Next Article in Journal
Real-Time Evaluation Method of Heavy-Duty Diesel Vehicle SCR System Based on Ammonia Storage Characteristics in Real-Road Driving Emission Test
Previous Article in Journal
The Shortest Verification Path of the MHT Scheme for Verifying Distributed Data
 
 
Font Type:
Arial Georgia Verdana
Font Size:
Aa Aa Aa
Line Spacing:
Column Width:
Background:
Article

Impact of Slope Orientation on Inlet Spacing: Gutter Flow Analyses

1
Department of Civil Engineering, Sivas Cumhuriyet University, Sivas 58140, Turkey
2
Hydraulics and Water Resources Lab, Istanbul Technical University, Maslak, Istanbul 80626, Turkey
*
Author to whom correspondence should be addressed.
Appl. Sci. 2022, 12(21), 11196; https://doi.org/10.3390/app122111196
Submission received: 22 September 2022 / Revised: 24 October 2022 / Accepted: 26 October 2022 / Published: 4 November 2022
(This article belongs to the Section Civil Engineering)

Abstract

A roadway’s capacity to drain itself is of utmost importance for the safety and comfort of its users. Standing water and any amount of channelized flow on roadways create nuisances to the users, and the extent of encroachment into the lanes and the water-film thickness over the lanes are crucial for motorists with relatively high speed. Guidelines cover a wide range of subjects from size and type of inlets, which capture the channelized flow for conveyance into enclosed drains, to the decision for slope orientation, but the guidelines seem to lack in checking the depth of channelized flow. HEC-22 (the urban drainage design manual of US Department of Transportation) endorses limiting the flow depths to curb height (as if the concern is no longer the roadway users) and fixes the criterion for the inlet spacing (restricted to 90 to 150 m) to maximum allowable flow spreads. This study analyzed the maximum allowable inlet spacing via setting three criteria: fixed maximums to flow depth, spread for the channel flow, and to over-lane water-film thickness. The impact of slope orientation on inlet spacing is tested along with some other factors for roadways of two types (local and highway). The results were graphed for various uniform slope orientations under a wide range of rainfall intensities for the determined inlet spacing values. This was performed by combining a kinematic wave equation solution to dismiss the conditions that lead to hydroplaning depths when using the Rational Method and Manning’s equation to obtain water depths and inlet spacings for an inlet of full capture capacity. It is found that the allowable spacing values do not constitute any major restrictions in highway setting (3 m shoulder) in terms of recommended spacing. In the local setting, however, with a maximum spread of 1.8 m, maximum allowable inlet spacing becomes a limitation in many orientations, and slope optimization under such conditions becomes crucial at times when providing the same spacing for two orientations.

1. Introduction

The ability of a roadway to drain itself is one of the main characteristics looked for [1]. It is essential for the safety and comfort of the users, including bicyclists, pedestrians, parents with strollers, the disabled (with mobility impairment), and motorists. Ponded water and gutter flow, regardless of its magnitude, create nuisances to all users. While each user type requires different accommodations, past studies may be divided into two broad categories: from the perspective of pedestrians [2,3,4] and that of vehicles. With the latter, a significant volume of literature focuses on vehicles exposed to flooding, whether the vehicle is in transit or stationary [5,6,7,8,9]. When a new roadway is being built or renewal works are underway, however, the primary design concern should be preventing flooding altogether. Under this frame, updated challenges for vehicles are posed by the water-film thickness over the lanes and the encroachment of gutter flow into the lanes. The channelized flow is also a great concern to the other road users (and its prevention depends not only on inlet capacity but on inlet spacing). Thus, based on differences in environmental conditions and local cultures and practices, regions from different countries, states, and even cities publish different guidelines for optimal design to minimize the unwanted water to protect the safety of all users, pavement, and facilities. The guidelines cover the details regarding the inlet design (which traditionally links the surface flow to underground sewer system) to (in)adequate roadway design. Recent modifications also include planning for climate change to increase preparedness for the changes, which, along with continuing urbanization, creates new challenges. Walsh [10], for example, promotes designing with a 20% increase for winter rainfall to compensate for the excesses in the UK, and Michalek et al. [11] suggest incorporating larger downspouts into grate inlets in bridge decks to prevent hydroplaning risks due to climate change. Conversely, planning for extreme situations or under stringent criteria in general adds to the cost or compromises the comfort that may be unnecessary. Thus, continuously evolving standards for proper planning and practice are needed.
Roadway drainage requires considering over-lane drainage, gutter flow, and inlet capacity (Brown et al. [12], also known as HEC-22 and now referred to as such). Hydroplaning, among other factors, is of primary concern in which skid resistance between the tire and the pavement drops to zero, and the vehicle loses control. For the most part, the solution entails rearranging roadway geometries for hydroplaning prevention. Gallaway et al. [13] and Ross and Russam [14] conducted experimental analyses to determine the water depths (i.e., film thicknesses) that cause hydroplaning, performed under various parameters for surface flow. Wolff [15] and Ressel et al. [16] did this numerically, which is phenomenal for the existing roads. Cavdar and Uyumaz [17] conducted cross-slope–rainfall-intensity analysis to determine optimal transverse slopes for avoiding hydroplaning, but without any consideration of the gutter flow. These studies were all concerned with the over-lane water-film thicknesses, which are central to the safety of moving vehicles, but the second concern is limiting the channelized flow to reduce the nuisances to all users. AASHTO recommends that off-the-lane distances remain constant, to give the driver a sense of consistency and security with changing terrains. Spaliviero et al. [18] specifically highlight the importance of addressing the changes in longitudinal slope to account for the capacity of the channel flow. Thus, without making drastic changes to the width of off-lane distances, the designer should consider the changes to the geometry. Much literature focuses on limiting the flow spread from the curb [1,12] for a range of cross-slope values; this leads to various flow depths as a result of an altered cross-section, but the standards seem to fail in providing guidance on gutter flow depth limitations. HEC-22′s limit to gutter flow depths is curb height (seemingly prioritizing nearby assets over road users) and maximum flow spread sets the limit for the maximum allowable inlet spacing. Wong and Moh [19] analyzes spacing (dismissing hydroplaning), also using fixed spread for the inlets used in Singapore. Gomez et al. [20], however, limit the maximum flow depth at the curb to 3 cm, stating that it is the “sole thickness of a normal shoe”; the 3 cm limit is also what Moftakhari et al. [21] set as the start of nuisances that are considered to disrupt daily routines. HEC-22, the urban drainage design manual of US Department of Transportation, provides guidance for locating inlets, starting from the ones that must be prioritized based on geometric control (e.g., at sags and pedestrian crosswalks). Wong [22] proposes a kinematic wave solution to calculate the time of concentration for the gutter flow. Using the solution, Wong obtains the rainfall intensity to find the amount of flow due to rainfall and then determines inlet spacing for a commonly used Singapore inlet. Wong and Moh [19], using the results of Wong [22], analyze the effect of allowable flow spreads on the inlet spacing; they find an exponential relationship for which an increase in the spread results in an exponential increase in the inlet spacing. The concentration time models were then tested against experimental data in Wong [23] and found to be applicable; however, these studies consider flow direction normal to the curb face, despite nonzero road grades. While distributed models may be of interest, due to the uniformity of the road surface and relatively small size of basins, it is also accepted that a lumped model should work.
Most roadway drainage models focus on inlet capacity [24,25,26,27,28,29,30,31] but few give precedence to inlet spacing. However, this may limit the comfort that the users acquire. In this study, we obtained the maximum allowable inlet spacing values based on gutter flow depth restrictions for roadway configurations free from hydroplaning risks (with the goal to raise the standards for multiple user types). The conventional maximum spread criteria were still in place as a secondary concern. The results are presented for various roadway slopes, widths, and a range of rainfall intensities. We test the impact of slope orientation in inlet spacing; we speculate whether slope orientation governs the inlet spacing or if other factors rule. In general, the standards vary with the purpose of roadway, so the analyses were performed using two groups and the results were analyzed for slope variations in both groups. Those are for high-volume–high-speed roads with no tolerance to flow accumulation or high water-film thicknesses and for low-speed–high-pedestrian and bicyclist volume roads that also require lower flow depths, though encroachment into the lanes could be tolerated to some extent. We then determine the inlet spacing for conditions that fit best for the given geometrics (especially cross slopes) and environmental conditions. Hydroplaning-safe configurations were determined as a first step using Cavdar and Uyumaz [17]’s over-lane flow depth solution as a mandatory step; configurations that pass this were used to determine fully capturing inlet spacings with the Rational Method and Manning’s equation combined.

