A Natural Zeolite Developed with 3-Aminopropyltriethoxysilane and Adsorption of Cu(II) from Aqueous Media
Abstract
1. Introduction
2. Materials and Methods
2.1. Materials and Chemicals
2.2. Modification of Natural Zeolite
2.3. Adsorption Experiments
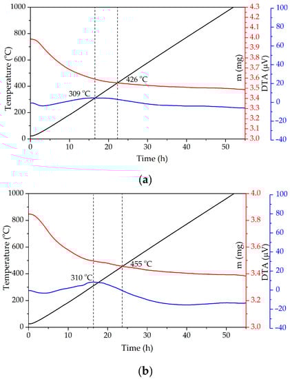
2.4. Characterization
2.5. Desorption Studies
3. Results and Discussion
3.1. Characteristics of Natural and Modified Zeolite
3.2. Adsorption Properties
3.2.1. Effect of pH
3.2.2. Effect of Initial Concentration and Time
3.2.3. Effect of Temperature
3.2.4. Effect of Competitive Cations
3.3. Adsorption Kinetics
3.4. Adsorption Thermodynamics
3.5. Adsorption Isotherm
3.6. Interaction between Modified Zeolite and Cu(II)
3.7. Desorption studies
4. Conclusions
Author Contributions
Funding
Institutional Review Board Statement
Informed Consent Statement
Data Availability Statement
Acknowledgments
Conflicts of Interest
References
- Li, X.; Poon, C.-S.; Liu, P.S. Heavy metal contamination of urban soils and street dusts in Hong Kong. Appl. Geochem. 2001, 16, 1361–1368. [Google Scholar] [CrossRef]
- Malassa, H.; Hadidoun, M.; Al-Khatib, M.; Al-Rimawi, F.; Al-Qutob, M. Assessment of Groundwater Pollution with Heavy Metals in North West Bank/Palestine by ICP-MS. J. Environ. Prot. 2014, 5, 54–59. [Google Scholar] [CrossRef]
- Manwani, S.; Vanisree, C.R.; Jaiman, V.; Kant Awasthi, K.; Shekhar Yadav, C.; Singh Sankhla, M.; Pandit, P.P.; Awasthi, G. Heavy metal contamination in vegetables and their toxic effects on human health. In Sustainable Crop Production–Recent Advances; IntechOpen: London, UK, 2022. [Google Scholar]
- Chakraborty, R.; Asthana, A.; Singh, A.K.; Jain, B.; Susan, A.B.H. Adsorption of heavy metal ions by various low-cost adsorbents: A review. Int. J. Environ. Anal. Chem. 2020, 102, 342–379. [Google Scholar] [CrossRef]
- Das, S.; Dash, H.R. Handbook of Metal-Microbe Interactions and Bioremediation; CRC Press: Boca Raton, FL, USA, 2017. [Google Scholar] [CrossRef]
- Saik Su, G.; Morad, N.; Ismail, N.; Rafatullah, M. Developments in supported liquid membranes for treatment of metal-bearing wastewater. Sep. Purif. Rev. 2020, 51, 38–56. [Google Scholar] [CrossRef]
- Sarfraz, S.; Abid, A.J.; Javed, M.; Iqbal, S.; Aljazzar, S.O.; Zahra, M.; Alrbyawi, H.; Elkaeed, E.B.; Somaily, H.H.; Pashameah, R.A.; et al. Chromium (III) Ions Were Extracted from Wastewater Effluent Using a Synergistic Green Membrane with a BinaryCombination of D2EHPA and Kerosene. Catalysts 2022, 12, 1220. [Google Scholar] [CrossRef]
- Zante, G.; Boltoeva, M.; Masmoudi, A.; Barillon, R.; Trébouet, D. Selective separation of cobalt and nickel using a stable supported ionic liquid membrane. Sep. Purif. Technol. 2020, 252, 117477. [Google Scholar] [CrossRef]
