Next Article in Journal
AWMC: Abnormal-Weather Monitoring and Curation Service Based on Dynamic Graph Embedding
Previous Article in Journal
Research on Optimization Design of Geometric Parameters of a Novel Frame-Embedded Track (NFET)
 
 
Font Type:
Arial Georgia Verdana
Font Size:
Aa Aa Aa
Line Spacing:
Column Width:
Background:
Article

Sedimentation of Microparticles in Highly Concentrated Non-Newtonian Emulsions

by
Mariola M. Błaszczyk
1,* and
Łukasz Przybysz
1,2
1
Department of Chemical Engineering, Faculty of Process and Environmental Engineering, Lodz University of Technology, 213 Wolczanska St., 90-924 Lodz, Poland
2
Department of Refrigeration Technology and Technique in Lodz, Institute of Agriculture and Food Biotechnology, 84 Al. Marszałka J. Piłsudskiego, 92-202 Lodz, Poland
*
Author to whom correspondence should be addressed.
Appl. Sci. 2022, 12(20), 10442; https://doi.org/10.3390/app122010442
Submission received: 12 September 2022 / Revised: 12 October 2022 / Accepted: 14 October 2022 / Published: 17 October 2022

Abstract

From the perspective of many industrial products, it is important that no phase separation occurs over time, as this affects their quality. Therefore, every effort is made to maintain the stability of the systems by the addition of various stabilizers, but additional artificial ingredients often discourage consumers. However, there is another alternative possibility to maintain the stability of such systems by consciously controlling the parameters of liquids and solids, based on the knowledge of the mechanisms occurring between the components. This is of immeasurable importance also in cases where multicomponent systems need to be separated, which is particularly important in chemical engineering and environmental engineering. The paper presents an experimental study of the solids-sedimentation process in highly concentrated, stable emulsions that exhibit the properties of non-Newtonian liquids. A study based on turbidimetric techniques is presented in which the influence of both solids (average grain diameters 150–700 μm and concentration 0.2–0.4 g/mL) and emulsion parameters (concentration 60–70% and average droplet diameters of 8.24–15.72 μm) were taken into account. The occurring phenomena have been also explained. As a result, the dependence of system parameters on the intensity of the sedimentation process was determined. This can be of great practical importance in product design in the chemical, food, pharmaceutical, or even cosmetic industry.

1. Introduction

In many areas of industry, such as food [1], pharmaceuticals [2] or cosmetics [3], one can find many products consisting of an oil and an aqueous phase, which most often form dispersions called emulsions. Often, solid particles also appear in these systems. From the perspective of product quality, it is important that such three-phase systems remain stable [4], i.e., that no phase separation occurs over time, because such a product will not be uniform throughout its volume and may lose its properties [5]. Both emulsion-destabilization processes, such as droplet coalescence and creaminess, and solids-sedimentation processes can occur [6]. While emulsion stability can be maintained with various types of surfactants [7,8,9], the sedimentation process of solids is more difficult to control. Of course, there are stabilizers that, when added to a liquid, affect its rheological properties and thus indirectly ensure the stability of the system [10], but in many cases, their use is impossible or even disadvantageous. In addition, nowadays one strives for products with the simplest possible composition, which will be as free of artificial additives as possible since such products are the most preferred by consumers. Therefore, if it was possible to predict the intensity of the process of sedimentation of solids in such systems depending on the parameters of emulsions and particles, it would be possible to design such products in which stability depended on the properties of the medium itself without the introduction of additives. However, this requires thorough knowledge of the mechanisms and phenomena occurring during this process, which requires detailed experimental studies, which was the motivation of this study.
Sometimes, instead of maintaining stable three-phase systems, it becomes a matter of separating them. Such is the case when separating oil wastewater from solids, such as wastewater generated after a machining process [11,12]. Such liquids are highly emulsified and have metal particles. Separation of such systems is not easy. Passing such substances through filters is connected with high energy expenditure, and using chemical methods causes the creation of toxic compounds [13]. All this also contributes to environmental poisoning and high disposal costs. Therefore, it seems to be the most economical but also ecological to subject such substances to spontaneous separation processes. While the separation process of the emulsion itself may be difficult to achieve in this way, the sedimentation of solids is possible. However, to be able to design such processes, it is also necessary to have a thorough knowledge of the mechanisms occurring during the sedimentation of solids in emulsions, which was another motivation for this work.
The sedimentation process of solid particles in highly concentrated emulsions is a very complex issue and is poorly studied in the literature. An accurate theoretical description is known only for the sedimentation of single particles in an unconfined liquid with Newtonian properties, for which the flow resistance is described by the well-known Stokes’ law [14]. In the case of multi-particle sedimentation in a confined liquid, the process becomes more complicated. In such a situation, the sedimenting particles displace the liquid; i.e., they fall in a liquid flowing in a countercurrent to the falling particles rather than in a stationary liquid, as in the case of single-particle fall [15]. This results in a lower sedimentation velocity. Equal correlations are known to account for this decrease in velocity, e.g., the Richardson–Zaki correlation [16]. The mechanism of solid particle fall is further complicated in the case of emulsions with concentrations above 50% that exhibit the properties of shear-thinning non-Newtonian liquids [17,18]. There are papers [19,20,21,22] devoted to modeling the falling of solid particles in a non-Newtonian fluid. However, these works refer to single particles and do not consider the interaction between a cluster of particles. There are also some works [23,24,25] that refer to cluster precipitation but deal with the process in a single-phase liquid with non-Newtonian properties; moreover, they usually refer to the interactions of several particles. Few works [26,27] have been devoted to the sedimentation of solids in emulsions; however, the concentrations of these emulsions are not large. The work of Yan and Masliyah (1993) focused on evaluating the rate of particle fall in an emulsion to form a continuous phase. Legay-Désesquelles et al. (1993) presented the behavior of specific metal particles, and the results for settling in emulsions were compared to a model developed for settling in oils.
Due to its complexity, the process of sedimentation of solid particles in highly concentrated emulsions can be found in the literature; however, there is a lack of works devoted to this issue. Because of this, an attempt was made to study the sedimentation of solids in stable emulsions exhibiting the properties of non-Newtonian liquids. The aim of this work was to investigate how the sedimentation process is affected by both emulsion parameters (concentration, droplet size) and solid-particle parameters (concentration in the system, size). Measurement techniques based on turbidimetry were used, which allowed behavior of the different phases of the system to be captured in time. The results of the work carried out were interpreted to explain the phenomena taking place. As a result, the mutual dependence between emulsion parameters and solid parameters at which the sedimentation process can be expected to occur with more or less intensity was captured. Knowing these mechanisms, one can control the properties of the medium in order to ensure a certain stability of the system. This is extremely important from a practical point of view.

