Triaxial Experimental Study of Zinc Contaminated Red Clay under Different Temperature Conditions
Abstract
1. Introduction
2. Materials and Methods
2.1. Test Soil
2.2. Pollution Source of the Test Soil Sample
2.3. Test Preparation
2.4. Test Method
3. Results and Discussion
3.1. Changes in Stress–Strain Curves of Red Clay with Different Concentrations of Zinc Contamination under Different Temperature Conditions
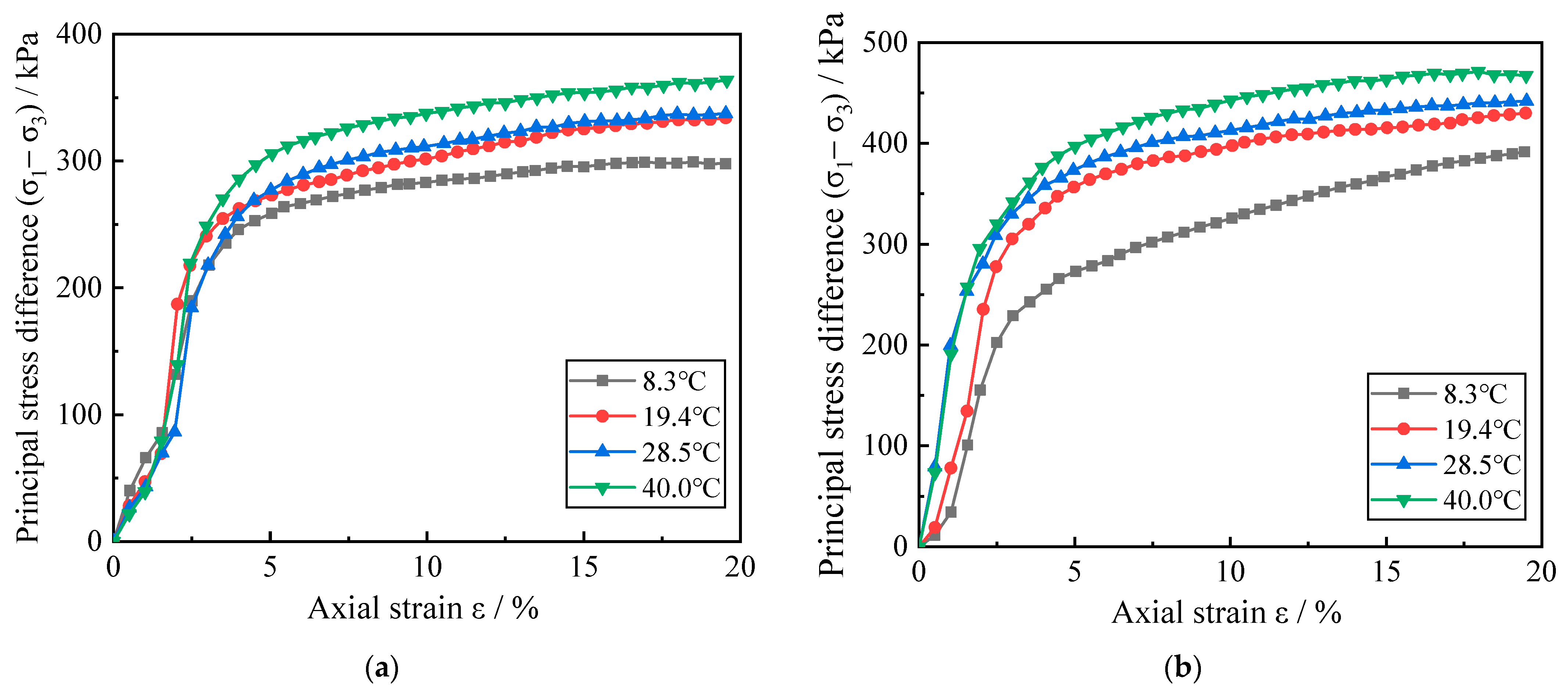
3.1.1. Effect of Temperature on Stress–Strain Curves of Zinc-Contaminated Red Clay
3.1.2. Effect of Contamination Concentration on the Stress–Strain Relationship of Red Clay under Temperature Conditions
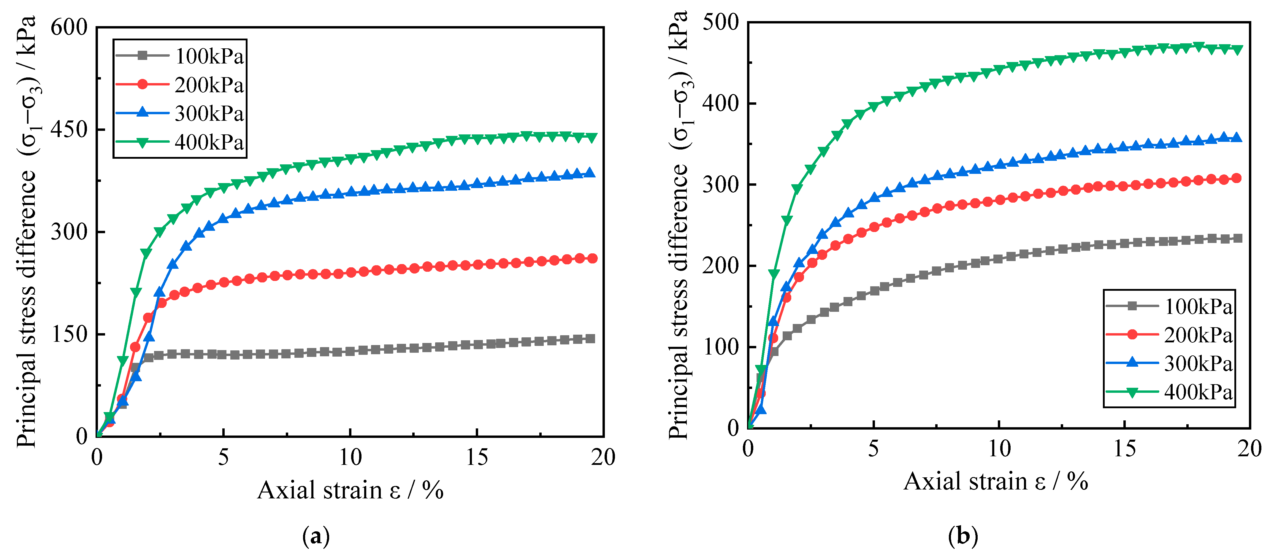
3.1.3. Effect of Enclosure Pressure on Stress–Strain Curves of Zn-Contaminated Red Clay at Different Temperature Conditions
3.2. Changes in Shear Strength of Zn-Contaminated Red Clay under Different Temperature Conditions
3.2.1. Effect of Temperature on the Shear Strength of Zinc-Contaminated Red Clay
3.2.2. Effect of Contamination Concentration on the Shear Strength of Zinc-Contaminated Red Clay
3.3. Changes of Shear Strength Index of Zinc-Contaminated Red Clay under Different Temperature Conditions
3.3.1. Effect of Temperature on the Shear Strength Index of Zinc-Contaminated Red Clay
3.3.2. Effect of Pollution Concentration on the Shear Strength Index of Red Clay under the Same Temperature Condition
4. Conclusions
Author Contributions
Funding
Institutional Review Board Statement
Informed Consent Statement
Data Availability Statement
Conflicts of Interest
References
- Chen, L.J.; Chen, X.J.; Wang, H.; Huang, X.; Song, Y. Mechanical properties and microstructure of lime-treated red clay. KSCE J. Civ. Eng. 2021, 25, 70–77. [Google Scholar] [CrossRef]
- Song, Y.; Wang, J.Q.; Chen, X.J.; Yu, S.Z.; Ban, R.L.; Yang, X.; Zhang, X.C.; Han, Y. Study the effects of dry-wet cycles and cadmium pollution on the mechanical properties and microstructure of red clay. Environ. Pollut. 2022, 302, 119037. [Google Scholar] [CrossRef] [PubMed]
- Chen, L.J.; Chen, X.J.; Yang, X.; Bi, P.Y.; Ding, X.; Huang, X.; Wang, H. Effect of calcium carbonate on the mechanical properties and microstructure of red clay. Adv. Mate. Sci. Eng. 2020, 2020, 5298186. [Google Scholar] [CrossRef]