2. Obtaining Maximum Inlet Spacing (Methods)

For any road, its design is important to avoid hydroplaning by preventing high flow depths (i.e., water-film thicknesses). For roads with a curb, spread and the depth of channel flow adjacent to the curb are also indispensable, and those are the main criteria that mandate inlet spacing for the removal of flow. The channel flow depth is critical on high speed roads and on roads of pedestrian use, as in both cases there are different causes for security concern. Table 1 shows the models combined in obtaining the maximum inlet spacing under the conditions specified in the tables that follow.

2.1. Obtaining Proper Configurations

Before considering inlet spacing, the designer must first check whether the over-lane flow depth—usually the depth at the edge of the lane closest to the curb—is low enough to provide hydroplaning-free conditions to the users. There are several methods to calculate the over-lane flow depth, and in this study, the kinematic wave equation method that Cavdar and Uyumaz [17] propose was used:
z r = K T ( I n b ) 0.6 ( S x 2 + S L 2 S x 4 ) 0.15
where K T is a coefficient equal to 6.92 or 0.933, units in SI or US; I is the rainfall intensity (source term), mm h−1 or in. h−1; n is Manning’s roughness coefficient for sheet flow (Table 2); b is the distance perpendicular to the curb from the end of gutter or shoulder to the highest point contributing to the pavement flow, m (ft.) (Figure 1), and S x and S L are the cross slope and longitudinal slope, respectively. The over-lane flow depth z r (Figure 1) should be kept within 4 mm for hydroplaning-free roadway design, based on Gallaway [13]’s recommendation [17]. Flow depth in Equation (1) is obtained as a product of rainfall intensity and time of concentration, and it was verified based on how well the time of concentration compares to experimental values—the details are in Cavdar and Uyumaz [17].

2.2. Determining Channel Flow (Flow Depth)

In determining inlet spacing, there are two factors involved in this study: maximum spread and maximum flow depth that can be tolerated. In either case, Manning’s equation [34] links these to flow amounts; however, the presence of cross slope in roads necessitates a modification to Manning’s equation, which is remodeled by Izzard [32] as:
Q = 3 K M 8 S L 0.5 n S x z 8 / 3
where K M is a unit conversion factor defined as K M = 1.0 m1/3 s−1 or 1.486 ft.1/3 s−1; Q is in m3 s−1 or ft.3 s−1; z is flow depth for a uniform cross-section in m or ft. for SI or US, respectively, and could be written in terms of spread for the most part; S L is on-road; and S x is the cross slope, n is Manning’s coefficient for channel flow (Table 2). The maximum value z can take is determined based on two factors: either it is limited by the maximum flow spread or by the flow depth itself, as those two form the two legs of a right triangle and either could place the restriction first. Now that the maximum flow that may be held is determined, the maximum possible inlet spacing can be obtained.

2.3. Determining Inlet Spacing

The Rational Method (which states the amount of flow equals the product of rainfall intensity and the impervious surface area) is proper for use in roadways with small catchment areas. Thus, it is used here to obtain the relationship between the flow amount and the inlet spacing. The equation states [33]:
Q = C I A / K R
where Q is the peak runoff rate in cms or cfs at a given point; C is a runoff coefficient (Table 3); I is the rainfall intensity, in mm h−1 or in. h−1; A is the drainage area that drains to the location of interest (i.e., inlet opening), in m2 or ft.2; and K R , the conversion factor, is 36 × 105 or 43,200. All units are for SI or US, respectively. As evident from K R , while the expression is dimensionally homogeneous, the product I A is not in the standard unit system, so K R is needed. Brown et al. [12] documents C values used in Equation (3) (Table 3). Cristina and Sansalone [35] report C for high intensity storms fall in the range 0.6 to 0.9 and for low intensity storms 0.2 to 0.4, abstraction attributed to the traffic.
The design rainfall intensity I in Equation (3) is determined based on rainfall duration equal to time of concentration t c and the design frequency to obtain the rational solution. The time required for rainfall landing on the farthest point of the drainage area to reach to the point of interest is t c , which is the inlet-opening lip; it is used as the design storm duration for calculating peak stormwater runoff rate. Common practice, especially in the US and in Australia, is to use the rainfall for 10-year frequency and 5 min duration from the intensity–duration–frequency curve.
The A in Equation (3) is essentially equal to the projection of the road section under investigation, for that is the area from which rain falls (Figure 1 top section). For a unit section, as shown in Figure 1, which (for our convenience of terms) has the unit width of pavement and unit length of continuous gutter, the area becomes ( b x 1 + W x 1 ) . Thus, the flow per unit width becomes:
Q G = Q R + Q W = C I ( b x 1 + W x 1 ) / K R q = C I ( b + W ) / K R
for a given section, Q R is the amount of over-lane flow (Figure 2), Q W is the amount of over-gutter flow (what falls directly over the gutter) (Figure 2), and Q G is the total precipitation that falls within the centerline of the road and the curb-line. In this work, full interception of incoming flow by the inlet is considered with a single source term, precipitation; thus: Q G = Q R + Q W . The runoff coefficient C and the length of the pavement area, y = b + W (where b is the length of pavement and W is the length of the gutter or shoulder) are generally known for a given roadway.
Flow at the inlet opening is obtained by multiplying q with the inlet spacing, and as long as the inlet spacing is kept the same (unit width), the area remains the same for a roadway of fixed b and W , regardless of the value of S L . Flow obtained by multiplying q in Equation (4) by the inlet spacing gives the same flow as in Equation (2). If one equates the two and solves for the inlet spacing x :
x = K S L 0.5 n S x z 8 / 3 C I ( b + W )
is obtained, where x is in m or ft.; K , which is 3 / 8 K M K R , is 135 × 104 m1/3 s−1 or 24,073.2 ft.1/3 s−1; S L and S x are the on-road and cross slopes, respectively; n is Manning’s coefficient (Table 2); z is the flow depth at the gutter in m or ft.; C is the runoff coefficient (Table 3); I is the rainfall intensity in mm h−1 or in. h−1; and b + W is the distance from the roadway centerline to the curb face in m or ft. All units are for SI or US, respectively.