2. Materials and Methods

Glass microspheres produced by Alumetal-Technik were used in the sedimentation process studies. The material was characterized by a smooth surface, round shape, and chemical inertness. Their density was 2.5 g/cm3 and bulk density 1.45 g/cm3. The chemical composition of the microspheres was as follows: 70–73%—SiO2, 13–15%—Na2O + K2O, 7–11%—CaO, 3–5%—MgO, 0.5–2.0%—Al2O3, and TiO2 ≤ 0.1%. Microspheres of five different grain size fractions were used in this study, with the range of diameters shown in Table 1.
The experiments were conducted at three different concentrations of microspheres relative to the volume of emulsion: φz = 0.2 g/mL; φz = 0.3 g/mL; and φz = 0.4 g/mL.
The emulsions in which the sedimentation of microspheres took place were oil-in-water systems. Vegetable oil “Złota Kraina” from Złoto Polskie company was used as a dispersed phase. Its dynamic viscosity at 20 °C was 65 mPa∙s and density 910 kg/m3. Distilled water was used as a continuous phase, while Rokacet from PCC EXOL SA was used as an emulsifier in an amount of 2% by volume. Emulsions with three different volume concentrations of the internal phase were used in the study: 60%, 65%, and 70%. These emulsions exhibited properties of shear, diluted non-Newtonian liquids. These liquids were subjected to rheological tests using BOHLIN CVO 120 rheometer with a cone-plate system. Changes of viscosity with the rate of shearing were set. The temperature of measurements was 20 °C. The flow curves of the obtained emulsion systems are presented in Figure A1 (Appendix A).
Emulsions were formed by mechanical mixing, using a high-speed homogenizer with a rotational speed of 20,000 rpm. Three different mixing times were used to obtain different oil droplet diameter sizes (while keeping the other mixing parameters constant). The mixing times used were D1 = 360 s, D2 = 180 s, and D3 = 60 s. The obtained emulsion systems were subjected to oil droplet size analysis using Anton Paar PSA 1190 Particle Size Analyzer. This allowed the determination of oil droplet parameters. The oil droplet size distributions of the 70% emulsion at different mixing times are shown in Figure A2 (Appendix A). The average oil droplet diameter calculated by the volume d2.3 for the 70% emulsions at 360 s, 180 s, and 60 s mixing were de1 = 8.24 μm, de2 = 11.52 μm, and de3 = 15.72 μm, respectively. The 60 and 65% emulsions were formed with only one mixing time, which was 360 s, resulting in oil droplets with average diameters of 10.54 and 10.98 μm, respectively.
The sedimentation process was analyzed using a TurbiscanLAB™ instrument equipped with TurbiSoft-Lab software. TurbiscanLAB™ operates in scanning mode: the optical readout head scans the length of the sample (up to 55 mm), acquiring transmission and backscattered light data every 40 μm. The operating principle is based on measuring the backscattered light (RW) and transmitted light (T) flux along the height of the sample with the liquid under test. The light source is an electroluminescent diode emitting a focused beam of near-infrared light with a wavelength of 880 nm. Depending on the initial particle size (smaller or larger than the wavelength, 880 nm), the level of backscatter increases or decreases. The stability of the produced emulsions was also checked using the Turbiscan LAB™ instrument. The samples were scanned for 5 h and overlapping backscattered light (RW) and reflected light (T) curves were obtained, indicating that no destabilizing processes (coalescence, creaming) were occurring, and the systems were stable.
The sedimentation process was carried out in a measuring cell with a volume of 25 mL. Measured masses of glass microspheres were poured into the cell, and then, the cell was filled with emulsion to a cell height of 55 mm. The cell was then capped, and the system was shaken vigorously to thoroughly mix the microspheres in the entire volume of emulsion. Immediately after, the measuring cell was placed in the Turbiscan LAB™ measuring chamber, and the measurements were started instantaneously. Scanning of the sample lasted for 30 min in each case. For the study, three samples of each system were created and tested by turbidimetric measurements. The results obtained were then compared with each other. Deviations between them did not exceed more than 8% in any case. For the presentation of the results, a sample presenting average values was adopted. The photo labeled in Figure 1a shows the prepared emulsion-microspheres system after formation (t = 0 s), while Figure 1b shows it after the sedimentation process (t = 1800 s).
As can be observed from the above images, the prepared system can be schematically represented in Figure 1c, where three phases can be distinguished—the solid phase (microspheres), the oil phase (drops of the internal phase of the emulsion), and the continuous phase (aqueous phase of the emulsion). The system was subjected to reflected light scanning for 30 min, which allowed to determine the growth of the sediment layer as schematically presented in Figure 2.
During the turbidimetric measurement, the system was subjected to scans every 30 s for 30 min. As a result of these scans, changes in the backscattered light value RW were obtained along the sample height H. This allowed us to obtain graphs of the dependence of RW on H for each system under study. An example of such a plot for the sedimentation of microspheres with a diameter range of 300–400 μm at 0.3 g/mL in an emulsion of 70% concentration (D1) is presented in Figure 3.
In Figure 3, colored curves can be observed indicating the percentage of backscattered light along the sample height. The blue curve refers to the first scan. Subsequent curves in red refer to subsequent scans. The red curve refers to the last scan after 30 min. As can be seen in the graph presented in Figure 3 in the lower part of the sample (from 0 to about 10.5 mm), the values of RW decrease in time from about 78% to about 52%. These changes in values are indicative of the sedimentation process taking place. For glass microspheres deposited at the bottom of the cell, the reflected light value is lower than for emulsions. As can be observed, the height at which the RW value reached 52% was increasing. This height will be denoted in this work as hs and will determine the thickness of the sediment layer. Considering the upper part of the sample (above 11 mm), it can be observed that the RW values increase slightly with time. This means that the emulsion becomes more and more free of solid particles during the sedimentation process, and for pure emulsion, the RW values are the highest. Similar graphs were obtained for all studied systems. Since the growth of the sediment layer with time is an important parameter in the analysis of the sedimentation process, it was possible to read the changes in hs values with time from the graphs of the changes in backscattered light with height. This also allowed the calculation of changes in the average sedimentation velocity u over time. The average sediment phase build-up velocity was calculated using the relationship:
u = h s t
where hs—height of sediment layer (m); t—the time during which the height of sediment layer was read (s).

