Development of Nd-Doped CaWO4 Single Crystalline Scintillators Emitting Near-Infrared Light
Abstract
1. Introduction
2. Materials and Methods
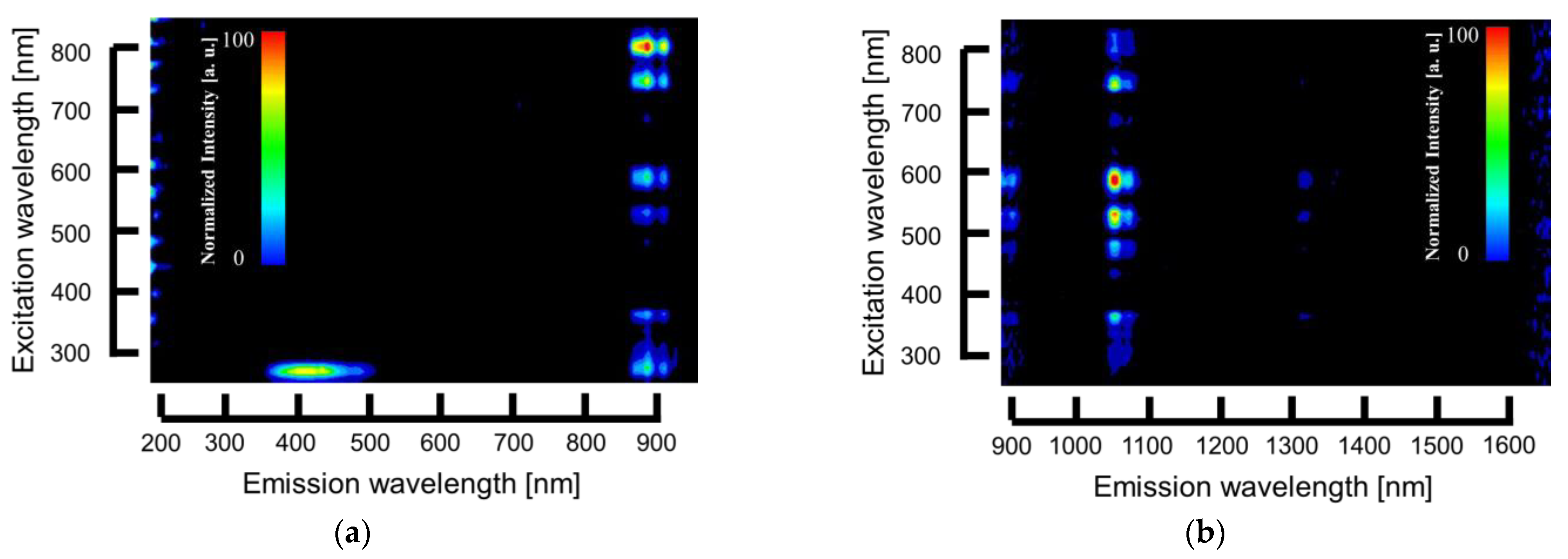
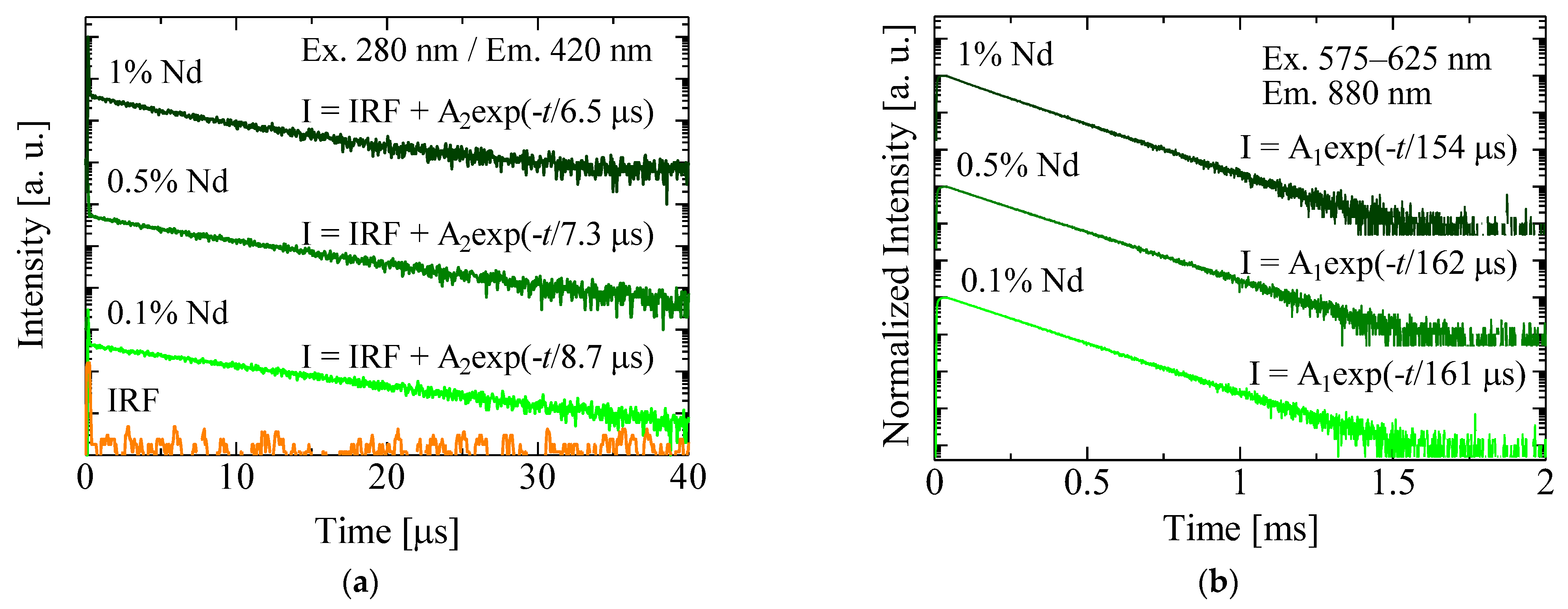
3. Results and Discussion
4. Conclusions
Author Contributions
Funding
Institutional Review Board Statement
Informed Consent Statement
Data Availability Statement
Conflicts of Interest
References
- Weber, M.J. Inorganic scintillators: Today and tomorrow. J. Lumin. 2002, 100, 35–45. [Google Scholar] [CrossRef]
- van Eijk, C.W.E. Inorganic scintillators in medical imaging detectors. Nucl. Instrum. Methods Phys. Res. A Accel. Spectrom. Detect. Assoc. Equip. 2003, 509, 17–25. [Google Scholar] [CrossRef]
- Ryzhikov, V.D.; Opolonin, A.D.; Pashko, P.V.; Svishch, V.M.; Volkov, V.G.; Lysetskaya, E.K.; Kozin, D.N.; Smith, C. Instruments and detectors on the base of scintillator crystals ZnSe(Te), CWO, CsI(Tl) for systems of security and customs inspection systems. Nucl. Instrum. Methods Phys. Res. A Accel. Spectrom. Detect. Assoc. Equip. 2005, 537, 424–430. [Google Scholar] [CrossRef]
- de Faoite, D.; Hanlon, L.; Roberts, O.; Ulyanov, A.; McBreen, S.; Tobin, I.; Stanton, K.T. Development of glass-ceramic scintillators for gamma-ray astronomy. J. Phys. Conf. Ser. 2015, 620, 012002. [Google Scholar] [CrossRef]
- Lecoq, P.; Korzhik, M. Scintillator developments for high energy physics and medical imaging. IEEE Trans. Nucl. Sci. 2000, 47, 1311–1314. [Google Scholar] [CrossRef]
- Melcher, C.L.; Schweitzer, J.S.; Manente, R.A.; Peterson, C.A. Applications of single crystals in oil well logging. J. Cryst. Growth 1991, 109, 37–42. [Google Scholar] [CrossRef]
- Nagarkar, V.V.; Gupta, T.K.; Miller, S.R.; Klugerman, Y.; Squillante, M.R.; Entine, G. Structured CsI(Tl) scintillators for X-ray imaging applications. IEEE Trans. Nucl. Sci. 1998, 45, 492–496. [Google Scholar] [CrossRef]
- Melcher, C.L.; Schweitzer, J.S. A promising new scintillator: Cerium-doped lutetium oxyorthosilicate. Nucl. Instrum. Methods Phys. Res. A Accel. Spectrom. Detect. Assoc. Equip. 1992, 314, 212–214. [Google Scholar] [CrossRef]
