai, Z.-N.; Liu, W.-B.; Wang, S.-J. An efficient hybrid kernel extreme learning machine approach for early diagnosis of Parkinson’s disease. Neurocomputing 2016, 184, 131–144. [Google Scholar] [CrossRef]
- Xu, Y.; Chen, H.; Heidari, A.A.; Luo, J.; Zhang, Q.; Zhao, X.; Li, C. An Efficient Chaotic Mutative Moth-flame-inspired Optimizer for Global Optimization Tasks. Expert Syst. Appl. 2019, 129, 135–155. [Google Scholar] [CrossRef]
- Zhang, Y.; Liu, R.; Heidari, A.A.; Wang, X.; Chen, Y.; Wang, M.; Chen, H. Towards augmented kernel extreme learning models for bankruptcy prediction: Algorithmic behavior and comprehensive analysis. Neurocomputing 2021, 430, 185–212. [Google Scholar] [CrossRef]
- Deng, W.; Xu, J.; Zhao, H.; Song, Y. A Novel Gate Resource Allocation Method Using Improved PSO-Based QEA. IEEE Trans. Intell. Transp. Syst. 2020, 23, 1737–1745. [Google Scholar] [CrossRef]
- Deng, W.; Xu, J.; Song, Y.; Zhao, H. An Effective Improved Co-evolution Ant Colony Optimization Algorithm with Multi-Strategies and Its Application. Int. J. Bio-Inspired Comput. 2020, 16, 158–170. [Google Scholar] [CrossRef]
- Yu, H.; Yuan, K.; Li, W.; Zhao, N.; Chen, W.; Huang, C.; Chen, H.; Wang, M. Improved Butterfly Optimizer-Configured Extreme Learning Machine for Fault Diagnosis. Complexity 2021, 2021, 6315010. [Google Scholar] [CrossRef]
- Deng, W.; Zhang, L.; Zhou, X.; Zhou, Y.; Sun, Y.; Zhu, W.; Chen, H.; Deng, W.; Chen, H.; Zhao, H. Multi-strategy particle swarm and ant colony hybrid optimization for airport taxiway planning problem. Inf. Sci. 2022, 612, 576–593. [Google Scholar] [CrossRef]
- Song, Y.; Cai, X.; Zhou, X.; Zhang, B.; Chen, H.; Li, Y.; Deng, W.; Deng, W. Dynamic hybrid mechanism-based differential evolution algorithm and its application. Expert Syst. Appl. 2023, 213, 118834. [Google Scholar] [CrossRef]
- Deng, W.; Zhang, X.; Zhou, Y.; Liu, Y.; Zhou, X.; Chen, H.; Zhao, H. An enhanced fast non-dominated solution sorting genetic algorithm for multi-objective problems. Inf. Sci. 2022, 585, 441–453. [Google Scholar] [CrossRef]
- Hua, Y.; Liu, Q.; Hao, K.; Jin, Y. A Survey of Evolutionary Algorithms for Multi-Objective Optimization Problems With Irregular Pareto Fronts. IEEE/CAA J. Autom. Sin. 2021, 8, 303–318. [Google Scholar] [CrossRef]
- Han, X.; Han, Y.; Chen, Q.; Li, J.; Sang, H.; Liu, Y.; Pan, Q.; Nojima, Y. Distributed Flow Shop Scheduling with Sequence-Dependent Setup Times Using an Improved Iterated Greedy Algorithm. Complex Syst. Modeling Simul. 2021, 1, 198–217. [Google Scholar] [CrossRef]
- Gao, D.; Wang, G.-G.; Pedrycz, W. Solving fuzzy job-shop scheduling problem using DE algorithm improved by a selection mechanism. IEEE Trans. Fuzzy Syst. 2020, 28, 3265–3275. [Google Scholar] [CrossRef]
- Wang, G.-G.; Gao, D.; Pedrycz, W. Solving multi-objective fuzzy job-shop scheduling problem by a hybrid adaptive differential evolution algorithm. IEEE Trans. Ind. Inform. 2022, 18, 8519–8528. [Google Scholar] [CrossRef]
- Ye, X.; Liu, W.; Li, H.; Wang, M.; Chi, C.; Liang, G.; Chen, H.; Huang, H. Modified Whale Optimization Algorithm for Solar Cell and PV Module Parameter Identification. Complexity 2021, 2021, 8878686. [Google Scholar] [CrossRef]
- Mirjalili, S. Moth-flame optimization algorithm: A novel nature-inspired heuristic paradigm. Knowl.-Based Syst. 2015, 89, 228–249. [Google Scholar] [CrossRef]
- Yang, L.; Nguyen, H.; Bui, X.-N.; Nguyen-Thoi, T.; Zhou, J.; Huang, J. Prediction of gas yield generated by energy recovery from municipal solid waste using deep neural network and moth-flame optimization algorithm. J. Clean. Prod. 2021, 311, 127672. [Google Scholar] [CrossRef]
- Jiao, S.; Chong, G.; Huang, C.; Hu, H.; Wang, M.; Heidari, A.A.; Chen, H.; Zhao, X.J.E. Orthogonally adapted Harris hawks optimization for parameter estimation of photovoltaic models. Energy 2020, 203, 117804. [Google Scholar] [CrossRef]
- Singh, P.; Prakash, S. Optical network unit placement in Fiber-Wireless (FiWi) access network by Moth-Flame optimization algorithm. Opt. Fiber Technol. 2017, 36, 403–411. [Google Scholar] [CrossRef]
- Said, S.; Mostafa, A.; Houssein, E.H.; Hassanien, A.E.; Hefny, H. Moth-flame optimization based segmentation for MRI liver images. In Proceedings of the International Conference on Advanced Intelligent Systems and Informatics 2017, Cairo, Egypt, 9–11 September 2017. [Google Scholar]
- Yamany, W.; Fawzy, M.; Tharwat, A.; Hassanien, A.E. Moth-flame optimization for training multi-layer perceptrons. In Proceedings of the 2015 11th International Computer Engineering Conference (ICENCO), Cairo, Egypt, 29–30 December 2015. [Google Scholar]
- Hassanien, A.E.; Gaber, T.; Mokhtar, U.; Hefny, H. An improved moth flame optimization algorithm based on rough sets for tomato diseases detection. Comput. Electron. Agric. 2017, 136, 86–96. [Google Scholar] [CrossRef]
- Allam, D.; Yousri, D.; Eteiba, M. Parameters extraction of the three diode model for the multi-crystalline solar cell/module using Moth-Flame Optimization Algorithm. Energy Convers. Manag. 2016, 123, 535–548. [Google Scholar] [CrossRef]
- Singh, T.; Saxena, N.; Khurana, M.; Singh, D.; Abdalla, M.; Alshazly, H. Data clustering using moth-flame optimization algorithm. Sensors 2021, 21, 4086. [Google Scholar] [CrossRef]
- Kaur, K.; Singh, U.; Salgotra, R. An enhanced moth flame optimization. Neural Comput. Appl. 2020, 32, 2315–2349. [Google Scholar] [CrossRef]
- Yu, C.; Heidari, A.A.; Chen, H. A quantum-behaved simulated annealing algorithm-based moth-flame optimization method. Appl. Math. Model. 2020, 87, 1–19. [Google Scholar] [CrossRef]
- Ma, L.; Wang, C.; Xie, N.-g.; Shi, M.; Ye, Y.; Wang, L. Moth-flame optimization algorithm based on diversity and mutation strategy. Appl. Intell. 2021, 51, 5836–5872. [Google Scholar] [CrossRef]
- Pelusi, D.; Mascella, R.; Tallini, L.; Nayak, J.; Naik, B.; Deng, Y. An Improved Moth-Flame Optimization algorithm with hybrid search phase. Knowl.-Based Syst. 2020, 191, 105277. [Google Scholar] [CrossRef]
- Li, Z.; Zeng, J.; Chen, Y.; Ma, G.; Liu, G. Death mechanism-based moth–flame optimization with improved flame generation mechanism for global optimization tasks. Expert Syst. Appl. 2021, 183, 115436. [Google Scholar] [CrossRef]
- Li, C.; Niu, Z.; Song, Z.; Li, B.; Fan, J.; Liu, P.X. A double evolutionary learning moth-flame optimization for real-parameter global optimization problems. IEEE Access 2018, 6, 76700–76727. [Google Scholar] [CrossRef]
- Hongwei, L.; Jianyong, L.; Liang, C.; Jingbo, B.; Yangyang, S.; Kai, L. Chaos-enhanced moth-flame optimization algorithm for global optimization. J. Syst. Eng. Electron. 2019, 30, 1144–1159. [Google Scholar]
- Xu, L.; Li, Y.; Li, K.; Beng, G.H.; Jiang, Z.; Wang, C.; Liu, N. Enhanced moth-flame optimization based on cultural learning and Gaussian mutation. J. Bionic Eng. 2018, 15, 751–763. [Google Scholar] [CrossRef]
- Sapre, S.; Mini, S. Opposition-based moth flame optimization with Cauchy mutation and evolutionary boundary constraint handling for global optimization. Soft Comput. 2019, 23, 6023–6041. [Google Scholar] [CrossRef]
- Lan, K.-T.; Lan, C.-H. Notes on the distinction of Gaussian and Cauchy mutations. In Proceedings of the 2008 Eighth International Conference on Intelligent Systems Design and Applications, Kaohsiung, Taiwan, 26–28 November 2008. [Google Scholar]
- Taneja, I.; Reddy, B.; Damhorst, G.; Dave Zhao, S.; Hassan, U.; Price, Z.; Jensen, T.; Ghonge, T.; Patel, M.; Wachspress, S.; et al. Combining Biomarkers with EMR Data to Identify Patients in Different Phases of Sepsis. Sci. Rep. 2017, 7, 1–12. [Google Scholar]
- Passino, K.M. Biomimicry of bacterial foraging for distributed optimization and control. IEEE Control Syst. Mag. 2002, 22, 52–67. [Google Scholar]
- Zheng, W.; Xun, Y.; Wu, X.; Deng, Z.; Chen, X.; Sui, Y. A Comparative Study of Class Rebalancing Methods for Security Bug Report Classification. IEEE Trans. Reliab. 2021, 70, 1658–1670. [Google Scholar] [CrossRef]
- Dang, W.; Guo, J.; Liu, M.; Liu, S.; Yang, B.; Yin, L.; Zheng, W. A Semi-Supervised Extreme Learning Machine Algorithm Based on the New Weighted Kernel for Machine Smell. Appl. Sci. 2022, 12, 9213. [Google Scholar] [CrossRef]
- Lu, S.; Guo, J.; Liu, S.; Yang, B.; Liu, M.; Yin, L.; Zheng, W. An Improved Algorithm of Drift Compensation for Olfactory Sensors. Appl. Sci. 2022, 12, 9529. [Google Scholar] [CrossRef]
- Zhong, T.; Cheng, M.; Lu, S.; Dong, X.; Li, Y. RCEN: A Deep-Learning-Based Background Noise Suppression Method for DAS-VSP Records. IEEE Geosci. Remote Sens. Lett. 2021, 19, 1–5. [Google Scholar] [CrossRef]
- Xu, Y.; Chen, H.; Luo, J.; Zhang, Q.; Jiao, S.; Zhang, X. Enhanced Moth-flame optimizer with mutation strategy for global optimization. Inf. Sci. 2019, 492, 181–203. [Google Scholar] [CrossRef]
- Zhang, H.; Heidari, A.A.; Wang, M.; Zhang, L.; Chen, H.; Li, C. Orthogonal Nelder-Mead moth flame method for parameters identification of photovoltaic modules. Energy Convers. Manag. 2020, 211, 112764. [Google Scholar] [CrossRef]