2.3.1. Analysis of z in Equation (5)

Two potentially unknown parameters are in Equation (5): inlet spacing x and flow depth at the curb z . The focus here is to obtain inlet spacing with its maximum allowable values, and if x poses the maximum possible inlet spacing, it is safe to assume that z also takes its maximum values. Considering over-lane flow depths stay within an acceptable range (because otherwise the design should be reconsidered), there are two scenarios for determining flow depth. Either it must be restricted by maximum spread criteria, the intruding flow into the lanes, or by maximum allowable depths at the curb. Contribution of the over-lane flow depth to the overall depth at the curb could be neglected as their orders of magnitude differ. Based on this and the uniform transverse slope assumption, potential water depth at the curb face for a uniformly sloped surface becomes:
z = T max S x
where z is in m or ft., T max is maximum allowable flow spread in m or ft. (taken equal to W here to prevent intrusion into the lanes), and S x is cross slope. Any z value calculated using Equation (6) that is equal to or less than z max is valid for use in Equation (5). However, if z > z max , then z in Equation (5) must be replaced with z max and Equation (6) should be disregarded, as in no case should the depth overtop the set criteria. Again, as long as z r < 4 mm (Equation (1)), and z = T max S x z max (Equation (6)), inlet spacing in Equation (5) is solved using the z value in Equation (6), but if z = T max S x > z max , then Equation (5) is solved for z = z max . Now being left with a single unknown x , Equation (5) can be solved for inlet spacing.

2.3.2. Inlets and Their Individual Spacing

Aranda et al. [36] mentions that Spanish guidelines call for dividing the roadway into small catchments to allow for working with flow from individual inlets; using this approach, spacings may be rearranged. In a roadway, if the on-grade slope is zero, S L = 0 , then equally spaced inlets will receive the same amount of rainfall because their drainage areas are equal (Equation (3)). That is unlike S L 0 for which only the first and last inlet spacings needs modification, while the inlets placed between the two continue to receive equal flow (under the assumption that the slopes are uniform throughout and no cross-slope interruptions or irregularities exist). Lack of respacing the first and the last inlets leads to excess of resources (first inlet) and to potential dangers to the road users and the structure via deterioration (last inlet). Respacing is then inevitable in order to keep the inlet design the same while avoiding the disadvantages of fixed spacing. If an area is defined with a right triangle of legs b + W and x 1 , as shown in Figure 1 and Figure 2, then that area is subtracted from the first inlet and added to the last (in sump). How large the area becomes is determined by the angle that the roadway centerline forms with the resultant vector of cross slope and longitudinal slope S x and S L , respectively (Figure 2):
α = sin 1 ( S x / S x 2 + S L 2 )
where S x 2 + S L 2 is the resultant slope. To equate the two inlets in flow means equaling them in area, so the first and the last inlets must have different spacing. It is straightforward from the geometry that:
x 1 = ( b + W ) / tan α
where b and W are defined as shown in Figure 1. For the first inlet:
x first = x + 0.5 x 1
The spacing between the last inlet at the sump and the one upstream:
x last x 0.5 x 1
It is always safer to design inlets larger for the one placed at the sump or placed in close proximity to each other, so spacing could be shorter than provided above.

2.4. Conditions Tested

Curbs are raised elements that help traffic control and roadway drainage; here, a vertical curb design is considered. Using the posted solutions, inlet spacing x was obtained under the conditions listed in Table 4 and Table 5. Since most roads have an average roughness of 0.016 and runoff coefficient of around 0.95, these were employed here along with a 0.011 roughness value for the sheet flow. Lane width impacts the comfort of driving, to an extent prevents accidents, and lessens wheel concentration; thus, especially for high speed roads wider widths are preferred [1], and the maximum common value of 3.6 m is taken here. Shoulders are the part of the roadway flush with the lanes and are needed on highways both in rural and in urban areas, serving for refuge in case of emergencies, for bicyclists’ use, for avoiding potential vehicle collisions, for reducing effects of precipitation (snow storage in winters and flow redirection in other seasons), for structural support, and most importantly—to our purpose—for collecting stormwater away from the traveled lane, which not only protects the road users but the road’s longevity as well. To keep costs low, the shoulder can be kept narrower than the lane width. The Green Book [1] suggests median shoulders to be sloped away from the traveled lane to avoid melting winter snow, for preventing freezing. In local roadways, due to right-of-way issues, they are problematic. Under given road conditions, various rainfall intensities and four different roadway widths were used. A range of practical slopes were also tested, which provides insight into sufficient cross slope needed. In case of different considerations, the design code included below can be easily implemented to obtain the inlet spacing for adequate pavement drainage.
Rainfall intensities may reach beyond 300 mm h−1 for a 25-year return period, while the 10-year return period is selected for this study. For the along-road slope, Westlake [37] recommends in the Institute of Civil Engineers (ICE) publication the range 0.5% minimum and 4% maximum for divided highways (dual carriageway, as referred in British English) and 6% maximum for undivided, but since topography governs these values, up to 10% is considered in this study.