- Takagi, K.; Fukazawa, T. Cerium-activated Gd2SiO5 single crystal scintillator. Appl. Phys. Lett. 1983, 42, 43–45. [Google Scholar] [CrossRef]
- Quarati, F.G.A.; Owens, A.; Dorenbos, P.; de Haas, J.T.M.; Benzoni, G.; Blasi, N.; Boiano, C.; Brambilla, S.; Camera, F.; Alba, R.; et al. High energy gamma-ray spectroscopy with LaBr3 scintillation detectors. Nucl. Instrum. Methods Phys. Res. A Accel. Spectrom. Detect. Assoc. Equip. 2011, 629, 157–169. [Google Scholar] [CrossRef]
- Farrell, R.; Olschner, F.; Shah, K.; Squillante, M.R. Advances in semiconductor photodetectors for scintillators. Nucl. Instrum. Methods Phys. Res. A Accel. Spectrom. Detect. Assoc. Equip. 1997, 387, 194–198. [Google Scholar] [CrossRef]
- Sakai, E. Recent Measurements on Scintillator-Photodetector Systems. IEEE Trans. Nucl. Sci. 1987, 34, 418–422. [Google Scholar] [CrossRef]
- Theocharous, E. Absolute linearity measurements on a PbS detector in the infrared. Appl. Opt. 2006, 45, 2381–2386. [Google Scholar] [CrossRef] [PubMed]
- Wei, C.Y.; Wang, K.L.; Taft, E.A.; Swab, J.M.; Gibbons, M.D.; Davern, W.E.; Brown, D.M. Technology development for InSb infrared imagers. IEEE Trans. Electron Devices 1980, 27, 170–175. [Google Scholar] [CrossRef]
- Maruyama, T. Development of a near-infrared photon-counting system using an InGaAs avalanche photodiode. Opt. Eng. 2002, 41, 395. [Google Scholar] [CrossRef]
- Nakauchi, D.; Fujimoto, Y.; Kato, T.; Kawaguchi, N.; Yanagida, T. Properties of Sm-Doped SrCl2 Crystalline Scintillators. Crystals 2022, 12, 517. [Google Scholar] [CrossRef]
- Duan, Y.; Liu, B. Recent Advances of Optical Imaging in the Second Near-Infrared Window. Adv. Mater. 2018, 30, 1802394. [Google Scholar] [CrossRef]
- Nakauchi, D.; Fujimoto, Y.; Kato, T.; Kawaguchi, N.; Yanagida, T. X- and γ-ray response of Sm-doped SrBr2 crystalline scintillators emitting red-NIR photons. Jpn. J. Appl. Phys. 2021, 60, 092002. [Google Scholar] [CrossRef]
- Kaptanoglu, T.; Luo, M.; Klein, J. Cherenkov and scintillation light separation using wavelength in LAB based liquid scintillator. J. Instrum. 2019, 14, T05001. [Google Scholar] [CrossRef]
