Complementary Barrier Infrared Detector Architecture for Long-Wavelength Infrared InAs/InAsSb Type-II Superlattice
Abstract
1. Introduction
2. Challenges for (V)LWIR InAs/InAsSb T2SLS Detectors
2.1. Challenges Related to (V)LWIR InAs/InAsSb T2SLS Bulk Properties
2.2. Challenges Related to InAs/InAsSb T2SLS Surface Properties
3. The CBIRD Device Architecture
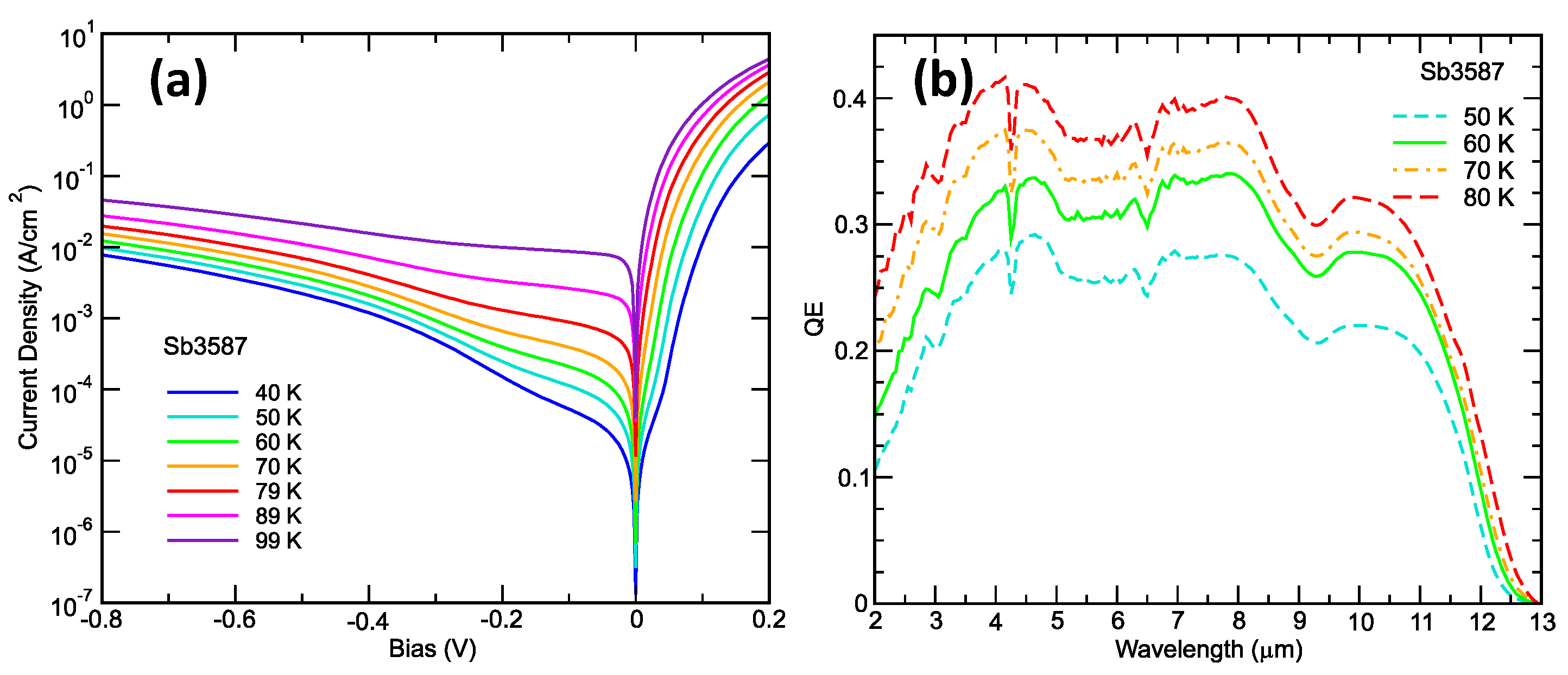
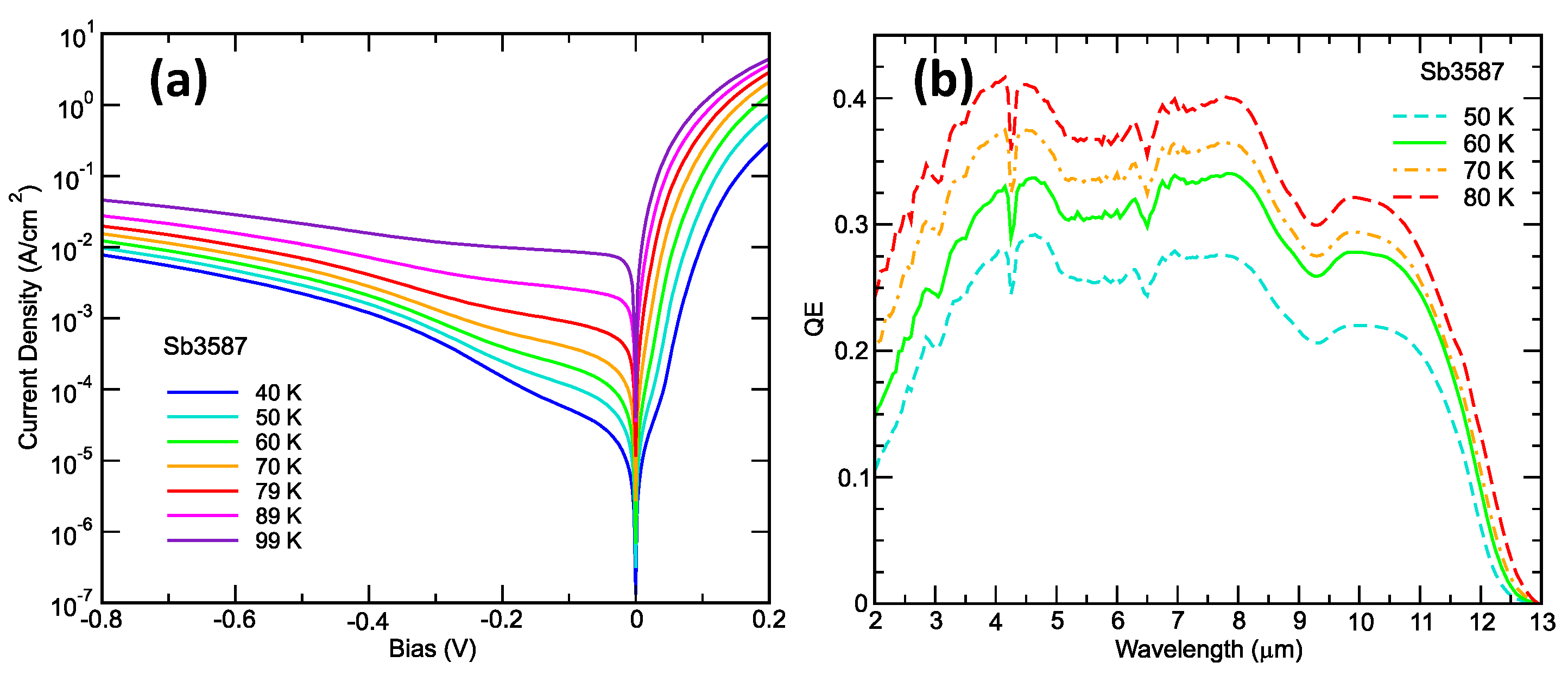
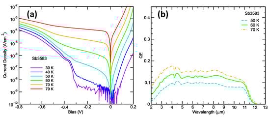
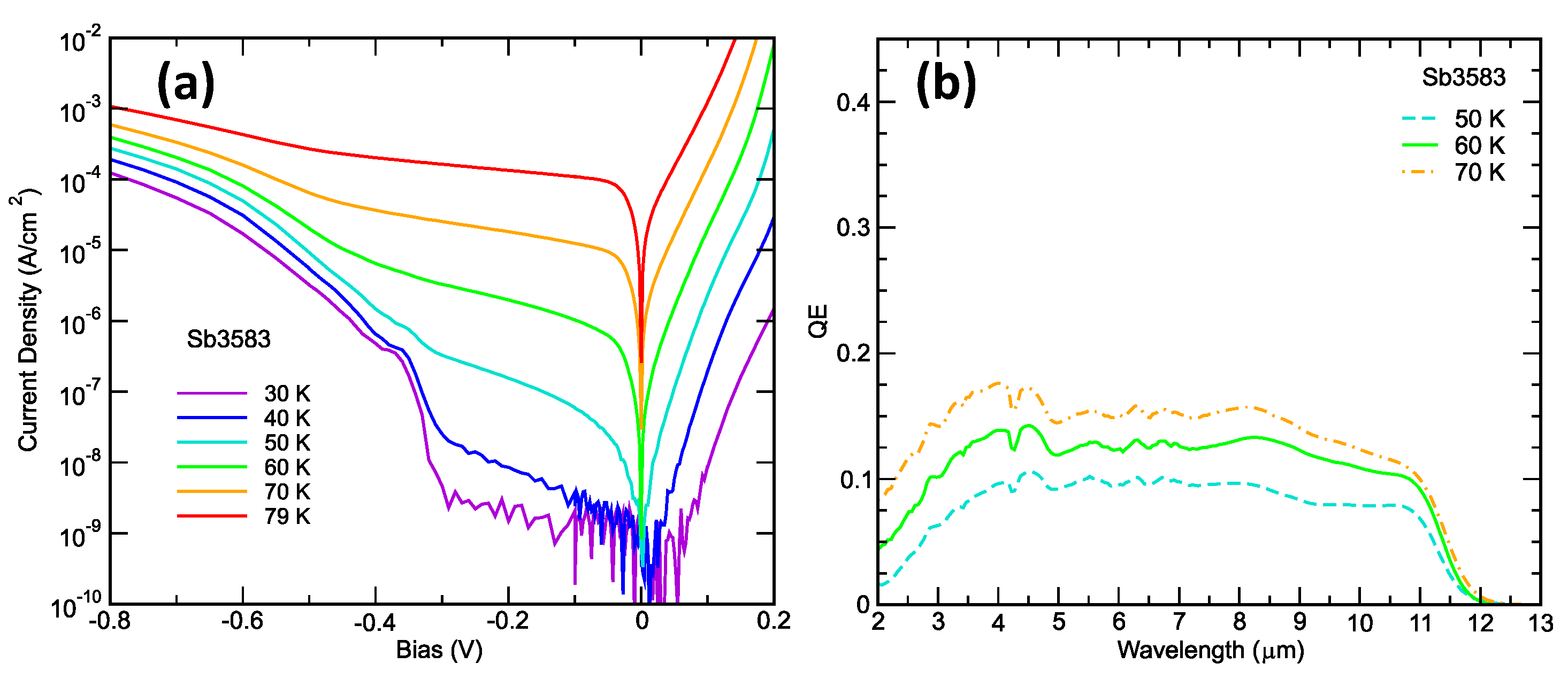
4. Selected Device Results
5. Discussion
Author Contributions
Funding
Institutional Review Board Statement
Informed Consent Statement
Data Availability Statement
Acknowledgments
Conflicts of Interest
References
- Smith, D.L.; Mailhiot, C. Proposal for strained type II superlattice infrared detectors. J. Appl. Phys. 1987, 62, 2545–2548. [Google Scholar] [CrossRef]
- Grein, C.H.; Young, P.M.; Ehrenreich, H. Minority carrier lifetimes in ideal InGaSb/InAs superlattices. Appl. Phys. Lett. 1992, 61, 2905–2907. [Google Scholar] [CrossRef]
- Bürkle, L.; Fuchs, F. InAs/(GaIn)Sb superlattices: A promising material system for infrared detection. In Handbook of Infrared Detection Technologies; Henini, M., Razeghi, M., Eds.; Elsevier Science: Oxford, UK, 2002; pp. 159–189. [Google Scholar]
- Razeghi, M.; Mohseni, F. GaSb/InAs superlattices for infrared FPAs. In Handbook of Infrared Detection Technologies; Henini, M., Razeghi, M., Eds.; Elsevier Science: Oxford, UK, 2002; pp. 191–232. [Google Scholar]
- Ting, D.Z.-Y.; Soibel, A.; Höglund, L.; Nguyen, J.; Hill, C.J.; Khoshakhlagh, A.; Gunapala, S.D. Type-II Superlattice Infrared Detectors. In Semiconductors and Semimetals; Advances in Infrared Photodetectors; Gunapala, S., Rhiger, D., Jagadish, C., Eds.; Elsevier Academic Press: Cambridge, MA, USA, 2011; Volume 82, pp. 1–57. [Google Scholar]
- Donetsky, D.; Belenky, G.; Svensson, S.; Suchalkin, S. Minority carrier lifetime in type-2 InAs–GaSb strained-layer superlattices and bulk HgCdTe materials. Appl. Phys. Lett. 2010, 97, 052108. [Google Scholar] [CrossRef]