3. Results

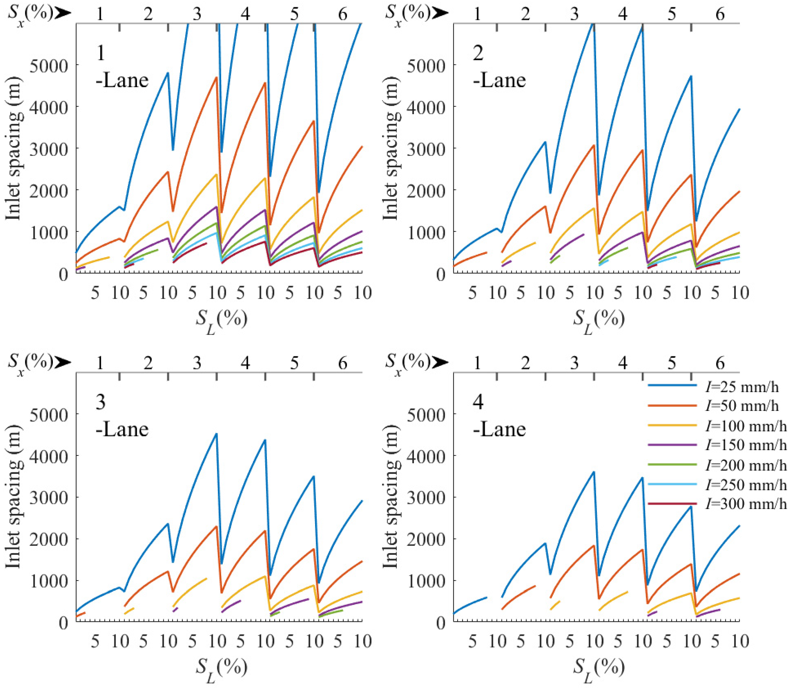
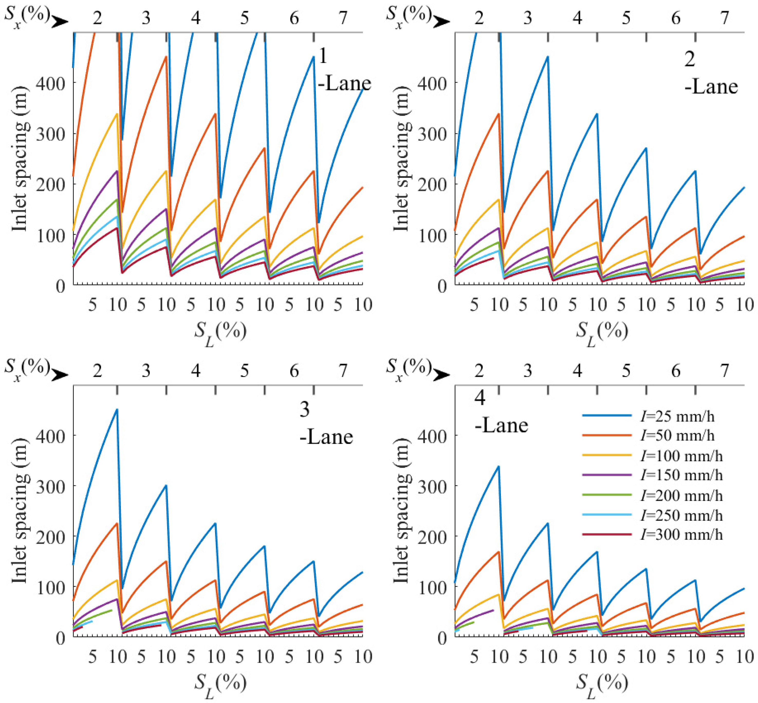
Figure 3, Figure 4, Figure 5, Figure 6, Figure 7 and Figure 8 represent maximum allowable inlet spacings for different roadway widths in each subplot: one-, two-, three-, and four-lanes, based on various road designs and environmental factors. In the figures below, the range of longitudinal and cross slopes, S L and S x , are shown in the dual X-axes placed below and above the plot area, respectively. Note that S x values at the top axis does not constitute an increasing reference line, but rather it shows fixed intervals with slopes up to 6%. Each S x value was combined with S L values up to 10%, and their outputs for various intensities forms each section within the subplots. The analyses were conducted for four different lane numbers, from one lane up to four, which is the reason for the four subplots within each of the Figure 3, Figure 4, Figure 5, Figure 6, Figure 7 and Figure 8. The change in colors in the figures shows the change in rainfall intensity I . The lines that cut short or disappear altogether despite showing in the legend attest to the topping of the 4 mm maximum depth criterion for the over-lane flow (except in Figure 8, in which it is for 2 mm). Recall that only the configurations that are free from hydroplaning were considered and the others dismissed because they are unsafe for vehicles. Note that in Figure 3, Figure 4, Figure 5, Figure 6, Figure 7 and Figure 8, once the trend was clear, in order to make certain profiles more visible, a limit was placed on the maximum allowable inlet spacings: in the one-lane case in Figure 3, for example, the plot is cut beyond 6000 m along the Y-axis.
For a single-lane pavement, as high as 293 mm h-1 intensity works for all configurations tested, in terms of maintaining the over-lane flow depth within safety limits. When the lane number doubles, the intensity halves; when it triples, the intensity falls to a third (Figure 7). This is consistent for a 3 m shoulder, and Table 6 shows the corresponding over-lane flow depths for four-lane pavement with the rainfall intensities from the figures, based on the analyses in this study.
With zero offset and a maximum spread of half the lane from the curb (as in local roads), the spacing limits are pushed farther with the increasing on-grade and cross slopes (Figure 3). Under the given conditions, spacing of kilometers seems applicable for various configurations. For large intensities and lower slopes, however, the hydroplaning limit begins and starts to eliminate certain configurations.
Figure 4 captures the orientations that result in shorter inlet spacings in a more visible manner. The cross-slope values range from 2 to 7 percent, as shown in Figure 4, revealing the increase in maximum spacing values with increase in cross slope slows at 6% and starts to drop at 7%, indicating that the turning point is between 5 and 6%.
Figure 4. Maximum allowable local road inlet spacings ( S x ranges from 2 to 7).
Figure 4. Maximum allowable local road inlet spacings ( S x ranges from 2 to 7).
Applsci 12 11196 g004
The results with 3 cm flow depth restriction are provided in Figure 5. Limiting maximum channelized flow depth to 3 cm produces spacings that are much smaller than those shown in the previous figures, showing how the channel flow governs spacing. For three- and four-lane roadways, higher cross-slope values are needed to avoid hydroplaning risks in higher on-grade slope terrains; however, quite oddly, increasing cross-slope values forces the design of shorter inlet spacings.
Figure 5. Local inlet spacings with maximum 3 cm flow depth at the curb ( S x ranges from 2 to 7).
Figure 5. Local inlet spacings with maximum 3 cm flow depth at the curb ( S x ranges from 2 to 7).
Applsci 12 11196 g005
With an addition of 3 m shoulder offset and zero encroachment onto the lanes from the channel flow, the trend observed in Figure 3 is observed in Figure 6, however, only up to 3% cross slope; from there on, inlet spacing needs to be cut back.
Figure 6. Maximum allowable inlet spacings for highways with a 3 m shoulder ( z r = 4 mm).
Figure 6. Maximum allowable inlet spacings for highways with a 3 m shoulder ( z r = 4 mm).
Applsci 12 11196 g006
The zoomed-in version for the shouldered case is provided in Figure 7. When compared to the zero shoulder in Figure 4, hydroplaning becomes increasingly pressing, as the hydroplaning limits are checked at a half lane beyond what is shown in Figure 4.
Figure 7. Figure 6 zoomed in.
Figure 7. Figure 6 zoomed in.
Applsci 12 11196 g007
Some guidelines consider 2 mm to be the better option for preventing hydroplaning. Thus, presented in Figure 8 are the outputs with a 2 mm limit to over-lane flow depth. For three- and four-lane cases, 2 mm restricts most configurations for intensities above 100 mm h−1.
Figure 8. Maximum allowable inlet spacings for highways with z r = 2   mm .
Figure 8. Maximum allowable inlet spacings for highways with z r = 2   mm .
Applsci 12 11196 g008
Usually, inlet spacing increases with increasing S L while it disappears entirely for certain cases, especially at the higher values. Cross slope S x increase, on the other hand, seemingly increases the inlet spacing up to 3%, beyond which the opposite trend takes place with a 3 m shoulder.
Despite lower water-film thicknesses on road surface for higher cross slopes (below 4 mm), 3% marks the maximum inlet spacing possible under the conditions considered (Figure 6 and Figure 8).
Figure 9 shows that the lower cross slopes reach the hydroplaning depths for lower rainfall intensities; that the maximum spacings are obtained with a 3% cross slope and shows the difference between S x = 3 % and S x = 4 % , and how the design configurations are limited with the flow depth on road surface when a 4 mm threshold is reached. This figure was produced for 3% longitudinal slope, which is what Westlake [37] recommends in the ICE publication for ideal design.