- Abdel Maksoud, M.I.A.; Elgarahy, A.M.; Farrell, C.; Al-Muhtaseb, A.a.H.; Rooney, D.W.; Osman, A.I. Insight on water remediation application using magnetic nanomaterials and biosorbents. Coord. Chem. Rev. 2020, 403, 213096. [Google Scholar] [CrossRef]
- Ashfaq, M.H.; Shahid, S.; Javed, M.; Iqbal, S.; Hakami, O.; Aljazzar, S.O.; Fatima, U.; Elkaeed, E.B.; Pashameah, R.A.; Alzahrani, E.; et al. Controlled growth of TiO2/Zeolite nanocomposites for simultaneous removal of ammonium and phosphate ions to prevent eutrophication. Front. Mater. 2022, 9, 1007485. [Google Scholar] [CrossRef]
- Behbahani, E.S.; Dashtian, K.; Ghaedi, M. Fe3O4-FeMoS4: Promise magnetite LDH-based adsorbent for simultaneous removal of Pb (II), Cd (II), and Cu (II) heavy metal ions. J. Hazard. Mater. 2021, 410, 124560. [Google Scholar] [CrossRef]
- Demiral, İ.; Samdan, C.; Demiral, H. Enrichment of the surface functional groups of activated carbon by modification method. Surf. Interfaces 2021, 22, 100873. [Google Scholar] [CrossRef]
- Imessaoudene, A.; Cheikh, S.; Bollinger, J.-C.; Belkhiri, L.; Tiri, A.; Bouzaza, A.; El Jery, A.; Assadi, A.; Amrane, A.; Mouni, L. Zeolite Waste Characterization and Use as Low-Cost, Ecofriendly, and Sustainable Material for Malachite Green and Methylene Blue Dyes Removal: Box–Behnken Design, Kinetics, and Thermodynamics. Appl. Sci. 2022, 12, 7587. [Google Scholar] [CrossRef]
- Upadhyay, U.; Sreedhar, I.; Singh, S.A.; Patel, C.M.; Anitha, K.L. Recent advances in heavy metal removal by chitosan based adsorbents. Carbohydr. Polym. 2021, 251, 117000. [Google Scholar] [CrossRef] [PubMed]
- Hu, G.; Yang, J.; Duan, X.; Farnood, R.; Yang, C.; Yang, J.; Liu, W.; Liu, Q. Recent developments and challenges in zeolite-based composite photocatalysts for environmental applications. Chem. Eng. J. 2021, 417, 129209. [Google Scholar] [CrossRef]
- Jansson, I.; Suárez, S.; Garcia-Garcia, F.J.; Sánchez, B. Zeolite–TiO2 hybrid composites for pollutant degradation in gas phase. Appl. Catal. B Environ. 2015, 178, 100–107. [Google Scholar] [CrossRef]
- Bolortamir, T.; Egashira, R. Removal of Hexavalent Chromium from Model Tannery Wastewater by Adsorption Using Mongolian Natural Zeolite. J. Chem. Eng. Jpn. 2008, 41, 1003–1009. [Google Scholar] [CrossRef]
- Dyer, A.; Chimedtsogzol, A.; Campbell, L.; Williams, C. Uptake of caesium and strontium radioisotopes by natural zeolites from Mongolia. Microporous Mesoporous Mater. 2006, 95, 172–175. [Google Scholar] [CrossRef]
- Egashira, R.; Tanabe, S.; Habaki, H. Adsorption of heavy metals in mine wastewater by Mongolian natural zeolite. Procedia Eng. 2012, 42, 49–57. [Google Scholar] [CrossRef]
- Munkhbat, D.; Shiomori, K.; Ochirkhuyag, B. Characterization of Mongolian natural minerals and their application for heavy metal adsorbent. Mong. J. Chem. 2017, 17, 50–54. [Google Scholar] [CrossRef][Green Version]
