Next Article in Journal
Testing of Structural Integrity of U-Shaped Sheet Pile in Canal Engineering Using Ground Penetrating Radar
Previous Article in Journal
Numerical Simulation of Airflow Distribution in a Pregnant Sow Piggery with Centralized Ventilation
 
 
Font Type:
Arial Georgia Verdana
Font Size:
Aa Aa Aa
Line Spacing:
Column Width:
Background:
Article

Development of a Simulator Capable of Generating Age-Specific Pulse Pressure Waveforms for Medical Palpation Training

1
Department of Electronic Engineering, Korea National University of Transportation, 50 Daehak-ro, Chungju-si 27469, Republic of Korea
2
Department of Mathematics, Kunsan National University, 558 Daehak-ro, Gunsan-si 54150, Republic of Korea
3
Department of Mechanical and Manufacturing Engineering, Miami University, Oxford, OH 45242, USA
4
Digital Health Research Division, Korea Institute of Oriental Medicine, 1672, Yuseong-daero, Yuseong-gu, Daejeon 34054, Republic of Korea
*
Authors to whom correspondence should be addressed.
These authors contributed equally to this work.
Appl. Sci. 2022, 12(22), 11555; https://doi.org/10.3390/app122211555
Submission received: 2 September 2022 / Revised: 3 November 2022 / Accepted: 7 November 2022 / Published: 14 November 2022
(This article belongs to the Section Computing and Artificial Intelligence)

Abstract

With the emergence of the metaverse and other human–computer interaction technologies, promising applications such as medical palpation training are growing for training and education purposes. Thus, the overarching goal of this study is to develop a portable and simple pulse pressure simulator that can reproduce age-specific pulse pressure waveforms for medical palpation training. For training applications, the simulator is required to produce accurate radial pulse waveforms consistently and repeatedly. To this end, exploiting the cam-based pneumatic pulse generation mechanism, this study intends to develop a cylindrical (or 3D) cam whose continually varying surface contains a wide range of age-related pulse pressure profiles. To evaluate the performance of the simulator, the reproduced pulse waveforms were compared with approximate radial pulse pressure waveforms based on in vivo data in terms of the augmentation index (AI) and L2 error. The results show that the errors were less than 10% for all ages, indicating that the proposed pulse simulator can reproduce the age-specific pulse waveforms equivalent to human radial pulse waveforms. The findings in this study suggest that the pulse simulator would be an excellent system for RAPP palpation training as it can reproduce a desired pulse accurately and consistently.