- Takada, E.; Kimura, A.; Hosono, Y.; Takahashi, H.; Nakazawa, M. Radiation Distribution Sensor with Optical Fibers for High Radiation Fields. J. Nucl. Sci. Technol. 1999, 36, 641–645. [Google Scholar] [CrossRef]
- Irshad Ahamed, M.; Sathish Kumar, K. Studies on Cu2SnS3 quantum dots for O-band wavelength detection. Mater. Sci. 2019, 37, 225–229. [Google Scholar] [CrossRef]
- Rodnyi, P.A. Physical Processes in Inorganic Scintillators; New York CRC Press: New York, NY, USA, 1997. [Google Scholar]
- Baccaro, S.; Bohacek, P.; Cecilia, A.; Laguta, V.; Montecchi, M.; Mihokova, E.; Nikl, M. Effect of La Doping on Calcium Tungstate (CaWO4) Crystals Radiation Hardness. Phys. Status Solidi 2000, 178, 799–804. [Google Scholar] [CrossRef]
- Okazaki, K.; Fukushima, H.; Nakauchi, D.; Okada, G.; Onoda, D.; Kato, T.; Kawaguchi, N.; Yanagida, T. Luminescence and dose-rate response properties of Pr-doped Bi4Ge3O12 scintillators. Radiat. Meas. 2022, 154, 106773. [Google Scholar] [CrossRef]
- Meral, G.; Tasar, F.; Kocagöz, S.; Sener, C. Factors affecting the antibacterial effects of Nd:YAG laser in vivo. Lasers Surg. Med. 2003, 32, 197–202. [Google Scholar] [CrossRef] [PubMed]
- Yanagida, T.; Fujimoto, Y.; Ishizu, S.; Fukuda, K. Optical and scintillation properties of Nd differently doped YLiF4 from VUV to NIR wavelengths. Opt. Mater. 2015, 41, 36–40. [Google Scholar] [CrossRef]
- Kantuptim, P.; Akatsuka, M.; Nakauchi, D.; Kato, T.; Kawaguchi, N.; Yanagida, T. Optical and scintillation properties of Nd-doped Lu2Si2O7 single crystals. J. Alloys Compd. 2021, 860, 158538. [Google Scholar] [CrossRef]
- Fujimoto, Y.; Yanagida, T.; Kojima, T.; Koshimizu, M.; Hironori, T.; Keisuke, A. Optical and Near-Infrared Scintillation Properties of Nd3+-Doped YVO4 Crystals. Sens. Mater. 2016, 28, 857–861. [Google Scholar] [CrossRef]
- Akatsuka, M.; Kimura, H.; Onoda, D.; Shiratori, D.; Nakauchi, D.; Kato, T.; Kawaguchi, N.; Yanagida, T. X-ray-induced Luminescence Properties of Nd-doped GdVO4. Sens. Mater. 2021, 33, 2243–2250. [Google Scholar] [CrossRef]
- Yanagida, T.; Kamada, K.; Fujimoto, Y.; Yagi, H.; Yanagitani, T. Comparative study of ceramic and single crystal Ce:GAGG scintillator. Opt. Mater. 2013, 35, 2480–2485. [Google Scholar] [CrossRef]
