Influence of Construction of the following Tunnel on the Preceding Tunnel in the Reinforced Soil Layer
Abstract
1. Introduction
2. Engineering Background and Ground Reinforcement Strategies
3. Three-Dimensional Finite Element Modeling
- (1)
- According to the lateral pressure coefficient K0, the initial boundary and stress conditions of the soil layer are established under the self-weight of soil.
- (2)
- The soft soil layer is reinforced and then the displacement caused by the reinforcement is reset.
- (3)
- The right tunnel is excavated, 4 m at each step, and relevant pressure is applied.
- (4)
- Since the focus of this paper is on the influence mechanism of the left tunnel excavation (the following tunnel) on the right tunnel (preceding tunnel), the soil displacement will be cleared away after the completion of the excavation of the right tunnel.
- (5)
- The left tunnel is excavated, 4 m at each step, and relevant pressure is applied until the construction is completed.
4. Results and Analyses
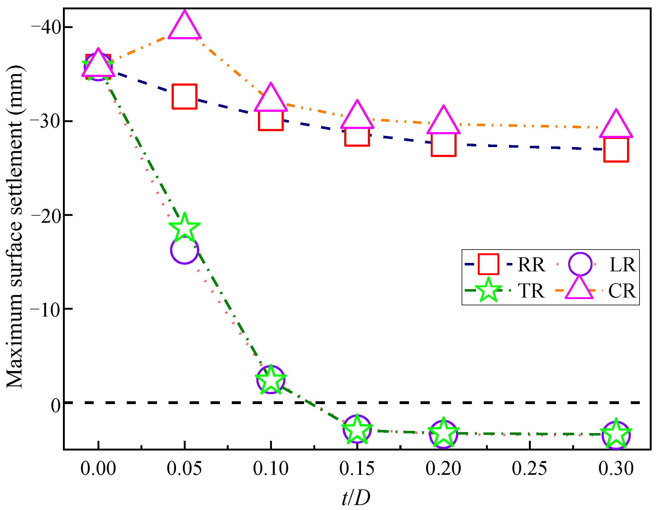
4.1. Settlement of Ground Surface
4.2. Displacement of the Preceding Tunnel
4.3. Convergence of the Preceding Tunnel
4.4. Internal Force of the Lining of the Preceding Tunnel
4.4.1. Axial Force
4.4.2. Bending Moment of the Lining of the Preceding Tunnel
4.5. Comparison
5. Conclusions
- (1)
- The surface settlement profile due to the excavation of the twin tunnels is asymmetric. The reinforcement strategies of the LR and TR can reduce the surface ground settlement and preceding tunnel deformation more effectively than the strategies of the RR or CR. When t = 0.30 D, the LR and TR can reduce the settlement by more than 90%, the maximum horizontal displacement of the preceding tunnel by more than 73%, and the maximum vertical displacement of the preceding tunnel by more than 63%.
- (2)
- After the completion of the excavation of the following tunnel, with an increase in t, the shape of the preceding tunnel lining gradually changes from a standing “duck egg” to an oblique “duck egg”. Among all strategies, the TR is the most effective at controlling the development of convergence. When t = 0.3 D, this approach can reduce the horizontal convergence by 98.4% and vertical convergence by 56.7% when compared with the case of t = 0.0 D. The LR shows a similar effect, which results in a reduction of 86.5% horizontally and 54% vertically.
- (3)
- With an increase in t, the bending moments at the tunnel vault and tunnel intrados gradually decrease, while the bending moments at the right and left haunch gradually increase. When t = 0.30 D, the LR and TR can reduce the maximum bending moment at 90° by more than 43%.
- (4)
- In light of the numerical observations, the reinforcement of the soil layer around the following tunnel (i.e., LR) is an appropriate strategy, considering both engineering safety and cost savings.