1. Introduction

Blending Virtual Reality (VR) and Augmented Reality (AR), Mixed Reality (MR) technology is gaining growing attention in education, manufacturing, and healthcare industries. While VR technology deals with creating a digital simulation of real-world environments and completely immersive experiences in the virtual environment, AR technology overlays digital content in the real-world environment. MR technology, also known as hybrid or extended reality, combines VR and AR technologies with added features. It allows the interaction between virtual objects and physical objects. With the advancement of artificially intelligent, vision, and cloud computing, MR technology is expected to continue to enhance human–computer interactions [1].
Recently, MR technology has been receiving more and more attention in the healthcare field, albeit not yet actively applied in medical practice and applications [2]. In the medical field, MR technology can be effectively applied to train surgeons and medical students, such as training the implementation of medical implants and teaching anatomy classes. Moreover, the advancement of haptic technology that is capable of providing realistic tactile and kinesthetic feedback to the user significantly contributes to the development of medical training simulators. Medical training simulators based on haptic technology have become an important training alternative to achieve shorter learning curves and transfer skills for real procedures and operations. Escobar-Castillejos et al. reviewed medical simulators based on haptic devices for stitching, dental palpation procedures, endoscopy, laparoscopy, and orthopedics [3].
One of the important potential applications of MR technology includes medical palpation training. In a previous study, an augmented reality simulation method was applied for training femoral palpation [4,5]. The method of giving haptic feedback is important for palpation training for diagnosing the condition of a virtual patient [6]. In practical robotic-based telesurgery, a technique has been developed that allows the surgeon to feel the fingertip contact deformation as a vibration for ensuring the stability of the teleoperator [7]. Although vibration feedback can be a convenient haptic sensory transmission method, pneumatic-actuated haptic feedback in VR/AR-based medical simulators can deliver a sensation similar to a real human pulse [8,9,10,11]. The pneumatic-actuated haptic feedback method, which is actively controlled by a pneumatic pump, is a convenient method of delivering haptic cues but is not suitable for applications that require precise palpation feedback, such as radial artery pulse palpation (RAPP) training.
RAPP holds significant potential for such an application. In particular, diagnosis of illness based on the palpation of the radial artery is important in traditional and modern medicine. RAPP on the wrist is the primary diagnosis method for Oriental medicine [12], and it is one of the pragmatic diagnosis methods for predicting the risks of cardiovascular diseases in Western medicine. This is mainly attributed to the benefits of RAPP, which provides hemodynamic features (such as arterial stiffness, blood pressure, and cardiac output), ease of access to the arteries, and comfortable measurement conditions [13,14,15]. In particular, by using RAPP, Oriental medical experts categorize the radial artery pulse waveforms into 28 classes to diagnose the causes of diseases [16]. To classify subtle changes in the pulse waveforms, they feel various temporal and spatial features such as pulse amplitude, width, length, depth, rate, and shape only using their fingertips. Therefore, taking a pulse is a dexterous manipulation skill; hence, repetitive training is necessary to be an expert.
In addition to the medical implications, the quality of the RAPP serves as a diagnostic test in tactical combat casualty care (TCCC), as it can be used as an important surrogate marker of hemorrhagic shock. Naylor et al. report that the tactical combat casualty care guidelines recommend the use of the radial pulse strength to guide the administration of blood products or intravenous fluids when equipment for blood pressure monitoring is not available [17]. They performed a correlation study between the radial pulse strength and the systolic blood pressure (SBP) readings using the dataset from the Department of Defense Trauma Registry to analyze the efficacy of the radial pulses for casualty assessment. Other studies also studied the radial pulse in relationship to systolic blood pressure and trauma guidelines [18,19]. The studies and TCCC guidelines suggest that the quality of RAPP (such as strong, weak, and absent radial pulse) in conjunction with SBD is used to assess combat casualty and guide resuscitation protocols. Wightman points out that palpation of radial pulses is highly subjective and inconsistent between examiners [20]. Thus, pulse simulators that can produce controlled pulses consistently and repeatedly would be useful for training medical examiners on the battlefield. They would allow a scientific study between the radial pulses and SBPs to establish statistical correlations and quantify the subjective assessments of pulse strength.
Currently, a few radial pulse simulators are available for medical training. They offer their own advantages and disadvantages in generating sophisticated blood pressure waveforms. ViVitro Labs, Inc., developed an endovascular simulator that can generate pulsatile flow and blood pressure waveforms similar to humans [21]. Lee et al. developed a cardiovascular simulator for studying the depth, rate, shape, and strength of radial pulses [22]. Tellyes Scientific Inc. developed a pulse-training simulator (Victor Pulse) that can adjust the characteristic parameters of the pulse wave by manipulating the opening time of the hydraulic valve and the hydraulic pressure intensity [23]. Although these simulators create various blood pressure waveforms, they circulate fluid using pumps. Thus, they present maintenance issues that include fluid leakage. Moreover, the repeatability and accuracy of the generated pulse waveforms can be compromised by unwanted vortexes originating from the reflection of pressure waves. In general, it is challenging to produce age-dependent pulse waveforms with precise notches in the pulse pressure waveforms due to the bifurcation of the arteries. As an alternative to fluid-based simulators, Yang et al. developed simulators based on pneumatic pressure produced by a cam mechanism [24]. Because the cam profiles are determined based on human pulse pressure waveform data obtained from a tonometric measurement method, the pneumatic simulators can precisely reproduce actual radial pulse pressure waveforms. Despite this strength, the primary limitation of the pneumatic simulator is that it only produces a single pulse waveform defined in the cam profile. Thus, a new cam needs to be constructed for a different pulse waveform, so a large number of cams would need to be fabricated and replaced to generate a range of age-specific pulse waveforms. In other words, the cam simulator can only discretely generate a pulse waveform depending on the specific cam used in the system.
In an effort to develop a new portable pulse simulator for medical palpation training, this study intends to develop a pneumatic system based on a cam mechanism that is capable of generating a wide range of age-related radial pulse waveforms. For a simple yet versatile system design, it proposes to develop a “universal” cam, which is a single cam that encompasses a range of pulse waveform profiles. Unlike the “discrete” cam system, the universal cam allows the system to produce a range of pulses continuously without replacing cams. To design the cam, this study utilizes the mean pulse pressure data obtained from actual tonometric measurements of ages 15, 35, 65, and 85 years old, and it then interpolates these mean data to determine the profile of the proposed cam that varies continuously, representing pulse waveforms for all age groups. Following the design and fabrication of the cam, a prototype simulator was built. The performance of the prototype was then experimentally evaluated, and the results were compared to those reproduced in in vivo pulse pressure waveforms.
In the next section, the design process of the proposed cam is introduced using the average pulse pressure waveform data of 15, 35, 65, and 85 years old obtained from tonometric measurement. It then describes the development process of the pulse pressure waveform simulator equipped with the manufactured cam. Finally, the comparison results of age-specific artificial pulse pressure waveforms generated by the developed simulator with human pulse pressure waveforms are described.