- Steenbergen, E.H.; Connelly, B.C.; Metcalfe, G.D.; Shen, H.; Wraback, M.; Lubyshev, D.I.; Qiu, Y.; Fastenau, J.M.; Liu, A.W.K.; Elhamri, S.; et al. Significantly improved minority carrier lifetime observed in a long-wavelength infrared III-V type-II superlattice comprised of InAs/InAsSb. Appl. Phys. Lett. 2011, 99, 251110. [Google Scholar] [CrossRef]
- Olson, B.V.; Shaner, E.A.; Kim, J.K.; Klem, J.F.; Hawkins, S.D.; Murray, L.M.; Prineas, J.P.; Flatté, M.E.; Boggess, T.F. Time-resolved optical measurements of minority carrier recombination in a mid-wave infrared InAsSb alloy and InAs/InAsSb superlattice. Appl. Phys. Lett. 2012, 101, 092109. [Google Scholar] [CrossRef]
- Hoglund, L.; Ting, D.Z.; Khoshakhlagh, A.; Soibel, A.; Hill, C.J.; Fisher, A.M.; A Keo, S.; Gunapala, S.D. Influence of radiative and non-radiative recombination on the minority carrier lifetime in midwave infrared InAs/InAsSb superlattices. Appl. Phys. Lett. 2013, 103, 221908. [Google Scholar] [CrossRef]
- Brown, A.E.; Baril, N.; Zuo, D.; Almeida, L.A.; Arias, J.; Bandara, S. Characterization of n-Type and p-Type Long-Wave InAs/InAsSb Superlattices. J. Electron. Mater. 2017, 46, 5367–5373. [Google Scholar] [CrossRef]
- Maimon, S.; Wicks, G.W. nBn detector, an infrared detector with reduced dark current and higher operating temperature. Appl. Phys. Lett. 2006, 89, 151109. [Google Scholar] [CrossRef]
- Ting, D.Z.; Soibel, A.; Khoshakhlagh, A.; Rafol, S.B.; Keo, S.A.; Höglund, L.; Fisher, A.M.; Luong, E.M.; Gunapala, S.D. Mid-wavelength high operating temperature barrier infrared detector and focal plane array. Appl. Phys. Lett. 2018, 113, 021101. [Google Scholar] [CrossRef]
- Ting, D.Z.; Rafol, S.B.; Keo, S.A.; Nguyen, J.; Khoshakhlagh, A.; Soibel, A.; Hoglund, L.; Fisher, A.M.; Luong, E.M.; Mumolo, J.M.; et al. InAs/InAsSb Type-II Superlattice Mid-Wavelength Infrared Focal Plane Array with Significantly Higher Operating Temperature than InSb. IEEE Photonics J. 2018, 10, 6804106. [Google Scholar] [CrossRef]