- Akdeniz, Y.; Ülkü, S. Thermal stability of Ag-exchanged clinoptilolite rich mineral. J. Therm. Anal. Calorim. 2008, 94, 703–710. [Google Scholar] [CrossRef]
- Huang, H.; Wang, Y.; Zhang, Y.; Niu, Z.; Li, X. Amino-functionalized graphene oxide for Cr(VI), Cu(II), Pb(II) and Cd(II) removal from industrial wastewater. Open Chem. 2020, 18, 97–107. [Google Scholar] [CrossRef]
- Malik, L.A.; Bashir, A.; Qureashi, A.; Pandith, A.H. Detection and removal of heavy metal ions: A review. Environ. Chem. Lett. 2019, 17, 1495–1521. [Google Scholar] [CrossRef]
- Pang, M.; Kano, N.; Imaizumi, H. Adsorption of Chromium (VI) from Aqueous Solution Using Zeolit/Chitosan Hybrid Composite. J. Chem. Chem. Eng. 2015, 9, 433–441. [Google Scholar] [CrossRef]
- Pomazkina, O.I.; Filatova, E.G.; Pozhidaev, Y.N. Adsorption of Ni(II), Cu(II), and Zn(II) ions by natural alumosilicate modified with N,N′-bis(3-triethoxysilylpropyl)thiocarbamide. Prot. Met. Phys. Chem. Surf. 2017, 53, 416–421. [Google Scholar] [CrossRef]
- Tahoon, M.A.; Siddeeg, S.M.; Salem Alsaiari, N.; Mnif, W.; Ben Rebah, F. Effective Heavy Metals Removal from Water Using Nanomaterials: A Review. Processes 2020, 8, 645. [Google Scholar] [CrossRef]
- Wang, C.; Leng, S.; Xu, Y.; Tian, Q.; Zhang, X.; Cao, L.; Huang, J. Preparation of Amino Functionalized Hydrophobic Zeolite and Its Adsorption Properties for Chromate and Naphthalene. Minerals 2018, 8, 145. [Google Scholar] [CrossRef]
- Wingenfelder, U.; Nowack, B.; Furrer, G.; Schulin, R. Adsorption of Pb and Cd by amine-modified zeolite. Water Res. 2005, 39, 3287–3297. [Google Scholar] [CrossRef]
- Batsaikhan, B.; Kwon, J.-S.; Kim, K.-H.; Lee, Y.-J.; Lee, J.-H.; Badarch, M.; Yun, S.-T. Hydrochemical evaluation of the influences of mining activities on river water chemistry in central northern Mongolia. Environ. Sci. Pollut. Res. 2016, 24, 2019–2034. [Google Scholar] [CrossRef] [PubMed]
- Battogtokh, B.; Lee, J.M.; Woo, N. Contamination of water and soil by the Erdenet copper–molybdenum mine in Mongolia. Environ. Earth Sci. 2013, 71, 3363–3374. [Google Scholar] [CrossRef]
- Munkhbat, D.; Ganbold, T.; Naranbaatar, A.; Shiomori, K.; Bayanjargal, O. Pb(II) Adsorption of Composite Alginate Beads Containing Mesoporous Natural Zeolite. J. Nanosci. Nanotechnol. 2020, 20, 5267–5275. [Google Scholar] [CrossRef]
- Nasanjargal, S.; Munkhpurev, B.-A.; Kano, N.; Kim, H.-J.; Ganchimeg, Y. The Removal of Chromium(VI) from Aqueous Solution by Amine-Functionalized Zeolite: Kinetics, Thermodynamics, and Equilibrium Study. J. Environ. Prot. 2021, 12, 654–675. [Google Scholar] [CrossRef]
