Temperature Dependence Study of Electrical and Electro-Optical Performances of Midwave Infrared Ga-Free T2SL Barrier Photodetector
Abstract
1. Introduction
2. Materials and Methods
3. Results
3.1. Absorption, Photoluminescence and Time-Resolved Photoluminescence Measurements
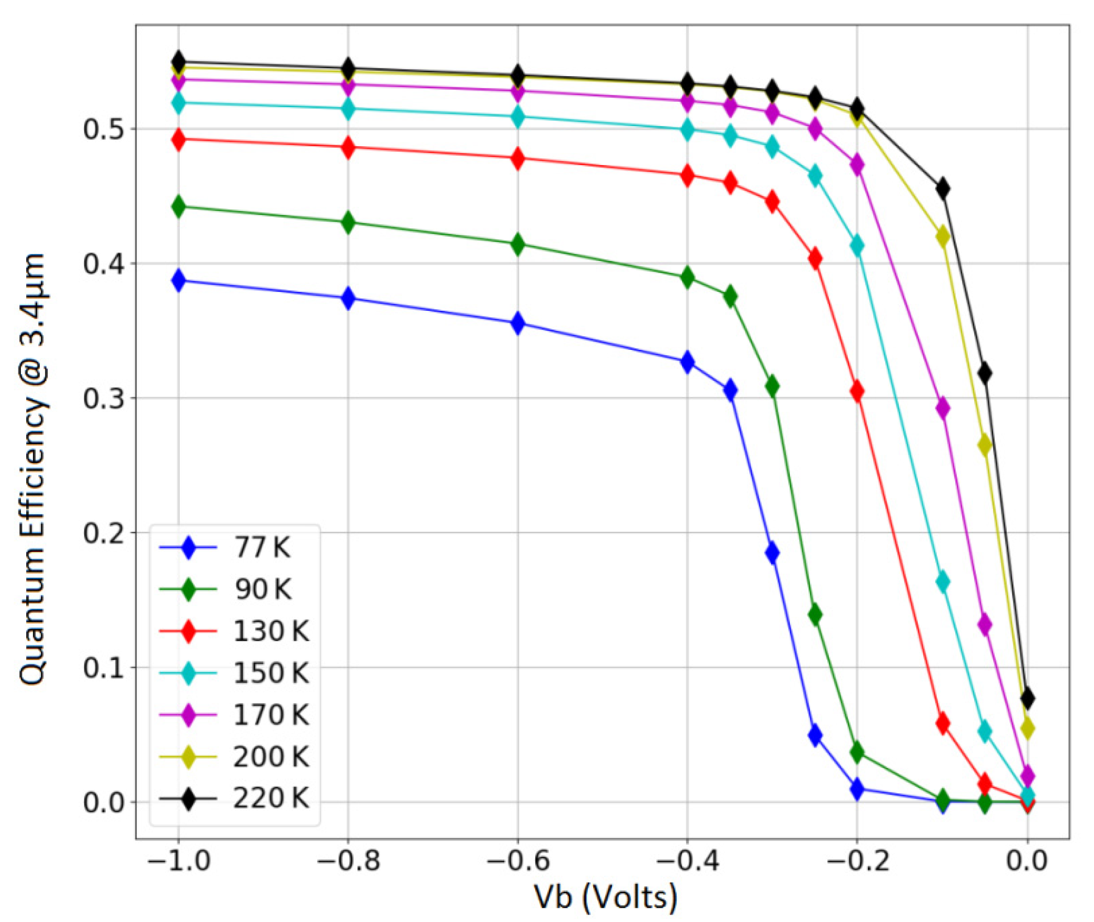
3.2. Quantum Efficiency Measurements
3.3. Dark Current–Voltage and Capacitance–Voltage Measurements
4. Conclusions
Author Contributions
Funding
Institutional Review Board Statement
Informed Consent Statement
Data Availability Statement
Conflicts of Interest
References
- Klipstein, P. “XBn” barrier photodetectors for high sensitivity and high operating temperature infrared sensors. In Proceedings of the SPIE Defense and Security Conference, Orlando, FL, USA, 16–20 March 2008; Volume 6940, p. 69402U. [Google Scholar]
- Ting, D.Z.; Rafol, S.B.; Khoshakhlagh, A.; Keo, S.A.; Soibel, A.; Fisher, A.M.; Pepper, B.J.; Hill, C.J.; Gunapala, S.D.; Pagano, T.S. Type-II Superlattice Mid-Wavelength Infrared Focal Plane Arrays for CubeSat Hyperspectral Imaging. IEEE Photon. Technol. Lett. 2022, 34, 329–332. [Google Scholar] [CrossRef]
- Steenbergen, E.H.; Nunna, K.; Ouyang, L.; Ullrich, B.; Huffaker, D.L.; Smith, D.J.; Zhang, Y.-H. Strain-balanced InAs/InAsSb type-II superlattices grown by molecular beam epitaxy on GaSb substrates. J. Vac. Sci. Technol. 2012, 30, 02B107. [Google Scholar] [CrossRef]
- Lackner, D.; Steger, M.; Thewalt, M.L.W.; Pitts, O.J.; Cherng, Y.T.; Watkins, S.P.; Plis, E.; Krishna, S. InAs/InAsSb strain balanced superlattices for optical detectors:Material properties and energy band simulations. J. Appl. Phys. 2012, 111, 034507. [Google Scholar] [CrossRef]
- Olson, B.V.; Shaner, E.A.; Kim, J.K.; Klem, J.F.; Hawkins, S.D.; Murray, L.M.; Prineas, J.P.; Flatté, M.E.; Boggess, T.F. Time-resolved optical measurements of minority carrier recombination in a midwave infrared InAsSb alloy and InAs/InAsSb superlattice. Appl. Phys. Lett. 2012, 101, 092109. [Google Scholar] [CrossRef]
- Schuler-Sandy, T.; Klein, B.; Casias, L.; Mathews, S.; Kadlec, C.; Tian, Z.; Plis, E.; Myers, S.; Krishna, S. Growth of InAs–InAsSb SLS through the use of digital alloys. J. Cryst. Growth 2015, 425, 29–32. [Google Scholar] [CrossRef]
- Webster, P.T.; Riordan, N.A.; Liu, S.; Steenbergen, E.H.; Synowicki, R.A.; Zhang, Y.-H.; Johnson, S.R. Absorption properties of type-II InAs/InAsSb superlattices measured by spectroscopic ellipsometry. Appl. Phys. Lett. 2015, 106, 061907. [Google Scholar] [CrossRef]
- Webster, P.T.; Riordan, N.A.; Liu, S.; Steenbergen, E.H.; Synowicki, R.A.; Zhang, Y.-H.; Johnson, S.R. Measurement of InAsSb bandgap energy and InAs/InAsSb band edge positions using spectroscopic ellipsometry and photoluminescence spectroscopy. J. Appl. Phys. 2015, 118, 245706. [Google Scholar] [CrossRef]
- Haugan, H.J.; Mahalingam, K.; Szmulowicz, F.; Brown, G.J. Quantitative study of the effect of deposition temperature on antimony incorporation in InAs/InAsSb superlattices. J. Crystal Growth 2016, 436, 134–137. [Google Scholar] [CrossRef]