Author Contributions
Funding
Institutional Review Board Statement
Informed Consent Statement
Data Availability Statement
Conflicts of Interest
References
- Chakeri, H.; Hasanpour, R.; Hindistan, M.A.; Ünver, B. Analysis of interaction between tunnels in soft ground by 3D numerical modeling. Bull. Eng. Geol. Environ. 2011, 70, 439–448. [Google Scholar] [CrossRef]
- Chapman, D.N.; Ahn, S.K.; Hunt, D.V. Investigating ground movements caused by the construction of multiple tunnels in soft ground using laboratory model tests. Can. Geotech. J. 2007, 44, 631–643. [Google Scholar] [CrossRef]
- Fu, J.Y.; Qing, Z.B.; Yu, Y.Z.; Mei, Z.D. Three-dimensional numerical analysis of the interaction of two crossing tunnels in soft clay. Undergr. Space 2019, 4, 310–327. [Google Scholar]
- Do, N.A.; Dias, D.; Oreste, P.; Djeran-Maigre, I. Three-dimensional numerical simulation of a mechanized twin tunnels in soft ground. Tunn. Undergr. Space Technol. 2014, 42, 40–51. [Google Scholar] [CrossRef]
- Kim, S.H.; Burd, H.J.; Milligan, G.W.E. Model testing of closely spaced tunnels in clay. Geotechnique 1998, 48, 375–388. [Google Scholar] [CrossRef]
- Kumar, P.; Shrivastava, A.K. Physical Investigation of Deformation Behaviour of Single and Twin Tunnel under Static Loading Condition. Appl. Sci. 2021, 11, 11506. [Google Scholar] [CrossRef]
- Choi, J.I.; Lee, S.W. Influence of existing tunnel on mechanical behavior of new tunnel. KSCE J. Civ. Eng. 2010, 14, 773–783. [Google Scholar] [CrossRef]
- He, C.; Feng, K.; Fang, Y.; Jiang, Y.C. Surface settlement caused by twin-parallel shield tunnelling in sandy cobble strata. J. Zhejiang Univ. SCIENCE A 2012, 13, 858–869. [Google Scholar] [CrossRef]
- Ng, C.W.W.; Lu, H.; Peng, S.Y. Three-dimensional centrifuge modelling of the effects of twin tunnelling on an existing pile. Tunn. Undergr. Space Technol. 2013, 35, 189–199. [Google Scholar] [CrossRef]
- Suwansawat, S.; Einstein, H.H. Describing settlement troughs over twin tunnels using a superposition technique. J. Geotech. Geoenvironmental Eng. 2007, 133, 445–468. [Google Scholar] [CrossRef]
- Chen, R.P.; Zhu, J.; Liu, W.; Tang, X.W. Ground movement induced by parallel EPB tunnels in silty soils. Tunn. Undergr. Space Technol. 2011, 26, 163–171. [Google Scholar] [CrossRef]
- Li, S.; Feng, X.; Li, Z.; Chen, B.; Jiang, Q.; Wu, S.; Xu, J. In situ experiments on width and evolution characteristics of excavation damaged zone in deeply buried tunnels. Sci. China Technol. Sci. 2011, 54, 167–174. [Google Scholar] [CrossRef]
- Zheng, H.; Li, P.; Ma, G.; Zhang, Q. Experimental investigation of mechanical characteristics for linings of twins tunnels with asymmetric cross-section. Tunn. Undergr. Space Technol. 2022, 119, 104209. [Google Scholar] [CrossRef]
- Ocak, I. Interaction of longitudinal surface settlements for twin tunnels in shallow and soft soils: The case of Istanbul Metro. Environ. Earth Sci. 2013, 69, 1673–1683. [Google Scholar] [CrossRef]
- Klar, A.; Vorster, T.E.B.; Soga, K.; Mair, R.J. Soil—Pipe interaction due to tunnelling: Comparison between Winkler and elastic continuum solutions. Géotechnique 2005, 55, 461–466. [Google Scholar] [CrossRef]
- Wang, Y.; Wang, Q.; Zhang, K.Y. An analytical model for pipe-soil-tunneling interaction. Procedia Eng. 2011, 14, 3127–3135. [Google Scholar] [CrossRef]
- Liang, R.; Xia, T.; Hong, Y.; Yu, F. Effects of above-crossing tunnelling on the existing shield tunnels. Tunn. Undergr. Space Technol. 2016, 58, 159–176. [Google Scholar] [CrossRef]
- Liang, R.; Xia, T.; Huang, M.; Lin, C. Simplified analytical method for evaluating the effects of adjacent excavation on shield tunnel considering the shearing effect. Comput. Geotech. 2017, 81, 167–187. [Google Scholar] [CrossRef]