4. Discussion

We obtained the maximum allowable inlet spacings for roadways of various purposes under different slope orientations and found that increasing longitudinal slopes increase maximum allowable spacing as a general trend, as shown in Figure 3, Figure 4, Figure 5, Figure 6, Figure 7 and Figure 8. For the cross-slope variations, however, the relationship is not as clear at first sight and varies depending on the flow-depth criteria. While one sees increasing spacing in Figure 3 with increasing cross slope, the trend changes in Figure 4 as the slope increases, and Figure 5 shows the opposite of Figure 3. Figure 6 and Figure 8 also produce results similar to Figure 4 in that maximum spacing increases first and then starts decreasing with increase in cross slope, and Figure 9 shows (in blue) neither extremum results nor maximum spacing, in line with the former figures. When one examines Equation (5), an inverse correlation is captured between the spacing and cross slope, but this is not reflected in the figures except in Figure 5. To clarify what first seems as a contradiction, Equation (6) should be considered. When Equation (6) is placed in Equation (5), spacing changes with S x 5 / 3 instead of S x 1 . However, this still does not explain why the trend changes direction with increasing cross slopes. It is clear from Equation (6) that cross slope multiplied by the maximum allowable spread produces the depth value, and in this study we set the general criterion to be 10 cm for the maximum flow depth, and when S x > z max / T max , flow depth is replaced by z max per the criterion. In such a case (i.e., when S x > z max / T max ), spacing changes with S x 1 in Equation (6), as the depth is constant and is not a function of cross slope. Figure 5, in which flow depth is limited to 3 cm (as opposed to 10 cm otherwise), clearly depicts the decreasing spacing trend (with increasing cross slope). Flow depth is limited to 3 cm with a half-lane maximum spread (180 cm); that limit is reached for an S x value below 2%. Thus, the depth is kept constant for S x values 2% and above (to 7% in Figure 5). Figure 6 shows that as 10 cm is reached at 3.33% for a highway setting with a 3 m shoulder, the increasing spacing trend plateaus around 3 and 4% cross slope and starts decreasing from there on. For the half-lane spread criteria (and 10 cm flow depth), 5.55% cross slope is the turning point beyond which the inverse relationship begins. Thus, to address cross-slope impact on spacing, one needs to be aware of the constraints for design; if designing for a fixed spread with no regard to flow depth, then spacing increases with increasing cross slopes (as it does up to 3% in Figure 6), but if flow depth becomes a limitation, then an inverse correlation governs the case (as it does beyond 3% in Figure 6). The results also show that while higher longitudinal slopes enable wider spacing of inlets, depending on the roadway width and cross-slope values, the design may collapse altogether due to hydroplaning risks, leaving no reason to analyze the spacing.
Izzard [38] mentions inlet capacity controlling the inlet spacing along with gutter capacity; while this study looks into the impact slope orientation has on inlet spacing, it does not consider the impact of inlet capacity. This is because different regions have different practices for inlet designs, and considering a specific inlet type and design prevents obtaining a larger view of the other controls on inlet spacing and its maximum allowable values. While, for example, most regions in the United States practice curb-opening inlets, grate inlets are practiced in Turkey—the authors are yet to see any application of curb-opening inlets in Turkey despite producing some of the earliest studies on curb-opening inlet capacity [39]. Moreover, multiple designs exist within each inlet type: whether a curb opening inlet is depressed or recessed or undepressed when compared to the roadway line and curb line, which alters the capture capacity immensely. Considering different type of inlets also results in different clogging patterns—from tree leaves to plastic bags to wheels of parked vehicles—beyond any sediment. Additionally, recent studies aim for larger structures [40], as placing fewer inlets may be more cost-effective, and thus, for some geometries, inlet capacity may not be a limiting factor. The purpose here was to comprehend the impact of slope orientation on the spacing, and the link between these results and inlet capacity is lacking, but this could easily be determined with the known inlet capacities for each region. In addition, untested is how increasing the cross slope gradually from the crown line could impact the results, which is not favorable for highways but could be applied to local roads, which might help optimize designing wider roads without considering hydroplaning, to an extent.
Cavdar and Uyumaz [17] focus only on water-film thicknesses over the lanes; in contrast, here the focus is on inlet spacing under constrained gutter flow depths. Based on Gallaway et al. [13], limiting water-film thickness to 4 mm is reasonable to prevent hydroplaning risks. HEC-22, however, states that at 89 km h−1, hydroplaning occurs at 2 mm thickness. The drastic change between the 2 and 4 mm is obvious when looking at Figure 6 and Figure 8, for a highway setting, which creates less tolerance to hydroplaning due to high speeds. If it is desired to keep the cross slope at or below 4% (as advised by HEC-22, pp. 4-4 and 4-5), designing for multilane highways appears unpromising at environments with above 100 mm h−1 rainfall. This sets a real challenge at steeper terrains.
HEC-22 recommends inlet spacing to be between 90 and 150 m. The results show, in certain cases, that spacings can reach kilometers, especially under low precipitation conditions. However, the interest in this study is on the limited conditions. Looking at Figure 7 (and knowing a cross slope of 1% is in fact unreasonably low and 1.5% is recommended as a practical minimum), apart from a few exceptions with low grades in three- and four-lane roadways, the allowable spacing values do not constitute any major restrictions in a highway setting (3 m shoulder) in terms of recommended spacing. In the local setting, however, with a maximum spread of 1.8 m, maximum allowable inlet spacing becomes a limitation in many orientations (Figure 4) and slope optimization becomes crucial. If the maximum flow depth is limited to 3 cm, then the limitations are inescapable and become a major restriction to spacing consideration (Figure 5), which is consistent with the conclusion of Wong and Moh [19], who found exponential increase in inlet spacing with increasing maximum spacing. (This means decreasing maximum flow depths (as Gomez et al. [20] suggest) or the spread results in drastic variations).
Our results show that some orientations have no practical inlet spacing limitations when investigated under controlled flow depths. Other orientations, however, limit the maximum allowable spacing and thus increase the possible cost as a result of increased inlet number. This, however, is a statement from a limited traditional perspective of stormwater management unfounded in sustainable stormwater management and green infrastructure practices. Rapid removal of flow is no longer considered a best management practice, and current studies focus on ways to estimate the capture capacity of smaller inlets as a better practice [41,42]. Thus, from a multidisciplinary approach, the limited spacing may still be cost-effective and justifiable.
While we limited the flow depth to 3 cm, Martínez-Gomariz et al. [3] use a limiting criterion of flow depth x velocity ( v y ) in determining pedestrian stability and find that the conventional criterion of 0.5 m2 s−1 is too high and should be updated to 0.22 m2 s−1 for floods. Based on this criterion, any flow depth greater than 15 cm creates hazardous risks to pedestrians [3], and this corresponds with the HEC-22′s curb height restriction to flow depth; however, no user should face hazardous situations and preferable nuisances should be limited. Floods must be prevented via logical measures in terms of the location and frequency of inlets to remove surface flow timely and without accumulation. Similar analyses conducted for pedestrians are also performed for vehicles. Although there are a great number of studies that consider buoyancy for the vehicles’ wash during a flood event, and vehicles turning into debris, we aim for functioning roadways and the criteria to prevent such instabilities and floods. Russo et al. [43] state inlet spacing criteria are not clear in the urban drainage context, and this is also important in terms of overall accumulation of flow in roadways.