- Song, Y.; Li, H.; Gan, X.H.; Zhang, M.Z.; Xue, M.M.; Li, J. Comparative experimental study on calcium oxide, calcium hydroxide, and calcium carbonate solidified zinc-contaminated red clay. Geofluids 2022, 2022, 8428982. [Google Scholar] [CrossRef]
- James, K.M.; Kenichi, S. Fundamentals of Soil Behavior; John Wiley & Sons Inc.: Hoboken, NJ, USA, 2005. [Google Scholar]
- Chen, Y.F.; Liu, Z.K. Influence of different amount of red mud on shear strength of red clay. Yangtz. Riv. 2017, 48 (Suppl. S1), 264–267. [Google Scholar]
- Lu, H.B.; Ji, C.S.; Xie, C.; Zeng, Z.T.; Wang, Y.; Xu, Y.S. Effect of acids on physical and mechanical properties of Liuzhou lateritic soil. J. Guangxi Univ. Nat. Sci. Ed. 2017, 42, 1465–1471. [Google Scholar]
- Zhang, Y.Z.; Zuo, S.Y.; Ji, Y.X. Experimental Study on undisturbed and reconstituted mechanical properties of red clay. J. Undergr. Space Eng. 2017, 13, 1477–1482. [Google Scholar]
- Chen, J.Y.; Liu, Z.K. Strength change mechanism of undisturbed red clay and remolded red clay. J. Henan Univ. Sci. Technol. Nat. Sci. Ed. 2019, 27, 53–59. [Google Scholar]
- Li, J.M.; Chen, X.J.; Yang, Y.; Huang, X.; Song, Y. Experiment of modified red clay by graphite nanoparticles. Henan Univ. Sci. Technol. Nat. Sci. Ed. 2019, 40, 69–73+80. [Google Scholar]
- Mukiza, E.; Zhang, L.L.; Liu, X.M.; Zhang, N. Utilization of red mud in road base and subgrade materials: A review. Resour. Conserv. Recycl. 2019, 141, 187–199. [Google Scholar] [CrossRef]
- Zou, W.S.; Feng, X.Z.; Wang, R.H.; Wei, W.F.; Luo, S.Y.; Zheng, R.J.; Yang, D.Z.; Mi, H.W.; Chen, H. High-efficiency core-shell magnetic heavy-metal absorbents derived from spent LiFePO4 battery. J. Hazard. Mater. 2021, 402, 123583. [Google Scholar] [CrossRef] [PubMed]
- Chen, S.B.; Wang, M.; Li, S.S.; Zhao, Z.Q.; E, W.D. Overview on current criteria for heavy metals and its hint for the revision of soil environmental quality standards in China. J. Integr. Agr. 2018, 17, 765–774. [Google Scholar] [CrossRef]
- Mishra, S.; Bharagava, R.N.; More, N.; Yadav, A.; Zainith, S.; Mani, S.; Chowdhary, P. Heavy metal contamination: An alarming threat to environment and human health. In Environmental Biotechnology: For Sustainable Future; Springer: Singapore, 2019; pp. 103–125. [Google Scholar]
- Shi, T.R.; Ma, J.; Wu, X.; Ju, T.N.; Lin, X.L.; Zhang, Y.Y.; Li, X.H.; Gong, Y.W.; Hou, H.; Zhao, L.; et al. Inventories of heavy metal inputs and outputs to and from agricultural soils: A review. Ecotox. Environ. Safe. 2018, 164, 118–124. [Google Scholar] [CrossRef] [PubMed]