3. Results

The analysis of sedimentation of solids in emulsion systems included the influence on the process of solid parameters, such as particle diameter size and microspheres concentration φz, and liquid parameters, such as emulsion concentration φe and average oil droplet size de.

3.1. Influence of Solid Parameters on the Sedimentation Process in Emulsion

To determine the effect of solid particle size on the sedimentation process, glass microspheres with five different grain size fractions were selected (see Table 1). The sedimentation process was carried out according to the test procedure described earlier, which made it possible to obtain graphs of the dependence of the sediment layer growth hs at time t. Applying Equation (1), it was also possible to calculate changes in velocity u during the process. The graphs of time dependence of hs and u for sedimentation of 0.3 g/mL microspheres in 70% emulsion with average droplet diameter de1 are presented in Figure 4a and Figure 4b, respectively.
By analyzing the change in sediment layer height over time (Figure 4a) for different grain size fractions, large differences in the alignment of experimental points can be observed. For the sedimentation of the smallest microspheres with a diameter range of 100–200 μm, the sediment layer growth is mild, and finally, the sediment layer height after 30 min hsk was small and was about 2.5 mm. In addition, the sedimentation velocity for this fraction was small and relatively constant, as can be observed in Figure 4b. For larger microspheres, with a diameter range of 200–300 μm, it can be observed that the value of hs varies more steeply over time, and eventually, the height of hsk was higher (6.42 mm). This also corresponds to higher sedimentation velocities. For the sedimentation of microspheres with a fraction of 300–400 μm, the final height of the sediment hsk was the highest with a value of 10.34 mm. However, the shape of the hs versus t curve is not as steep as for smaller beads. For larger microspheres, with a diameter range of 400–600 μm, it can be seen that the final sediment layer height hsk was slightly smaller than that recorded for the preceding fraction. Differences can also be noticed in the shape of the hs(t) curve. It can be observed that at the beginning of the process, there was a rapid increase in the value of hs, while with the duration of the process, the increases were smaller and smaller. These results are also illustrated in the velocity vs. time plot (Figure 4b). It can be seen here that initially, the sedimentation velocities take on high values, but as the process continues, these values decrease and eventually take on a fixed value. The trends observed here are further enhanced for the sedimentation process of microspheres with a diameter range of 600–800 μm. Here, a rapid increase in the height of the sediment layer is more clearly observed in the first phase of the process, but smaller and smaller changes are observed over time. Finally, the height of the sediment layer was lower than in the previous case.
To explain the observed trends, it is necessary to consider what happens to the phases in each case. It should be emphasized that we are dealing with sedimentation in a highly concentrated emulsion, where the packing of oil droplets is very high. Three cases can be distinguished here. The first refers to small particles, the second to medium particles, and the third to large particles. For each of these cases, the mechanism of movement of the microspheres will be different. To explain this, the diagram shown in Figure 5 is used. In this diagram, oil droplets are shown in yellow and solid microspheres in brown.
When the size of microspheres is small (Figure 5a), their weight is small. The gravity force in this case is not large enough to overcome the flow-resistance forces. The beads are not able to tear through the emulsion structure, so they remain trapped in it. Therefore, the final sediment height hsk for small-sized microspheres is small. The situation is different when the microspheres are of larger size, as shown in Figure 5b. Then their gravity is high enough to be able to break through the emulsion structure. The emulsion droplets move closer to each other, creating space for the solid to flow. In such a situation, the most intensive sedimentation process occurs, which explains the highest heights of the final sediment layer for medium-sized microspheres (300–400 μm fraction). It might seem that a further increase in particle size, i.e., a corresponding increase in particle weight, would result in an even more intense increase in the sedimentation process, but this is not the case. This is because, in the case of large particle sedimentation, although the weight is large enough to overcome flow resistance, the size of the particles itself becomes important. When they are large, in order to break through the emulsion structure, they cause oil droplets to come as close as possible to each other. These droplets start to form a compact structure. In a limited space, they form a barrier to the flow of solids, as shown schematically in Figure 5c. This explains the fact that for beads of the largest size, a lower height of the sediment layer is ultimately observed compared to the medium sizes. Due to the fact that the sedimentation process took place from the whole volume, the particles closer to the bottom had a greater ease in overcoming this compact structure and therefore fell faster. This is explained by the fact that the sedimentation intensity is higher at the beginning of the process and is lower and lower in further stages.