- Klipstein, P.C.; Livneh, Y.; Glozman, A.; Grossman, S.; Klin, O.; Snapi, N.; Weiss, E. Modeling InAs/GaSb and InAs/InAsSb Superlattice Infrared Detectors. J. Electron. Mater. 2014, 43, 2984–2990. [Google Scholar] [CrossRef]
- Vurgaftman, I.; Belenky, G.; Lin, Y.; Donetsky, D.; Shterengas, L.; Kipshidze, G.; Sarney, W.L.; Svensson, S.P. Interband absorption strength in long-wave infrared type-II superlattices with small and large superlattice periods compared to bulk materials. Appl. Phys. Lett. 2016, 108, 222101. [Google Scholar] [CrossRef]
- Ting, D.Z.; Khoshakhlagh, A.; Soibel, A.; Gunapala, S.D. Long Wavelength InAs/InAsSb Infrared Superlattice Challenges: A Theoretical Investigation. J. Electron. Mater. 2020, 49, 6936–6945. [Google Scholar] [CrossRef]
- Chang, Y.-C. Bond-orbital models for superlattices. Phys. Rev. B 1988, 37, 8215–8222. [Google Scholar] [CrossRef]
- Einevoll, G.T.; Chang, Y.-C. Effective bond-orbital model for acceptor states in semiconductors and quantum dots. Phys. Rev. B 1989, 40, 9683–9697. [Google Scholar] [CrossRef] [PubMed]
- Cartoixà, X.; Ting, D.Z.-Y.; McGill, T.C. Description of bulk inversion asymmetry in the effective-bond-orbital model. Phys. Rev. B 2003, 68, 235319. [Google Scholar] [CrossRef]
- Ting, D.Z.; Soibel, A.; Gunapala, S.D. Hole effective masses and subband splitting in type-II superlattice infrared detectors. Appl. Phys. Lett. 2016, 108, 183504. [Google Scholar] [CrossRef]
- Ting, D.Z.; Soibel, A.; Gunapala, S.D. Type-II superlattice hole effective masses. Infrared Phys. Technol. 2017, 84, 102–106. [Google Scholar] [CrossRef]
- Schuster, J. Assessment of the Modulation Transfer Function in Infrared Detectors With Anisotropic Material Properties: Type-II Superlattices. IEEE Trans. Electron Devices 2019, 66, 1338–1344. [Google Scholar] [CrossRef]
- Kim, H.S.; Cellek, O.O.; Lin, Z.-Y.; He, Z.-Y.; Zhao, X.-H.; Liu, S.; Li, H.; Zhang, Y.-H. Long-wave infrared nBn photodetectors based on InAs/InAsSb type-II superlattices. Appl. Phys. Lett. 2012, 101, 161114. [Google Scholar] [CrossRef]