- Shan, W.; Qiao, Z.; Heidari, A.A.; Chen, H.; Turabieh, H.; Teng, Y. Double adaptive weights for stabilization of moth flame optimizer: Balance analysis, engineering cases, and medical diagnosis. Knowl.-Based Syst. 2021, 214, 106728. [Google Scholar] [CrossRef]
- Mirjalili, S. SCA: A Sine Cosine Algorithm for solving optimization problems. Knowl.-Based Syst. 2016, 96, 120–133. [Google Scholar] [CrossRef]
- Yang, X.-S. Firefly algorithms for multimodal optimization. In Proceedings of the International Symposium on Stochastic Algorithms, Sapporo, Japan, 26–28 October 2009. [Google Scholar]
- Mirjalili, S.; Lewis, A. The whale optimization algorithm. Adv. Eng. Softw. 2016, 95, 51–67. [Google Scholar] [CrossRef]
- Saremi, S.; Mirjalili, S.; Lewis, A. Grasshopper optimisation algorithm: Theory and application. Adv. Eng. Softw. 2017, 105, 30–47. [Google Scholar] [CrossRef]
- Mirjalili, S.; Mirjalili, S.M.; Lewis, A. Grey wolf optimizer. Adv. Eng. Softw. 2014, 69, 46–61. [Google Scholar] [CrossRef]
- Nobile, M.S.; Cazzaniga, P.; Besozzi, D.; Colombo, R.; Mauri, G.; Pasi, G. Fuzzy Self-Tuning PSO: A settings-free algorithm for global optimization. Swarm Evol. Comput. 2018, 39, 70–85. [Google Scholar] [CrossRef]
- Chen, W.-N.; Zhang, J.; Lin, Y.; Chen, N.; Zhan, Z.-H.; Chung, H.S.-H.; Li, Y.; Shi, Y.-H. Particle swarm optimization with an aging leader and challengers. IEEE Trans. Evol. Comput. 2012, 17, 241–258. [Google Scholar] [CrossRef]
- Yong, J.; He, F.; Li, H.; Zhou, W. A novel bat algorithm based on collaborative and dynamic learning of opposite population. In Proceedings of the 2018 IEEE 22nd International Conference on Computer Supported Cooperative Work in Design (CSCWD), Nanjing, China, 9–11 May 2018. [Google Scholar]
- Fan, Y.; Wang, P.; Mafarja, M.; Wang, M.; Zhao, X.; Chen, H. A bioinformatic variant fruit fly optimizer for tackling optimization problems. Knowl.-Based Syst. 2021, 213, 106704. [Google Scholar] [CrossRef]
- Nenavath, H.; Jatoth, R.K. Hybridizing sine cosine algorithm with differential evolution for global optimization and object tracking. Appl. Soft Comput. 2018, 62, 1019–1043. [Google Scholar] [CrossRef]
- Jia, D.; Zheng, G.; Qu, B.; Khan, M.K. A hybrid particle swarm optimization algorithm for high-dimensional problems. Comput. Ind. Eng. 2011, 61, 1117–1122. [Google Scholar] [CrossRef]
- Heidari, A.A.; Abbaspour, R.A.; Chen, H. Efficient boosted grey wolf optimizers for global search and kernel extreme learning machine training. Appl. Soft Comput. 2019, 81, 105521. [Google Scholar] [CrossRef]
- Tu, J.; Chen, H.; Liu, J.; Heidari, A.A.; Zhang, X.; Wang, M.; Ruby, R.; Pham, Q.-V. Evolutionary biogeography-based whale optimization methods with communication structure: Towards measuring the balance. Knowl.-Based Syst. 2021, 212, 106642. [Google Scholar] [CrossRef]
- Yu, H.; Qiao, S.; Heidari, A.A.; Bi, C.; Chen, H. Individual Disturbance and Attraction Repulsion Strategy Enhanced Seagull Optimization for Engineering Design. Mathematics 2022, 10, 276. [Google Scholar] [CrossRef]
- Mahdavi, M.; Fesanghary, M.; Damangir, E. An improved harmony search algorithm for solving optimization problems. Appl. Math. Comput. 2007, 188, 1567–1579. [Google Scholar] [CrossRef]
- Kaveh, A.; Khayatazad, M. A new meta-heuristic method: Ray optimization. Comput. Struct. 2012, 112, 283–294. [Google Scholar] [CrossRef]
- Mezura-Montes, E.; Coello, C.A.C. An empirical study about the usefulness of evolution strategies to solve constrained optimization problems. Int. J. Gen. Syst. 2008, 37, 443–473. [Google Scholar] [CrossRef]
- Rashedi, E.; Nezamabadi-Pour, H.; Saryazdi, S. GSA: A gravitational search algorithm. Inf. Sci. 2009, 179, 2232–2248. [Google Scholar] [CrossRef]
- Belegundu, A.D.; Arora, J.S. A study of mathematical programming methods for structural optimization. Part I: Theory. Int. J. Numer. Methods Eng. 1985, 21, 1583–1599. [Google Scholar] [CrossRef]
- Mirjalili, S.; Gandomi, A.H.; Mirjalili, S.Z.; Saremi, S.; Faris, H.; Mirjalili, S.M. Salp Swarm Algorithm: A bio-inspired optimizer for engineering design problems. Adv. Eng. Softw. 2017, 114, 163–191. [Google Scholar] [CrossRef]
- Wang, G.; Heidari, A.A.; Wang, M.; Kuang, F.; Zhu, W.; Chen, H. Chaotic arc adaptive grasshopper optimization. IEEE Access 2021, 9, 17672–17706. [Google Scholar] [CrossRef]
- Sadollah, A.; Bahreininejad, A.; Eskandar, H.; Hamdi, M. Mine blast algorithm: A new population based algorithm for solving constrained engineering optimization problems. Appl. Soft Comput. 2013, 13, 2592–2612. [Google Scholar] [CrossRef]
- Huang, H.; Heidari, A.A.; Xu, Y.; Wang, M.; Liang, G.; Chen, H.; Cai, X. Rationalized Sine Cosine Optimization With Efficient Searching Patterns. IEEE Access 2020, 8, 61471–61490. [Google Scholar] [CrossRef]
- Gandomi, A.H.; Yang, X.-S.; Alavi, A.H. Cuckoo search algorithm: A metaheuristic approach to solve structural optimization problems. Eng. Comput. 2013, 29, 17–35. [Google Scholar] [CrossRef]
- Pan, W.-T. A new Fruit Fly Optimization Algorithm: Taking the financial distress model as an example. Knowl.-Based Syst. 2012, 26, 69–74. [Google Scholar] [CrossRef]
- Gandomi, A.H.; Yang, X.-S. Chaotic bat algorithm. J. Comput. Sci. 2014, 5, 224–232. [Google Scholar] [CrossRef]
- dos Santos Coelho, L. Gaussian quantum-behaved particle swarm optimization approaches for constrained engineering design problems. Expert Syst. Appl. 2010, 37, 1676–1683. [Google Scholar] [CrossRef]
- Huang, F.-z.; Wang, L.; He, Q. An effective co-evolutionary differential evolution for constrained optimization. Appl. Math. Comput. 2007, 186, 340–356. [Google Scholar] [CrossRef]
- Sandgren, E. Nonlinear integer and discrete programming in mechanical design. In Proceedings of the International Design Engineering Technical Conferences and Computers and Information in Engineering Conference, Kissimmee, FL, USA, 25–28 September 1988. [Google Scholar]
- Cheng, M.-Y.; Prayogo, D. Symbiotic organisms search: A new metaheuristic optimization algorithm. Comput. Struct. 2014, 139, 98–112. [Google Scholar] [CrossRef]
- Wang, G.G. Adaptive response surface method using inherited latin hypercube design points. J. Mech. Des. 2003, 125, 210–220. [Google Scholar] [CrossRef]
- Kennedy, J.; Eberhart, R. Particle swarm optimization. In Proceedings of the ICNN’95-International Conference on Neural Networks, Perth, WA, Australia, 27 November–1 December 1995; pp. 1942–1948. [Google Scholar]
- Li, J.; Chen, C.; Chen, H.; Tong, C. Towards Context-aware Social Recommendation via Individual Trust. Knowl.-Based Syst. 2017, 127, 58–66. [Google Scholar] [CrossRef]
- Li, J.; Zheng, X.-L.; Chen, S.-T.; Song, W.-W.; Chen, D.-r. An efficient and reliable approach for quality-of-service-aware service composition. Inf. Sci. 2014, 269, 238–254. [Google Scholar] [CrossRef]
- Cao, X.; Wang, J.; Zeng, B. A Study on the Strong Duality of Second-Order Conic Relaxation of AC Optimal Power Flow in Radial Networks. IEEE Trans. Power Syst. 2022, 37, 443–455. [Google Scholar] [CrossRef]
- Wu, Z.; Li, G.; Shen, S.; Cui, Z.; Lian, X.; Xu, G. Constructing dummy query sequences to protect location privacy and query privacy in location-based services. World Wide Web 2021, 24, 25–49. [Google Scholar] [CrossRef]
- Wu, Z.; Wang, R.; Li, Q.; Lian, X.; Xu, G. A location privacy-preserving system based on query range cover-up for location-based services. IEEE Trans. Veh. Technol. 2020, 69, 5244–5254. [Google Scholar] [CrossRef]
- Huang, L.; Yang, Y.; Chen, H.; Zhang, Y.; Wang, Z.; He, L. Context-aware road travel time estimation by coupled tensor decomposition based on trajectory data. Knowl.-Based Syst. 2022, 245, 108596. [Google Scholar] [CrossRef]
- Qiu, S.; Zhao, H.; Jiang, N.; Wang, Z.; Liu, L.; An, Y.; Zhao, H.; Miao, X.; Liu, R.; Fortino, G. Multi-sensor information fusion based on machine learning for real applications in human activity recognition: State-of-the-art and research challenges. Inf. Fusion 2022, 80, 241–265. [Google Scholar] [CrossRef]
- Wu, Z.; Li, R.; Xie, J.; Zhou, Z.; Guo, J.; Xu, X. A user sensitive subject protection approach for book search service. J. Assoc. Inf. Sci. Technol. 2020, 71, 183–195. [Google Scholar] [CrossRef]
- Wu, Z.; Shen, S.; Zhou, H.; Li, H.; Lu, C.; Zou, D. An effective approach for the protection of user commodity viewing privacy in e-commerce website. Knowl.-Based Syst. 2021, 220, 106952. [Google Scholar] [CrossRef]
- Zhang, X.; Zheng, J.; Wang, D.; Zhao, L. Exemplar-Based Denoising: A Unified Low-Rank Recovery Framework. IEEE Trans. Circuits Syst. Video Technol. 2020, 30, 2538–2549. [Google Scholar] [CrossRef]
- Hu, K.; Zhao, L.; Feng, S.; Zhang, S.; Zhou, Q.; Gao, X.; Guo, Y. Colorectal polyp region extraction using saliency detection network with neutrosophic enhancement. Comput. Biol. Med. 2022, 147, 105760. [Google Scholar] [CrossRef] [PubMed]






| No. | Functions | Bound | F (min) |
|---|---|---|---|
| F1 | Shifted and Rotated Bent Cigar Function | [−100,100] | 100 |
| F2 | Shifted and Rotated Sum of Different Power Function | [−100,100] | 200 |
| F3 | Shifted and Rotated Zakharov Function | [−100,100] | 300 |
| F4 | Shifted and Rotated Rosenbrock’s Function | [−100,100] | 400 |