When analyzing the structure of solid particles and oil droplets of emulsions, the number of individual phases in the system is not without significance. Therefore, analogous tests were carried out for the case when the concentration of micro particles in the system was lower and when it was higher than previously presented. Figure 6 presents plots of (a) sediment layer height and (b) velocity versus time for sedimentation of 0.2 g/mL microspheres in 70% emulsion with de1 droplet diameter.
From the analysis of the curves of the dependence of hs and u on t, shown in Figure 6, it can be seen that the trend of these curves was similar to those obtained for sedimentation at a concentration of 0.3 g/mL. Obviously, the sediment layer heights obtained here will be smaller because fewer particles are in the system and may eventually form smaller layers. However, the highest sediment height hsk was obtained for microspheres of smaller size than in the previous case, i.e., in the range of 200–300 μm. For the largest size of microspheres, the changes in hs height are rapid in the first minutes of the process, but quickly, the process establishes itself, and the sediment height in the later stages did not change much anymore. It can be seen that the trend is more pronounced here than for sedimentation at 0.3 g/mL concentration. Figure 7 shows analogous plots of the sediment layer growth (a) and velocity (b) relationship during the sedimentation process at the higher microspheres concentration of 0.4 g/mL.
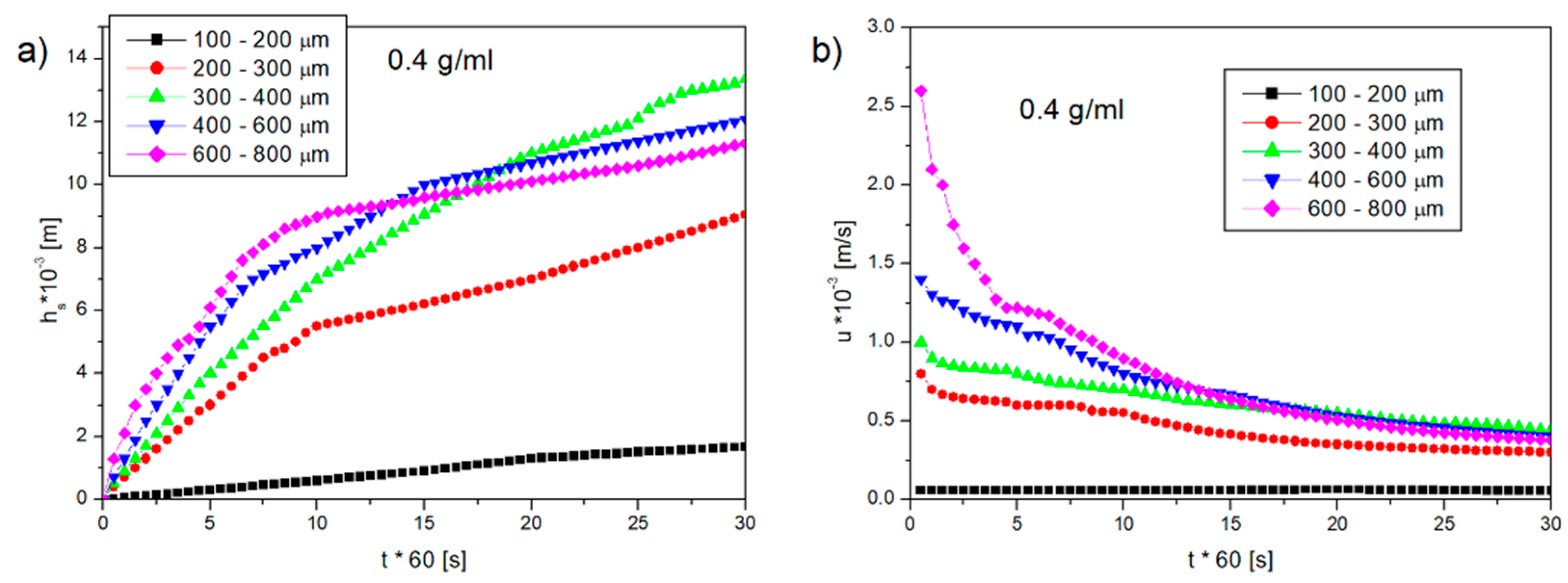
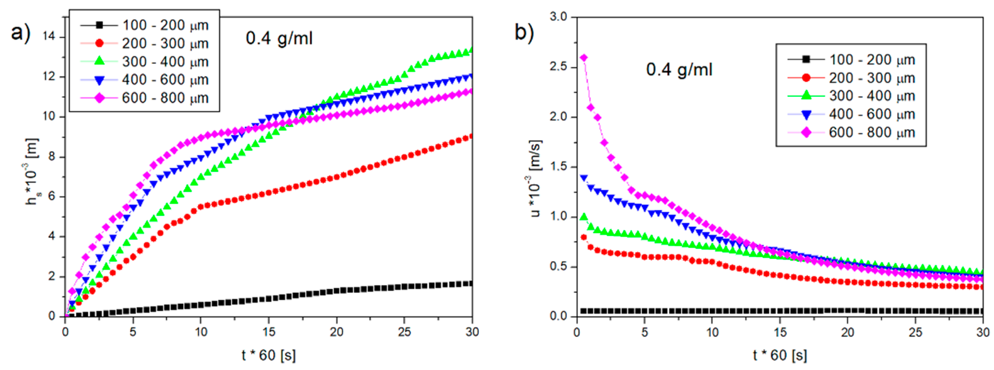
For sedimentation at higher particle concentrations, some temporal turbulence can be observed in the sediment growth and velocity curves. The curves are not as smooth as in the previous cases. This may be indicative of clustered precipitation, where a larger number of particles fall together at one time. Obviously, the final sediment heights were relatively higher due to the larger number of particles in the system. The highest value of hsk was obtained for beads with sizes of 300–400 μm.
To explain the effect of the amount of sediment on the sedimentation process in the emulsion, the scheme presented in Figure 8 was used.
Assume that the solid particle is large enough that its weight is able to overcome the emulsion structure, that is, to force the oil droplets to move aside to create a flow channel for the particle (Figure 5b). Considering the number of particles in the system, three cases can be distinguished. In the first, shown in Figure 8a, there is a small number of particles in the system. In this situation, the particles affect only the neighboring droplets, moving them from their track. The remaining emulsion droplets (which are not in direct contact with the particles) remain unaffected. In this case, the flow resistance is low; therefore, sedimentation can occur intensively, and in this case, the sediment layer grows rapidly. Another case occurs when the number of beads in the system is so large that in order for a particle to get through the emulsion structure, it must affect not only the neighboring droplets but also the remaining ones (Figure 8b). In this case, the flow resistance is higher. However, there is enough space in the system to create a track for the particles to fall, so sedimentation also occurs in this case. However, when there are very many particles in the system, the oil droplets of the emulsion are so compressed by the particles that they form a barrier for the particles through which they cannot pass. This is schematically illustrated in Figure 8c. In this case, the flow resistance is greatest. For sedimentation to occur, the particles must deform the spherical shape of the droplets.
An important conclusion from these studies is that there is a certain optimum particle size ratio relative to the emulsion droplets at given concentrations at which the sedimentation process occurs. When the particle size is too small, its weight is too small to overcome the resistance of the oil droplets. In this situation, the particles are trapped in the emulsion structure. When the particles are too large, the structure of the system becomes so compact that the oil droplets act as a barrier to the particles. Additionally, the amount of particles in the system is an important factor. When the number (concentration) of particles in the system is low enough, there is enough space for the particles to break through the emulsion structure. After exceeding a certain quantity, the structure of the system becomes compact, and the emulsion droplets block the particles’ descent.