- Yanagida, T.; Fujimoto, Y.; Ito, T.; Uchiyama, K.; Mori, K. Development of X-ray-induced afterglow characterization system. Appl. Phys. Express 2014, 7, 062401. [Google Scholar] [CrossRef]
- Yaba, T.; Wangkhem, R.; Singh, N.S. Enhanced red emission from Bi3+ sensitized CaWO4:Eu3+ as red component for near UV/blue LED pumped white light emission. J. Alloys Compd. 2020, 843, 156022. [Google Scholar] [CrossRef]
- Kang, F.; Hu, Y.; Chen, L.; Wang, X.; Mu, Z.; Wu, H.; Ju, G. Eu3+ Doped CaWO4—A Potential Red Long Afterglow Phosphor. Appl. Phys. B 2012, 107, 833–837. [Google Scholar] [CrossRef]
- Suneetha, P.; Rajesh, C.; Ramana, M.V. Nd-doped CaWO4 nanocrystals—Synthesis and characterization. Mater. Res. Express 2017, 4, 085020. [Google Scholar] [CrossRef]
- Das, D.; Gupta, S.K.; Datrik, C.S.; Nandi, P.; Sudarshan, K. Role of alkali charge compensation in the luminescence of CaWO4:Nd3+ and SrWO4:Nd3+ Scheelites. New J. Chem. 2020, 44, 7300–7309. [Google Scholar] [CrossRef]
- Kang, F.; Peng, M. A new study on the energy transfer in the color-tunable phosphor CaWO4:Bi. Dalton Trans. 2014, 43, 277–284. [Google Scholar] [CrossRef] [PubMed]
- Wei, Y.; Tu, C.; Wang, H.; Yang, F.; Jia, G.; You, Z.; Lu, X.; Li, J.; Zhu, Z.; Wang, Y. Optical properties of Nd3+:NaLa (WO4)2 single crystal. Opt. Mater. 2007, 29, 1653–1657. [Google Scholar] [CrossRef]
- Okazaki, K.; Onoda, D.; Fukushima, H.; Nakauchi, D.; Kato, T.; Kawaguchi, N.; Yanagida, T. Characterization of scintillation properties of Nd-doped Bi4Ge3O12 single crystals with near-infrared luminescence. J. Mater. Sci. Mater. Electron. 2021, 32, 21677–21684. [Google Scholar] [CrossRef]
- Kraus, H.; Mikhailik, V.B.; Ramachers, Y.; Day, D.; Hutton, K.B.; Telfer, J. Feasibility study of a ZnWO4 scintillator for exploiting materials signature in cryogenic WIMP dark matter searches. Phys. Lett. Sect. B Nucl. Elem. Part. High-Energy Phys. 2005, 610, 37–44. [Google Scholar] [CrossRef]
- Nakauchi, D.; Okada, G.; Koshimizu, M.; Yanagida, T. Optical and scintillation properties of Nd-doped SrAl2O4 crystals. J. Rare Earths 2016, 34, 757–762. [Google Scholar] [CrossRef]