- Lu, J.; Luna, E.; Aoki, T.; Steenbergen, E.H.; Zhang, Y.-H.; Smith, D.J. Evaluation of antimony segregation in InAs/InAsSb type-II superlattices grown by molecular beam epitaxy. J. Appl. Phys. 2016, 119, 095702. [Google Scholar] [CrossRef]
- Durlin, Q.; Perez, J.P.; Rossignol, R.; Rodriguez, J.B.; Cerutti, L.; Delacourt, B.; Rothman, J.; Cervera, C.; Christol, P. InAs/InAsSb superlattice structure tailored for detection of the full midwave infrared spectral domain. In Proceedings of the SPIE Quantum Sensing and Nano Electronics and Photonics XIV, San Francisco, CA, USA, 29 January–2 February 2017; Volume 10111, p. 1011112. [Google Scholar]
- Rhiger, D.; Smith, E.P.; Kolosa, B.P.; Kim, J.K.; Klem, J.F.; Hawkins, S.D. Analysis of III–V Superlattice nBn Device Characteristics. J. Electron. Mater. 2016, 45, 4646–4653. [Google Scholar] [CrossRef]
- Ting, D.Z.; Soibel, A.; Khoshakhlagh, A.; Rafol, S.B.; Keo, S.A.; Höglund, L.; Fisher, A.M.; Luong, E.M.; Gunapala, S.D. Mid-wavelength high operating temperature barrier infrared detector and focal plane array. Appl. Phys. Lett. 2018, 113, 021101. [Google Scholar] [CrossRef]
- Soibel, A.; Ting, D.Z.; Rafol, S.B.; Fisher, A.M.; Keo, S.A.; Khoshakhlagh, A.; Gunapala, S.D. Mid-wavelength infrared InAsSb/InAs nBn detectors and FPAs with very low dark current density. Appl. Phys. Lett. 2019, 114, 161103. [Google Scholar] [CrossRef]
- Michalczewski, K.; Tsai, T.Y.; Martyniuk, P.; Wu, C.H. Demonstration of HOT photoresponse of MWIR T2SLs InAs/InAsSb photoresistors. Bull. Pol. Acad. Sci. Tech. Sci. 2019, 67, 141–145. [Google Scholar]
- Rhiger, D.; Smith, E.P. Carrier transport in the valence band of nBn III–V superlattice infrared detectors. J. Electron. Mater. 2019, 48, 6053–6062. [Google Scholar] [CrossRef]
- Wu, D.; Li, J.; Dehzangi, A.; Razeghi, M. Mid-wavelength infrared high operating temperature pBn photodetectors based on type-II InAs/InAsSb superlattice. AIP Adv. 2020, 10, 025018. [Google Scholar] [CrossRef]
- Zavala-Moran, U.; Bouschet, M.; Perez, J.P.; Alchaar, R.; Bernhardt, S.; Ribet-Mohamed, I.; De Anda-Salazar, F.; Christol, P. Structural, optical and electrical characterizations of midwave infrared Ga-free Type-II InAs/InAsSb superlattice barrier photodetector. Photonics 2020, 7, 76. [Google Scholar] [CrossRef]
- Wu, D.; Li, J.; Dehzangi, A.; Razeghi, M. High performance InAs/InAsSb Type-II superlattice mid-wavelength infrared photodetectors with double barrier. Inf. Phys. Technol. 2020, 109, 103439. [Google Scholar] [CrossRef]
- Soibel, A.; Ting, D.Z.; Fisher, A.M.; Khoshakhlagh, A.; Pepper, B.; Gunapala, S.D. Temperature dependence of diffusion length and mobility in mid-wavelength InAs/InAsSb superlattice infrared detectors. Appl. Phys. Lett. 2020, 117, 231103. [Google Scholar] [CrossRef]