3.2. Effect of Emulsion Parameters on the Sedimentation Process of Solids

When analyzing the sedimentation process of microspheres in highly concentrated emulsions, one should keep in mind that they exhibit non-Newtonian behavior. This property additionally influences the speed of sedimentation process. Rheological properties of emulsions depend on their concentration. It is estimated that oil-in-water emulsions with concentrations above 50% of internal phase start to exhibit non-Newtonian shear-thinning behavior. Increasing the concentration of the oil phase enhances these properties. Such liquids exhibit high viscosity at low shear rates. This increased viscosity can affect the sedimentation process, especially in the initial and final phases. To evaluate the influence of viscosity on the sedimentation process of microspheres in emulsions, an experimental study was carried out using emulsions with three different concentrations—60, 65, and 70%. The dependence of viscosity on shear rate is shown in Figure A1. The differences between the curves are clear, and the emulsions with a concentration of 70% at a shear rate of 50 1/s show more than three times the viscosity of the emulsions with a concentration of 60%. Sedimentation of microspheres with a concentration of 0.2 g/mL was carried out in these liquids. Figure 9a,b shows the plots of sediment layer height versus time and velocity versus time, respectively, for the precipitation of microspheres with a size range of 300–400 μm.
Comparing the curves of sediment layer height changes in time obtained at different emulsion concentrations (Figure 9a), one can see that for the process at 70% concentration, the curve has a smoother shape than the others. The final obtained value of sediment height hsk is also the smallest in this case. In addition, the sediment velocity reaches the smallest value for the emulsion with the highest concentration (Figure 9b); however, it fluctuated somewhat in the first stage of the process. The shape of the obtained curves is a result of the fact that at higher concentrations, the number of oil droplets is higher, and consequently, the density of the system is also higher. In such systems, the solid particles have less space to move freely and therefore can become trapped in the structure of the medium. At the beginning of the process there is a cluster settling, and the sedimentation velocity is the highest, but with time, it decreases. Considering non-Newtonian shear-thinning properties, at low flow velocities, the increased viscosity of the system slows down the process. Therefore, for the emulsion with the highest concentration, after about 17 min, the sedimentation process is established, and the observed increase in sediment layer changes little, while for emulsions with lower concentrations, larger changes are observed after this time. However, the overall sedimentation rate depends on the available space in the system. At low concentrations of emulsions, there is enough space for particles to find enough space to sink (Figure 10a), while at high concentrations, there is not enough space for particles to move (Figure 10c).
Oil droplet size is another emulsion parameter that can affect the settling rate of particles suspended in the emulsion. To test the effect of this parameter on the process, emulsions with different oil droplet sizes were produced. The average droplet diameter corresponded to de1 = 8.24 μm, de2 = 11.52 μm, and de3 = 15.72 μm, respectively. Figure 11 shows plots of the change in sediment height (a) and change in sedimentation velocity (b) over time with the descent of 0.3 g/mL microspheres with a diameter range of 300–400 μm for 70% emulsions with different oil droplet sizes.
As can be observed from the graphs presented in Figure 11, the speed of the sedimentation process in emulsions is directly related to the size of the oil droplets. For the smallest droplets de1 (8.27 μm), the process rate was high, and the final sediment layer height was the largest. In contrast, for the largest droplets de3 (15.72 μm), the process was slowest, while the hsk layer thickness was about four times smaller. That is, nearly doubling the average diameter of the emulsion droplets results in a fourfold increase in the sediment layer. The effect of emulsion oil droplet size on the rate of solid-particle fall is shown schematically in Figure 12.
Assuming the same oil phase concentration, for smaller droplets, their number in the system is globally larger than for large droplets. However, smaller droplets have a greater ability to move relative to each other. For even not very high stresses induced by squeezing solid particles, the small droplets will be able to move and create free space for the particle to enter (Figure 12a). For larger droplets (Figure 12b), the stresses induced by the particles are not sufficient to move the droplets sideways and create a track for the particle to move through. In the case of very large droplets (Figure 12c), the system forms a compact structure, and the solid particles become trapped between the droplets; hence, their ability to fall is impeded. Therefore, the largest sediment layers were observed for small droplets, while small layers were observed for emulsions characterized by large droplets.

4. Evaluation of Sedimentation Intensity as a Function of System Parameters

Based on the detailed analyses presented in the previous section, it is possible to draw more general conclusions determining the effect of solids-particle concentration and emulsion oil-phase concentration on the sedimentation process. Dimensionless height, which is the ratio of the height of the sediment layer hsk and the total height of the sample hc, and dimensionless diameter, which is the ratio of the average diameter of the solid particles dp and the average diameter of the emulsion oil droplet de, were used as comparison parameters. Figure 13a shows the dependence of dimensionless height on dimensionless diameter at different solid-phase concentrations. The lines connecting the measurement points have an increasing character for small values of dimensionless diameters; then, the maximum value of dimensionless height is reached, and with further increase in the value of dp/de ratio, there is a gentle decrease in the value of dimensionless height of the sediment. This means that during the sedimentation process at certain emulsion and bed parameters, there is a certain maximum at which, for a given particle size of the solid, the height of the sediment layer at a given time will be the highest, and thus, the sedimentation process will occur fastest.
This means that, in order to ensure the stability of three-phase (water/oil/solid) products (e.g., food products), one should avoid a fineness of the solid particles at which the sedimentation process is more intense. A smaller fineness (relative to a given size of oil droplets), as presented in Section 3, would obviously provide more stability to the system, as the solid particles, due to their small weight, would be able to stay on (between) the emulsion droplets (see Figure 5a). However, solids’ large fragmentation is associated with high energy expenditure and is sometimes not economically justified. Therefore, it will be more practical to keep the solids-particle size above that at which the maximum sediment height is reached. In this situation, the solids particles, due to their large size, can get stuck on (between) the emulsion droplets (see Figure 5c).
As can be observed from the graph in Figure 13a, as the solid concentration in the system increases, the maximum sediment height shifts toward larger particle sizes. This means that in systems with a large number of solids particles, the particle size may be slightly larger than for systems with lower concentrations to maintain system stability.
The concentration of the emulsion itself is also not insignificant. Figure 13b shows a plot of the dependence of dimensionless sediment height on a dimensionless diameter during sedimentation in emulsions with different internal phase concentrations. In this system, a peak can also be observed at certain values of diameter ratios, above which the values of dimensionless sediment height decrease. However, in this case, there was no significant effect of emulsion concentration on the value of maximum sediment height. However, an increase in emulsion concentration affects the maintenance of emulsion stability at large particle sizes (relative to oil droplet size). For example, for the sedimentation process at a ratio of average particle diameters to oil droplet size of 90, approximately 30% less dimensionless sediment height was recorded in the 70% concentration emulsion than when sedimenting these diameter sizes in the 60% concentration emulsion. This indicates that modifying the concentration of the oil phase in the system affects the sedimentation of solids. This is also of great importance where it will be important to intensify the sedimentation process, for example, when separating heavily oiled wastewater from solids. A slight dilution of the system (reduction of the concentration of the oil phase) can cause a significant increase in the intensity of the sedimentation process. On the other hand, to ensure the stability of the system, an increase in the amount of the internal phase will keep the solid particles on (or between) the oil droplets (see Figure 7).
As shown earlier in addition to modifying the concentrations of both the solid- and oil-phase contributions to the system, the sedimentation process is affected by the fineness of the solid but also the oil phase. As can be seen from the experiments presented in Section 3.2, an increase in droplet size results in greater particle entrapment inside the structure and a decrease in the intensity of the sedimentation process. However, it should be noted that emulsions with too large oil droplet sizes tend to coalesce, with subsequent creaming and separation of the phases. These processes can in turn intensify the sedimentation process. Complete separation of components can occur, which is a disadvantage for many products. On the other hand, very small sizes of solids (of the order of nanometers) in the system can additionally act as an emulsifier and affect the stability of the emulsion, creating so-called Pickering emulsions.