2. Methods

2.1. Design and Fabrication of the Proposed “Universal” Cam

As mentioned earlier, the previously developed cam-based pulse pressure simulator incorporates a cam that is able to accurately generate the pulse pressure waveform of a specific age group. However, it requires a new cam for each of the desired age-specific pulse waveforms. It is not feasible to fabricate and replace cams each time to generate a wide range of age-specific pulse pressure waveforms. To address the limitations of the simulator, the current study proposes a universal cam that can conveniently and accurately generate pulse pressure waveforms for all age groups. This section describes the design of the proposed universal cam.
As aging progresses, the elasticity of blood vessels changes along with the size and speed of reflected waves, resulting in changes in blood pressure waveforms with a tendency for each age [25]. Thus, the main design component of the proposed cam is to incorporate the overall trends of blood pressure with age in its profile that represents the magnitude of the pulse pressure for a range of age groups. This study uses four representative in vivo pulse pressure waveform data for teen and elderly age groups, and the curve models the mean pulse pressure of age groups by linear and polynomial regression to determine the cam profile. Figure 1a shows the normalized average pulse pressure waveforms of four age groups (15, 35, 65, and 85 years) obtained by using in vivo pulse pressure data collected from about 1000 human subjects [26]. The obtained average pulse pressure waveforms for these four age groups well represent humans’ complex blood waveforms consisting of the forward wave generated from the heart and the reflected wave reflected from the branching point of the blood vessel and the heart valve [25]. Figure 1b shows the polynomial regression curve fitted to mean pulse pressure by age [27]. This curve is adopted to determine the first peak’s magnitude of the pulse pressure between each of the four age groups. In order to design a continuously varying circular cam profile, the pulse pressure waveform, which is in the rectangular coordinate with pulse pressure and time axes, needs to be converted in the polar coordinate with radial and transverse axes. That is, one cycle (800 ms) of the pulse pressure waveform was converted to 360°. Figure 1c shows the cam profiles for the four age groups obtained from the pulse pressure graphs in Figure 1a. The polynomial regression method is then employed on the four circular cam profiles in order to create the entire cam contour, as shown in Figure 1d.
Upon designing the cam, a prototype cam was fabricated (see Figure 2). A 3D wire cutting technique was used to precisely machine the contour of the cam. A nonmagnetic and high-rigidity material (stainless-steel 304) was used. Note that four holes were cut out inside the cam to reduce the overall weight of the cam and balance the cam during its operation with rotational motion. Note also that this cam is going to be referred to as a cylindrical or three-dimensional (or 3D) cam because its profile continuously varies along the axial direction as opposed to a conventional cam, which is a thin disk whose profile is fixed (can be considered as a 2D cam). Thus, the universal cam (from the functionality of the cam point of view) and the 3D cam (in terms of the shape of the cam) will be interchangeably used to refer to the cam proposed and fabricated in this study.

2.2. Construction of the Pulse Simulator

This section describes the design and fabrication of a portable pressure waveform simulator system that utilizes the 3D cam. It is intended to generate age-specific pulse pressure waveforms and adjust the diastolic pressure with a simple press of control buttons. Figure 3a shows a conceptual diagram of the pulse pressure waveform simulator. As shown in the figure, this system consists of three main components that include stepping motors, a built-in pressure sensor, and a control unit with an LCD display. A high-speed stepping motor (PKP546N28A2-TS20) is used to rotate the 3D cam in order to produce a precise pulse waveform and the pulse rate (see ① in Figure 3b). To measure the pulse rate, a hall sensor is used, and it can count the rotation of the cam by detecting the magnetic field from the small magnet embedded in the side of the cam. The rotational speed of the cam is then used to determine the pulse rate. To adjust the pulse pressure waveform for a desired age group, another stepping motor (② in Figure 3b) is employed. It moves the cam-follower assembly, which is installed on linear motion guides, along the length of the cam to the specific location of the 3D cam, where it generates the desired pulse profile. ③ in Figure 3b shows the cam-follower assembly that incorporates a miniature ultra-soft bellows module. The roller tip of the cam-follower is in contact with the 3D cam surface, and the piston of the cam-follower compresses or extends the bellows according to the contour line of the 3D cam as it rotates. The compression and extension of the piston, in turn, produce the pulse waveform. The bellows compensate for the leakage and friction between the piston and cylinder, improving the accuracy of the output pulse pressure waveform [28]. To measure the pulse pressure waveform generated in the cam-follower and bellows module in real-time, a small air pressure sensor (Honeywell, 40PC006G) was attached to the bellows by a tube. The pressure sensor readings are processed by the microprocessor unit. As shown in ④ in Figure 3b, the system includes a third stepping motor to regulate the diastolic pressure. A small ultra-soft bellows module is augmented to this motor in order to regulate the diastolic pressure level by adjusting the amount of air in the bellows. Built into the housing of the system, the microcontroller unit calculates the pulse pressure, diastolic pressure, and mean pressure from the measured pulse pressure waveform value in real-time. These values are controlled by buttons on the control panel (see ⑥ in Figure 3b). The LCD module displays the state of the control inputs and the output pulse pressure waveform in real-time (see ⑤ in Figure 3b).