| F5 | Shifted and Rotated Rastrigin’s Function | [−100,100] | 500 |
| F6 | Shifted and Rotated Expanded Scaffer’s F6 Function | [−100,100] | 600 |
| F7 | Shifted and Rotated Lunacek Bi_Rastrigin Function | [−100,100] | 700 |
| F8 | Shifted and Rotated Non-Continuous Rastrigin’s Function | [−100,100] | 800 |
| F9 | Shifted and Rotated Levy Function | [−100,100] | 900 |
| F10 | Shifted and Rotated Schwefel’s Function | [−100,100] | 1000 |
| F11 | Hybrid Function1 (N = 3) | [−100,100] | 1100 |
| F12 | Hybrid Function2 (N = 3) | [−100,100] | 1200 |
| F13 | Hybrid Function3 (N = 3) | [−100,100] | 1300 |
| F14 | Hybrid Function4 (N = 4) | [−100,100] | 1400 |
| F15 | Hybrid Function5 (N = 4) | [−100,100] | 1500 |
| F16 | Hybrid Function6 (N = 4) | [−100,100] | 1600 |
| F17 | Hybrid Function6 (N = 5) | [−100,100] | 1700 |
| F18 | Hybrid Function6 (N = 5) | [−100,100] | 1800 |
| F19 | Hybrid Function6 (N = 5) | [−100,100] | 1900 |
| F20 | Hybrid Function6 (N = 6) | [−100,100] | 2000 |
| F21 | Composition function1 (N = 3) | [−100,100] | 2100 |
| F22 | Composition function2 (N = 3) | [−100,100] | 2200 |
| F23 | Composition function3 (N = 4) | [−100,100] | 2300 |
| F24 | Composition function4 (N = 4) | [−100,100] | 2400 |
| F25 | Composition function5 (N = 5) | [−100,100] | 2500 |
| F26 | Composition function6 (N = 5) | [−100,100] | 2600 |
| F27 | Composition function7 (N = 6) | [−100,100] | 2700 |
| F28 | Composition function8 (N = 6) | [−100,100] | 2800 |
| F29 | Composition function9 (N = 3) | [−100,100] | 2900 |
| F30 | Composition function10 (N = 3) | [−100,100] | 3000 |
| F1 | F2 | F3 | ||||
| AVG | STD | AVG | STD | AVG | STD | |
| 7.99653 × 103 | 8.11122 × 103 | 2.02180 × 102 | 7.97128 × 100 | 3.00001 × 102 | 1.60450 × 10−3 | |
| 8.21015 × 103 | 8.27410 × 103 | 2.02389 × 102 | 9.48917 × 100 | 3.00002 × 102 | 5.03969 × 10−3 | |
| 7.07403 × 103 | 7.66029 × 103 | 2.04935 × 102 | 1.10703 × 101 | 3.00011 × 102 | 3.91913 × 10−2 | |
| 9.21663 × 103 | 8.31977 × 103 | 2.13036 × 102 | 1.76469 × 101 | 3.00009 × 102 | 1.75611 × 10−2 | |
| 8.96503 × 103 | 8.71510 × 103 | 2.12881 × 102 | 4.39056 × 101 | 3.00014 × 102 | 3.99256 × 10−2 | |
| 8.95832 × 103 | 8.56015 × 103 | 2.62513 × 102 | 2.31404 × 102 | 3.00007 × 102 | 1.37536 × 10−2 | |
| 7.85556 × 103 | 7.53276 × 103 | 2.57079 × 102 | 1.95675 × 102 | 3.00026 × 102 | 4.89904 × 10−2 | |
| 9.56777 × 103 | 8.42754 × 103 | 2.20087 × 102 | 3.05948 × 101 | 3.00038 × 102 | 8.48057 × 10−2 | |
| 7.74946 × 103 | 7.93181 × 103 | 2.94503 × 102 | 4.64133 × 102 | 3.00013 × 102 | 3.65740 × 10−2 | |
| F4 | F5 | F6 | ||||
| AVG | STD | AVG | STD | AVG | STD | |
| 4.79600 × 102 | 2.19971 × 101 | 5.65883 × 102 | 1.30092 × 101 | 6.02914 × 102 | 1.43321 × 100 | |
| 4.83789 × 102 | 1.85106 × 101 | 5.69532 × 102 | 1.49643 × 101 | 6.04265 × 102 | 1.61646 × 100 | |
| 4.77139 × 102 | 2.38766 × 101 | 5.66750 × 102 | 1.47806 × 101 | 6.05051 × 102 | 1.54771 × 100 | |
| 4.80376 × 102 | 2.07554 × 101 | 5.65549 × 102 | 1.42534 × 101 | 6.06653 × 102 | 1.87038 × 100 | |
| 4.79813 × 102 | 1.57313 × 101 | 5.66377 × 102 | 1.65492 × 101 | 6.07038 × 102 | 3.01397 × 100 | |
| 4.76710 × 102 | 2.31167 × 101 | 5.67587 × 102 | 1.49385 × 101 | 6.08589 × 102 | 2.22007 × 100 | |
| 4.81896 × 102 | 1.71013 × 101 | 5.72513 × 102 | 2.07946 × 101 | 6.08187 × 102 | 2.06391 × 100 | |
| 4.82687 × 102 | 1.68842 × 101 | 5.70935 × 102 | 1.73829 × 101 | 6.08702 × 102 | 2.86039 × 100 | |
| 4.83429 × 102 | 1.40439 × 101 | 5.74763 × 102 | 1.63916 × 101 | 6.09976 × 102 | 2.59386 × 100 | |
| F7 | F8 | F9 | ||||
| AVG | STD | AVG | STD | AVG | STD | |
| 8.08829 × 102 | 1.93631 × 101 | 8.66175 × 102 | 1.65266 × 101 | 1.02209 × 103 | 1.18813 × 102 | |
| 8.11975 × 102 | 1.93645 × 101 | 8.61202 × 102 | 1.37233 × 101 | 1.05695 × 103 | 1.12437 × 102 | |
| 8.13853 × 102 | 1.83122 × 101 | 8.65252 × 102 | 1.79224 × 101 | 1.08753 × 103 | 7.73680 × 101 | |
| 8.24653 × 102 | 2.40904 × 101 | 8.61151 × 102 | 1.08887 × 101 | 1.12094 × 103 | 1.05606 × 102 | |
| 8.23326 × 102 | 1.95622 × 101 | 8.64910 × 102 | 1.22870 × 101 | 1.19348 × 103 | 1.21825 × 102 | |
| 8.29887 × 102 | 2.27070 × 101 | 8.66039 × 102 | 1.61677 × 101 | 1.23425 × 103 | 1.61509 × 102 | |
| 8.33600 × 102 | 2.01543 × 101 | 8.66617 × 102 | 1.54959 × 101 | 1.27620 × 103 | 1.88407 × 102 | |
| 8.28945 × 102 | 1.97034 × 101 | 8.69795 × 102 | 1.42669 × 101 | 1.30408 × 103 | 1.73771 × 102 | |
| 8.36140 × 102 | 2.21724 × 101 | 8.68763 × 102 | 1.59392 × 101 | 1.30254 × 103 | 1.47192 × 102 | |
| F10 | F11 | F12 | ||||
| AVG | STD | AVG | STD | AVG | STD | |
| 3.68506 × 103 | 5.91426 × 102 | 1.20160 × 103 | 3.58494 × 101 | 2.67558 × 105 | 2.14441 × 105 | |
| 3.78613 × 103 | 5.77981 × 102 | 1.20404 × 103 | 3.30579 × 101 | 2.75684 × 105 | 2.34504 × 105 | |
| 4.01424 × 103 | 6.16844 × 102 | 1.20764 × 103 | 2.98736 × 101 | 2.10189 × 105 | 1.34071 × 105 | |
| 4.23830 × 103 | 6.64904 × 102 | 1.20398 × 103 | 4.29623 × 101 | 2.78662 × 105 | 1.84968 × 105 | |
| 4.12424 × 103 | 6.04695 × 102 | 1.21226 × 103 | 3.92513 × 101 | 2.94367 × 105 | 2.01289 × 105 | |
| 4.40904 × 103 | 5.50600 × 102 | 1.21198 × 103 | 3.39188 × 101 | 2.63203 × 105 | 1.95176 × 105 | |
| 4.32233 × 103 | 6.13896 × 102 | 1.21189 × 103 | 4.13867 × 101 | 2.44483 × 105 | 1.51160 × 105 | |
| 4.43261 × 103 | 6.35888 × 102 | 1.20839 × 103 | 4.46607 × 101 | 2.37750 × 105 | 2.14237 × 105 | |
| 4.39891 × 103 | 5.11591 × 102 | 1.22373 × 103 | 4.85077 × 101 | 2.42413 × 105 | 1.89349 × 105 | |
| F13 | F14 | F15 | ||||
| AVG | STD | AVG | STD | AVG | STD | |
| 3.33690 × 104 | 2.50935 × 104 | 2.81393 × 104 | 1.49900 × 104 | 2.01635 × 104 | 1.44834 × 104 | |
| 2.89474 × 104 | 2.19148 × 104 | 2.25083 × 104 | 1.19023 × 104 | 1.17364 × 104 | 1.22589 × 104 | |
| 3.91207 × 104 | 2.61488 × 104 | 2.98529 × 104 | 1.43223 × 104 | 1.38299 × 104 | 1.34655 × 104 | |
| 4.52750 × 104 | 2.44167 × 104 | 2.96832 × 104 | 1.51745 × 104 | 1.87379 × 104 | 1.49142 × 104 | |
| 3.47647 × 104 | 2.61895 × 104 | 2.11498 × 104 | 8.92111 × 103 | 8.07613 × 103 | 9.03779 × 103 | |
| 3.59667 × 104 | 2.59839 × 104 | 2.73962 × 104 | 1.45910 × 104 | 1.15598 × 104 | 1.34873 × 104 | |
| 3.56409 × 104 | 2.61362 × 104 | 3.32410 × 104 | 1.96918 × 104 | 8.27325 × 103 | 9.80176 × 103 | |
| 4.00782 × 104 | 2.83890 × 104 | 2.78522 × 104 | 1.47880 × 104 | 9.22414 × 103 | 1.02606 × 104 | |
| 3.70569 × 104 | 3.41490 × 104 | 3.25110 × 104 | 1.91208 × 104 | 8.78055 × 103 | 9.08876 × 103 | |
| F16 | F17 | F18 | ||||
| AVG | STD | AVG | STD | AVG | STD | |
| 2.26587 × 103 | 2.54360 × 102 | 2.03413 × 103 | 1.66456 × 102 | 2.32120 × 105 | 1.62629 × 105 | |
| 2.22922 × 103 | 2.62825 × 102 | 1.98976 × 103 | 1.45363 × 102 | 3.03816 × 105 | 2.64694 × 105 | |
| 2.18807 × 103 | 2.03828 × 102 | 1.96657 × 103 | 1.63256 × 102 | 3.02479 × 105 | 2.53518 × 105 | |
| 2.27606 × 103 | 3.00368 × 102 | 1.93906 × 103 | 1.38437 × 102 | 2.18571 × 105 | 1.59221 × 105 | |
| 2.25724 × 103 | 3.05542 × 102 | 1.93626 × 103 | 1.30135 × 102 | 2.11116 × 105 | 1.23450 × 105 | |
| 2.19430 × 103 | 2.51897 × 102 | 1.94892 × 103 | 1.71728 × 102 | 2.38839 × 105 | 1.14788 × 105 | |
| 2.17115 × 103 | 2.78175 × 102 | 1.96743 × 103 | 1.61969 × 102 | 2.21677 × 105 | 2.13197 × 105 | |
| 2.18195 × 103 | 2.54818 × 102 | 1.97014 × 103 | 1.45771 × 102 | 2.68645 × 105 | 2.06891 × 105 | |
| 2.25173 × 103 | 3.14991 × 102 | 1.94118 × 103 | 1.46154 × 102 | 2.30345 × 105 | 1.04406 × 105 | |
| F19 | F20 | F21 | ||||
| AVG | STD | AVG | STD | AVG | STD | |
| 2.45014 × 104 | 2.20795 × 104 | 2.36142 × 103 | 2.13054 × 102 | 2.37248 × 103 | 1.64518 × 101 | |
| 2.71886 × 104 | 2.44299 × 104 | 2.29151 × 103 | 1.78105 × 102 | 2.36374 × 103 | 1.32328 × 101 | |
| 2.38428 × 104 | 2.00474 × 104 | 2.31589 × 103 | 1.44362 × 102 | 2.35438 × 103 | 1.37493 × 101 | |
| 2.66206 × 104 | 2.34198 × 104 | 2.27306 × 103 | 6.91329 × 101 | 2.35393 × 103 | 1.71400 × 101 | |
| 2.37079 × 104 | 2.17911 × 104 | 2.21201 × 103 | 1.34726 × 102 | 2.35681 × 103 | 1.63814 × 101 | |
| 2.37245 × 104 | 2.21257 × 104 | 2.23979 × 103 | 1.42513 × 102 | 2.36507 × 103 | 1.14326 × 101 | |
| 2.91757 × 104 | 2.44700 × 104 | 2.27627 × 103 | 1.79039 × 102 | 2.35550 × 103 | 1.30317 × 101 | |
| 3.17990 × 104 | 2.46838 × 104 | 2.30130 × 103 | 1.47551 × 102 | 2.36044 × 103 | 1.61065 × 101 | |
| 3.29311 × 104 | 2.38761 × 104 | 2.29063 × 103 | 1.60959 × 102 | 2.36239 × 103 | 1.74163 × 101 | |
| F22 | F23 | F24 | ||||
| AVG | STD | AVG | STD | AVG | STD | |
| 4.02772 × 103 | 1.40382 × 103 | 2.72940 × 103 | 1.74092 × 101 | 2.89249 × 103 | 2.01833 × 101 | |
| 4.63412 × 103 | 1.36568 × 103 | 2.71861 × 103 | 1.68920 × 101 | 2.89348 × 103 | 1.64088 × 101 | |
| 4.79283 × 103 | 1.30998 × 103 | 2.72305 × 103 | 1.86821 × 101 | 2.88755 × 103 | 2.21572 × 101 | |
| 4.14717 × 103 | 1.70499 × 103 | 2.72766 × 103 | 2.08506 × 101 | 2.90043 × 103 | 2.62559 × 101 | |
| 4.67154 × 103 | 1.69790 × 103 | 2.72896 × 103 | 1.85336 × 101 | 2.89554 × 103 | 1.71822 × 101 | |
| 4.51014 × 103 | 1.89522 × 103 | 2.72462 × 103 | 1.83384 × 101 | 2.89672 × 103 | 1.97406 × 101 | |
| 4.32952 × 103 | 1.86939 × 103 | 2.72418 × 103 | 1.59060 × 101 | 2.89221 × 103 | 1.35818 × 101 | |
| 4.43535 × 103 | 1.98141 × 103 | 2.72610 × 103 | 1.97684 × 101 | 2.90216 × 103 | 2.04542 × 101 | |