5. Conclusions

This paper presents an experimental study of the sedimentation process of spherical solid particles in highly concentrated, stable emulsions. Using turbidimetric techniques, it was possible to follow the thickness of the sediment layer growing in time and the sedimentation velocity. Tests were conducted for five different particle size fractions of solids at three different concentrations relative to the liquid and at three different concentrations of the internal phase of the emulsion, which were characterized by three different average oil droplet sizes. The results were interpreted to explain the phenomena occurring. It was observed that in a given system, small and large solid particles settle with less intensity than particles of intermediate sizes. The reason for this behavior is determined by both the weight of the particle and its size. The larger the volume occupied by the particle, the more difficult it is for it to pass through the emulsion structure and undergo sedimentation. The experiments were conducted in emulsions with concentrations above 50%, so they exhibited the properties of shear-thinning non-Newtonian liquids. An increase in emulsion concentration caused a decrease in the intensity of the process; however, the non-Newtonian behavior of the liquid affected the deceleration of the process in its last phase (when the particle velocity was low). An increase in the size of the emulsion oil droplets caused a decrease in the intensity of the sedimentation process. It was considered that this was due to the fact that the particle moving through the emulsion system with smaller droplets, in order to make space for itself, interacts with a smaller volume of fluid than in the case of large droplets; hence, the flow resistance was lower.
The results were generalized by presenting them in the form of dependence of dimensionless sediment height on the ratio of solid to droplet diameter. It has been determined that for a given concentration of the solid phase and also of the emulsion oil phase, there exists a certain optimum value of the ratio dp/de of diameters at which the sedimentation process occurs most intensively. This value increases with increasing concentration of the solid phase. An increase in the oil-phase concentration, on the other hand, maintains greater stability of the system at high values of the dp/de ratio.
This gave specific indications regarding at what liquid and particle parameters in the system the greatest solid phase separation will occur. This has important implications for processes related to chemical engineering (e.g., purification of emulsified crude oil from solids) or environmental engineering (e.g., purification of oily wastewater from solids). However, this work can contribute to the conscious design of products in the food, pharmaceutical, or cosmetic industries. By controlling the concentrations and amounts of dispersed substances, it is possible to influence the stability behavior of such systems.

Author Contributions

Conceptualization, M.M.B.; data curation, Ł.P.; formal analysis, M.M.B. and Ł.P.; funding acquisition, M.M.B.; investigation, M.M.B. and Ł.P.; methodology, M.M.B.; project administration, M.M.B.; resources, M.M.B. and Ł.P.; software, M.M.B.; supervision, M.M.B.; validation, M.M.B.; visualization, M.M.B. and Ł.P.; writing—original draft, M.M.B.; writing—review and editing, M.M.B. All authors have read and agreed to the published version of the manuscript.

Funding

The study was financed within a research grant NCN (National Science Center) Sonata 2019/35/D/ST8/01033.

Institutional Review Board Statement

Not applicable.

Informed Consent Statement

Not applicable.

Data Availability Statement

Not applicable.

Conflicts of Interest

The authors declare no conflict of interest. The funders had no role in the design of the study; in the collection, analyses, or interpretation of data; in the writing of the manuscript; or in the decision to publish the results.

Appendix A

Figure A1. Dependence of viscosity on shear rate for emulsions with different concentrations of internal phase.
Figure A1. Dependence of viscosity on shear rate for emulsions with different concentrations of internal phase.
Applsci 12 10442 g0a1
Figure A2. Oil droplet diameter distributions of 70% emulsion at different mixing times.
Figure A2. Oil droplet diameter distributions of 70% emulsion at different mixing times.
Applsci 12 10442 g0a2