3. Results and Discussion

Using the prototype pulse simulator, this study performed a series of tests and produced pulse pressure waveforms over a wide range of age groups. The performance of the simulator was then evaluated by assessing the age-specific pulse waveforms generated by it. Human radial pulse pressure waveforms are formed by complex physiological mechanisms of the cardiovascular system, and aging has a significant effect on the magnitude and shapes of pulse waveforms. Thus, the performance evaluation focuses on if the pulse simulator is capable of generating age-dependent pulse waveforms that can capture the physiological characteristics of pulse waveforms associated with aging. Moreover, the accuracy of pulse pressure waveforms is quantitively analyzed using mathematically obtained age-related pulse waveforms based on in vivo data.
Figure 4 shows the pulse pressure waveforms generated by the pulse simulator from 15 to 85 years of age with 10-year increments by changing the position of the cam follower assembly along the 3D cam. Typically, the increase in arterial stiffness with aging results in the increment of the amplitude and pulse wave velocity of the reflected wave [25]. This leads to an increase in the magnitude of pulse waveforms and a decrease in the interval between the first and second peaks of the waveforms. These trends are observed in the experimental results. As shown in the graphs in Figure 4, the peak pressure values increase as age increases. Moreover, the distance between the first peak and other smaller peaks decreases as the age increases from 15 to 85. In fact, the results show that the magnitude of the pulse pressure, the difference between the peak pressure (systolic pressure) value and the minimum (diastolic pressure) value, is increased from about 30 mmHg to 75 mmHg with the increase in age. Note that the diastolic pressure was set to 80 mmHg in this study. Thus, the results indicate that the pulse pressure waveforms produced by the 3D cam-based pulse pressure simulator can represent realistic age-dependent pulse waveforms that are physiologically consistent with human radial artery pulse pressure (RAPP) waveforms.
To further evaluate the (artificial) pulse pressure waveforms (produced by 3D CAM), they are compared with (human) approximate pulse pressure waveforms. To quantitatively analyze the pulse waveforms, two indexes are employed. First, the L2 error, the best method to evaluate the error between two consecutive data through least-squares fitting, between the pulse pressure waveforms generated by the developed simulator and the approximate human waveforms, is calculated. In addition to the error analysis, the radial Augmentation Index (AI) value is analyzed. The AI is clinically used as a measure of vascular stiffness with age, and it is expressed by the following equation. Since the small error between AI values means that the pulse pressure waveforms are generated under conditions of clinically similar vascular stiffness, it is used for clinical similarity analysis between pulse pressure waveforms.
Radial   Augmentation   Index   ( AI ) = Late   Systolic   Pulse   Pressure Early   Systolic   Pulse   Pressure   ×   100   ( % )
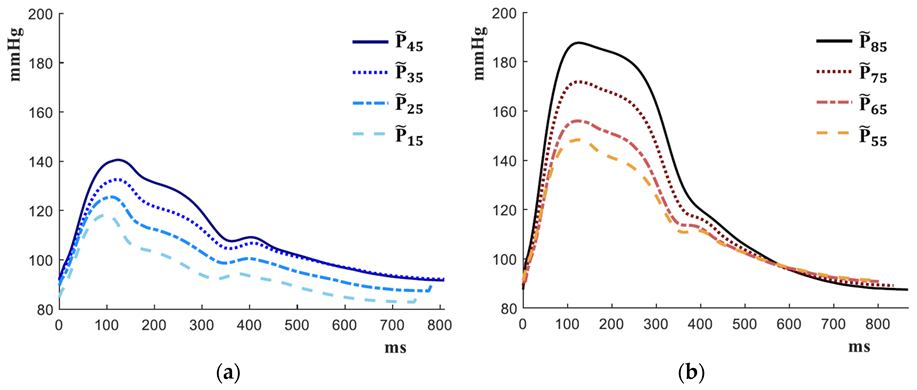
Collecting pulse waveforms using human subjects of all ages is a daunting task. For the current study, it was not feasible as it requires tremendous resources beyond the scope of this study. Thus, as an alternative to full-scale clinical testing, it uses approximate pulse pressure waveforms of 15–85 years of age, obtained by a mathematical model based on in vivo data measured on about 1000 subjects [26], to analyze the pulse waveforms produced by the simulator. The in vivo data were measured by a robotic tonometry system at the Korea Institute of Oriental Medicine in a separate study [26]. Figure 5 shows the approximate pulse waveforms for ages 15 through 85 with an increment of 10 years.
Figure 6 compares the pulse pressure waveforms reproduced by the developed simulator and approximate pulse pressure waveforms after normalizing them by age. Overall, they match well, and, particularly, the initial slope and the first peak coincide well. The L2 errors and the AI values of each case are calculated, and the results are summarized in Table 1.
In Table 1, it can be confirmed that the L2 error is less than 9.6% at all ages, and the AI error is at most 9.4% or less at all ages. These errors fall within the acceptable level of accuracy in generating actual radial pulse pressures. As a matter of fact, in vivo data (systolic pulse pressure) obtained by a tonometric method using hundreds of subjects by age show an average standard deviation of 11.7% [26]. Thus, the error analysis results indicate that the developed simulator is capable of generating realistic human pulse waveforms. Moreover, the low AI error results indicate that the pulse pressure waveforms generated by the 3D cam-based pulse pressure simulator can be used to estimate AI values accurately when clinically judging arteriosclerosis.