- Dehzangi, A.; Wu, D.; McClintock, R.; Li, J.; Razeghi, M. Planar nBn type-II superlattice mid-wavelength infrared photodetectors using zinc ion-implantation. Appl. Phys. Lett. 2020, 116, 221103. [Google Scholar] [CrossRef]
- Bouschet, M.; Zavala-Moran, U.; Arounassalame, V.; Alchaar, R.; Bataillon, C.; Ribet-Mohamed, I.; De Anda-Salazar, F.; Perez, J.P.; Péré-Laperne, N.; Christol, P. Influence of pixel etching on electrical and electro-optical performances of a Ga-free InAs/InAsSb T2SL barrier photodetector for mid-wave infarred imaging. Photonics 2021, 8, 194. [Google Scholar] [CrossRef]
- She, L.; Jiang, J.; Chen, W.; Cui, S.; Jiang, D.; Wang, G.; Xu, Y.; Hao, H.; Wu, D.; Ding, Y.; et al. Mid-wave infrared p+-B-n InAs/InAsSb type-II superlattice photodetector with an AlAsSb/InAsSb superlattice barrier. Inf. Phys. Technol. 2022, 121, 104015. [Google Scholar] [CrossRef]
- Ariyawansa, G.; Joshua Duran, J.; Reyner, C.; Scheihing, J. InAs/InAsSb strained-layer superlattice mid-wavelength infrared detector for high-temperature operation. Micromachines 2019, 10, 806. [Google Scholar] [CrossRef]
- Deng, G.; Chen, D.; Yang, S.; Yang, C.; Yuan, J.; Yang, W.; Zhang, Y. High operating temperature pBn barrier mid-wavelength infrared photodetectors and focal plane array based on InAs/InAsSb strained-layer superlattices. Opt. Express 2020, 28, 17611–17619. [Google Scholar] [CrossRef]
- Ting, D.Z.; Rafol, S.B.; Keo, S.A.; Nguyen, J.; Khoshakhlagh, A.; Soibel, A.; Höglund, L.; Fisher, A.M.; Luong, E.M.; Mumolo, J.M.; et al. InAs/InASb Type-II superlattice mid-wavelength infrared focal plane array with significantly higher operating temperature than InSb. IEEE Photonics J. 2018, 10, 6804106. [Google Scholar] [CrossRef]
- Klipstein, P.C. Perspective on III–V barrier detectors. Appl. Phys. Lett. 2002, 120, 060502. [Google Scholar] [CrossRef]
- Rhiger, D.; Smith, E.P. Infrared absorption near the bandgap in the InAs/InAsSb superlattice. In Proceedings of the SPIE Infrared Sensors, Devices, and Applications X, Online, 9 September 2020; Volume 11503, p. 1150305. [Google Scholar]
- Krizman, G.; Carosella, F.; Bermejo-Ortiz, J.; Philippe, A.; Rodriguez, J.-B.; Perez, J.-P.; Christol, P.; de Vaulchier, L.-A.; Guldner, Y. Magneto-spectroscopy investigation of InAs/InAsSb superlattices for midwave infrared detection. J. Appl. Phys. 2021, 130, 055704. [Google Scholar] [CrossRef]
- Tsai, C.-Y.; Zhang, Y.; Ju, Z.; Zhang, Y.-H. Study of vertical hole transport in InAs/InAsSb type-II superlattices by steady-state and time-resolved photoluminescence spectroscopy. Appl. Phys. Lett. 2020, 116, 201108. [Google Scholar] [CrossRef]
- Casias, L.K.; Morath, C.P.; Steenbergen, E.H.; Umana-Membreno, G.A.; Webster, P.T.; Logan, J.V.; Kim, J.K.; Balakrishnan, G.; Faraone, L.; Krishna, S. Vertical carrier transport in strain-balanced InAs/InAsSb type-II superlattice material. Appl. Phys. Lett. 2020, 116, 182109. [Google Scholar] [CrossRef]