5. Conclusions

We found that higher grades promote larger inlet spacing, so its effect is obvious; however, over-lane flow depths reaching hydroplaning limits are the constraint in terms of roadway hydraulics. For cross-slope orientation, however, maximum inlet spacings are obtained at z max / T max , and anything below and above that limit lowers the maximum spacing. Inlet spacing is an important criteria cost-wise, and in this paper, the goal was to demonstrate the impact of slope orientation on spacing.
The results show that while steep cross-slope values may be preferred to minimize ponding and confine the channel flow at bay within very small spreads, especially in regions of low longitudinal slopes (AASHTO), increased cross slopes also lead to rise in flow depths and thus limits the spacing. Plus, cross slopes may only be increased beyond certain values in warm climates because frost creates additional problems such as the tendency to drift toward the lower edge. AASHTO also recommends reasonable high cross slopes to prevent encroachment in curbed roads, as the flow travels within the roadway and not in gutter channels.
Based on the maximum allowable inlet lengths, we showed fragile roadway orientations that require extra care. Future work could be to analyze flows that correspond to such orientations and determine corresponding inlet capacity in the local setting.

Author Contributions

Supervision, A.U.; visualization, S.C.; writing—original draft, S.C.; writing—review and editing, S.C. All authors have read and agreed to the published version of the manuscript.

Funding

This research received no external funding.

Conflicts of Interest

The authors declare no conflict of interest.