4. Conclusions

In this study, a pulse simulator system with a universal or 3D cam has been developed. The cam offers a cost-effective and simple (yet versatile) way to produce a wide range of radial pulse pressure (RAPP) waveforms. Unlike conventional thin disk-type cams, the newly devised 3D cam allows the pulse simulator to generate a specific pulse in a range of pulse waveforms without having to make multiple cams and replace them. In designing the 3D cam, this study used in vivo pulse waveform data for four age groups (15, 35, 65, and 85 years old) obtained from tonometric measurements. After a coordinate transformation of the average pulse waveforms, the cam profile (a two-dimensional cam shape) was created for each of the four age groups. These four cam profiles were then used to create the profile of the 3D cam by the linear regression method. A 3D cam was fabricated using precision machining technology, and it was incorporated into the prototype pulse simulator. The prototype simulator utilizes stepping motors to control the rotational speed of the cam and the position of the cam follower assembly at a specific location of the 3D cam in order to produce the desired pulse waveform. The prototype simulator generated age-dependent pulse waveforms from 15 years old to 85 years old with an increment of 10 years. These waveforms were compared with approximate human RAPP waveforms to evaluate the performance of the prototype system. The results show that the simulator-generated pulse waveforms capture the age-related physiological characteristics of the human RAPP well. Furthermore, the augmentation index (AI) and the L2 errors between the pulse waveforms by the simulator and those of approximate human data were analyzed. The results show that the errors are less than 10% for all ages, indicating that the 3D cam-based pulse simulator is capable of generating virtually all age-specific radial pulse pressure waveforms that are equivalent to human RAPPs.
The simulator is also capable of producing pulse waveforms consistently and repeatedly and altering pulse parameters conveniently to reproduce variant pule waveforms. This is a significant benefit of the current simulator, as existing pulse simulators cannot guarantee repeatability or consistent accuracy. For example, pulse simulators that use working fluids are prone to inconsistent measurements caused by unwanted vortexes in the fluid due to the reflection of pulse waves. Moreover, commercially available pulse simulators are significantly more complex and bulky as compared to the pulse simulator developed in this study. Hence, this pulse simulator would be an excellent system for health professionals to train RAPP palpations because it can reproduce known pulses consistently. The pulse simulator could be integrated into a medical Mixed Reality (MR) system as well. Great portability due to its compact design and ease of operation are additional benefits of the system. In order to complete the medical palpation system, we are planning research on the development of an artificial wrist, including an artificial blood vessel and skin that transmits the generated pulse pressure waveform. If an artificial wrist is installed, this simulator is expected to be used for wearable pressure sensor evaluation, transmission function or relationship research between radial and central pulse pressure, and Oriental medicine pulse diagnosis training.

Author Contributions

Conceptualization, D.-J.K., T.-H.Y., Y.-M.K. and J.-H.K.; methodology, T.-H.Y. and J.-H.K.; validation, D.-J.K., G.J., T.-H.Y., J.-H.K. and Y.-M.K.; formal analysis, G.J. and J.-H.K.; investigation, D.-J.K.; resources, Y.-M.K. and T.-H.Y.; data curation, G.J.; writing—original draft preparation, D.-J.K.; writing review and editing, T.-H.Y., Y.-M.K. and J.-H.K.; visualization, T.-H.Y. and Y.-M.K.; supervision, J.-H.K.; project administration, Y.-M.K.; funding acquisition, T.-H.Y. and Y.-M.K. All authors have read and agreed to the published version of the manuscript.