- Adamovich, S.N.; Filatova, E.G.; Pozhidaev, Y.N.; Ushakov, I.A.; Chugunov, A.D.; Oborina, E.N.; Rozentsveig, I.B.; Verpoort, F. Natural zeolite modified with 4-(3-triethoxysilylpropyl) thiosemicarbazide as an effective adsorbent for Cu(II), Co(II) and Ni(II). J. Taiwan Inst. Chem. Eng. 2021, 129, 396–409. [Google Scholar] [CrossRef]
- Delacôte, C.; Gaslain, F.O.M.; Lebeau, B.; Walcarius, A. Factors affecting the reactivity of thiol-functionalized mesoporous silica adsorbents toward mercury(II). Talanta 2009, 79, 877–886. [Google Scholar] [CrossRef] [PubMed]
- Mehrali-Afjani, M.; Nezamzadeh-Ejhieh, A. Efficient solid amino acid–clinoptilolite nanoparticles adsorbent for Mn(II) removal: A comprehensive study on designing the experiments, thermodynamic and kinetic aspects. Solid State Sci. 2020, 101, 106124. [Google Scholar] [CrossRef]
- Sprynskyy, M.; Buszewski, B.; Terzyk, A.P.; Namieśnik, J. Study of the selection mechanism of heavy metal (Pb2+, Cu2+, Ni2+, and Cd2+) adsorption on clinoptilolite. J. Colloid Interface Sci. 2006, 304, 21–28. [Google Scholar] [CrossRef] [PubMed]
- Collection of Simulated XRD Powder Patterns for Zeolites; Elsevier science: Oxford, UK, 2007.
- Abatal, M.; Córdova Quiroz, A.V.; Olguín, M.T.; Vázquez-Olmos, A.R.; Vargas, J.; Anguebes-Franseschi, F.; Giácoman-Vallejos, G. Sorption of Pb(II) from Aqueous Solutions by Acid-Modified Clinoptilolite-Rich Tuffs with Different Si/Al Ratios. Appl. Sci. 2019, 9, 2415. [Google Scholar] [CrossRef]
- Doula, M.K. Synthesis of a clinoptilolite–Fe system with high Cu sorption capacity. Chemosphere 2007, 67, 731–740. [Google Scholar] [CrossRef]
- Garcia-Basabe, Y.; Rodriguez-Iznaga, I.; de Menorval, L.-C.; Llewellyn, P.; Maurin, G.; Lewis, D.W.; Binions, R.; Autie, M.; Ruiz-Salvador, A.R. Step-wise dealumination of natural clinoptilolite: Structural and physicochemical characterization. Microporous Mesoporous Mater. 2010, 135, 187–196. [Google Scholar] [CrossRef]
- Saifuddin, M.; Kim, S.; Aziz, A.; Kim, K.S. Mechanistic Study of Phosphorus Adsorption onto Iron Z-A: Spectroscopic and Experimental Approach. Appl. Sci. 2019, 9, 4897. [Google Scholar] [CrossRef]
- Korkuna, O.; Leboda, R.; Skubiszewska-Zie¸ba, J.; Vrublevs’ka, T.; Gun’ko, V.M.; Ryczkowski, J. Structural and physicochemical properties of natural zeolites: Clinoptilolite and mordenite. Microporous Mesoporous Mater. 2006, 87, 243–254. [Google Scholar] [CrossRef]
- Razavian Mofrad, R.; Kabirifard, H.; Tajbakhsh, M.; Firouzzadeh Pasha, G. Amine-functionalized nano-NaY zeolite for the synthesis of N-acetyl pyrazoles and dihydropyrimidines. Appl. Organomet. Chem. 2021, 35, e6383. [Google Scholar] [CrossRef]
- Unob, F.; Wongsiri, B.; Phaeon, N.; Puanngam, M.; Shiowatana, J. Reuse of waste silica as adsorbent for metal removal by iron oxide modification. J. Hazard. Mater. 2007, 142, 455–462. [Google Scholar] [CrossRef] [PubMed]