- Li, J.C.; Yin, R.Z.; Luo, Y.P.; Lu, Y.L.; Zhang, L.D. Assessment of heavy metal contamination of soils in Daxin manganese mine Guangxi. Environ. Sci. Technol. 2010, 33, 183–190. [Google Scholar]
- Wang, Y.H.; Chen, X.J.; Zhao, Y.L.; Qi, S.H. Heavy metal pollution in soils and plant accumulation in a restored lead zinc mineland in Guangxi, South China. J. China Univ. Min. Technol. 2007, 36, 487–493. [Google Scholar]
- Chen, H.B.; Chen, X.J.; Qi, Y.L.; Huang, X.; Yu, S.Z.; Xiao, G.Y. Effects of dry density and moisture content on shear strength parameters of remolded red clay soil. J. Eng. Geol. 2019, 27, 1035–1040. [Google Scholar]
- Gong, X.P.; Tang, C.S.; Shi, B.; Wang, H.S.; Leng, T.; Tan, Y.Z.; Deng, Y.F. Evolution of soil microstructure during drying and wetting. J. Eng. Geol. 2019, 27, 775–793. [Google Scholar]
- Xie, Y.H.; Zhang, B.H.; Liu, B.C.; Zeng, Z.T.; Zhang, Y.; Zheng, Y. Shrinkage cracking and strength deterioration of red clay under cyclic drying and wetting. Alex. Eng. J. 2022, 61, 2574–2588. [Google Scholar] [CrossRef]
- Zeng, L.; Yu, H.C.; Gao, Q.F.; Liu, J.; Liu, Z.H. Evolution of Tensile Properties of Compacted Red Clay under Wet and Dry Cycles. KSCE J. Civ. Eng. 2022, 26, 606–618. [Google Scholar] [CrossRef]
- Chen, X.J.; Chen, L.J.; Song, Y.; Wang, H.; Zhou, X.; Li, J.M. Experimental study on improvement of red clay with lime. J. Eng. Geol. 2017, 25, 230–234. [Google Scholar]
- Chen, X.J.; Chen, L.J.; Song, Y.; Chen, H.B.; Wang, H. Experimental study on strength characteristics of red clay under different particle size of calcium carbonate. In International Symposium on Energy Geotechnics; Springer: Cham, Switzerland, 2018; pp. 236–242. [Google Scholar]
- Qi, Y.L.; Bai, M.Z.; Zhou, H.; Shi, H.; Li, P.X.; He, B.H. Study on the mechanical properties of red clay under drying-wetting cycles. Adv. Mater. Sci. Eng. 2021, 2021, 8665167. [Google Scholar] [CrossRef]
- Chen, Y.; Wang, Q.; Yu, M.Y.; Wu, Z.H.; Gao, B.; Dong, J. Study on shear strength and microstructure characteristics of alkali contaminated red clay. J. Eng. Geol. 2018, 26, 1300–1310. [Google Scholar]
- Liu, K.; Ye, W.J.; Gao, H.J.; Dong, Q. Evolutionary law and microscopic mechanism of shear strength of acid-alkaline contaminated loess. Geotechnics 2022, 43 (Suppl. S1), 1–12. [Google Scholar]