- Arounassalame, V.; Bouschet, M.; Alchaar, R.; Ferreira, R.; Carosella, F.; Ramiandrasoa, A.; Perez, J.-P.; Péré-Laperne, N.; Christol, P.; Ribet-Mohamed, I. Anisotropic transport investigation through different etching depths in InAs/InAsSb T2SL barrier midwave infrared detector. Inf. Phys. Technol. 2022, 126, 104315. [Google Scholar] [CrossRef]
- Donetsky, D.; Belenky, G.; Svensson, S.; Suchalkin, S. Minority carrier lifetime in type-II InAs/GaSb strained-layer superlattices and bulk HgCdTe materials. Appl. Phys. Lett. 2010, 97, 052108. [Google Scholar]
- Giard, E.; Taalat, R.; Delmas, M.; Rodriguez, J.-B.; Christol, P.; Ribet-Mohamed, I. Radiometric and noise characteristics of InAs-rich T2SL MWIR pin photodiodes. J. Eur. Opt. Soc. Rapid Publ. 2014, 9, 14022. [Google Scholar] [CrossRef]
- Olson, B.B.; Shaner, E.; Kim, J.; Klem, J.; Hawkins, S.; Flatté, M.; Boggess, T. Identification of dominant recombination mechanisms in narrow-bandgap inas/inassb type-II superlattices and InAsSb alloys. Appl. Phys. Lett. 2013, 103, 052106. [Google Scholar] [CrossRef]
- Tennant, W.E.; Lee, D.; Zandian, M.; Piquette, E.; Carmody, M. MBE HgCdTe technology: A very general solution to IR detection, described by “Rule 07”, a very convenient heuristic. J. Electron. Mater. 2008, 37, 1406–1410. [Google Scholar] [CrossRef]










Publisher’s Note: MDPI stays neutral with regard to jurisdictional claims in published maps and institutional affiliations. |
© 2022 by the authors. Licensee MDPI, Basel, Switzerland. This article is an open access article distributed under the terms and conditions of the Creative Commons Attribution (CC BY) license (https://creativecommons.org/licenses/by/4.0/).
Share and Cite
Bouschet, M.; Arounassalame, V.; Ramiandrasoa, A.; Ribet-Mohamed, I.; Perez, J.-P.; Péré-Laperne, N.; Christol, P. Temperature Dependence Study of Electrical and Electro-Optical Performances of Midwave Infrared Ga-Free T2SL Barrier Photodetector. Appl. Sci. 2022, 12, 10358. https://doi.org/10.3390/app122010358
Bouschet M, Arounassalame V, Ramiandrasoa A, Ribet-Mohamed I, Perez J-P, Péré-Laperne N, Christol P. Temperature Dependence Study of Electrical and Electro-Optical Performances of Midwave Infrared Ga-Free T2SL Barrier Photodetector. Applied Sciences. 2022; 12(20):10358. https://doi.org/10.3390/app122010358
Chicago/Turabian StyleBouschet, Maxime, Vignesh Arounassalame, Anthony Ramiandrasoa, Isabelle Ribet-Mohamed, Jean-Philippe Perez, Nicolas Péré-Laperne, and Philippe Christol. 2022. "Temperature Dependence Study of Electrical and Electro-Optical Performances of Midwave Infrared Ga-Free T2SL Barrier Photodetector" Applied Sciences 12, no. 20: 10358. https://doi.org/10.3390/app122010358
APA StyleBouschet, M., Arounassalame, V., Ramiandrasoa, A., Ribet-Mohamed, I., Perez, J.-P., Péré-Laperne, N., & Christol, P. (2022). Temperature Dependence Study of Electrical and Electro-Optical Performances of Midwave Infrared Ga-Free T2SL Barrier Photodetector. Applied Sciences, 12(20), 10358. https://doi.org/10.3390/app122010358