| 4.24424 × 103 | 1.88557 × 103 | 2.73053 × 103 | 1.76783 × 101 | 2.90211 × 103 | 2.17068 × 101 | |
| F25 | F26 | F27 | ||||
| AVG | STD | AVG | STD | AVG | STD | |
| 2.88854 × 103 | 6.77121 × 100 | 4.35270 × 103 | 1.76935 × 102 | 3.21421 × 103 | 1.34401 × 101 | |
| 2.88597 × 103 | 2.39509 × 100 | 4.28581 × 103 | 1.36642 × 102 | 3.21421 × 103 | 9.54168 × 100 | |
| 2.88705 × 103 | 7.42716 × 100 | 4.33071 × 103 | 1.86552 × 102 | 3.21360 × 103 | 9.08677 × 100 | |
| 2.88660 × 103 | 2.47058 × 100 | 4.39885 × 103 | 1.56521 × 102 | 3.21523 × 103 | 1.02152 × 101 | |
| 2.88608 × 103 | 2.41853 × 100 | 4.36359 × 103 | 1.94143 × 102 | 3.21392 × 103 | 8.79104 × 100 | |
| 2.88705 × 103 | 7.57731 × 100 | 4.35711 × 103 | 1.95361 × 102 | 3.21371 × 103 | 9.37593 × 100 | |
| 2.88799 × 103 | 7.36339 × 100 | 4.40356 × 103 | 1.73217 × 102 | 3.21635 × 103 | 1.24228 × 101 | |
| 2.88606 × 103 | 2.46422 × 100 | 4.42429 × 103 | 2.05940 × 102 | 3.21478 × 103 | 1.13235 × 101 | |
| 2.88775 × 103 | 4.37929 × 100 | 4.45078 × 103 | 1.92314 × 102 | 3.21407 × 103 | 1.04529 × 101 | |
| F28 | F29 | F30 | ||||
| AVG | STD | AVG | STD | AVG | STD | |
| 3.17619 × 103 | 6.94854 × 101 | 3.68289 × 103 | 1.84964 × 102 | 1.26906 × 104 | 5.57223 × 103 | |
| 3.18621 × 103 | 7.13906 × 101 | 3.57683 × 103 | 1.23870 × 102 | 1.40244 × 104 | 4.21658 × 103 | |
| 3.16965 × 103 | 6.92289 × 101 | 3.61081 × 103 | 1.71466 × 102 | 1.21935 × 104 | 5.25786 × 103 | |
| 3.16650 × 103 | 7.46658 × 101 | 3.62631 × 103 | 1.49335 × 102 | 1.21869 × 104 | 4.20930 × 103 | |
| 3.17276 × 103 | 6.93366 × 101 | 3.62422 × 103 | 1.67782 × 102 | 1.50316 × 104 | 4.71045 × 103 | |
| 3.16032 × 103 | 6.31060 × 101 | 3.57831 × 103 | 1.61502 × 102 | 1.33741 × 104 | 4.21481 × 103 | |
| 3.15070 × 103 | 6.04520 × 101 | 3.62263 × 103 | 2.29452 × 102 | 1.26976 × 104 | 4.58287 × 103 | |
| 3.18155 × 103 | 6.40737 × 101 | 3.66002 × 103 | 1.47621 × 102 | 1.25602 × 104 | 4.09736 × 103 | |
| 3.14029 × 103 | 6.10406 × 101 | 3.68634 × 103 | 1.95530 × 102 | 1.40643 × 104 | 5.26455 × 103 | |
| ARV | Rank | |||||
| 4.566667 | 4 | |||||
| 4.333333 | 2 | |||||
| 3.866667 | 1 | |||||
| 4.7 | 5 | |||||
| 4.466667 | 3 | |||||
| 4.866667 | 6 | |||||
| 5.3 | 7 | |||||
| 6.4 | 8 | |||||
| 6.5 | 9 |
| F1 | F2 | F3 | ||||
| AVG | STD | AVG | STD | AVG | STD | |
| HMCMMFOstep1 | 8.66303 × 103 | 7.84705 × 103 | 2.04834 × 102 | 1.33106 × 101 | 3.00878 × 102 | 4.65364 × 100 |
| HMCMMFOstep2 | 7.97589 × 103 | 8.53624 × 103 | 2.00760 × 102 | 3.74399 × 100 | 3.00002 × 102 | 4.76692 × 10−3 |
| HMCMMFOstep3 | 9.35529 × 103 | 8.74887 × 103 | 2.00604 × 102 | 3.30324 × 100 | 3.00002 × 102 | 7.33390 × 10−3 |
| HMCMMFOstep4 | 6.89668 × 103 | 7.10186 × 103 | 2.01220 × 102 | 4.63905 × 100 | 3.00006 × 102 | 1.51866 × 10−2 |
| HMCMMFOstep5 | 8.37666 × 103 | 8.18901 × 103 | 2.02887 × 102 | 1.06536 × 101 | 3.00002 × 102 | 6.01558 × 10−3 |
| HMCMMFOstep6 | 6.84418 × 103 | 7.32319 × 103 | 2.01161 × 102 | 4.46624 × 100 | 3.00002 × 102 | 5.42726 × 10−3 |
| HMCMMFOstep7 | 8.45848 × 103 | 7.75686 × 103 | 2.03841 × 102 | 1.11938 × 101 | 3.00002 × 102 | 4.28391 × 10−3 |
| F4 | F5 | F6 | ||||
| AVG | STD | AVG | STD | AVG | STD | |
| HMCMMFOstep1 | 4.76064 × 102 | 2.00601 × 101 | 5.66023 × 102 | 1.53038 × 101 | 6.03610 × 102 | 1.85782 × 100 |
| HMCMMFOstep2 | 4.84669 × 102 | 2.42338 × 101 | 5.65072 × 102 | 1.44465 × 101 | 6.03249 × 102 | 1.42262 × 100 |
| HMCMMFOstep3 | 4.77161 × 102 | 2.52032 × 101 | 5.65874 × 102 | 1.61628 × 101 | 6.03415 × 102 | 1.91600 × 100 |
| HMCMMFOstep4 | 4.77238 × 102 | 2.38403 × 101 | 5.66073 × 102 | 1.54412 × 101 | 6.03048 × 102 | 1.33092 × 100 |
| HMCMMFOstep5 | 4.79878 × 102 | 2.11073 × 101 | 5.68237 × 102 | 1.16246 × 101 | 6.03160 × 102 | 1.36591 × 100 |
| HMCMMFOstep6 | 4.78631 × 102 | 2.90738 × 101 | 5.65631 × 102 | 1.70457 × 101 | 6.03028 × 102 | 1.40687 × 100 |
| HMCMMFOstep7 | 4.80517 × 102 | 2.68455 × 101 | 5.63865 × 102 | 2.00864 × 101 | 6.03027 × 102 | 1.71435 × 100 |
| F7 | F8 | F9 | ||||
| AVG | STD | AVG | STD | AVG | STD | |
| HMCMMFOstep1 | 8.09803 × 102 | 2.23524 × 101 | 8.71397 × 102 | 1.85329 × 101 | 1.00859 × 103 | 8.06705 × 101 |
| HMCMMFOstep2 | 8.10786 × 102 | 2.87670 × 101 | 8.65882 × 102 | 1.36839 × 101 | 1.00787 × 103 | 7.71723 × 101 |
| HMCMMFOstep3 | 8.02920 × 102 | 2.05684 × 101 | 8.65062 × 102 | 1.55406 × 101 | 1.11090 × 103 | 2.45938 × 102 |
| HMCMMFOstep4 | 8.09671 × 102 | 2.81699 × 101 | 8.64766 × 102 | 1.60089 × 101 | 1.06668 × 103 | 1.70977 × 102 |
| HMCMMFOstep5 | 8.15750 × 102 | 2.10966 × 101 | 8.70045 × 102 | 1.93109 × 101 | 1.02977 × 103 | 7.25515 × 101 |
| HMCMMFOstep6 | 8.14312 × 102 | 2.88166 × 101 | 8.60382 × 102 | 1.23858 × 101 | 1.06351 × 103 | 2.09531 × 102 |
| HMCMMFOstep7 | 8.15832 × 102 | 2.32068 × 101 | 8.61928 × 102 | 1.59051 × 101 | 1.01560 × 103 | 8.16708 × 101 |
| F10 | F11 | F12 | ||||
| AVG | STD | AVG | STD | AVG | STD | |
| HMCMMFOstep1 | 3.48260 × 103 | 6.58739 × 102 | 1.19133 × 103 | 3.43658 × 101 | 2.05355 × 105 | 1.81947 × 105 |
| HMCMMFOstep2 | 3.55392 × 103 | 4.78136 × 102 | 1.20569 × 103 | 4.08568 × 101 | 1.85451 × 105 | 1.42475 × 105 |
| HMCMMFOstep3 | 3.39803 × 103 | 4.88723 × 102 | 1.19695 × 103 | 3.15625 × 101 | 2.38687 × 105 | 2.14414 × 105 |
| HMCMMFOstep4 | 3.54981 × 103 | 5.82920 × 102 | 1.20035 × 103 | 4.25845 × 101 | 2.53071 × 105 | 2.20994 × 105 |
| HMCMMFOstep5 | 3.42152 × 103 | 4.81097 × 102 | 1.20382 × 103 | 3.66358 × 101 | 2.00713 × 105 | 1.33010 × 105 |
| HMCMMFOstep6 | 3.63880 × 103 | 5.63713 × 102 | 1.19170 × 103 | 4.10747 × 101 | 2.98582 × 105 | 2.43926 × 105 |
| HMCMMFOstep7 | 3.58965 × 103 | 4.99686 × 102 | 1.18150 × 103 | 3.10368 × 101 | 2.03903 × 105 | 1.58705 × 105 |
| F13 | F14 | F15 | ||||
| AVG | STD | AVG | STD | AVG | STD | |
| HMCMMFOstep1 | 2.82176 × 104 | 2.39431 × 104 | 2.53297 × 104 | 1.39987 × 104 | 1.70620 × 104 | 1.42020 × 104 |
| HMCMMFOstep2 | 2.94128 × 104 | 2.31020 × 104 | 2.27879 × 104 | 1.19290 × 104 | 1.86470 × 104 | 1.42804 × 104 |
| HMCMMFOstep3 | 2.45448 × 104 | 2.21089 × 104 | 2.33637 × 104 | 1.30973 × 104 | 1.92008 × 104 | 1.41454 × 104 |
| HMCMMFOstep4 | 2.85837 × 104 | 2.20365 × 104 | 2.06428 × 104 | 1.44728 × 104 | 1.99020 × 104 | 1.56693 × 104 |
| HMCMMFOstep5 | 2.94851 × 104 | 2.51721 × 104 | 2.09628 × 104 | 1.22437 × 104 | 1.31878 × 104 | 1.31048 × 104 |
| HMCMMFOstep6 | 3.88001 × 104 | 2.54849 × 104 | 1.87060 × 104 | 1.38225 × 104 | 1.97045 × 104 | 1.54835 × 104 |
| HMCMMFOstep7 | 3.20569 × 104 | 2.39578 × 104 | 2.35105 × 104 | 1.31240 × 104 | 2.16252 × 104 | 1.62251 × 104 |
| F16 | F17 | F18 | ||||
| AVG | STD | AVG | STD | AVG | STD | |
| HMCMMFOstep1 | 2.24731 × 103 | 2.40282 × 102 | 1.97406 × 103 | 1.61157 × 102 | 2.06004 × 105 | 1.71979 × 105 |
| HMCMMFOstep2 | 2.23372 × 103 | 2.30237 × 102 | 2.00022 × 103 | 1.89506 × 102 | 2.20227 × 105 | 1.59302 × 105 |
| HMCMMFOstep3 | 2.17411 × 103 | 2.47117 × 102 | 1.97994 × 103 | 1.38732 × 102 | 1.95129 × 105 | 1.22832 × 105 |
| HMCMMFOstep4 | 2.22615 × 103 | 2.55121 × 102 | 2.01179 × 103 | 1.29681 × 102 | 2.23185 × 105 | 1.28914 × 105 |
| HMCMMFOstep5 | 2.21992 × 103 | 3.23175 × 102 | 1.98371 × 103 | 1.57909 × 102 | 2.21492 × 105 | 1.92743 × 105 |
| HMCMMFOstep6 | 2.15437 × 103 | 2.35643 × 102 | 1.96257 × 103 | 1.18271 × 102 | 2.64409 × 105 | 2.07695 × 105 |
| HMCMMFOstep7 | 2.24883 × 103 | 2.62444 × 102 | 2.03128 × 103 | 1.48530 × 102 | 2.24798 × 105 | 1.68917 × 105 |
| F19 | F20 | F21 | ||||
| AVG | STD | AVG | STD | AVG | STD | |
| HMCMMFOstep1 | 2.16109 × 104 | 2.11400 × 104 | 2.28848 × 103 | 1.33351 × 102 | 2.35638 × 103 | 1.34010 × 101 |
| HMCMMFOstep2 | 2.19802 × 104 | 1.88487 × 104 | 2.30271 × 103 | 1.09320 × 102 | 2.36099 × 103 | 1.19829 × 101 |
| HMCMMFOstep3 | 2.92007 × 104 | 2.30629 × 104 | 2.29251 × 103 | 1.56898 × 102 | 2.35663 × 103 | 1.31425 × 101 |
| HMCMMFOstep4 | 2.46817 × 104 | 2.31719 × 104 | 2.32795 × 103 | 1.21269 × 102 | 2.36337 × 103 | 1.88726 × 101 |
| HMCMMFOstep5 | 2.24346 × 104 | 2.04424 × 104 | 2.25983 × 103 | 1.47482 × 102 | 2.35918 × 103 | 1.78142 × 101 |
| HMCMMFOstep6 | 2.41069 × 104 | 2.10334 × 104 | 2.33532 × 103 | 1.55709 × 102 | 2.35750 × 103 | 1.07666 × 101 |
| HMCMMFOstep7 | 2.92545 × 104 | 2.15780 × 104 | 2.28679 × 103 | 1.51164 × 102 | 2.35688 × 103 | 1.34916 × 101 |
| F22 | F23 | F24 | ||||
| AVG | STD | AVG | STD | AVG | STD | |
| HMCMMFOstep1 | 4.90416 × 103 | 7.02988 × 102 | 2.71162 × 103 | 1.47736 × 101 | 2.88149 × 103 | 1.65674 × 101 |
| HMCMMFOstep2 | 4.18116 × 103 | 1.08442 × 103 | 2.70908 × 103 | 1.64223 × 101 | 2.88223 × 103 | 1.54699 × 101 |
| HMCMMFOstep3 | 3.81072 × 103 | 1.32467 × 103 | 2.71173 × 103 | 1.62408 × 101 | 2.88204 × 103 | 1.11811 × 101 |
| HMCMMFOstep4 | 4.02186 × 103 | 1.29459 × 103 | 2.71223 × 103 | 1.75592 × 101 | 2.88091 × 103 | 1.28149 × 101 |
| HMCMMFOstep5 | 4.17377 × 103 | 1.21352 × 103 | 2.71392 × 103 | 1.93099 × 101 | 2.88374 × 103 | 1.49332 × 101 |
| HMCMMFOstep6 | 3.77317 × 103 | 1.39412 × 103 | 2.70908 × 103 | 1.31521 × 101 | 2.88087 × 103 | 1.28877 × 101 |
| HMCMMFOstep7 | 3.82962 × 103 | 1.32294 × 103 | 2.70730 × 103 | 1.47359 × 101 | 2.88032 × 103 | 1.36292 × 101 |
| F25 | F26 | F27 | ||||