- Akatsuka, M.; Nakauchi, D.; Kato, T.; Kawaguchi, N.; Yanagida, T. Characterization of Nd: LaVO4 single-crystal scintillator emitting near-infrared photons. Jpn. J. Appl. Phys. 2022, 61, SB1025. [Google Scholar] [CrossRef]
- Okada, G.; Kawaguchi, N.; Yanagida, T. Development of NIR-Emitting Scintillators Based on Rare-Earth-Doped Garnet Crystals—Part 1. Sens. Mater. 2017, 29, 1407–1415. [Google Scholar] [CrossRef][Green Version]
- Zorenko, Y.; Pashkovsky, M.; Voloshinovskii, A.; Kuklinski, B.; Grinberg, M. The luminescence of CaWO4: Bi single crystals. J. Lumin. 2006, 116, 43–51. [Google Scholar] [CrossRef]
- Yanagida, T.; Akatsuka, M.; Okada, G.; Kawaguchi, N. Optical and scintillation properties of Nd-doped YAlO3 crystals. Opt. Mater. 2019, 90, 14–19. [Google Scholar] [CrossRef]
- Akatsuka, M.; Nakauchi, D.; Kato, T.; Kawaguchi, N.; Yanagida, T. Scintillation properties of Nd-doped MSiO3 (M = Ca, Sr, Ba) single crystals. Radiat. Meas. 2020, 133, 106298. [Google Scholar] [CrossRef]
- Yanagida, T. Inorganic scintillating materials and scintillation detectors. Proc. Jpn. Acad. Ser. B 2018, 94, 75–97. [Google Scholar] [CrossRef] [PubMed]
- Nakauchi, D.; Kato, T.; Kawaguchi, N.; Yanagida, T. Characterization of Eu-doped Ba2SiO4, a high light yield scintillator. Appl. Phys. Express 2020, 13, 122001. [Google Scholar] [CrossRef]
- Robbins, D.J. On Predicting the Maximum Efficiency of Phosphor Systems Excited by Ionizing Radiation. J. Electrochem. Soc. 1980, 127, 2694–2702. [Google Scholar] [CrossRef]
- Fukushima, H.; Akatsuka, M.; Kimura, H.; Onoda, D.; Shiratori, D.; Nakauchi, D.; Kato, T.; Kawaguchi, N.; Yanagida, T. Optical and Scintillation Properties of Nd-doped Strontium Yttrate Single Crystals. Sens. Mater. 2021, 33, 2235–2241. [Google Scholar] [CrossRef]
- Akatsuka, M.; Nakauchi, D.; Kato, T.; Noriaki, K.; Takayuki, Y. Scintillation Properties of Nd-doped LuVO4 Single Crystals. Sens. Mater. 2022, 34, 619–627. [Google Scholar] [CrossRef]
- Kodama, S.; Kurosawa, S.; Ohno, M.; Morishita, Y.; Usami, H.; Hayashi, M.; Sasano, M.; Azuma, T.; Tanaka, H.; Kochurikhin, V.; et al. Fiber-read radiation monitoring system using an optical fiber and red-emitting scintillator for ultra-high-dose conditions. Appl. Phys. Express 2020, 13, 047002. [Google Scholar] [CrossRef]