Funding

This research was supported by a grant (21174MFDS225) from the Ministry of Food and Drug Safety in 2022.

Institutional Review Board Statement

Not applicable.

Informed Consent Statement

Not applicable.

Data Availability Statement

Not applicable.

Conflicts of Interest

The authors declare no conflict of interest.

References

  1. Papadopoulos, T.; Evangelidis, K.; Kaskalis, T.H.; Evangelidis, G.; Sylaiou, S. Interactions in Augmented and Mixed Reality: An Overview. Appl. Sci. 2021, 11, 8752. [Google Scholar] [CrossRef]
  2. Chen, L.; Day, T.W.; Tang, W.; John, N.W. Recent Developments and Future Challenges in Medical Mixed Reality. In Proceedings of the 2017 IEEE International Symposium on Mixed and Augmented Reality (ISMAR), Nantes, France, 9–13 October 2017. [Google Scholar]
  3. David, E.-C.; Julieta, N.; Luis, N.; Alejandra, M.; Bedrich, B. A Review of Simulators with Haptic Devices for Medical Training. J. Med. Syst. 2016, 40, 104. [Google Scholar]
  4. Coles, T.R.; John, N.W.; Gould, D.; Caldwell, D. Integrating Haptics with Augmented Reality in a Femoral Palpation and Needle Insertion Training Simulation. IEEE Trans. Haptics 2011, 4, 199–209. [Google Scholar] [CrossRef] [PubMed]
  5. Sebastian, U.; Torsten, K. Haptic Palpation for Medical Simulation in Virtual Environments. IEEE Trans. Vis. Comput. Graph. 2012, 18, 617–625. [Google Scholar]
  6. Timothy, R.C.; Dwight, M.; Nigel, W.J. The Role of Haptics in Medical Training Simulators: A Survey of the State of the Art. IEEE Trans. Haptics 2010, 4, 51–66. [Google Scholar]
  7. Claudio, P.; Domenico, P.; Katherine, J.K. Cutaneous Feedback of Fingertip Deformation and Vibration for Palpation in Robotic Surgery. IEEE Trans. Biomed. Eng. 2016, 63, 278–287. [Google Scholar]
  8. Aishwari, T.; Seokhee, J. Pneumatic Actuation in Haptic-Enabled Medical Simulators: A Review. IEEE Access 2018, 6, 3184–3200. [Google Scholar]
  9. Li, M.; Luo, S.; Nanayakkara, T.; Seneviratne, L.D.; Dasgupta, P.; Althoefer, K. Multi-fingered haptic palpation using pneumatic feedback actuators. Sens. Actuators A Phys. 2014, 218, 132–141. [Google Scholar] [CrossRef]
  10. Cheng, M.; Marinovic, W.; Watson, M.; Ourselin, S.; Passenger, J.; de Visser, H.; Salvado, O.; Riek, S. Abdominal palpation haptic device for colonoscopy simulation using pneumatic control. IEEE Trans. Haptics 2012, 5, 97–108. [Google Scholar] [CrossRef]
  11. Takaiwa, M.; Noritsugu, T. Development of force displaying device using pneumatic parallel manipulator and application to palpation motion. In Proceedings of the 2003 IEEE International Conference on Robotics and Automation, Taipei, Taiwan, 14–19 September 2003; Volume 3, pp. 4098–4103. [Google Scholar]
  12. Lee, Y.J.; Lee, J.; Kim, J.Y. Suggestion on an innovative pulse diagnosis system based on technical trend analysis. Korean J. Orient. Physiol. Pathol. 2009, 23, 174–179. [Google Scholar]
  13. Duprez, D.A.; Kaiser, D.R.; Whitwam, W.; Finkelstein, S.; Belalcazar, A.; Patterson, R.; Glasser, S.; Cohn, J.N. Determinants of radial artery pulse wave analysis in asymptomatic individuals. Am. J. Hypertens. 2004, 17, 647–653. [Google Scholar] [CrossRef]
  14. Kohara, K.; Tabara, Y.; Tomita, H.; Nagai, T.; Igase, M.; Miki, T. Clinical usefulness of the second peak of radial systolic blood pressure for estimation of aortic systolic blood pressure. J. Hum. Hypertens. 2009, 23, 538–545. [Google Scholar] [CrossRef][Green Version]
  15. Esper, S.A.; Pinsky, M.R. Arterial waveform analysis. Best Pract. Res. Clin. Anaesthesiol. 2014, 28, 363–380. [Google Scholar] [CrossRef]
  16. Hammer, L.I. Chinese Pulse Diagnosis: A Contemporary Approach; Eastland Press: Seattle, WA, USA, 2001. [Google Scholar]
  17. Naylor, J.F.; Fisher, A.D.; April, M.D.; Schauer, S.G. An analysis of radial pulse strength to recorded blood pressure in the Department of Defense Trauma Registry. Mil. Med. 2020, 185, e1903–e1907. [Google Scholar] [CrossRef]
  18. Deakin, C.D.; Low, J.L. Accuracy of the advanced trauma life support guidelines for predicting systolic blood pressure using carotid, femoral, and radial pulses: Observational study. Br. Med. J. 2000, 321, 673–674. [Google Scholar] [CrossRef]
  19. McManus, J.; Yershov, A.L.; Ludwig, D.; Holcomb, J.; Salinas, J.; Dubick, M.A.; Convertino, V.A.; Hinds, D.; David, W.; Flanagan, T.; et al. Radial pulse character relationships to systolic blood pressure and trauma outcomes. Prehospital Emerg. Care 2005, 9, 423–428. [Google Scholar] [CrossRef]
  20. Wightman, J.M. Radial Pulse Quality as a Diagnostic Test in Tactical Combat Casualty Care. Mil. Med. 2020, 185, 484–486. [Google Scholar] [CrossRef]
  21. ViVitro Labs Inc. Endovascular Simulator. Available online: http://vivitrolabs.com/product/endovascular-ev-simulator/ (accessed on 14 November 2022).
  22. Lee, J.Y.; Jang, M.; Shin, S.H. Study on the depth, rate, shape, and strength of pulse with cardiovascular simulator. Evid. Based Complement. Altern. Med. 2017, 2017, 2867191. [Google Scholar] [CrossRef]
  23. Tellyes Scientific Co. Victor Pulse. Available online: https://tellyes.ecbay.xyz/product-medical-science/2524679/victor-pulse.html (accessed on 14 November 2022).