| AVG | STD | AVG | STD | AVG | STD | |
| HMCMMFOstep1 | 2.88713 × 103 | 3.01734 × 100 | 4.27411 × 103 | 2.28711 × 102 | 3.21428 × 103 | 1.20565 × 101 |
| HMCMMFOstep2 | 2.88779 × 103 | 4.95017 × 100 | 4.25873 × 103 | 1.44133 × 102 | 3.21560 × 103 | 1.19838 × 101 |
| HMCMMFOstep3 | 2.88772 × 103 | 7.50453 × 100 | 4.24224 × 103 | 1.33129 × 102 | 3.21352 × 103 | 1.07658 × 101 |
| HMCMMFOstep4 | 2.89198 × 103 | 1.21144 × 101 | 4.29374 × 103 | 1.47012 × 102 | 3.21376 × 103 | 1.19883 × 101 |
| HMCMMFOstep5 | 2.88688 × 103 | 2.23710 × 100 | 4.28584 × 103 | 1.98674 × 102 | 3.21268 × 103 | 1.28796 × 101 |
| HMCMMFOstep6 | 2.88710 × 103 | 5.38606 × 100 | 4.23512 × 103 | 1.45781 × 102 | 3.21288 × 103 | 1.20503 × 101 |
| HMCMMFOstep7 | 2.89106 × 103 | 1.43336 × 101 | 4.21557 × 103 | 2.92270 × 102 | 3.21270 × 103 | 1.13763 × 101 |
| F28 | F29 | F30 | ||||
| AVG | STD | AVG | STD | AVG | STD | |
| HMCMMFOstep1 | 3.16453 × 103 | 7.15106 × 101 | 3.62812 × 103 | 9.80410 × 101 | 1.23201 × 104 | 4.60316 × 103 |
| HMCMMFOstep2 | 3.17521 × 103 | 7.82121 × 101 | 3.61384 × 103 | 1.34470 × 102 | 1.27183 × 104 | 4.44108 × 103 |
| HMCMMFOstep3 | 3.15475 × 103 | 6.77392 × 101 | 3.63245 × 103 | 1.54113 × 102 | 1.19296 × 104 | 4.82325 × 103 |
| HMCMMFOstep4 | 3.13913 × 103 | 5.87252 × 101 | 3.58077 × 103 | 1.32657 × 102 | 1.31280 × 104 | 4.92988 × 103 |
| HMCMMFOstep5 | 3.16409 × 103 | 7.46936 × 101 | 3.57499 × 103 | 1.50803 × 102 | 1.35334 × 104 | 4.52054 × 103 |
| HMCMMFOstep6 | 3.14385 × 103 | 6.48299 × 101 | 3.63710 × 103 | 1.40842 × 102 | 1.32345 × 104 | 4.73736 × 103 |
| HMCMMFOstep7 | 3.17434 × 103 | 6.92739 × 101 | 3.61872 × 103 | 1.46426 × 102 | 1.29146 × 104 | 4.65148 × 103 |
| Overall Rank | ||||||
| ARV | Rank | |||||
| HMCMMFOstep1 | 4.033333 | 3 | ||||
| HMCMMFOstep2 | 4.166667 | 4 | ||||
| HMCMMFOstep3 | 3.566667 | 1 | ||||
| HMCMMFOstep4 | 4.466667 | 5 | ||||
| HMCMMFOstep5 | 4.033333 | 3 | ||||
| HMCMMFOstep6 | 3.7 | 2 | ||||
| HMCMMFOstep7 | 4.033333 | 3 | ||||
| Hybrid Mutation | Chemotaxis Motion | |
|---|---|---|
| MFO | 0 | 0 |
| CMMFO | 0 | 1 |
| HMMFO | 1 | 0 |
| HMCMMFO | 1 | 1 |
| F1 | F2 | F3 | ||||
| AVG | STD | AVG | STD | AVG | STD | |
| HMCMMFO | 9.88074 × 103 | 8.36593 × 103 | 2.57815 × 102 | 2.58794 × 102 | 3.00026 × 102 | 7.17286 × 10−2 |
| CMMFO | 9.01626 × 103 | 8.01713 × 103 | 2.00000 × 102 | 3.33524 × 10−4 | 3.00001 × 102 | 3.40189 × 10−3 |
| HMMFO | 4.46256 × 108 | 4.77887 × 108 | 1.48764 × 1019 | 7.29118 × 1019 | 1.26610 × 104 | 5.07162 × 103 |
| MFO | 1.43280 × 1010 | 9.64728 × 109 | 3.08359 × 1037 | 1.47328 × 1038 | 1.06204 × 105 | 6.27301 × 104 |
| F4 | F5 | F6 | ||||
| AVG | STD | AVG | STD | AVG | STD | |
| HMCMMFO | 4.77557 × 102 | 2.31258 × 101 | 5.65091 × 102 | 1.22131 × 101 | 6.06060 × 102 | 1.53909 × 100 |
| CMMFO | 4.77661 × 102 | 1.94289 × 101 | 6.92106 × 102 | 4.49923 × 101 | 6.37071 × 102 | 1.10670 × 101 |
| HMMFO | 5.12020 × 102 | 1.47713 × 101 | 6.09776 × 102 | 1.57299 × 101 | 6.08643 × 102 | 1.63674 × 100 |
| MFO | 1.21151 × 103 | 7.57463 × 102 | 7.12338 × 102 | 5.05325 × 101 | 6.37028 × 102 | 1.10430 × 101 |
| F7 | F8 | F9 | ||||
| AVG | STD | AVG | STD | AVG | STD | |
| HMCMMFO | 8.17282 × 102 | 2.25823 × 101 | 8.60641 × 102 | 1.62711 × 101 | 1.09963 × 103 | 1.29386 × 102 |
| CMMFO | 1.10897 × 103 | 1.82774 × 102 | 9.87306 × 102 | 4.24357 × 101 | 7.30599 × 103 | 2.19949 × 103 |
| HMMFO | 9.13037 × 102 | 1.75738 × 101 | 8.95471 × 102 | 1.26446 × 101 | 1.21187 × 103 | 1.31024 × 102 |
| MFO | 1.16361 × 103 | 2.30837 × 102 | 1.00535 × 103 | 3.71062 × 101 | 7.50263 × 103 | 2.59327 × 103 |
| F10 | F11 | F12 | ||||
| AVG | STD | AVG | STD | AVG | STD | |
| HMCMMFO | 4.07312 × 103 | 5.96620 × 102 | 1.20139 × 103 | 3.81300 × 101 | 2.56822 × 105 | 1.79231 × 105 |
| CMMFO | 5.42916 × 103 | 5.94213 × 102 | 1.39367 × 103 | 1.01072 × 102 | 1.61037 × 105 | 9.63357 × 104 |
| HMMFO | 4.53305 × 103 | 4.67957 × 102 | 1.27039 × 103 | 3.28704 × 101 | 1.58438 × 107 | 9.83874 × 106 |
| MFO | 5.62479 × 103 | 8.53512 × 102 | 7.12357 × 103 | 6.57687 × 103 | 2.72064 × 108 | 5.35291 × 108 |
| F13 | F14 | F15 | ||||
| AVG | STD | AVG | STD | AVG | STD | |
| HMCMMFO | 4.02651 × 104 | 2.45014 × 104 | 3.12846 × 104 | 2.09629 × 104 | 1.36877 × 104 | 1.47697 × 104 |
| CMMFO | 3.57362 × 104 | 2.52200 × 104 | 2.04073 × 104 | 9.06924 × 103 | 2.35051 × 104 | 1.71883 × 104 |
| HMMFO | 1.35146 × 106 | 5.64713 × 105 | 2.80552 × 104 | 1.41804 × 104 | 7.60219 × 104 | 7.02575 × 104 |
| MFO | 4.59919 × 107 | 2.47756 × 108 | 7.10991 × 104 | 9.99911 × 104 | 6.20266 × 104 | 5.13299 × 104 |
| F16 | F17 | F18 | ||||
| AVG | STD | AVG | STD | AVG | STD | |
| HMCMMFO | 2.22691 × 103 | 3.07251 × 102 | 1.96813 × 103 | 1.61808 × 102 | 2.74032 × 105 | 2.23878 × 105 |
| CMMFO | 2.93507 × 103 | 3.00156 × 102 | 2.49429 × 103 | 2.31511 × 102 | 2.09121 × 105 | 1.76984 × 105 |
| HMMFO | 2.32223 × 103 | 2.20334 × 102 | 2.05634 × 103 | 1.84945 × 102 | 5.01800 × 105 | 4.35420 × 105 |
| MFO | 3.15072 × 103 | 3.86413 × 102 | 2.57387 × 103 | 2.85106 × 102 | 2.65915 × 106 | 7.32477 × 106 |
| F19 | F20 | F21 | ||||
| AVG | STD | AVG | STD | AVG | STD | |
| HMCMMFO | 2.31613 × 104 | 2.26335 × 104 | 2.28316 × 103 | 1.67238 × 102 | 2.35584 × 103 | 1.68999 × 101 |
| CMMFO | 2.43818 × 104 | 2.12790 × 104 | 2.64263 × 103 | 2.20602 × 102 | 2.48656 × 103 | 4.02556 × 101 |
| HMMFO | 1.14206 × 105 | 6.47232 × 104 | 2.28963 × 103 | 1.47657 × 102 | 2.39520 × 103 | 1.25889 × 101 |
| MFO | 1.14474 × 107 | 3.46847 × 107 | 2.77829 × 103 | 2.48745 × 102 | 2.51140 × 103 | 5.28160 × 101 |
| F22 | F23 | F24 | ||||
| AVG | STD | AVG | STD | AVG | STD | |
| HMCMMFO | 4.93530 × 103 | 1.59584 × 103 | 2.72477 × 103 | 1.52897 × 101 | 2.88764 × 103 | 1.53510 × 101 |
| CMMFO | 5.93190 × 103 | 1.61431 × 103 | 2.80777 × 103 | 3.43904 × 101 | 2.95894 × 103 | 3.77249 × 101 |
| HMMFO | 4.63810 × 103 | 1.66806 × 103 | 2.76685 × 103 | 1.56515 × 101 | 2.93080 × 103 | 1.38384 × 101 |
| MFO | 6.00588 × 103 | 1.40791 × 103 | 2.84127 × 103 | 3.13079 × 101 | 2.99268 × 103 | 2.96835 × 101 |
| F25 | F26 | F27 | ||||
| AVG | STD | AVG | STD | AVG | STD | |
| HMCMMFO | 2.88676 × 103 | 2.25680 × 100 | 4.26794 × 103 | 1.29377 × 102 | 3.21293 × 103 | 9.60366 × 100 |
| CMMFO | 2.89025 × 103 | 9.52125 × 100 | 5.74402 × 103 | 4.98044 × 102 | 3.23401 × 103 | 2.04502 × 101 |
| HMMFO | 2.91451 × 103 | 1.74483 × 101 | 4.66563 × 103 | 1.47998 × 102 | 3.21993 × 103 | 9.73166 × 100 |
| MFO | 3.38300 × 103 | 5.44547 × 102 | 5.99749 × 103 | 4.07191 × 102 | 3.25580 × 103 | 2.56771 × 101 |
| F28 | F29 | F30 | ||||
| AVG | STD | AVG | STD | AVG | STD | |
| HMCMMFO | 3.15714 × 103 | 5.94062 × 101 | 3.64233 × 103 | 1.78067 × 102 | 1.47158 × 104 | 4.86596 × 103 |
| CMMFO | 3.19869 × 103 | 6.89095 × 101 | 4.21224 × 103 | 3.21054 × 102 | 1.40666 × 104 | 5.94538 × 103 |
| HMMFO | 3.28424 × 103 | 4.08765 × 101 | 3.65353 × 103 | 1.55844 × 102 | 8.97401 × 105 | 5.11961 × 105 |
| MFO | 4.74021 × 103 | 1.07501 × 103 | 4.13419 × 103 | 2.98080 × 102 | 1.52611 × 106 | 5.67583 × 106 |
| +/−/= | ARV | Rank | ||||
| HMCMMFO | 1.333333 | 1 | ||||
| CMMFO | 19/4/7 | 2.366667 | 2 | |||
| HMMFO | 24/0/6 | 2.4 | 3 | |||
| MFO | 29/0/1 | 3.9 | 4 | |||
| F1 | F2 | F3 | ||||
| AVG | STD | AVG | STD | AVG | STD | |
| HMCMMFO | 7.45008 × 103 | 7.73709 × 103 | 2.08253 × 102 | 1.54018 × 101 | 3.00010 × 102 | 1.92062 × 10−2 |
| CLSGMFO | 9.77833 × 103 | 9.27666 × 103 | 1.54528 × 1012 | 5.62911 × 1012 | 4.41481 × 103 | 2.46828 × 103 |
| LGCMFO | 9.54047 × 103 | 7.48239 × 103 | 3.17117 × 1012 | 1.05059 × 1013 | 7.63227 × 103 | 3.40084 × 103 |
| NMSOLMFO | 1.00029 × 102 | 1.19294 × 10−1 | 2.00000 × 102 | 2.52539 × 10−7 | 3.00000 × 102 | 7.53173 × 10−10 |
| QSMFO | 7.76493 × 105 | 4.67365 × 105 | 1.65263 × 1014 | 8.76662 × 1014 | 1.65277 × 103 | 5.43654 × 102 |
| CMFO | 3.12151 × 108 | 7.85453 × 108 | 4.03821 × 1038 | 2.20987 × 1039 | 1.07744 × 105 | 3.18599 × 104 |
| WEMFO | 1.26782 × 104 | 8.16879 × 103 | 1.30928 × 1016 | 4.91342 × 1016 | 9.34514 × 103 | 4.04733 × 103 |
| F4 | F5 | F6 | ||||
| AVG | STD | AVG | STD | AVG | STD | |
| HMCMMFO | 4.83921 × 102 | 1.00659 × 101 | 5.67565 × 102 | 1.58153 × 101 | 6.05821 × 102 | 1.49235 × 100 |
| CLSGMFO | 4.92717 × 102 | 3.18428 × 101 | 6.44607 × 102 | 3.75846 × 101 | 6.22085 × 102 | 1.14138 × 101 |
| LGCMFO | 4.96847 × 102 | 3.48442 × 101 | 6.49694 × 102 | 3.90103 × 101 | 6.15888 × 102 | 9.33071 × 100 |
| NMSOLMFO | 4.17466 × 102 | 2.80568 × 101 | 6.10793 × 102 | 3.63679 × 101 | 6.06714 × 102 | 2.26585 × 100 |
| QSMFO | 4.81483 × 102 | 4.03995 × 100 | 7.06033 × 102 | 2.19196 × 101 | 6.41868 × 102 | 1.87151 × 101 |
| CMFO | 5.76424 × 102 | 6.19701 × 101 | 7.29219 × 102 | 6.06530 × 101 | 6.52386 × 102 | 8.92716 × 100 |
| WEMFO | 4.86804 × 102 | 2.04131 × 101 | 6.69370 × 102 | 5.71347 × 101 | 6.30716 × 102 | 1.11558 × 101 |
| F7 | F8 | F9 | ||||
| AVG | STD | AVG | STD | AVG | STD | |
| HMCMMFO | 8.17605 × 102 | 2.09013 × 101 | 8.64528 × 102 | 1.59203 × 101 | 1.11123 × 103 | 1.21983 × 102 |
| CLSGMFO | 9.00751 × 102 | 5.15106 × 101 | 9.30074 × 102 | 2.79516 × 101 | 3.50079 × 103 | 9.51979 × 102 |