- Li, J.M.; Tang, S.B.; Chen, X.J. Analysis of the Mechanical properties and mechanism of zinc ion-contaminated red clay. Adv. Mater. Sci. Eng. 2021, 2021, 6649691. [Google Scholar] [CrossRef]
- Song, Y.; Zhang, M.Z.; Li, H.; Yang, X.; Chen, X.J.; Li, J. Effect of chromium ion on the strength characteristics and damage law of red clay. Geofluids 2022, 2022, 8451476. [Google Scholar] [CrossRef]
- Chen, Y.C.; Huang, X.; Chen, X.J.; Zhang, X.C.; Ban, R.L. Relationship between shear strength and electrical resistivity of cu2+ contaminated red clay. J. Yangtze Riv. Sci. Res. Inst. 2021, 38, 121–127+136. [Google Scholar]
- Yang, Z.P.; Li, D.H.; Deng, R.F.; Tian, X.; Ren, S.P. An experimental study for influence of freeze thaw cycles on strength and pore characteristics of solidified lead contaminated soil. J. Eng. Geol. 2019, 27, 539–549. [Google Scholar]
- Chen, X.J.; Chen, Y.C.; Song, Y.; Li, J.M.; Yu, S.Z.; Chen, L.J. Analysis on variation of physical-mechanical properties of red clay contaminated by Cu2+. J. Eng. Geol. 2019, 27, 1010–1018. [Google Scholar]
- Hazreek, Z.A.M.; Azhar, A.T.S.; Rosli, S. Field miniature study on heavy metal detection using electrical resistivity imaging (ERI). Internat. J. Civ. Eng. Technol. 2018, 5, 284–292. [Google Scholar]
- Fan, H.L.; Shen, X.D.; Zhou, H.L.; Liu, X.H. Mechanical property and strength prediction of cement-solidified/stabilized zinc-contaminated red clay. Bullet. Chin. Ceram. Soci. 2016, 12, 3964–3971. [Google Scholar]
- Zhang, C.H.; Sheng, X.D.; Fan, H.L.; Yuan, Q. Solidification rate and micro pore characteristics of cement stabilized zinc contaminated red clay. Environ. Eng. 2019, 37, 172–176. [Google Scholar]
- Song, Y.; Gan, X.H.; Li, H.; Zhang, M.Z.; Xue, M.M.; Gao, X.T.; Li, J. Curing effect and resistivity evolution of zinc-contaminated red clay cured by phosphate-based binder. Geofluids 2022, 2022, 8404620. [Google Scholar] [CrossRef]
- Dong, Y.Q.; Lu, H.J.; Li, J.X. Ion release and micro structure of cd-polluted clay solidified by cement. Chin. J. Environ. Eng. 2015, 9, 4578–4584. [Google Scholar]
- Chang, L.C.; Wang, H.Y.; Xue, K.X. Study on thechanges of cracks and shear strength in unsaturated red clay under different drying temperature. J. Eng. Geol. 2021, 1–14. [Google Scholar]