  24. Yang, T.H.; Jo, G.; Koo, J.H.; Woo, S.Y.; Kim, J.U.; Kim, Y.M. A compact pulsatile simulator based on cam-follower mechanism for generating radial pulse waveforms. BioMed. Eng. Online 2019, 18, 1. [Google Scholar] [CrossRef]
  25. Shirwany, N.A.; Zou, M.H. Arterial stiffness: A brief review. Acta Pharmacol. Sin. 2010, 31, 1267–1276. [Google Scholar] [CrossRef]
  26. Jo, G.; Yang, T.H.; Kim, J.U.; Koo, J.H.; Kim, Y.-M. Development of a mathematical model for age-dependent radial artery pulse wave analysis based on pulse waveform decomposition. IEEE Access 2020, 8, 2963–2974. [Google Scholar] [CrossRef]
  27. Skurnick, J.H.; Aladjem, M.; Aviv, A. Sex Differences in Pulse Pressure Trends with Age Are Cross-Cultural. Hypertension 2010, 55, 40–47. [Google Scholar] [CrossRef] [PubMed]
  28. Jo, G.; Yang, T.H.; Koo, J.H.; Jun, M.H.; Kim, Y.M. A transfer function model development for reconstructing radial pulse pressure waveforms using non-invasively measured pulses by a robotic tonometry system. Sensors 2021, 21, 6837. [Google Scholar] [CrossRef] [PubMed]
Figure 1. The proposed cam design based on age-specific pulse pressure waveforms: (a) Normalized average pulse pressure waveforms for each age group; (b) Polynomial regression curves fitted to mean pulse pressure by age group (Reprinted with permission from Ref. [27]. 2010, Wolters Kluwer Health, Inc.); (c) A circular cam-type graph created by converting one cycle of the average pulse pressure waveform to 360 degrees; (d) The cam design created by regressively integrating four age-specific cam graphs.
Figure 1. The proposed cam design based on age-specific pulse pressure waveforms: (a) Normalized average pulse pressure waveforms for each age group; (b) Polynomial regression curves fitted to mean pulse pressure by age group (Reprinted with permission from Ref. [27]. 2010, Wolters Kluwer Health, Inc.); (c) A circular cam-type graph created by converting one cycle of the average pulse pressure waveform to 360 degrees; (d) The cam design created by regressively integrating four age-specific cam graphs.
Applsci 12 11555 g001
Figure 2. Design and fabrication of the proposed 3D cam.
Figure 2. Design and fabrication of the proposed 3D cam.
Applsci 12 11555 g002
Figure 3. 3D cam-based pulse pressure waveform simulator: (a) A conceptual block diagram of the cylindrical 3D cam-based simulator platform capable of generating age-specific pulse pressure waveforms including a 3D cam rotation control motor, an age control motor, and a diastolic pressure control motor; (b) the 3D cam-based simulator.
Figure 3. 3D cam-based pulse pressure waveform simulator: (a) A conceptual block diagram of the cylindrical 3D cam-based simulator platform capable of generating age-specific pulse pressure waveforms including a 3D cam rotation control motor, an age control motor, and a diastolic pressure control motor; (b) the 3D cam-based simulator.
Applsci 12 11555 g003
Figure 4. Age-specific blood pressure waveforms artificially generated in a 3D cam-based age-specific pulse pressure simulator: (a) a pulse pressure waveform graph of 15 years old; (b) 25 years old, (c) 35 years old; (d) 45 years old; (e) 55 years old, (f) 65 years old; (g) 75 years old; (h) 85 years old.
Figure 4. Age-specific blood pressure waveforms artificially generated in a 3D cam-based age-specific pulse pressure simulator: (a) a pulse pressure waveform graph of 15 years old; (b) 25 years old, (c) 35 years old; (d) 45 years old; (e) 55 years old, (f) 65 years old; (g) 75 years old; (h) 85 years old.
Applsci 12 11555 g004aApplsci 12 11555 g004b
Figure 5. Approximated blood pressure waveforms by age: (a) Pulse pressure waveforms from 15 to 45 years old. (b) Pulse pressure waveforms from 55 to 85 years old.
Figure 5. Approximated blood pressure waveforms by age: (a) Pulse pressure waveforms from 15 to 45 years old. (b) Pulse pressure waveforms from 55 to 85 years old.
Applsci 12 11555 g005
Figure 6. Comparison of human pulse pressure waveforms and artificial waveforms generated by 3D cam simulator: (a) 15-year-old waveforms in human and the simulator; (b) 25-year-old waveforms; (c) 35-year-old waveforms; (d) 45-year-old waveforms; (e) 55-year-old waveforms; (f) 65-year-old waveforms; (g) 75-year-old waveforms; (h) 85-year-old waveforms.
Figure 6. Comparison of human pulse pressure waveforms and artificial waveforms generated by 3D cam simulator: (a) 15-year-old waveforms in human and the simulator; (b) 25-year-old waveforms; (c) 35-year-old waveforms; (d) 45-year-old waveforms; (e) 55-year-old waveforms; (f) 65-year-old waveforms; (g) 75-year-old waveforms; (h) 85-year-old waveforms.
Applsci 12 11555 g006
Table 1. Errors between human pulse pressure waveforms and artificial waveforms generated by 3D cam simulator.
Table 1. Errors between human pulse pressure waveforms and artificial waveforms generated by 3D cam simulator.
Age1525354555657585
L2 error9.10%9.62%6.44%4.90%5.63%5.19%5.67%6.74%
AI error7.71%7.29%2.86%5.92%9.37%2.73%0.28%1.64%
Publisher’s Note: MDPI stays neutral with regard to jurisdictional claims in published maps and institutional affiliations.