| LGCMFO | 8.68081 × 102 | 4.90456 × 101 | 9.17209 × 102 | 2.64516 × 101 | 2.92376 × 103 | 7.90733 × 102 |
| NMSOLMFO | 8.64867 × 102 | 5.83245 × 101 | 9.03175 × 102 | 3.27945 × 101 | 1.59150 × 103 | 4.59537 × 102 |
| QSMFO | 8.52241 × 102 | 3.40663 × 101 | 9.29969 × 102 | 2.09746 × 101 | 4.11144 × 103 | 1.76071 × 103 |
| CMFO | 1.25439 × 103 | 1.41749 × 102 | 9.59348 × 102 | 4.02805 × 101 | 4.80020 × 103 | 1.23739 × 103 |
| WEMFO | 9.37825 × 102 | 6.98497 × 101 | 9.86209 × 102 | 4.71145 × 101 | 5.29982 × 103 | 2.17483 × 103 |
| F10 | F11 | F12 | ||||
| AVG | STD | AVG | STD | AVG | STD | |
| HMCMMFO | 4.14337 × 103 | 6.76492 × 102 | 1.20406 × 103 | 4.01105 × 101 | 2.99045 × 105 | 2.13295 × 105 |
| CLSGMFO | 5.14610 × 103 | 5.92095 × 102 | 1.25692 × 103 | 7.26976 × 101 | 1.36113 × 106 | 3.12632 × 106 |
| LGCMFO | 4.66928 × 103 | 5.95099 × 102 | 1.22641 × 103 | 5.99199 × 101 | 1.69558 × 106 | 3.16562 × 106 |
| NMSOLMFO | 5.56026 × 103 | 6.27896 × 102 | 1.27211 × 103 | 7.16933 × 101 | 1.69407 × 104 | 1.44619 × 104 |
| QSMFO | 4.47754 × 103 | 4.15647 × 102 | 1.20220 × 103 | 3.21058 × 101 | 3.22319 × 106 | 1.99893 × 106 |
| CMFO | 7.23579 × 103 | 1.24780 × 103 | 4.85080 × 103 | 4.35495 × 103 | 2.94481 × 107 | 6.15277 × 107 |
| WEMFO | 5.20927 × 103 | 8.17462 × 102 | 1.37952 × 103 | 8.94922 × 101 | 1.97070 × 106 | 2.08794 × 106 |
| F13 | F14 | F15 | ||||
| AVG | STD | AVG | STD | AVG | STD | |
| HMCMMFO | 3.42289 × 104 | 2.60128 × 104 | 2.93673 × 104 | 1.73593 × 104 | 1.32157 × 104 | 1.54584 × 104 |
| CLSGMFO | 2.10077 × 105 | 8.04303 × 105 | 3.64888 × 104 | 3.63694 × 104 | 9.03043 × 103 | 1.24897 × 104 |
| LGCMFO | 1.88965 × 105 | 8.04602 × 105 | 4.91007 × 104 | 4.31686 × 104 | 8.63513 × 103 | 8.92177 × 103 |
| NMSOLMFO | 1.65278 × 104 | 1.75963 × 104 | 2.90354 × 103 | 3.16045 × 103 | 8.66224 × 103 | 8.92571 × 103 |
| QSMFO | 1.53350 × 104 | 1.18018 × 104 | 5.43527 × 103 | 2.95458 × 103 | 3.46751 × 103 | 1.60762 × 103 |
| CMFO | 5.99018 × 107 | 3.27735 × 108 | 2.39223 × 105 | 3.66707 × 105 | 6.80532 × 104 | 1.00702 × 105 |
| WEMFO | 1.28597 × 105 | 1.50446 × 105 | 7.13607 × 104 | 5.30010 × 104 | 5.56216 × 104 | 3.97499 × 104 |
| F16 | F17 | F18 | ||||
| AVG | STD | AVG | STD | AVG | STD | |
| HMCMMFO | 2.25628 × 103 | 2.45440 × 102 | 2.03304 × 103 | 1.98205 × 102 | 2.96542 × 105 | 2.37436 × 105 |
| CLSGMFO | 2.79035 × 103 | 3.27657 × 102 | 2.29013 × 103 | 2.63252 × 102 | 2.06182 × 105 | 1.87797 × 105 |
| LGCMFO | 2.65628 × 103 | 3.31587 × 102 | 2.23362 × 103 | 2.35792 × 102 | 2.86097 × 105 | 2.73568 × 105 |
| NMSOLMFO | 2.80008 × 103 | 3.17420 × 102 | 2.15480 × 103 | 2.02631 × 102 | 3.69755 × 104 | 1.74905 × 104 |
| QSMFO | 2.55393 × 103 | 2.90689 × 102 | 2.15129 × 103 | 2.49991 × 102 | 1.30576 × 105 | 6.48885 × 104 |
| CMFO | 3.06381 × 103 | 3.65806 × 102 | 2.38382 × 103 | 3.04997 × 102 | 2.65726 × 106 | 4.23158 × 106 |
| WEMFO | 2.71408 × 103 | 2.79634 × 102 | 2.20708 × 103 | 1.63247 × 102 | 7.09107 × 105 | 6.33762 × 105 |
| F19 | F20 | F21 | ||||
| AVG | STD | AVG | STD | AVG | STD | |
| HMCMMFO | 2.81007 × 104 | 2.39984 × 104 | 2.32888 × 103 | 1.70978 × 102 | 2.35586 × 103 | 1.52030 × 101 |
| CLSGMFO | 7.90184 × 103 | 8.82683 × 103 | 2.48624 × 103 | 2.14519 × 102 | 2.42275 × 103 | 2.92180 × 101 |
| LGCMFO | 4.67956 × 103 | 2.20143 × 103 | 2.42374 × 103 | 1.79375 × 102 | 2.41380 × 103 | 3.13042 × 101 |
| NMSOLMFO | 4.67165 × 103 | 2.89003 × 103 | 2.52364 × 103 | 2.16870 × 102 | 2.39968 × 103 | 3.65319 × 101 |
| QSMFO | 5.90630 × 103 | 3.67545 × 103 | 2.60309 × 103 | 1.91367 × 102 | 2.44613 × 103 | 6.16862 × 101 |
| CMFO | 2.33164 × 106 | 9.43357 × 106 | 2.76036 × 103 | 2.60376 × 102 | 2.48904 × 103 | 5.10689 × 101 |
| WEMFO | 3.69983 × 104 | 4.15722 × 104 | 2.51147 × 103 | 1.99701 × 102 | 2.35586 × 103 | 1.52030 × 101 |
| F22 | F23 | F24 | ||||
| AVG | STD | AVG | STD | AVG | STD | |
| HMCMMFO | 2.49134 × 103 | 4.14938 × 101 | 2.72355 × 103 | 1.95252 × 101 | 2.89131 × 103 | 1.63587 × 101 |
| CLSGMFO | 3.86489 × 103 | 1.63233 × 103 | 2.78920 × 103 | 4.14287 × 101 | 2.96303 × 103 | 4.96313 × 101 |
| LGCMFO | 2.30089 × 103 | 1.84713 × 100 | 2.77439 × 103 | 3.20033 × 101 | 2.94276 × 103 | 3.54360 × 101 |
| NMSOLMFO | 2.30060 × 103 | 1.24812 × 100 | 2.73741 × 103 | 5.56529 × 101 | 2.89207 × 103 | 3.09280 × 101 |
| QSMFO | 3.11602 × 103 | 1.88410 × 103 | 2.81666 × 103 | 5.34004 × 101 | 3.00679 × 103 | 6.75075 × 101 |
| CMFO | 6.02144 × 103 | 1.30649 × 103 | 2.99936 × 103 | 8.54328 × 101 | 3.11696 × 103 | 1.06157 × 102 |
| WEMFO | 7.91188 × 103 | 1.75562 × 103 | 2.80333 × 103 | 3.97615 × 101 | 2.96319 × 103 | 3.77158 × 101 |
| F25 | F26 | F27 | ||||
| AVG | STD | AVG | STD | AVG | STD | |
| HMCMMFO | 2.88924 × 103 | 1.25732 × 101 | 4.33633 × 103 | 1.72102 × 102 | 3.21751 × 103 | 1.09748 × 101 |
| CLSGMFO | 2.89193 × 103 | 1.40971 × 101 | 4.10420 × 103 | 1.31229 × 103 | 3.29229 × 103 | 4.93810 × 101 |
| LGCMFO | 2.89213 × 103 | 1.58401 × 101 | 3.80797 × 103 | 1.16466 × 103 | 3.28270 × 103 | 3.28060 × 101 |
| NMSOLMFO | 2.89325 × 103 | 1.62354 × 101 | 4.28850 × 103 | 5.54938 × 102 | 3.24104 × 103 | 1.44964 × 101 |
| QSMFO | 2.88704 × 103 | 7.29022 × 100 | 4.17073 × 103 | 1.43435 × 103 | 3.20001 × 103 | 1.75060 × 10−4 |
| CMFO | 2.97389 × 103 | 5.35474 × 101 | 6.92114 × 103 | 8.93332 × 102 | 3.36460 × 103 | 1.38467 × 102 |
| WEMFO | 2.90061 × 103 | 2.39035 × 101 | 5.52994 × 103 | 4.55182 × 102 | 3.24074 × 103 | 2.45360 × 101 |
| F28 | F29 | F30 | ||||
| AVG | STD | AVG | STD | AVG | STD | |
| HMCMMFO | 3.17875 × 103 | 6.87415 × 101 | 3.63537 × 103 | 1.78531 × 102 | 1.33965 × 104 | 4.89866 × 103 |
| CLSGMFO | 3.22498 × 103 | 2.50723 × 101 | 3.97385 × 103 | 2.38628 × 102 | 1.56889 × 105 | 4.17105 × 105 |
| LGCMFO | 3.22064 × 103 | 2.79571 × 101 | 3.88712 × 103 | 2.49899 × 102 | 3.45376 × 104 | 4.08926 × 104 |
| NMSOLMFO | 3.17597 × 103 | 6.70651 × 101 | 3.75346 × 103 | 2.47148 × 102 | 9.40010 × 103 | 3.56750 × 103 |
| QSMFO | 3.29991 × 103 | 2.37411 × 10−1 | 3.53423 × 103 | 1.69382 × 102 | 7.71247 × 103 | 5.33689 × 103 |
| CMFO | 3.39495 × 103 | 2.02412 × 102 | 4.48373 × 103 | 3.23986 × 102 | 2.17166 × 106 | 4.89252 × 106 |
| WEMFO | 3.38313 × 103 | 6.47108 × 102 | 4.10687 × 103 | 2.71645 × 102 | 3.02808 × 105 | 7.58156 × 105 |
| ARV | RANK | |||||
| HMCMMFO | 2.2 | 1 | ||||
| CLSGMFO | 4.066667 | 5 | ||||
| LGCMFO | 3.466667 | 4 | ||||
| NMSOLMFO | 2.566667 | 2 | ||||
| QSMFO | 3.4 | 3 | ||||
| CMFO | 6.9 | 7 | ||||
| WEMFO | 5.4 | 6 | ||||
| F1 | F2 | F3 | ||||
| AVG | STD | AVG | STD | AVG | STD | |
| HMCMMFO | 9.80294 × 103 | 8.67716 × 103 | 2.10105 × 102 | 1.95548 × 101 | 3.00025 × 102 | 8.14402 × 10−2 |
| SCA | 1.22222 × 1010 | 1.96238 × 109 | 2.90172 × 1034 | 8.10053 × 1034 | 3.77999 × 104 | 5.92640 × 103 |
| FA | 1.44254 × 1010 | 1.24469 × 109 | 1.05613 × 1034 | 2.35540 × 1034 | 6.17194 × 104 | 6.95564 × 103 |
| WOA | 2.62081 × 106 | 1.45296 × 106 | 1.32144 × 1024 | 5.24072 × 1024 | 1.55853 × 105 | 5.63397 × 104 |
| GOA | 8.70605 × 107 | 3.38904 × 108 | 3.39750 × 1029 | 1.86088 × 1030 | 1.87791 × 103 | 3.41613 × 103 |
| GWO | 2.08506 × 109 | 1.37458 × 109 | 9.52398 × 1030 | 3.68834 × 1031 | 3.11186 × 104 | 1.09033 × 104 |
| F4 | F5 | F6 | ||||
| AVG | STD | AVG | STD | AVG | STD | |
| HMCMMFO | 4.82113 × 102 | 1.68093 × 101 | 5.64407 × 102 | 1.85969 × 101 | 6.04935 × 102 | 1.81119 × 100 |
| SCA | 1.41644 × 103 | 2.88610 × 102 | 7.76337 × 102 | 1.86038 × 101 | 6.50345 × 102 | 5.13636 × 100 |
| FA | 1.36794 × 103 | 1.30754 × 102 | 7.60093 × 102 | 1.23883 × 101 | 6.44207 × 102 | 2.46820 × 100 |
| WOA | 5.37710 × 102 | 4.27357 × 101 | 7.89919 × 102 | 6.08936 × 101 | 6.68318 × 102 | 9.55672 × 100 |
| GOA | 5.02471 × 102 | 1.75301 × 101 | 6.22152 × 102 | 3.71558 × 101 | 6.26699 × 102 | 1.38950 × 101 |
| GWO | 5.99420 × 102 | 7.69352 × 101 | 5.98055 × 102 | 2.97506 × 101 | 6.06722 × 102 | 3.37262 × 100 |
| F7 | F8 | F9 | ||||
| AVG | STD | AVG | STD | AVG | STD | |
| HMCMMFO | 8.17904 × 102 | 3.04063 × 101 | 8.64352 × 102 | 1.18965 × 101 | 1.14232 × 103 | 1.50046 × 102 |
| SCA | 1.13362 × 103 | 4.30939 × 101 | 1.05252 × 103 | 1.67232 × 101 | 5.72874 × 103 | 1.10108 × 103 |
| FA | 1.37609 × 103 | 3.87283 × 101 | 1.05363 × 103 | 1.06885 × 101 | 5.41486 × 103 | 5.35328 × 102 |
| WOA | 1.23989 × 103 | 8.26385 × 101 | 1.01339 × 103 | 5.49513 × 101 | 8.51073 × 103 | 2.93031 × 103 |
| GOA | 8.31785 × 102 | 2.47063 × 101 | 9.00602 × 102 | 2.54215 × 101 | 3.62090 × 103 | 2.04697 × 103 |
| GWO | 8.55401 × 102 | 3.13429 × 101 | 8.91975 × 102 | 1.81598 × 101 | 1.75641 × 103 | 4.84758 × 102 |
| F10 | F11 | F12 | ||||
| AVG | STD | AVG | STD | AVG | STD | |
| HMCMMFO | 3.94563 × 103 | 7.83295 × 102 | 1.20235 × 103 | 4.27168 × 101 | 2.53419 × 105 | 1.95894 × 105 |
| SCA | 8.16479 × 103 | 2.19303 × 102 | 2.14661 × 103 | 3.21220 × 102 | 1.08585 × 109 | 2.83877 × 108 |
| FA | 8.01204 × 103 | 1.91427 × 102 | 3.59287 × 103 | 4.69048 × 102 | 1.57000 × 109 | 2.87851 × 108 |
| WOA | 6.07641 × 103 | 7.56256 × 102 | 1.57520 × 103 | 4.56758 × 102 | 5.38455 × 107 | 3.61079 × 107 |
| GOA | 4.77105 × 103 | 6.68543 × 102 | 1.31983 × 103 | 6.38855 × 101 | 7.19275 × 106 | 6.51294 × 106 |
| GWO | 4.40239 × 103 | 1.17408 × 103 | 2.06448 × 103 | 1.19279 × 103 | 7.96839 × 107 | 1.03465 × 108 |