References

  1. Thakur, R.K.; Vial, C.; Djelveh, G. Foaming of Commercial Grade Food Products in a Continuous Stirred Column. Chem. Eng. Res. Des. 2003, 81, 1083–1089. [Google Scholar] [CrossRef]
  2. Unnikrishnan, S.; Donovan, J.; Macpherson, R.; Tormey, D. In-process analysis of pharmaceutical emulsions using computer vision and artificial intelligence. Chem. Eng. Res. Des. 2021, 166, 281–294. [Google Scholar] [CrossRef]
  3. Calvo, F.; Gómez, J.M.; Ricardez-Sandoval, L.; Alvarez, O. Integrated design of emulsified cosmetic products: A review. Chem. Eng. Res. Des. 2020, 161, 279–303. [Google Scholar] [CrossRef]
  4. Chung, C.-C.; Chen, H.-W.; Wu, H.-T. Discussions on the Properties of Emulsion Prepared by Using an Amphoteric Chitosan as an Emulsifier. Appl. Sci. 2022, 12, 5249. [Google Scholar] [CrossRef]
  5. Tuinier, R.; de Kruif, C.G. Phase Separation, Creaming, and Network Formation of Oil-in-Water Emulsions Induced by an Exocellular Polysaccharide. J. Coll. Int. Sci. 1999, 218, 201–210. [Google Scholar] [CrossRef] [PubMed]
  6. Wang, D.; Huang, X.; Wang, Y. Managing the Phase Separation in Double Emulsion by Tuning Amphiphilicity via a Supramolecular Route. Langmuir 2014, 48, 14460–14468. [Google Scholar] [CrossRef] [PubMed]
  7. Maurya, N.K.; Mandal, A. Investigation of synergistic effect of nanoparticle and surfactant in macro emulsion based EOR application in oil reservoirs. Chem. Eng. Res. Des. 2018, 132, 370–384. [Google Scholar] [CrossRef]
  8. Różańska, L.; Różański, J. Flow of emulsions stabilized by polymers through packed bed. Trans. Porous Med. 2019, 128, 321–343. [Google Scholar] [CrossRef]
  9. Choi, S.-Y.; Kim, D.-B.; Park, W.-G.; Park, J.-S.; Oh, S.-K. Analysis of Viscosity Change and Oil Leakage Characteristics According to CaCO3 Particle Size and Anti-Sedimentation Agent Content on Bituminous Emulsion Mastic. Appl. Sci. 2022, 12, 690. [Google Scholar] [CrossRef]
  10. Mohammed, A.A.; Atiya, M.A.; Hussein, M.A. Simultaneous studies of emulsion stability and extraction capacity for the removal of tetracycline from aqueous solution by liquid surfactant membrane. Chem. Eng. Res. Des. 2020, 159, 225–235. [Google Scholar] [CrossRef]
  11. You, Z.; Xu, H.; Sun, Y.; Zhang, S.; Zhang, L. Effective treatment of emulsified oil wastewater by the coagulation–flotation process. RSC Adv. 2018, 8, 40639–40646. [Google Scholar] [CrossRef] [PubMed]
  12. Pacholski, P.; Sęk, J.; Błaszczyk, M. Efficient phase separation in metalworking emulsions due to ph-induced destabilization and addition of aluminosilicates specialized demulsifiers. Des. Water Treat. 2021, 210, 134–142. [Google Scholar] [CrossRef]
  13. Han, J.H.; Jung, S.K. High-throughput toxicity study of lubricant emulsions and their common ingredients using zebrafish. PLoS ONE 2018, 13, e0207946. [Google Scholar] [CrossRef] [PubMed]
  14. Querol, N.; Barreneche, C.; Cabeza, L.F. Storage Stability of Bimodal Emulsions vs. Monomodal Emulsions. Appl. Sci. 2017, 7, 1267. [Google Scholar] [CrossRef]
  15. Dziubiński, M.; Witczak-Stawicka, A. Sedimentation rate of dispersed phase as a measure of pharmaceutical suspensions stability. Chem. Eng. Equip. 2008, 6, 23–24. [Google Scholar]
  16. Wang, L.; Guo, Z.L.; Mi, J.C. Drafting, kissing and tumbling process of two particles with different sizes. Comput. Fluids 2014, 96, 20–34. [Google Scholar] [CrossRef]
  17. Dziubiński, M.; Marcinkowski, A. Discharge of Newtonian and Non-Newtonian Liquids from Tanks. Chem. Eng. Res. Des. 2006, 84, 1194–1198. [Google Scholar] [CrossRef]
  18. Różańska, S.; Broniarz-Press, L.; Różański, J.; Ochowiak, M.; Woziwodzki, S.; Mitkowski, P.T. Change in structure of o/w emulsion in longitudinal flow. Agri. Eng. 2013, 1, 233–242. [Google Scholar]
  19. Lu, X.; Liu, C.; Hu, G.; Xuan, X. Particle manipulations in non-Newtonian microfluidics: A review. J. Coll. Int. Sci. 2017, 500, 182–201. [Google Scholar] [CrossRef]
  20. Dogonchi, A.S.; Seyyedi, S.M.; Hashemi-Tilehnoee, M.; Ganji, D.D. Investigation of sedimentation process of soluble spherical particles in a non-Newtonian medium. J. Coll. Int. Sci. 2018, 530, 532–537. [Google Scholar] [CrossRef]
  21. Heydari-Beni, A.; Shor, R.J.; Natale, G. Sedimentation behavior of a spherical particle in a Giesekus fluid: A CFD–DEM solution. J. Non-Newt. Fluid Mech. 2021, 291, 104465. [Google Scholar] [CrossRef]
  22. Di, Y.; Zhao, L.; Mao, J. A resolved CFD-DEM method based on the IBM for sedimentation of dense fluid-particle flows. Comp. Fluids 2021, 226, 104968. [Google Scholar] [CrossRef]
  23. Guazzelli, É. Sedimentation of small particles: How can such a simple problem. Comp. Rend. Mécan. 2006, 334, 539–544. [Google Scholar] [CrossRef]
  24. Sulaymon, A.; Wilson, C.; Alwared, A. An experimental investigation of the settling behavior of two spheres in a power law fluid. J. Non-Newt. Fluid Mech. 2012, 192, 29–36. [Google Scholar] [CrossRef]
  25. Błażejewski, R. Sedimentation of Solid Particles; PWN: Warszawa, Poland, 2015. [Google Scholar]
  26. Legay-Désesquelles, F.; Prunet-Foch, B.; Vignes-Adler, M. Sedimentation of metallic particles in oils and emulsions. Coll. Surf. A Physicochem. Eng. Asp. 1993, 75, 75–83. [Google Scholar] [CrossRef]
  27. Yan, Y.; Masliyah, J.H. Sedimentation of solid particles in oil-in-water emulsions. Int. J. Mult. Flow 1993, 19, 875–886. [Google Scholar] [CrossRef]
Figure 1. Photo of emulsion with glass microspheres—(a) just after preparation, (b) after 1800 s, and (c) scheme of the system.
Figure 1. Photo of emulsion with glass microspheres—(a) just after preparation, (b) after 1800 s, and (c) scheme of the system.
Applsci 12 10442 g001
Figure 2. Increase in sediment thickness over time for a measurement of 70% emulsion (D1), with 0.3 g/mL of glass microspheres in the 300–400 μm diameter range.
Figure 2. Increase in sediment thickness over time for a measurement of 70% emulsion (D1), with 0.3 g/mL of glass microspheres in the 300–400 μm diameter range.