- Gao, J.; Lei, H.; Han, Z.; Shi, Q.; Chen, Y.; Jiang, Y. Dopamine functionalized tannic-acid-templated mesoporous silica nanoparticles as a new sorbent for the efficient removal of Cu2+ from aqueous solution. Sci. Rep. 2017, 7, 45215. [Google Scholar] [CrossRef]
- Isasi, J.; Arévalo, P.; Martin, E.; Martín-Hernández, F. Preparation and study of silica and APTES–silica-modified NiFe2O4 nanocomposites for removal of Cu2+ and Zn2+ ions from aqueous solutions. J. Sol-Gel Sci. Technol. 2019, 91, 596–610. [Google Scholar] [CrossRef]
- Pandová, I.; Panda, A.; Valíček, J.; Harničárová, M.; Kušnerová, M.; Palková, Z. Use of Sorption of Copper Cations by Clinoptilolite for Wastewater Treatment. Int. J. Environ. Res. Public Health 2018, 15, 1364. [Google Scholar] [CrossRef] [PubMed]
- Chen, X.; Tao, J.; Sun, P.; Yu, F.; Li, B.; Dun, L. Effect of calcination on the adsorption of Chifeng zeolite on Pb2+ and Cu2+. Int. J. Low-Carbon Technol. 2022, 17, 462–468. [Google Scholar] [CrossRef]
- Ulatowska, J.; Stala, Ł.; Nowakowska, A.; Polowczyk, I. Use of synthetic zeolite materials from fly ash to remove copper(II) ions from aqueous solutions. Physicochem. Probl. Miner. Process. 2020, 56, 114–124. [Google Scholar] [CrossRef]
- Yamaura, M.; Fungaro, D.A. Synthesis and characterization of magnetic adsorbent prepared by magnetite nanoparticles and zeolite from coal fly ash. J. Mater. Sci. 2013, 48, 5093–5101. [Google Scholar] [CrossRef]
- Ali, I.O.; Salama, T.M.; Thabet, M.S.; El-Nasser, K.S.; Hassan, A.M. Encapsulation of ferro- and ferricyanide complexes inside ZSM-5 zeolite synthesized from rice straw: Implications for synthesis of Prussian blue pigment. Mater. Chem. Phys. 2013, 140, 81–88. [Google Scholar] [CrossRef]
- Kucuk, F.; Sismanoglu, S.; Kanbur, Y.; Tayfun, U. Effect of silane-modification of diatomite on its composites with thermoplastic polyurethane. Mater. Chem. Phys. 2020, 256, 123683. [Google Scholar] [CrossRef]
- Back, C.-K.; Kim, T.-J.; Choi, N.-S. Activated natural porous silicate for a highly promising SiOxnanostructure finely impregnated with carbon nanofibers as a high performance anode material for lithium-ion batteries. J. Mater. Chem. A 2014, 2, 13648–13654. [Google Scholar] [CrossRef]
- Milošev, I.; Jovanović, Ž.; Bajat, J.B.; Jančić-Heinemann, R.; Mišković-Stanković, V.B. Surface Analysis and Electrochemical Behavior of Aluminum Pretreated by Vinyltriethoxysilane Films in Mild NaCl Solution. J. Electrochem. Soc. 2012, 159, C303–C311. [Google Scholar] [CrossRef]
- Xiao, S.; Xu, P.; Peng, Q.; Chen, J.; Huang, J.; Wang, F.; Noor, N. Layer-by-Layer Assembly of Polyelectrolyte Multilayer onto PET Fabric for Highly Tunable Dyeing with Water Soluble Dyestuffs. Polymers 2017, 9, 735. [Google Scholar] [CrossRef] [PubMed]