- Nguyen, B.M.; Hoffman, D.; Wei, Y.; Delaunay, P.-Y.; Hood, A.; Razeghi, M. Very high quantum efficiency in type-II InAs∕GaSb superlattice photodiode with cutoff of 12 μm. Appl. Phys. Lett. 2007, 90, 231108. [Google Scholar] [CrossRef]
- Klipstein, P.C.; Avnon, E.; Azulai, D.; Benny, Y.; Fraenkel, R.; Glozman, A.; Hojman, E.; Klin, O.; Krasovitsky, L.; Langof, L.; et al. Type II superlattice technology for LWIR detectors. Proc. SPIE Infrared Technol. Appl. XLII 2016, 9819, 98190T. [Google Scholar] [CrossRef]
- Rhiger, D.R. Performance Comparison of Long-Wavelength Infrared Type II Superlattice Devices with HgCdTe. J. Electron. Mater. 2011, 40, 1815–1822. [Google Scholar] [CrossRef]
- Rogalski, A.; Martyniuk, P.; Kopytko, M. InAs/GaSb type-II superlattice infrared detectors: Future prospect. Appl. Phys. Rev. 2017, 4, 031304. [Google Scholar] [CrossRef]
- Mead, C.A.; Spitzer, W.G. Fermi Level Position at Semiconductor Surfaces. Phys. Rev. Lett. 1963, 10, 471–472. [Google Scholar] [CrossRef]
- Olsson, L.; Andersson, C.B.M.; Håkansson, M.C.; Kanski, J.; Ilver, L.; Karlsson, U.O. Charge Accumulation at InAs Surfaces. Phys. Rev. Lett. 1996, 76, 3626–3629. [Google Scholar] [CrossRef]
- Tiwari, S.; Frank, D.J. Empirical fit to band discontinuities and barrier heights in III–V alloy systems. Appl. Phys. Lett. 1992, 60, 630–632. [Google Scholar] [CrossRef]
- Flatté, M.E.; Grein, C.H. Ideal performance of and defect-assisted carrier recombination in MWIR and LWIR InAs/InAsSb superlattice detectors. Proc. SPIE 2015, 9370, 93700K. [Google Scholar] [CrossRef]
- Sidor, D.E.; Savich, G.R.; Wicks, G.W. Surface Leakage Mechanisms in III–V Infrared Barrier Detectors. J. Electron. Mater. 2016, 45, 4663–4667. [Google Scholar] [CrossRef]
- Sidor, D.E.; Savich, G.R.; Wicks, G.W. Surface conduction in InAs and GaSb. Proc. SPIE 2015, 9616, 242–248. [Google Scholar] [CrossRef]
- Maimon, S. Reduced Dark Current Photodetector. U.S. Patent 7,687,871, 30 March 2010. [Google Scholar]