Applsci 12 10442 g002
Figure 3. Changes in the backscatter signal over time as a function of test sample height for a 70% concentration emulsion (D1), using 0.3 g/mL glass microspheres with diameter 300–400 μm.
Figure 3. Changes in the backscatter signal over time as a function of test sample height for a 70% concentration emulsion (D1), using 0.3 g/mL glass microspheres with diameter 300–400 μm.
Applsci 12 10442 g003
Figure 4. Dependence plot of (a) sediment layer height and (b) sedimentation velocity during the process for the sedimentation of microspheres with a concentration of 0.3 g/mL in an emulsion with a concentration of 70%, de1.
Figure 4. Dependence plot of (a) sediment layer height and (b) sedimentation velocity during the process for the sedimentation of microspheres with a concentration of 0.3 g/mL in an emulsion with a concentration of 70%, de1.
Applsci 12 10442 g004
Figure 5. (ac) Scheme of transport of solid particles through the emulsion structure at different particle sizes.
Figure 5. (ac) Scheme of transport of solid particles through the emulsion structure at different particle sizes.
Applsci 12 10442 g005
Figure 6. Dependence plot of (a) sediment layer height and (b) sedimentation velocity during the process for the sedimentation of microspheres with a concentration of 0.2 g/mL in an 70% emulsion, de1.
Figure 6. Dependence plot of (a) sediment layer height and (b) sedimentation velocity during the process for the sedimentation of microspheres with a concentration of 0.2 g/mL in an 70% emulsion, de1.
Applsci 12 10442 g006
Figure 7. Dependence of (a) sediment layer height and (b) sedimentation velocity during the process for the sedimentation of microspheres with a concentration of 0.4 g/mL in an 70% emulsion, de1.
Figure 7. Dependence of (a) sediment layer height and (b) sedimentation velocity during the process for the sedimentation of microspheres with a concentration of 0.4 g/mL in an 70% emulsion, de1.
Applsci 12 10442 g007
Figure 8. (ac) Scheme of transport of solid particles through the emulsion structure at different concentrations (amounts) of particles.
Figure 8. (ac) Scheme of transport of solid particles through the emulsion structure at different concentrations (amounts) of particles.
Applsci 12 10442 g008
Figure 9. Dependence of (a) sediment layer height and (b) sedimentation velocity versus process time for sedimentation of 0.2 g/mL microspheres in the size range of 300–400 μm in emulsions with different concentrations, de1.
Figure 9. Dependence of (a) sediment layer height and (b) sedimentation velocity versus process time for sedimentation of 0.2 g/mL microspheres in the size range of 300–400 μm in emulsions with different concentrations, de1.
Applsci 12 10442 g009
Figure 10. Scheme of transport of solid particles through the emulsion structure at different emulsion concentrations: (a) low emulsion concentration, (b) medium emulsion concentration, and (c) high emulsion concentration.
Figure 10. Scheme of transport of solid particles through the emulsion structure at different emulsion concentrations: (a) low emulsion concentration, (b) medium emulsion concentration, and (c) high emulsion concentration.
Applsci 12 10442 g010
Figure 11. Plot of (a) sediment layer height and (b) sedimentation velocity versus process time for sedimentation of 0.3 g/mL microspheres in the size range 300–400 μm in a 70% emulsion for different oil droplet diameters.
Figure 11. Plot of (a) sediment layer height and (b) sedimentation velocity versus process time for sedimentation of 0.3 g/mL microspheres in the size range 300–400 μm in a 70% emulsion for different oil droplet diameters.
Applsci 12 10442 g011
Figure 12. Scheme of movement of solid particles through the emulsion structure at different sizes of emulsion oil droplets: (a) small oil droplets, (b) medium emulsion oil droplets, and (c) large oil droplets.
Figure 12. Scheme of movement of solid particles through the emulsion structure at different sizes of emulsion oil droplets: (a) small oil droplets, (b) medium emulsion oil droplets, and (c) large oil droplets.
Applsci 12 10442 g012
Figure 13. Dependence of dimensionless sediment height on dimensionless diameter: (a) for different concentrations of solid particles and (b) for different concentrations of the emulsion internal phase.
Figure 13. Dependence of dimensionless sediment height on dimensionless diameter: (a) for different concentrations of solid particles and (b) for different concentrations of the emulsion internal phase.
Applsci 12 10442 g013
Table 1. Range of microspheres diameters (given by producer Alumetal-Technik).
Table 1. Range of microspheres diameters (given by producer Alumetal-Technik).
FractionRange of Diameters (μm)Average Diameter dp (μm)
1100–200150
2200–300250
3300–400350
4400–600500
5600–800700
Publisher’s Note: MDPI stays neutral with regard to jurisdictional claims in published maps and institutional affiliations.

Share and Cite

MDPI and ACS Style

Błaszczyk, M.M.; Przybysz, Ł. Sedimentation of Microparticles in Highly Concentrated Non-Newtonian Emulsions. Appl. Sci. 2022, 12, 10442. https://doi.org/10.3390/app122010442

AMA Style

Błaszczyk MM, Przybysz Ł. Sedimentation of Microparticles in Highly Concentrated Non-Newtonian Emulsions. Applied Sciences. 2022; 12(20):10442. https://doi.org/10.3390/app122010442

Chicago/Turabian Style

Błaszczyk, Mariola M., and Łukasz Przybysz. 2022. "Sedimentation of Microparticles in Highly Concentrated Non-Newtonian Emulsions" Applied Sciences 12, no. 20: 10442. https://doi.org/10.3390/app122010442

APA Style

Błaszczyk, M. M., & Przybysz, Ł. (2022). Sedimentation of Microparticles in Highly Concentrated Non-Newtonian Emulsions. Applied Sciences, 12(20), 10442. https://doi.org/10.3390/app122010442

Note that from the first issue of 2016, this journal uses article numbers instead of page numbers. See further details here.

Article Metrics

Back to TopTop