References

  1. AASHTO. A Policy on Geometric Design of Highways and Streets, 7th ed.; American Association of State Highway and Transport Officials: Washington, DC, USA, 2018. [Google Scholar]
  2. Chen, Q.; Xia, J.; Falconer, R.A.; Guo, P. Further Improvement in a Criterion for Human Stability in Floodwaters. J. Flood Risk Manag. 2019, 12, e12486. [Google Scholar] [CrossRef]
  3. Martínez-Gomariz, E.; Gómez, M.; Russo, B. Experimental Study of the Stability of Pedestrians Exposed to Urban Pluvial Flooding. Nat. Hazards 2016, 82, 1259–1278. [Google Scholar] [CrossRef]
  4. Milanesi, L.; Pilotti, M.; Bacchi, B. Using Web-based Observations to Identify Thresholds of a Person’s Stability in a Flow. Water Resour. Res. 2016, 52, 7793–7805. [Google Scholar] [CrossRef]
  5. Bocanegra, R.A.; Vallés-Morán, F.J.; Francés, F. Review and Analysis of Vehicle Stability Models during Floods and Proposal for Future Improvements. J. Flood Risk Manag. 2020, 13, e12551. [Google Scholar] [CrossRef]
  6. Martínez-Gomariz, E.; Gómez, M.; Russo, B.; Djordjević, S. Stability Criteria for Flooded Vehicles: A State-of-the-art Review. J. Flood Risk Manag. 2018, 11, S817–S826. [Google Scholar] [CrossRef]
  7. Martínez-Gomariz, E.; Gómez, M.; Russo, B.; Djordjević, S. A New Experiments-Based Methodology to Define the Stability Threshold for any Vehicle Exposed to Flooding. Urban Water J. 2017, 14, 930–939. [Google Scholar] [CrossRef]
  8. Schmitt, T.G.; Thomas, M.; Ettrich, N. Analysis and Modeling of Flooding in Urban Drainage Systems. J. Hydrol. 2004, 299, 300–311. [Google Scholar] [CrossRef]
  9. Shah, S.M.H.; Mustaffa, Z.; Martinez-Gomariz, E.; Kim, D.K.; Yusof, K.W. Criterion of Vehicle Instability in Floodwaters: Past, Present and Future. Int. J. River Basin Manag. 2021, 19, 1–23. [Google Scholar] [CrossRef]
  10. Walsh, I.D. Chapter 31 Highway Design Principles and Practice: An Introduction. In ICE Manual of Highway Design and Management; Thomas Telford Ltd.: London, UK, 2011; pp. 249–252. [Google Scholar]
  11. Michalek, A.; Husic, A.; Roundy, J.; Hansen, A.T. Assessment of Climatic and Anthropogenic Controls on Bridge Deck Drainage and Sediment Removal. Water 2021, 13, 3556. [Google Scholar] [CrossRef]
  12. Brown, S.; Schall, J.; Morris, J.; Doherty, C.; Stein, S.; Warner, J. Hydraulic Engineering Circular No. 22, 3rd Edition: Urban Drainage Design Manual. National Highway Institute; Federal Highway Administration: Washington, DC, USA, 2009. [Google Scholar]
  13. Gallaway, B.; Ivey, D.; Hayes, G.; Ledbetter, W.; Olson, R.; Woods, D.; Schiller, R., Jr. Pavement and Geometric Design Criteria for Minimizing Hydroplaning; Federal Highway Administration: Washington, DC, USA, 1979. [Google Scholar]
  14. Ross, N.; Russam, K. The Depth of Rain Water on Road Surfaces; Road Research Laboratory, Crowthorne: Berkshire, UK, 1968. [Google Scholar]
  15. Wolff, A. Simulation of Pavement Surface Runoff using the Depth-Averaged Shallow Water Equations; University of Stuttgart: Stuttgart, Germany, 2013. [Google Scholar]
  16. Ressel, W.; Wolff, A.; Alber, S.; Rucker, I. Modelling and Simulation of Pavement Drainage. Int. J. Pavement Eng. 2019, 20, 801–810. [Google Scholar] [CrossRef]
  17. Cavdar, S.; Uyumaz, A. Hydrological Considerations in Designing Roadways: Avoiding Hydroplaning. Tek. Dergi 2022, 33, 12663–12676. [Google Scholar] [CrossRef]
  18. Spaliviero, F.; May, R.; Escarameia, M. Spacing of Road Gullies Hydraulic Performance of BS EN 124 Gully Gratings and Kerb Inlets; HR: Wallingford, UK, 2000. [Google Scholar]
  19. Wong, T.S.; Moh, W. Effect of Maximum Flood Width on Road Drainage Inlet Spacing. Water Sci. Technol. 1997, 36, 241–246. [Google Scholar] [CrossRef]
  20. Gómez, M.; Sánchez, H.; Malgrat, P.; Castillo, F.; Sunyer, D.; Nanía, L. Inlet Spacing Considering the Risk Associated to Runoff. Application to Streets and Critical Points of the City of Barcelona. Glob. Solut. Urban Drain. 2002, 1–13. [Google Scholar] [CrossRef]
  21. Moftakhari, H.R.; AghaKouchak, A.; Sanders, B.F.; Allaire, M.; Matthew, R.A. What is Nuisance Flooding? Defining and Monitoring an Emerging Challenge. Water Resour. Res. 2018, 54, 4218–4227. [Google Scholar] [CrossRef]
  22. Wong, T.S.W. Kinematic Wave Method for Determination of Road Drainage Inlet Spacing. Adv. Water Resour. 1994, 17, 329–336. [Google Scholar] [CrossRef]
  23. Wong, T.S. Formulas for Time of Travel in Channel with Upstream Inflow. J. Hydrol. Eng. 2001, 6, 416–422. [Google Scholar] [CrossRef]
  24. Comport, B.C.; Thornton, C.I. Hydraulic Efficiency of Grate and Curb Inlets for Urban Storm Drainage. J. Hydraul. Eng. 2012, 138, 878–884. [Google Scholar] [CrossRef]
  25. Gómez, M.; Russo, B. Hydraulic Efficiency of Continuous Transverse Grates for Paved Areas. J. Irrig. Drain. Eng. 2009, 135, 225–230. [Google Scholar] [CrossRef]
  26. Guo, J.C. Design of Grate Inlets with a Clogging Factor. Adv. Environ. Res. 2000, 4, 181–186. [Google Scholar] [CrossRef]
  27. Hammonds, M.A.; Holley, E. Hydraulic Characteristics of Flush Depressed Curb Inlets and Bridge Deck Drains, Federal Highway Administration Technical Report FHWA/TX-96/1409-1 Center for Transportation Research; University of Texas at Austin: Austin, TX, USA, 1995. [Google Scholar]
  28. Hodges, B.R.; Barrett, M.E.; Ashraf, M.; Engineer, H.; Schalla, F.E. Interception Capacity of Conventional Depressed Curb Inlets and Inlets with Channel Extension; Center for Transportation Research at the University of Texas at Austin: Austin, TX, USA, 2018. [Google Scholar]
  29. Muhammad, A.M. Interception Capacity of Curb Opening Inlets; University of Texas at Austin: Austin, TX, USA, 2018. [Google Scholar]
  30. Russo, B.; Gómez, M.; Tellez, J. Methodology to Estimate the Hydraulic Efficiency of Nontested Continuous Transverse Grates. J. Irrig. Drain. Eng. 2013, 139, 864–871. [Google Scholar] [CrossRef]
  31. Schalla, F.E. Effects of Flush Slab Supports on the Hydraulic Performance of Curb Inlets and an Analysis of Design Equations. Effects of Flush Slab Supports on the Hydraulic Performance of Curb Inlets and an Analysis of Design Equations; University of Texas at Austin: Austin, TX, USA, 2016. [Google Scholar]
  32. Izzard, C.F. Hydraulics of runoff from developed surfaces. In Proceedings of the Highway Research Board Proceedings, Washington, DC, USA, 5–8 December 1946. [Google Scholar]