- Klipstein, P.C. Depletionless Photodiode with Suppressed Dark Current and Method for Producing the Same. U.S. Patent 7,928,473, 2011. [Google Scholar]
- Nguyen, B.-M.; Bogdanov, S.; Pour, S.A.; Razeghi, M. Minority electron unipolar photodetectors based on type II InAs/GaSb/AlSb superlattices for very long wavelength infrared detection. Appl. Phys. Lett. 2009, 95, 183502. [Google Scholar] [CrossRef]
- Klipstein, P.C.; Avnon, E.; Benny, Y.; Berkowicz, E.; Cohen, Y.; Dobromislin, R.; Fraenkel, R.; Gershon, G.; Glozman, A.; Hojman, E.; et al. Development and Production of Array Barrier Detectors at SCD. J. Electron. Mater. 2017, 46, 5386–5393. [Google Scholar] [CrossRef]
- Marozas, B.T.; Hughes, W.D.; Du, X.; Sidor, D.E.; Savich, G.R.; Wicks, G.W. Surface dark current mechanisms in III-V infrared photodetectors [Invited]. Opt. Mater. Express 2018, 8, 1419–1424. [Google Scholar] [CrossRef]
- Klipstein, P.; Klin, O.; Grossman, S.; Snapi, N.; Lukomsky, I.; Aronov, D.; Yassen, M.; Glozman, A.; Fishman, T.; Berkowicz, E.; et al. XBn barrier photodetectors based on InAsSb with high operating temperatures. Opt. Eng. 2011, 50, 061002. [Google Scholar] [CrossRef]
- Klipstein, P.C. XBn barrier photodetectors for high sensitivity and high operating temperature infrared sensors. Proc. SPIE Infrared Technol. Appl. XXXIV 2008, 6940, 69402U. [Google Scholar] [CrossRef]
- Ashley, T.; Elliott, C. Nonequilibrium devices for infra-red detection. Electron. Lett. 1985, 21, 451–452. [Google Scholar] [CrossRef]
- Ashley, T.; Elliott, C.; Harker, A. Non-equilibrium modes of operation for infrared detectors. Infrared Phys. 1986, 26, 303–315. [Google Scholar] [CrossRef]
- Ashley, T.; Elliott, C.T. Operation and properties of narrow-gap semiconductor devices near room temperature using non-equilibrium techniques. Semicond. Sci. Technol. 1991, 6, C99–C105. [Google Scholar] [CrossRef]
- White, A. Generation-recombination processes and Auger suppression in small-bandgap detectors. J. Cryst. Growth 1988, 86, 840–848. [Google Scholar] [CrossRef]