Share and Cite

MDPI and ACS Style

Kim, D.-J.; Jo, G.; Koo, J.-H.; Yang, T.-H.; Kim, Y.-M. Development of a Simulator Capable of Generating Age-Specific Pulse Pressure Waveforms for Medical Palpation Training. Appl. Sci. 2022, 12, 11555. https://doi.org/10.3390/app122211555

AMA Style

Kim D-J, Jo G, Koo J-H, Yang T-H, Kim Y-M. Development of a Simulator Capable of Generating Age-Specific Pulse Pressure Waveforms for Medical Palpation Training. Applied Sciences. 2022; 12(22):11555. https://doi.org/10.3390/app122211555

Chicago/Turabian Style

Kim, Dong-Jun, Gwanghyun Jo, Jeong-Hoi Koo, Tae-Heon Yang, and Young-Min Kim. 2022. "Development of a Simulator Capable of Generating Age-Specific Pulse Pressure Waveforms for Medical Palpation Training" Applied Sciences 12, no. 22: 11555. https://doi.org/10.3390/app122211555

APA Style

Kim, D.-J., Jo, G., Koo, J.-H., Yang, T.-H., & Kim, Y.-M. (2022). Development of a Simulator Capable of Generating Age-Specific Pulse Pressure Waveforms for Medical Palpation Training. Applied Sciences, 12(22), 11555. https://doi.org/10.3390/app122211555

Note that from the first issue of 2016, this journal uses article numbers instead of page numbers. See further details here.

Article Metrics

Back to TopTop