  33. Kuichling, E. The Relation between the Rainfall and the Discharge of Sewers in Populous Districts. Trans. Am. Soc. Civ. Eng. 1889, 20, 1–56. [Google Scholar] [CrossRef]
  34. Manning, R. On the Flow of Water in Open Channels, Supplement. Inst. Civ. Eng. Irel. 1895, 24, 179–207. [Google Scholar]
  35. Cristina, C.M.; Sansalone, J.J. Kinematic Wave Model of Urban Pavement Rainfall-Runoff Subject to Traffic Loadings. J. Environ. Eng. 2003, 129, 629–636. [Google Scholar] [CrossRef]
  36. Aranda, J.; Beneyto, Á.C.; Sánchez-Juny, M.; Bladé, E. Efficient Design of Road Drainage Systems. Water 2021, 13, 1661. [Google Scholar] [CrossRef]
  37. Westlake, M. Chapter 33 Geometric Design. In ICE Manual of Highway Design and Management; Thomas Telford Ltd.: London, UK, 2011; pp. 273–283. [Google Scholar]
  38. Izzard, C.F. Tentative Results on Capacity of Curb opening Inlets; Research Board: Washington, DC, USA, 1 January 1950; pp. 11–13. [Google Scholar]
  39. Uyumaz, A. Discharge Capacity for Curb-Opening Inlets. J. Hydraul. Eng. 1992, 118, 1048–1051. [Google Scholar] [CrossRef]
  40. Schalla, F.E.; Ashraf, M.; Barrett, M.E.; Hodges, B.R. Limitations of Traditional Capacity Equations for Long Curb Inlets. Transp. Res. Rec. J. Transp. Res. Board 2017, 2638, 97–103. [Google Scholar] [CrossRef]
  41. Sapdhare, H.; Myers, B.; Beecham, S.; Brien, C.; Pezzaniti, D.; Johnson, T. A Field and Laboratory Investigation of Kerb Side Inlet Pits using Four Media Types. J. Environ. Manag. 2019, 247, 281–290. [Google Scholar] [CrossRef] [PubMed]
  42. Shevade, L.J.; Montalto, F.A. Forensic Investigation of Four Monitored Green Infrastructure Inlets. Water 2021, 13, 1787. [Google Scholar] [CrossRef]
  43. Russo, B.; Valentín, M.G.; Tellez-Álvarez, J. The Relevance of Grated Inlets within Surface Drainage Systems in the Field of Urban Flood Resilience. A Review of several Experimental and Numerical Simulation Approaches. Sustainability 2021, 13, 7189. [Google Scholar] [CrossRef]
Figure 1. Roadway section with hydroplaning depth and inlet spacing shown.
Figure 1. Roadway section with hydroplaning depth and inlet spacing shown.
Applsci 12 11196 g001
Figure 2. Working from the last inlet to the first.
Figure 2. Working from the last inlet to the first.
Applsci 12 11196 g002
Figure 3. Maximum allowable local road inlet spacings with zero offset between the curb and the lane.
Figure 3. Maximum allowable local road inlet spacings with zero offset between the curb and the lane.
Applsci 12 11196 g003
Figure 9. Maximum allowable inlet spacing (blue) and over-lane flow depths (red) for a 3-lane road with 3% along-road slope ( S L = 3 % ) and a 3 m shoulder.
Figure 9. Maximum allowable inlet spacing (blue) and over-lane flow depths (red) for a 3-lane road with 3% along-road slope ( S L = 3 % ) and a 3 m shoulder.
Applsci 12 11196 g009
Table 1. Models used.
Table 1. Models used.
ModelReason for Use
Cavdar and Uyumaz [17]Computing over-lane flow depth for obtaining hydroplaning free designs
Izzard—modified Manning [32]Obtaining maximum possible channel flow that runs adjacent to the curb and marks the place of an inlet for removal
Rational Method [33]With flow from Izzard (1946), finding the maximum permissible inlet spacing
Table 2. Manning’s roughness coefficient ( n ) for overland sheet flow (for lanes), and channels (Equation (2)) after HEC-22.
Table 2. Manning’s roughness coefficient ( n ) for overland sheet flow (for lanes), and channels (Equation (2)) after HEC-22.
Surface Descriptionn
Smooth asphalt0.011
Smooth concrete0.012
Ordinary concrete lining0.013
Pavement/gutter sections0.012–0.026 (Manning in open channel, only)
Table 3. Runoff coefficients for the Rational Formula [12].
Table 3. Runoff coefficients for the Rational Formula [12].
Type of Drainage AreaRunoff Coefficient, C 1
Asphaltic Street0.70–0.95
Concrete Street0.80–0.95
1 Higher values are appropriate for steeper slopes.
Table 4. Assumptions considered.
Table 4. Assumptions considered.
PropertyTested Conditions
Roadway roughness, channel flow, n 0.016
Roadway roughness, sheet flow, n 0.011 (Equation (1))
Runoff coefficient, C 0.95
Lane width (m)3.6
Shoulder width (m)3 (highway)|0 (local)
T max Shoulder width (highway)|½ lane width (local)
Maximum channel flow depth10 cm (alternatively 3 cm)
Hydroplaning limit4 mm (alternatively 2 mm)
Table 5. Conditions used for calculating inlet spacing.
Table 5. Conditions used for calculating inlet spacing.
PropertyTested Conditions
Rainfall intensity (mm/h)25–300
Number of lanes on the road1, 2, 3, 4
Cross slope (%)1, 2, 3, 4, 5, 6, (and 7)
Along-road slope (%)1, 2, 3, 4, 5, 6, 7, 8, 9, 10
Table 6. Water depths (mm) for a 4-lane road with 1% cross slope and a wide range of along-road slope and rainfall intensities. Shoulder: 3 m.
Table 6. Water depths (mm) for a 4-lane road with 1% cross slope and a wide range of along-road slope and rainfall intensities. Shoulder: 3 m.
Rainfall   Intensity ,   I (mm/h) Longitudinal   Slope ,   S L   ( % )
12345678910
251.21.31.51.61.71.81.92.02.02.1
501.82.02.22.42.62.72.93.03.13.2
752.22.62.93.13.33.53.63.83.94.1
1002.73.13.43.73.94.14.34.54.74.8
1253.13.53.94.24.54.75.05.25.35.5
1503.43.94.34.75.05.35.55.76.06.1
2003.74.34.85.25.55.86.16.36.56.7
2504.14.65.25.66.06.36.66.87.17.3
3004.35.05.56.06.46.77.07.37.67.8
3504.65.35.96.46.87.27.57.88.18.3
4004.95.66.26.87.27.67.98.38.68.8
4505.25.96.67.17.68.08.48.79.09.3
Publisher’s Note: MDPI stays neutral with regard to jurisdictional claims in published maps and institutional affiliations.

Share and Cite

MDPI and ACS Style

Cavdar, S.; Uyumaz, A. Impact of Slope Orientation on Inlet Spacing: Gutter Flow Analyses. Appl. Sci. 2022, 12, 11196. https://doi.org/10.3390/app122111196

AMA Style

Cavdar S, Uyumaz A. Impact of Slope Orientation on Inlet Spacing: Gutter Flow Analyses. Applied Sciences. 2022; 12(21):11196. https://doi.org/10.3390/app122111196

Chicago/Turabian Style

Cavdar, Sevgi, and Ali Uyumaz. 2022. "Impact of Slope Orientation on Inlet Spacing: Gutter Flow Analyses" Applied Sciences 12, no. 21: 11196. https://doi.org/10.3390/app122111196

APA Style

Cavdar, S., & Uyumaz, A. (2022). Impact of Slope Orientation on Inlet Spacing: Gutter Flow Analyses. Applied Sciences, 12(21), 11196. https://doi.org/10.3390/app122111196

Note that from the first issue of 2016, this journal uses article numbers instead of page numbers. See further details here.

Article Metrics

Back to TopTop