- Ting, D.Z.-Y.; Hill, C.J.; Soibel, A.; Keo, S.A.; Mumolo, J.M.; Nguyen, J.; Gunapala, S.D. A high-performance long wavelength superlattice complementary barrier infrared detector. Appl. Phys. Lett. 2009, 95, 023508. [Google Scholar] [CrossRef]
- Ting, D.Z.-Y.; Soibel, A.; Khoshakhlagh, A.; Nguyen, J.; Höglund, L.; Keo, S.A.; Mumolo, J.M.; Gunapala, S.D. Exclusion, extraction, and junction placement effects in the complementary barrier infrared detector. Appl. Phys. Lett. 2013, 102, 121109. [Google Scholar] [CrossRef]
- Ting, D.Z.; Soibel, A.; Khoshakhlagh, A.; Keo, S.A.; Fisher, A.M.; Rafol, S.B.; Höglund, L.; Hill, C.J.; Pepper, B.J.; Gunapala, S.D. Long wavelength InAs/InAsSb superlattice barrier infrared detectors with p-type absorber quantum efficiency enhancement. Appl. Phys. Lett. 2021, 118, 133503. [Google Scholar] [CrossRef]
- Ting, D.Z.; Khoshakhlagh, A.; Soibel, A.; Keo, S.A.; Fisher, A.M.; Pepper, B.J.; Höglund, L.; Rafol, S.B.; Hill, C.J.; Gunapala, S.D. Long and Very Long Wavelength InAs/InAsSb Superlattice Complementary Barrier Infrared Detectors. J. Electron. Mater. 2022, 51, 4666–4674. [Google Scholar] [CrossRef]
- Ting, D.Z.; Soibel, A.; Khoshakhlagh, A.; Gunapala, S.D. Enhanced Quantum Efficiency Barrier Infrared Detectors. U.S. Patent 2019/0013427, 2019. U.S. Patent 10,872,987, 22 December 2020. [Google Scholar]
- Tennant, W.E. “Rule 07” Revisited: Still a Good Heuristic Predictor of p/n HgCdTe Photodiode Performance? J. Electron. Mater. 2010, 39, 1030–1035. [Google Scholar] [CrossRef]
- Ting, D.Z.; Rafol, S.B.; Keo, S.A.; Khoshakhlagh, A.; Soibel, A.; Fisher, A.; Hill, C.J.; Pepper, B.J.; Gunapala, S.D.; Allen, S.C.; et al. Development of type-II superlattice long wavelength infrared focal plane arrays for land imaging. Infrared Phys. Technol. 2022, 123, 104133. [Google Scholar] [CrossRef]
- Hyperspectral Thermal Emission Spectrometer Website. Available online: https://hytes.jpl.nasa.gov (accessed on 19 October 2022).