| F13 | F14 | F15 | ||||
| AVG | STD | AVG | STD | AVG | STD | |
| HMCMMFO | 2.97951 × 104 | 2.48147 × 104 | 2.81214 × 104 | 1.54518 × 104 | 1.41600 × 104 | 1.49864 × 104 |
| SCA | 4.08758 × 108 | 1.80993 × 108 | 1.46486 × 105 | 7.10065 × 104 | 1.50961 × 107 | 1.21193 × 107 |
| FA | 6.37347 × 108 | 1.47746 × 108 | 1.94565 × 105 | 9.03669 × 104 | 5.93363 × 107 | 2.68132 × 107 |
| WOA | 1.35499 × 105 | 8.18057 × 104 | 5.99596 × 105 | 6.14266 × 105 | 7.63819 × 104 | 5.26598 × 104 |
| GOA | 2.56136 × 106 | 1.30964 × 107 | 1.24840 × 104 | 1.18689 × 104 | 9.77789 × 104 | 5.72643 × 104 |
| GWO | 1.18806 × 107 | 3.62122 × 107 | 3.45932 × 105 | 8.19506 × 105 | 3.07587 × 105 | 7.36900 × 105 |
| F16 | F17 | F18 | ||||
| AVG | STD | AVG | STD | AVG | STD | |
| HMCMMFO | 2.23270 × 103 | 2.82027 × 102 | 1.94649 × 103 | 1.57061 × 102 | 2.50879 × 105 | 2.27659 × 105 |
| SCA | 3.58651 × 103 | 2.01890 × 102 | 2.37142 × 103 | 1.61380 × 102 | 3.18469 × 106 | 1.74397 × 106 |
| FA | 3.41910 × 103 | 1.68782 × 102 | 2.52523 × 103 | 1.33623 × 102 | 4.34332 × 106 | 1.31134 × 106 |
| WOA | 3.40525 × 103 | 4.39797 × 102 | 2.56204 × 103 | 2.55239 × 102 | 2.97948 × 106 | 2.78891 × 106 |
| GOA | 2.66037 × 103 | 2.87847 × 102 | 2.11946 × 103 | 2.20818 × 102 | 3.59963 × 105 | 3.63171 × 105 |
| GWO | 2.37071 × 103 | 2.81933 × 102 | 2.00664 × 103 | 1.73227 × 102 | 7.57256 × 105 | 7.68810 × 105 |
| F19 | F20 | F21 | ||||
| AVG | STD | AVG | STD | AVG | STD | |
| HMCMMFO | 2.60781 × 104 | 2.40778 × 104 | 2.27488 × 103 | 1.29918 × 102 | 2.35987 × 103 | 1.49386 × 101 |
| SCA | 2.34815 × 107 | 1.36479 × 107 | 2.62866 × 103 | 1.26935 × 102 | 2.54552 × 103 | 1.26107 × 101 |
| FA | 9.81301 × 107 | 4.53475 × 107 | 2.58205 × 103 | 7.80533 × 101 | 2.53884 × 103 | 1.00598 × 101 |
| WOA | 1.93056 × 106 | 1.33706 × 106 | 2.70029 × 103 | 2.06830 × 102 | 2.59499 × 103 | 7.74413 × 101 |
| GOA | 8.66939 × 105 | 6.48577 × 105 | 2.43412 × 103 | 1.22912 × 102 | 2.41908 × 103 | 3.62377 × 101 |
| GWO | 7.11832 × 105 | 8.45637 × 105 | 2.38103 × 103 | 1.86150 × 102 | 2.38440 × 103 | 1.59318 × 101 |
| F22 | F23 | F24 | ||||
| AVG | STD | AVG | STD | AVG | STD | |
| HMCMMFO | 4.59104 × 103 | 1.52829 × 103 | 2.71925 × 103 | 1.74873 × 101 | 2.89330 × 103 | 1.66167 × 101 |
| SCA | 7.91014 × 103 | 2.44538 × 103 | 2.99551 × 103 | 3.07982 × 101 | 3.15983 × 103 | 2.47710 × 101 |
| FA | 3.84440 × 103 | 1.28648 × 102 | 2.90730 × 103 | 1.25120 × 101 | 3.06393 × 103 | 1.16914 × 101 |
| WOA | 6.81259 × 103 | 1.78682 × 103 | 3.02993 × 103 | 9.67257 × 101 | 3.16602 × 103 | 8.61215 × 101 |
| GOA | 5.84939 × 103 | 1.16893 × 103 | 2.77218 × 103 | 3.80386 × 101 | 2.93515 × 103 | 3.58702 × 101 |
| GWO | 4.33638 × 103 | 1.33978 × 103 | 2.76138 × 103 | 4.34565 × 101 | 2.91973 × 103 | 5.06338 × 101 |
| F25 | F26 | F27 | ||||
| AVG | STD | AVG | STD | AVG | STD | |
| HMCMMFO | 2.88931 × 103 | 9.95669 × 100 | 4.32738 × 103 | 3.29400 × 102 | 3.21494 × 103 | 8.49659 × 100 |
| SCA | 3.23535 × 103 | 1.05916 × 102 | 6.88857 × 103 | 3.57567 × 102 | 3.40674 × 103 | 4.20371 × 101 |
| FA | 3.59245 × 103 | 1.00415 × 102 | 6.46760 × 103 | 1.78319 × 102 | 3.33506 × 103 | 1.54050 × 101 |
| WOA | 2.94543 × 103 | 3.03126 × 101 | 7.69008 × 103 | 1.15885 × 103 | 3.34929 × 103 | 6.62554 × 101 |
| GOA | 2.90327 × 103 | 2.01055 × 101 | 4.47919 × 103 | 7.19257 × 102 | 3.23620 × 103 | 2.51853 × 101 |
| GWO | 2.97106 × 103 | 3.00129 × 101 | 4.70175 × 103 | 3.96504 × 102 | 3.25009 × 103 | 2.29212 × 101 |
| F28 | F29 | F30 | ||||
| AVG | STD | AVG | STD | AVG | STD | |
| HMCMMFO | 3.16137 × 103 | 6.37650 × 101 | 3.57164 × 103 | 1.44757 × 102 | 1.25015 × 104 | 4.92798 × 103 |
| SCA | 3.84001 × 103 | 1.11131 × 102 | 4.63200 × 103 | 2.43532 × 102 | 7.44453 × 107 | 2.66254 × 107 |
| FA | 3.88691 × 103 | 9.42419 × 101 | 4.71936 × 103 | 1.65719 × 102 | 8.84685 × 107 | 3.18824 × 107 |
| WOA | 3.30819 × 103 | 3.33857 × 101 | 4.81128 × 103 | 4.28659 × 102 | 1.28954 × 107 | 8.86520 × 106 |
| GOA | 3.26029 × 103 | 4.43678 × 101 | 3.84191 × 103 | 1.90477 × 102 | 3.84859 × 106 | 3.93893 × 106 |
| GWO | 3.41446 × 103 | 7.39254 × 101 | 3.74663 × 103 | 1.67931 × 102 | 6.83847 × 106 | 9.49355 × 106 |
| ARV | Rank | |||||
| HMCMMFO | 1.1 | 1 | ||||
| SCA | 5 | 6 | ||||
| FA | 4.933333 | 5 | ||||
| WOA | 4.466667 | 4 | ||||
| GOA | 2.6 | 2 | ||||
| GWO | 2.9 | 3 | ||||
| F1 | F2 | F3 | ||||
| AVG | STD | AVG | STD | AVG | STD | |
| HMCMMFO | 9.04208 × 103 | 8.03368 × 103 | 2.05737 × 102 | 1.27916 × 101 | 3.00005 × 102 | 9.47002 × 10−3 |
| FSTPSO | 2.24935 × 1010 | 7.20644 × 109 | 3.38172 × 1037 | 1.01762 × 1038 | 8.76469 × 104 | 2.03541 × 104 |
| ALCPSO | 5.69193 × 103 | 6.76754 × 103 | 2.41025 × 1017 | 8.32693 × 1017 | 2.67799 × 104 | 3.63044 × 103 |
| CDLOBA | 5.01333 × 103 | 5.42594 × 103 | 1.13044 × 1012 | 3.71628 × 1012 | 1.26087 × 103 | 1.59138 × 103 |
| BSSFOA | 6.94886 × 1010 | 4.63503 × 109 | 4.96079 × 1059 | 1.90717 × 1060 | 1.05247 × 107 | 2.29879 × 107 |
| SCADE | 1.91644 × 1010 | 2.82685 × 109 | 2.85732 × 1037 | 1.02110 × 1038 | 6.18223 × 104 | 7.12746 × 103 |
| CGPSO | 1.41430 × 108 | 1.56060 × 107 | 1.02685 × 1014 | 7.37472 × 1013 | 7.74256 × 102 | 7.70923 × 101 |
| OBLGWO | 1.41222 × 107 | 6.42248 × 106 | 5.38329 × 1016 | 9.80940 × 1016 | 1.79685 × 104 | 5.24282 × 103 |
| F4 | F5 | F6 | ||||
| AVG | STD | AVG | STD | AVG | STD | |
| HMCMMFO | 4.78053 × 102 | 1.94693 × 101 | 5.65518 × 102 | 1.09386 × 101 | 6.05534 × 102 | 2.09891 × 100 |
| FSTPSO | 4.25834 × 103 | 1.34899 × 103 | 8.09741 × 102 | 4.36397 × 101 | 6.67701 × 102 | 8.86637 × 100 |
| ALCPSO | 5.03845 × 102 | 3.76435 × 101 | 6.08908 × 102 | 2.48248 × 101 | 6.04422 × 102 | 4.76403 × 100 |
| CDLOBA | 4.82331 × 102 | 2.76442 × 101 | 8.82001 × 102 | 6.77780 × 101 | 6.71516 × 102 | 9.42381 × 100 |
| BSSFOA | 3.17512 × 104 | 2.92592 × 103 | 1.06410 × 103 | 3.68237 × 101 | 7.34761 × 102 | 5.65161 × 100 |
| SCADE | 3.45962 × 103 | 7.10815 × 102 | 8.27990 × 102 | 2.15557 × 101 | 6.60604 × 102 | 5.97788 × 100 |
| CGPSO | 4.84497 × 102 | 2.08597 × 101 | 7.84836 × 102 | 3.48166 × 101 | 6.61193 × 102 | 1.45069 × 101 |
| OBLGWO | 5.28375 × 102 | 3.03182 × 101 | 6.58444 × 102 | 3.92032 × 101 | 6.19614 × 102 | 1.60747 × 101 |
| F7 | F8 | F9 | ||||
| AVG | STD | AVG | STD | AVG | STD | |
| HMCMMFO | 8.11945 × 102 | 1.75857 × 101 | 8.61893 × 102 | 1.11592 × 101 | 1.08570 × 103 | 7.80439 × 101 |
| FSTPSO | 1.26983 × 103 | 9.39213 × 101 | 1.05100 × 103 | 3.77858 × 101 | 7.37842 × 103 | 2.20220 × 103 |
| ALCPSO | 8.39120 × 102 | 2.44524 × 101 | 9.06292 × 102 | 2.66775 × 101 | 1.78237 × 103 | 8.05156 × 102 |
| CDLOBA | 2.59370 × 103 | 3.11305 × 102 | 1.11367 × 103 | 4.82036 × 101 | 9.94803 × 103 | 2.02410 × 103 |
| BSSFOA | 1.59163 × 103 | 2.05661 × 101 | 1.28217 × 103 | 2.30679 × 101 | 2.10390 × 104 | 2.77333 × 103 |
| SCADE | 1.18133 × 103 | 2.94610 × 101 | 1.08557 × 103 | 2.18091 × 101 | 8.29165 × 103 | 1.03456 × 103 |
| CGPSO | 9.30265 × 102 | 1.31675 × 101 | 1.01738 × 103 | 3.05058 × 101 | 6.40560 × 103 | 2.04473 × 103 |
| OBLGWO | 9.29796 × 102 | 6.46318 × 101 | 9.51157 × 102 | 2.84480 × 101 | 2.48274 × 103 | 1.50724 × 103 |
| F10 | F11 | F12 | ||||
| AVG | STD | AVG | STD | AVG | STD | |
| HMCMMFO | 3.99206 × 103 | 6.42707 × 102 | 1.19044 × 103 | 3.51538 × 101 | 2.59550 × 105 | 1.73810 × 105 |
| FSTPSO | 7.10032 × 103 | 5.48307 × 102 | 3.67947 × 103 | 1.39061 × 103 | 2.08122 × 109 | 1.01824 × 109 |
| ALCPSO | 4.38956 × 103 | 4.71963 × 102 | 1.23543 × 103 | 5.47290 × 101 | 3.78287 × 105 | 4.51017 × 105 |
| CDLOBA | 5.61945 × 103 | 7.47000 × 102 | 1.33122 × 103 | 7.16582 × 101 | 3.35594 × 105 | 2.71621 × 105 |
| BSSFOA | 1.06223 × 104 | 3.52578 × 102 | 1.52698 × 108 | 1.94191 × 108 | 2.64859 × 1010 | 2.12389 × 109 |
| SCADE | 8.15302 × 103 | 2.60426 × 102 | 3.32858 × 103 | 4.38924 × 102 | 1.92116 × 109 | 5.52975 × 108 |
| CGPSO | 6.28405 × 103 | 5.85956 × 102 | 1.27621 × 103 | 3.59016 × 101 | 3.01121 × 107 | 1.49000 × 107 |
| OBLGWO | 5.31016 × 103 | 7.39178 × 102 | 1.30783 × 103 | 5.14082 × 101 | 1.50043 × 107 | 1.45532 × 107 |
| F13 | F14 | F15 | ||||
| AVG | STD | AVG | STD | AVG | STD | |
| HMCMMFO | 3.05695 × 108 | 4.06431 × 108 | 2.78181 × 104 | 2.06399 × 104 | 1.26334 × 104 | 1.47346 × 104 |
| FSTPSO | 2.26316 × 104 | 2.09263 × 104 | 1.53374 × 105 | 3.13636 × 105 | 4.29129 × 104 | 2.96810 × 104 |
| ALCPSO | 1.91228 × 105 | 1.33831 × 105 | 2.66550 × 104 | 4.10110 × 104 | 1.19935 × 104 | 9.61744 × 103 |
| CDLOBA | 3.93413 × 1010 | 5.20883 × 109 | 4.28871 × 103 | 3.32841 × 103 | 9.85047 × 104 | 6.35953 × 104 |
| BSSFOA | 6.15265 × 108 | 3.05402 × 108 | 3.33185 × 108 | 3.49954 × 108 | 1.35846 × 109 | 1.43455 × 109 |
| SCADE | 5.43284 × 106 | 1.53440 × 106 | 3.36376 × 105 | 2.01937 × 105 | 1.10667 × 107 | 1.10265 × 107 |
| CGPSO | 1.99876 × 105 | 1.21607 × 105 | 1.38928 × 104 | 8.14814 × 103 | 5.21935 × 105 | 2.57225 × 105 |
| OBLGWO | 3.05695 × 108 | 4.06431 × 108 | 5.74416 × 104 | 4.46473 × 104 | 8.07591 × 104 | 5.75320 × 104 |
| F16 | F17 | F18 | ||||
| AVG | STD | AVG | STD | AVG | STD | |
| HMCMMFO | 2.18654 × 103 | 2.53645 × 102 | 1.95862 × 103 | 1.53751 × 102 | 2.67430 × 105 | 1.22752 × 105 |