- Yan, X.; Xu, T.; Chen, G.; Yang, S.; Liu, H.; Xue, Q. Preparation and characterization of electrochemically deposited carbon nitride films on silicon substrate. J. Phys. D Appl. Phys. 2004, 37, 907–913. [Google Scholar] [CrossRef]
- Aflak, N.; Ben El Ayouchia, H.; Bahsis, L.; Anane, H.; Julve, M.; Stiriba, S.-E. Recent Advances in Copper-Based Solid Heterogeneous Catalysts for Azide–Alkyne Cycloaddition Reactions. Int. J. Mol. Sci. 2022, 23, 2383. [Google Scholar] [CrossRef]
- Pholosi, A.; Naidoo, E.B.; Ofomaja, A.E. Intraparticle diffusion of Cr(VI) through biomass and magnetite coated biomass: A comparative kinetic and diffusion study. S. Afr. J. Chem. Eng. 2020, 32, 39–55. [Google Scholar] [CrossRef]
- Rajaei, S.; Ghammamy, S.; Mehrani, K.; Sahebalzamani, H. Synthesis, Characterization and Thermal Analysis of New Cu(II) Complexes with Hydrazide Ligands. E-J. Chem. 2010, 7, S278–S282. [Google Scholar] [CrossRef]
- Shariful, M.I.; Sepehr, T.; Mehrali, M.; Ang, B.C.; Amalina, M.A. Adsorption capability of heavy metals by chitosan/poly(ethylene oxide)/activated carbon electrospun nanofibrous membrane. J. Appl. Polym. Sci. 2018, 135, 45851. [Google Scholar] [CrossRef]
- Liu, L.; Yang, W.; Gu, D.; Zhao, X.; Pan, Q. In situ Preparation of Chitosan/ZIF-8 Composite Beads for Highly Efficient Removal of U(VI). Front. Chem. 2019, 7, 607. [Google Scholar] [CrossRef]
- Sóvágó, l.; Osz, K.; Várnagy, K. Copper(II) Complexes of Amino Acids and Peptides Containing Chelating bis(imidazolyl) Residues. Bioinorg. Chem. Appl. 2003, 1, 123–139. [Google Scholar] [CrossRef]














| Mineral | Formula | Quantity (wt.%) |
|---|---|---|
| Clinoptilolite-K | Ca1.16Na1.8Mg0.25Al6.33Si29.81O72·20.1H2O | 60.3 |
| Quartz | SiO2 | 2.7 |
| Goethite | FeO(OH) | 4.7 |
| Anorthoclase | (Na, K)[AlSi3O8] | 1.4 |
| Albite | Na[AlSi3O8] | 15.2 |
| Hematite | Fe2O3 | 4.2 |
| Anorthite | CaAl2Si2O8 | 2.9 |
| Unknown phases | - | 7.9 |
| Elements | Quantity (wt.%) | |
|---|---|---|
| Natural Zeolite | Modified Zeolite | |
| Al | 10.8 | 11.0 |
| Si | 66.2 | 73.8 |
| K | 9.1 | 6.4 |
| Ca | 3.3 | - |
| Fe | 10.6 | 8.8 |
| Sample | BET Surface Area (m2/g) | Pore Volume (cm3/g) | Average Pore Size (nm) |
|---|---|---|---|
| Natural zeolite | 22.79 | 0.058 | 10.188 |
| Modified zeolite | 9.06 | 0.035 | 15.243 |
| C0 (mg/L) | qe (exp) (mg/g) | Pseudo First Order | Pseudo Second Order | Intraparticle Diffusion | |||||
|---|---|---|---|---|---|---|---|---|---|
| K1·10−2 (min−1) | qe (cal) (mg/g) | R2 | K2 (g/mg·min) | qe (cal) (mg/g) | R2 | Kid (mg/g·min0.5) | R2 | ||
| 50 | 4.501 | 2.213 | 1.459 | 0.9244 | 0.405 | 4.610 | 0.9997 | 0.411 | 0.8048 |
| 100 | 6.364 | 0.876 | 0.870 | 0.8122 | 0.257 | 6.452 | 0.9997 | 0.427 | 0.7805 |
| 200 | 6.945 | 2.412 | 2.454 | 0.8595 | 0.191 | 7.199 | 0.9994 | 0.749 | 0.7286 |
| 400 | 20.656 | 4.269 | 19.51 | 0.9246 | 0.033 | 22.173 | 0.9981 | 3.450 | 0.7934 |