- Yamaguchi, I.; Yamazaki, I.; Kiritani, Y. Study of ground-tunnel interactions of four shield tunnels driven in close proximity, in relation to design and construction of parallel shield tunnels. Tunn. Undergr. Space Technol. 1998, 13, 289–304. [Google Scholar] [CrossRef]
- Hefny, A.M.; Chua, H.C.; Zhao, J. Parametric studies on the interaction between existing and new bored tunnels. Tunn. Undergr. Space Technol. 2004, 19, 471. [Google Scholar]
- Chehade, F.H.; Shahrour, I. Numerical analysis of the interaction between twin-tunnels: Influence of the relative position and construction procedure. Tunn. Undergr. Space Technol. 2008, 23, 210–214. [Google Scholar] [CrossRef]
- Do, N.A.; Dias, D.; Oreste, P.; Djeran-Maigre, I. Three-dimensional numerical simulation for mechanized tunnelling in soft ground: The influence of the joint pattern. Acta Geotech. 2014, 9, 673–694. [Google Scholar] [CrossRef]
- Zhao, X.; Wang, H.; Li, Z.; Dai, G.; Yin, Z.; Cao, S.; Zhou, J. Numerical Study on the Deformation of Tunnels by Excavation of Foundation Pit Adjacent to the Subway. Appl. Sci. 2022, 12, 4752. [Google Scholar] [CrossRef]
- Tyagi, A.; Lee, F.H. Influence of tunnel failure on the existing large-diameter tunnel in improved soil surround. Tunn. Undergr. Space Technol. 2022, 120, 104276. [Google Scholar] [CrossRef]
- Contini, A.; Cividini, A.; Gioda, G. Numerical evaluation of the surface displacements due to soil grouting and to tunnel excavation. Int. J. Geomech. 2007, 7, 217–226. [Google Scholar] [CrossRef]
- Tyagi, A.; Zulkefli, M.F.B.; Pan, Y.; Goh, S.H.; Lee, F.H. Failure modes of tunnels with improved soil surrounds. J. Geotech. Geoenvironmental Eng. 2017, 143, 04017088. [Google Scholar] [CrossRef]
- Tyagi, A.; Liu, Y.; Pan, Y.T.; Ridhwan, K.B.M.; Lee, F.H. Stability of tunnels in cement-admixed soft soils with spatial variability. J. Geotech. Geoenvironmental Eng. 2018, 144, 06018012. [Google Scholar] [CrossRef]
- Tyagi, A.; Liu, Y.; Pan, Y.T.; Lee, F.H. Equivalent strength for tunnels in cement-admixed soil columns with spatial variability and positioning error. J. Geotech. Geoenvironmental Eng. 2020, 146, 04020101. [Google Scholar] [CrossRef]
- Nawel, B.; Salah, M. Numerical modeling of two parallel tunnels interaction using three-dimensional finite elements method. Geomech. Eng. 2015, 9, 775–791. [Google Scholar] [CrossRef]
- Ng, C.W.W.; Wang, R.; Boonyarak, T. A comparative study of the different responses of circular and horseshoe-shaped tunnels to an advancing tunnel underneath. Géotechnique Lett. 2016, 6, 168–175. [Google Scholar] [CrossRef]
- Liu, X.; Suliman, L.; Zhou, X.; Abd Elmageed, A. Parallel tunnel settlement characteristics: A theoretical calculation approach and adaptation analysis. Geomech. Eng. 2022, 28, 225–237. [Google Scholar]
- Yang, J.; Gu, X.Q. Shear stiffness of granular material at small strains: Does it depend on grain size? Géotechnique 2013, 63, 165–179. [Google Scholar] [CrossRef]
- Bolton, M.D. The strength and dilatancy of sands. Geotechnique 1986, 36, 65–78. [Google Scholar] [CrossRef]
- Gu, X.; Hu, J.; Huang, M.S. K0 of granular soils: A particulate approach. Granul. Matter 2015, 17, 703–715. [Google Scholar] [CrossRef]
- Fu, Y.; He, S.; Zhang, S.; Yang, Y. Parameter analysis on hardening soil model of soft soil for foundation pits based on shear rates in Shenzhen Bay, China. Adv. Mater. Sci. Eng. 2020, 2020, 703–715. [Google Scholar] [CrossRef]
- Mollon, G.; Dias, D.; Soubra, A.H. Probabilistic analyses of tunneling-induced ground movements. Acta Geotech. 2013, 8, 181–199. [Google Scholar] [CrossRef]
- Zhou, Z.; Ding, H.; Miao, L.; Gong, C. Predictive model for the surface settlement caused by the excavation of twin tunnels. Tunn. Undergr. Space Technol. 2021, 114, 104014. [Google Scholar] [CrossRef]