| FSTPSO | 3.77056 × 103 | 4.68395 × 102 | 2.61466 × 103 | 2.81489 × 102 | 1.99070 × 106 | 2.62927 × 106 |
| ALCPSO | 2.56164 × 103 | 2.65815 × 102 | 2.13464 × 103 | 1.83086 × 102 | 2.31803 × 105 | 3.48936 × 105 |
| CDLOBA | 3.37554 × 103 | 4.55811 × 102 | 2.84930 × 103 | 3.06689 × 102 | 1.19113 × 105 | 6.15026 × 104 |
| BSSFOA | 2.06437 × 104 | 4.54964 × 103 | 1.18493 × 105 | 4.29716 × 104 | 2.42077 × 108 | 1.41621 × 108 |
| SCADE | 3.79560 × 103 | 2.85942 × 102 | 2.53314 × 103 | 1.22389 × 102 | 5.10740 × 106 | 2.91497 × 106 |
| CGPSO | 2.94824 × 103 | 2.23716 × 102 | 2.43695 × 103 | 1.46966 × 102 | 2.27304 × 105 | 1.45495 × 105 |
| OBLGWO | 2.78036 × 103 | 3.85906 × 102 | 2.15965 × 103 | 1.88167 × 102 | 8.77316 × 105 | 7.94452 × 105 |
| F19 | F20 | F21 | ||||
| AVG | STD | AVG | STD | AVG | STD | |
| HMCMMFO | 2.28653 × 104 | 2.37575 × 104 | 2.27049 × 103 | 1.47954 × 102 | 2.35533 × 103 | 1.27145 × 101 |
| FSTPSO | 5.97313 × 106 | 9.82037 × 106 | 2.81911 × 103 | 1.88576 × 102 | 2.60030 × 103 | 4.53346 × 101 |
| ALCPSO | 1.43683 × 104 | 1.26703 × 104 | 2.34131 × 103 | 1.63222 × 102 | 2.41626 × 103 | 2.92292 × 101 |
| CDLOBA | 6.76365 × 104 | 2.87225 × 104 | 2.88893 × 103 | 2.63286 × 102 | 2.61586 × 103 | 6.69569 × 101 |
| BSSFOA | 4.66464 × 109 | 1.39110 × 109 | 3.91874 × 103 | 6.28712 × 102 | 3.13228 × 103 | 6.09591 × 101 |
| SCADE | 2.45048 × 107 | 1.75808 × 107 | 2.74629 × 103 | 9.43193 × 101 | 2.57874 × 103 | 1.88650 × 101 |
| CGPSO | 1.64224 × 106 | 7.94663 × 105 | 2.68852 × 103 | 2.12709 × 102 | 2.53880 × 103 | 4.10711 × 101 |
| OBLGWO | 4.23299 × 105 | 3.46594 × 105 | 2.49005 × 103 | 1.37337 × 102 | 2.45559 × 103 | 3.49696 × 101 |
| F22 | F23 | F24 | ||||
| AVG | STD | AVG | STD | AVG | STD | |
| HMCMMFO | 4.60599 × 103 | 1.39264 × 103 | 2.71533 × 103 | 1.52824 × 101 | 2.89092 × 103 | 1.72014 × 101 |
| FSTPSO | 8.17465 × 103 | 1.49814 × 103 | 3.35230 × 103 | 2.13670 × 102 | 3.42508 × 103 | 1.35019 × 102 |
| ALCPSO | 5.26114 × 103 | 1.68105 × 103 | 2.80839 × 103 | 6.12510 × 101 | 2.98866 × 103 | 4.49861 × 101 |
| CDLOBA | 6.48827 × 103 | 1.71007 × 103 | 3.19776 × 103 | 1.34188 × 102 | 3.30902 × 103 | 1.00817 × 102 |
| BSSFOA | 1.25049 × 104 | 4.15229 × 102 | 7.32713 × 103 | 7.61185 × 102 | 4.96946 × 103 | 8.54779 × 101 |
| SCADE | 4.57113 × 103 | 3.84997 × 102 | 3.01439 × 103 | 3.79839 × 101 | 3.17776 × 103 | 2.86583 × 101 |
| CGPSO | 4.61575 × 103 | 2.84604 × 103 | 3.09483 × 103 | 1.39474 × 102 | 3.24776 × 103 | 1.40199 × 102 |
| OBLGWO | 2.93436 × 103 | 1.60266 × 103 | 2.81928 × 103 | 4.27943 × 101 | 2.96521 × 103 | 3.26361 × 101 |
| F25 | F26 | F27 | ||||
| AVG | STD | AVG | STD | AVG | STD | |
| HMCMMFO | 2.88662 × 103 | 2.31850 × 100 | 4.29885 × 103 | 1.66434 × 102 | 3.21537 × 103 | 1.10466 × 101 |
| FSTPSO | 3.80903 × 103 | 4.22414 × 102 | 8.64513 × 103 | 1.04959 × 103 | 3.75013 × 103 | 3.33357 × 102 |
| ALCPSO | 2.90160 × 103 | 2.29872 × 101 | 5.04676 × 103 | 5.28395 × 102 | 3.26136 × 103 | 4.44969 × 101 |
| CDLOBA | 2.92016 × 103 | 3.09550 × 101 | 9.91927 × 103 | 1.56755 × 103 | 3.51981 × 103 | 2.02790 × 102 |
| BSSFOA | 8.18323 × 103 | 8.20049 × 102 | 1.40078 × 104 | 1.47440 × 103 | 9.67126 × 103 | 6.85230 × 102 |
| SCADE | 3.45156 × 103 | 1.17093 × 102 | 7.41895 × 103 | 3.00524 × 102 | 3.43460 × 103 | 4.36814 × 101 |
| CGPSO | 2.91209 × 103 | 2.30965 × 101 | 4.66870 × 103 | 1.96387 × 103 | 3.24002 × 103 | 2.21509 × 102 |
| OBLGWO | 2.91070 × 103 | 1.58354 × 101 | 5.36174 × 103 | 7.06736 × 102 | 3.24087 × 103 | 1.75657 × 101 |
| F28 | F29 | F30 | ||||
| AVG | STD | AVG | STD | AVG | STD | |
| HMCMMFO | 3.17923 × 103 | 7.13571 × 101 | 3.59993 × 103 | 1.36984 × 102 | 1.35419 × 104 | 5.06496 × 103 |
| FSTPSO | 4.68773 × 103 | 4.77235 × 102 | 5.40032 × 103 | 5.34498 × 102 | 2.44164 × 107 | 1.76436 × 107 |
| ALCPSO | 3.25431 × 103 | 4.58890 × 101 | 3.80554 × 103 | 2.11994 × 102 | 2.31032 × 104 | 3.00373 × 104 |
| CDLOBA | 3.19569 × 103 | 4.92004 × 101 | 5.02853 × 103 | 4.92660 × 102 | 2.01968 × 105 | 1.47051 × 105 |
| BSSFOA | 9.39323 × 103 | 6.87934 × 102 | 2.48753 × 104 | 1.84269 × 104 | 7.73967 × 109 | 5.30175 × 108 |
| SCADE | 4.30153 × 103 | 3.07323 × 102 | 5.09990 × 103 | 2.35088 × 102 | 1.03853 × 108 | 3.88292 × 107 |
| CGPSO | 3.24643 × 103 | 2.91921 × 101 | 4.38928 × 103 | 3.16194 × 102 | 4.79992 × 106 | 1.73866 × 106 |
| OBLGWO | 3.28167 × 103 | 4.17184 × 101 | 3.96194 × 103 | 2.37288 × 102 | 2.39098 × 106 | 1.61698 × 106 |
| ARV | Rank | |||||
| HMCMMFO | 1.466667 | 1 | ||||
| FSTPSO | 6.233333 | 7 | ||||
| ALCPSO | 2.533333 | 2 | ||||
| CDLOBA | 4.666667 | 5 | ||||
| BSSFOA | 7.966667 | 8 | ||||
| SCADE | 5.733333 | 6 | ||||
| CGPSO | 3.9 | 4 | ||||
| OBLGWO | 3.5 | 3 | ||||
| Algorithm | Optimal Values for Variables | Optimum Cost | ||
| d | D | N | ||
| HMCMMFO | 0.051796 | 0.359300 | 11.13916 | 0.012665 |
| EWOA [81] | 0.051961 | 0.363306 | 10.91296 | 0.012667 |
| IDARSOA [82] | 0.051960 | 0.363240 | 10.91947 | 0.012670 |
| Improved HS [83] | 0.051154 | 0.349871 | 12.07643 | 0.012671 |
| RO [84] | 0.051370 | 0.349096 | 11.76279 | 0.012679 |
| ES [85] | 0.051989 | 0.363965 | 10.89052 | 0.012681 |
| GSA [86] | 0.050276 | 0.323680 | 13.52541 | 0.012702 |
| Mathematical optimization [87] | 0.053396 | 0.399180 | 9.185400 | 0.012730 |
| SSA [88] | 0.051207 | 0.345215 | 12.00403 | 0.126763 |
| WEMFO [68] | 0.050012 | 0.31674 | 14.197 | 0.012832 |
| Algorithm | Optimal Values for Variables | Optimum Cost | |
|---|---|---|---|
| x1 | x2 | ||
| HMCMMFO | 0.788673 | 0.408253 | 263.895843 |
| AGOA [89] | 0.788584 | 0.4085050 | 263.895849 |
| MBA [90] | 0.788565 | 0.4085597 | 263.895852 |
| CLSCA [91] | 0.78806 | 0.40998 | 263.8964 |
| CS [92] | 0.78867 | 0.40902 | 263.9716 |
| GWO [73] | 0.79477 | 0.39192 | 263.987 |
| FOA [93] | 0.768316 | 0.4691685 | 264.229309 |
| CBA [94] | 0.00871 | 0.98083 | 265.5966 |
| Algorithm | Optimal Values for Variables | Optimum Cost | |||
|---|---|---|---|---|---|
| R | L | ||||
| HMCMMFO | 0.8125 | 0.4375 | 42.09845 | 176.6366 | 6059.714 |
| G-QPSO [95] | 0.8125 | 0.4375 | 42.09840 | 176.6372 | 6059.721 |
| CDE [96] | 0.8125 | 0.4375 | 42.09840 | 176.6376 | 6059.734 |
| IDARSOA [82] | 0.812500 | 0.4375 | 42.09711 | 177.1901 | 6072.430 |
| AGOA [89] | 0.812500 | 0.437500 | 41.73619 | 181.1778 | 6104.325 |
| SCADE [78] | 1.465138 | 0.679596 | 65.0882 | 13.36838 | 6126.139 |
| GWO [73] | 2.176906 | 0.614469 | 63.9998 | 15.78465 | 6199.028 |
| Improved HS [83] | 1.12500 | 0.625000 | 58.29015 | 43.69268 | 7197.730 |
| Branch-and-bound [97] | 1.12500 | 0.625000 | 47.70000 | 117.7100 | 8129.104 |
| GSA [86] | 1.12500 | 0.625000 | 55.98866 | 84.45420 | 8538.836 |
| Algorithm | Optimal Values for Variables | Optimum Cost | |||
|---|---|---|---|---|---|
| HMCMMFO | 50.0000 | 80.0000 | 0.9000 | 2.321792 | 0.013074 |
| IDARSOA [82] | 50.0000 | 80.0000 | 0.9000 | 2.321769 | 0.013074 |
| SOS [98] | 50.0000 | 80.0000 | 0.9000 | 2.3218 | 0.013074 |
| CS [92] | 50.0000 | 80.0000 | 0.9000 | 2.3217 | 0.013075 |
| AGOA [89] | 43.12663 | 79.91247 | 0.932602 | 2.671865 | 0.013295 |
| ARSM [99] | 37.0500 | 80.0000 | 1.7100 | 2.3100 | 0.015700 |
| IARSM [99] | 48.4200 | 79.9900 | 0.9000 | 2.4000 | 0.131000 |
| Algorithm | Optimal Values for Variables | Optimum Cost | ||||||
|---|---|---|---|---|---|---|---|---|
| HMCMMFO | 3.5 | 0.7 | 17 | 7.3 | 7.71532 | 3.350215 | 5.286654 | 2994.4711 |
| AGOA [89] | 3.5 | 0.7 | 17 | 7.310097 | 7.737602 | 3.350234 | 5.287056 | 2995.3092 |
| IDARSOA [82] | 3.50608 | 0.7 | 17 | 7.3 | 7.71926 | 3.353154 | 5.288364 | 2998.7797 |
| GWO [73] | 3.50669 | 0.7 | 17 | 7.380933 | 7.815726 | 3.357847 | 5.286768 | 3001.2880 |
| PSO [100] | 3.50001 | 0.7 | 17 | 8.3 | 7.8 | 3.352412 | 5.286715 | 3005.7630 |
| SCA [69] | 3.50875 | 0.7 | 17 | 7.3 | 7.8 | 3.461020 | 5.289213 | 3030.5630 |
| GSA [86] | 3.6 | 0.7 | 17 | 8.3 | 7.8 | 3.369658 | 5.289224 | 3051.1200 |
Publisher’s Note: MDPI stays neutral with regard to jurisdictional claims in published maps and institutional affiliations. |
© 2022 by the authors. Licensee MDPI, Basel, Switzerland. This article is an open access article distributed under the terms and conditions of the Creative Commons Attribution (CC BY) license (https://creativecommons.org/licenses/by/4.0/).
Share and Cite
Yu, H.; Qiao, S.; Heidari, A.A.; Shi, L.; Chen, H. Mutational Chemotaxis Motion Driven Moth-Flame Optimizer for Engineering Applications. Appl. Sci. 2022, 12, 12179. https://doi.org/10.3390/app122312179
Yu H, Qiao S, Heidari AA, Shi L, Chen H. Mutational Chemotaxis Motion Driven Moth-Flame Optimizer for Engineering Applications. Applied Sciences. 2022; 12(23):12179. https://doi.org/10.3390/app122312179
Chicago/Turabian StyleYu, Helong, Shimeng Qiao, Ali Asghar Heidari, Lei Shi, and Huiling Chen. 2022. "Mutational Chemotaxis Motion Driven Moth-Flame Optimizer for Engineering Applications" Applied Sciences 12, no. 23: 12179. https://doi.org/10.3390/app122312179
APA StyleYu, H., Qiao, S., Heidari, A. A., Shi, L., & Chen, H. (2022). Mutational Chemotaxis Motion Driven Moth-Flame Optimizer for Engineering Applications. Applied Sciences, 12(23), 12179. https://doi.org/10.3390/app122312179