- Wright, R.; Nunes, M.; Lucey, P.; Flynn, L.; Gunapala, S.; Ting, D.; Rafol, S.; Soibel, S.; Ferrari-Wong, C.; Gabrieli, A.; et al. HYTI: Thermal hyperspectral imaging from a CubeSat platform. In Proceedings of the IGARSS 2019-2019 IEEE International Geoscience and Remote Sensing Symposium, Yokohama, Japan, 28 July–2 August 2019. [Google Scholar] [CrossRef]








| Carrier Type | λc (µm) | mz** (m0) | mx** (m0) | mz**/mx** |
|---|---|---|---|---|
| electron | 5.7 | 0.0201 | 0.0205 | 0.982 |
| electron | 13.0 | 0.0313 | 0.0212 | 1.48 |
| hole | 5.7 | 1.53 | 0.133 | 11.5 |
| hole | 13.0 | 7.89 | 0.0908 | 86.8 |
Publisher’s Note: MDPI stays neutral with regard to jurisdictional claims in published maps and institutional affiliations. |
© 2022 by the authors. Licensee MDPI, Basel, Switzerland. This article is an open access article distributed under the terms and conditions of the Creative Commons Attribution (CC BY) license (https://creativecommons.org/licenses/by/4.0/).
Share and Cite
Ting, D.Z.; Soibel, A.; Khoshakhlagh, A.; Fisher, A.M.; Pepper, B.J.; Keo, S.A.; Hill, C.J.; Rafol, S.B.; Gunapala, S.D. Complementary Barrier Infrared Detector Architecture for Long-Wavelength Infrared InAs/InAsSb Type-II Superlattice. Appl. Sci. 2022, 12, 12508. https://doi.org/10.3390/app122412508
Ting DZ, Soibel A, Khoshakhlagh A, Fisher AM, Pepper BJ, Keo SA, Hill CJ, Rafol SB, Gunapala SD. Complementary Barrier Infrared Detector Architecture for Long-Wavelength Infrared InAs/InAsSb Type-II Superlattice. Applied Sciences. 2022; 12(24):12508. https://doi.org/10.3390/app122412508
Chicago/Turabian StyleTing, David Z., Alexander Soibel, Arezou Khoshakhlagh, Anita M. Fisher, Brian J. Pepper, Sam A. Keo, Cory J. Hill, Sir B. Rafol, and Sarath D. Gunapala. 2022. "Complementary Barrier Infrared Detector Architecture for Long-Wavelength Infrared InAs/InAsSb Type-II Superlattice" Applied Sciences 12, no. 24: 12508. https://doi.org/10.3390/app122412508
APA StyleTing, D. Z., Soibel, A., Khoshakhlagh, A., Fisher, A. M., Pepper, B. J., Keo, S. A., Hill, C. J., Rafol, S. B., & Gunapala, S. D. (2022). Complementary Barrier Infrared Detector Architecture for Long-Wavelength Infrared InAs/InAsSb Type-II Superlattice. Applied Sciences, 12(24), 12508. https://doi.org/10.3390/app122412508