- Li, J.M.; Chen, X.J.; Huang, X.; Cheng, Y.; Yu, S. Test on mechanical properties and microstructure of zinc-contaminated red clay. J. Henan Univ. Sci. Technol. Nat. Sci. Ed. 2020, 41, 99–104. [Google Scholar]
- Chen, X.J.; Zhou, X.; Song, Y.; Huang, Y.Y. Experimental study on the characteristics of zn2+ pollution on the strength damage of red clay under leaching conditions. J. Eng. Geol. 2017, 25, 1264–1269. [Google Scholar]








| Optimum Moisture Content/ω | Maximum Dry Density | Specific Gravity GS | Compression Modulus /MPa | Liquid Limit (WL/%) | Plastic Limit (WP/%) | Plasticity Index IP |
|---|---|---|---|---|---|---|
| 30.00 | 1.515 | 2.73 | 10.15 | 57.95 | 31.22 | 26.73 |
| [Zn(NO3)2· 6H2O] Content | pH Value (50g/L, 25 °C) | Clarity Test | Water Insoluble Matter | Chloride (Cl) | Sulfate (SO4) | Iron (Fe) | Lead (Pb) | Ammonium Sulfide Does Not Precipitate |
|---|---|---|---|---|---|---|---|---|
| ≥99.0 | ≥3.5 | qualified | 0.005 | 0.001 | 0.002 | 0.0003 | 0.005 | 0.10 |
Publisher’s Note: MDPI stays neutral with regard to jurisdictional claims in published maps and institutional affiliations. |
© 2022 by the authors. Licensee MDPI, Basel, Switzerland. This article is an open access article distributed under the terms and conditions of the Creative Commons Attribution (CC BY) license (https://creativecommons.org/licenses/by/4.0/).
Share and Cite
Wang, J.; Song, Y.; Dong, S.; Ding, S.; Geng, Y.; Gao, X. Triaxial Experimental Study of Zinc Contaminated Red Clay under Different Temperature Conditions. Appl. Sci. 2022, 12, 10742. https://doi.org/10.3390/app122110742
Wang J, Song Y, Dong S, Ding S, Geng Y, Gao X. Triaxial Experimental Study of Zinc Contaminated Red Clay under Different Temperature Conditions. Applied Sciences. 2022; 12(21):10742. https://doi.org/10.3390/app122110742
Chicago/Turabian StyleWang, Jianqiang, Yu Song, Shuaishuai Dong, Song Ding, Yukun Geng, and Xiaotong Gao. 2022. "Triaxial Experimental Study of Zinc Contaminated Red Clay under Different Temperature Conditions" Applied Sciences 12, no. 21: 10742. https://doi.org/10.3390/app122110742
APA StyleWang, J., Song, Y., Dong, S., Ding, S., Geng, Y., & Gao, X. (2022). Triaxial Experimental Study of Zinc Contaminated Red Clay under Different Temperature Conditions. Applied Sciences, 12(21), 10742. https://doi.org/10.3390/app122110742