- Michail, C.; Koukou, V.; Martini, N.; Saatsakis, G.; Kalyvas, N.; Bakas, A.; Kandarakis, I.; Fountos, G.; Panayiotakis, G.; Valais, I. Luminescence Efficiency of Cadmium Tungstate (CdWO4) Single Crystal for Medical Imaging Applications. Crystals 2020, 10, 429. [Google Scholar] [CrossRef]
- Lewis, E.; O’Keeffe, S.; Grattan, M.; Hounsell, A.; McCarthy, D.; Woulfe, P.; Cronin, J.; Mihai, L.; Sporea, D.; Santhanam, A.; et al. Terbium-doped gadolinium oxysulfide (Gd2O2S:Tb) scintillation-based polymer optical fibre sensor for real time monitoring of radiation dose in oncology. Opt. Sens. Detect. III 2014, 9141, 914113. [Google Scholar] [CrossRef]









Publisher’s Note: MDPI stays neutral with regard to jurisdictional claims in published maps and institutional affiliations. |
© 2022 by the authors. Licensee MDPI, Basel, Switzerland. This article is an open access article distributed under the terms and conditions of the Creative Commons Attribution (CC BY) license (https://creativecommons.org/licenses/by/4.0/).
Share and Cite
Okazaki, K.; Nakauchi, D.; Fukushima, H.; Kato, T.; Kawaguchi, N.; Yanagida, T. Development of Nd-Doped CaWO4 Single Crystalline Scintillators Emitting Near-Infrared Light. Appl. Sci. 2022, 12, 11624. https://doi.org/10.3390/app122211624
Okazaki K, Nakauchi D, Fukushima H, Kato T, Kawaguchi N, Yanagida T. Development of Nd-Doped CaWO4 Single Crystalline Scintillators Emitting Near-Infrared Light. Applied Sciences. 2022; 12(22):11624. https://doi.org/10.3390/app122211624
Chicago/Turabian StyleOkazaki, Kai, Daisuke Nakauchi, Hiroyuki Fukushima, Takumi Kato, Noriaki Kawaguchi, and Takayuki Yanagida. 2022. "Development of Nd-Doped CaWO4 Single Crystalline Scintillators Emitting Near-Infrared Light" Applied Sciences 12, no. 22: 11624. https://doi.org/10.3390/app122211624
APA StyleOkazaki, K., Nakauchi, D., Fukushima, H., Kato, T., Kawaguchi, N., & Yanagida, T. (2022). Development of Nd-Doped CaWO4 Single Crystalline Scintillators Emitting Near-Infrared Light. Applied Sciences, 12(22), 11624. https://doi.org/10.3390/app122211624