| T (K) | C0 (mg/L) | ∆G° (kJ/mol) | ∆H° (kJ/mol) | ∆S° (J/mol∙K) |
|---|---|---|---|---|
| 298 | 100 | −16.976 | 40.914 | 194.498 |
| 308 | −18.674 | |||
| 318 | −21.894 | |||
| 328 | −22.259 |
| Isotherm Model | Isotherm Constant | |
|---|---|---|
| Langmuir | Q (mg/g) | 6.176 |
| b (L/mg) | 0.064 | |
| KL | 0.144 | |
| R2 | 0.8946 | |
| Freundlich | Kf (L/g) | 1.372 |
| n | 2.764 | |
| R2 | 0.9216 | |
| Adsorbent | Adsorption Capacity (mg/g) | Reference |
|---|---|---|
| Zeolite | ||
| Clinoptilolite zeolite | 4.9–15.4 | [47] |
| Chifeng zeolite | 4.0 | [48] |
| Synthetic zeolite | 9.5 | [49] |
| Modified zeolite | ||
| Natural alumosilicate modified with N,N′-bis(3-triethoxysilylpropyl)thiocarbamide | 29.7 | [25] |
| Natural zeolite modified with 4-(3-triethoxysilylpropyl) thiosemicarbazide | 29.5 | [33] |
| Dopamine functionalized tannic-acid-templated mesoporous silica | 58.7 | [45] |
| Silica and APTES–silica-modified NiFe2O4 | 63.5 | [46] |
| Zeolite modified with APTES | 4.5–20.6 | This study |
| Atomic% | Before Cu(II) Adsorption | After Cu(II) Adsorption |
|---|---|---|
| Al2p | 4.59 | 5.43 |
| Si2p | 26.55 | 27.5 |
| C1s | 17.52 | 12.42 |
| N1s | 4.23 | 2.38 |
| O1s | 45.43 | 52.2 |
| F1s | 1.68 | - |
| Cu2p3 | - | 0.07 |
Publisher’s Note: MDPI stays neutral with regard to jurisdictional claims in published maps and institutional affiliations. |
© 2022 by the authors. Licensee MDPI, Basel, Switzerland. This article is an open access article distributed under the terms and conditions of the Creative Commons Attribution (CC BY) license (https://creativecommons.org/licenses/by/4.0/).
Share and Cite
Shirendev, N.; Bat-Amgalan, M.; Kano, N.; Kim, H.-J.; Gunchin, B.; Ganbat, B.; Yunden, G. A Natural Zeolite Developed with 3-Aminopropyltriethoxysilane and Adsorption of Cu(II) from Aqueous Media. Appl. Sci. 2022, 12, 11344. https://doi.org/10.3390/app122211344
Shirendev N, Bat-Amgalan M, Kano N, Kim H-J, Gunchin B, Ganbat B, Yunden G. A Natural Zeolite Developed with 3-Aminopropyltriethoxysilane and Adsorption of Cu(II) from Aqueous Media. Applied Sciences. 2022; 12(22):11344. https://doi.org/10.3390/app122211344
Chicago/Turabian StyleShirendev, Nasanjargal, Munkhpurev Bat-Amgalan, Naoki Kano, Hee-Joon Kim, Burmaa Gunchin, Batdemberel Ganbat, and Ganchimeg Yunden. 2022. "A Natural Zeolite Developed with 3-Aminopropyltriethoxysilane and Adsorption of Cu(II) from Aqueous Media" Applied Sciences 12, no. 22: 11344. https://doi.org/10.3390/app122211344
APA StyleShirendev, N., Bat-Amgalan, M., Kano, N., Kim, H.-J., Gunchin, B., Ganbat, B., & Yunden, G. (2022). A Natural Zeolite Developed with 3-Aminopropyltriethoxysilane and Adsorption of Cu(II) from Aqueous Media. Applied Sciences, 12(22), 11344. https://doi.org/10.3390/app122211344