- Hasanpour, R.; Chakeri, H.; Ozcelik, Y.; Denek, H. Evaluation of surface settlements in the Istanbul metro in terms of analytical, numerical and direct measurements. Bull. Eng. Geol. Environ. 2012, 71, 499–510. [Google Scholar] [CrossRef]
- Lambrughi, A.; Rodríguez, L.M.; Castellanza, R. Development and validation of a 3D numerical model for TBM–EPB mechanised excavations. Comput. Geotech. 2012, 40, 97–113. [Google Scholar] [CrossRef]
- Arnau, O.; Molins, C. Three dimensional structural response of segmental tunnel linings. Eng. Struct. 2012, 44, 210–221. [Google Scholar] [CrossRef]
- Klappers, C.; Grübl, F.; Ostermeier, B. Structural analyses of segmental lining-coupled beam and spring analyses versus 3D-FEM calculations with shell elements. Tunn. Undergr. Space Technol. 2006, 21, 254–255. [Google Scholar] [CrossRef]
- Zheng, G.; Zhang, T.; Diao, Y. Mechanism and countermeasures of preceding tunnel distortion induced by succeeding EPBS tunnelling in close proximity. Comput. Geotech. 2015, 66, 53–65. [Google Scholar] [CrossRef]
- Do, N.A.; Dias, D.; Oreste, P. 3D numerical investigation of mechanized twin tunnels in soft ground–Influence of lagging distance between two tunnel faces. Eng. Struct. 2016, 109, 117–125. [Google Scholar] [CrossRef]













| Parameter | Value | Method | Parameter | Value | Method | ||
|---|---|---|---|---|---|---|---|
| Soft Soil | Improved Soil | Soft Soil | Improved Soil | ||||
| c’ (kPa) | 13.1 | 350 | Triaxial consolidated and drained test | G0ref (MPa) | 40.1 | 350 | G0ref = (1.5~2.5)Eurref [32] |
| φ’ (°) | 13.3 | 43 | Triaxial consolidated and drained test | Pref (kPa) | 100 | 100 | Plaxis manual |
| Ψ (°) | 0.1 | 0.1 | Ψ = 0 when φ’ < 30° [33] | νur | 0.2 | 0.2 | Plaxis manual |
| K0 | 0.77 | 0.318 | K0 = 1 − sin φ’ [34] | Eurref (MPa) | 16.03 | 200 | Eurref = (3~8)Eoedref [35] |
| Rf | 0.9 | 0.9 | Plaxis manual | m | 0.8 | 0.1 | Plaxis manual |
| E50ref (MPa) | 2.29 | 30 | E50ref = (0.7~1.0) Es1–2 [35] | γ0.7 | 1 × 10−4 | 4 × 10−4 | γ0.7 = (1~4) × 10−4 [32] |
| Eoedref (MPa) | 1.91 | 27 | Eoedref = 0.9Es1–2 [35] | ||||
| Reinforcement Strategy | t/D = 0.00 | t/D = 0.05 | t/D = 0.10 | t/D = 0.15 | t/D = 0.20 | t/D = 0.30 | Decrease Rate (%) (2) |
|---|---|---|---|---|---|---|---|
| RR | 27.25/17.96 (1) | 21.09/13.21 | 17.11/10.02 | 15.25/8.87 | 14.62/8.06 | 13.99/7.68 | 48.7/57.2 |
| LR | 27.25/17.96 | 18.75/12.91 | 13.22/9.22 | 10.15/7.76 | 8.26/7.21 | 7.32/6.65 | 73.1/63.0 |
| TR | 27.25/17.96 | 17.56/12.56 | 12.87/9.01 | 10.21/7.51 | 8.14/7.14 | 7.21/6.51 | 73.5/63.8 |
| CR | 27.25/17.96 | 20.06/15.63 | 16.25/13.53 | 13.12/12.38 | 11.09/11.67 | 8.02/11.23 | 70.6/37.5 |
| Reinforcement Strategy | Surface Settlement | Tunnel Displacement | Lining Convergence | Axial Force | Bending Moment at 90° | ||
|---|---|---|---|---|---|---|---|
| Horizontal | Vertical | Horizontal | Vertical | ||||
| RR | 24.6% | 48.7% | 57.2% | 86.5% | 54% | 5.6% | 33.8% |
| LR | 90.2% | 73.1% | 63.0% | 98.4% | 56.7% | 27.4% | 43.4% |
| TR | 90.6% | 73.5% | 63.8% | 98.6% | 57.3% | 27.7% | 44.5% |
| CR | 18.2% | 70.6% | 37.5% | 21.4% | 26.3% | 3.0% | 3.0% |
Publisher’s Note: MDPI stays neutral with regard to jurisdictional claims in published maps and institutional affiliations. |
© 2022 by the authors. Licensee MDPI, Basel, Switzerland. This article is an open access article distributed under the terms and conditions of the Creative Commons Attribution (CC BY) license (https://creativecommons.org/licenses/by/4.0/).
Share and Cite
Huang, C.; Zhou, K.; Deng, B.; Li, D.; Song, Q.; Su, D. Influence of Construction of the following Tunnel on the Preceding Tunnel in the Reinforced Soil Layer. Appl. Sci. 2022, 12, 10335. https://doi.org/10.3390/app122010335
Huang C, Zhou K, Deng B, Li D, Song Q, Su D. Influence of Construction of the following Tunnel on the Preceding Tunnel in the Reinforced Soil Layer. Applied Sciences. 2022; 12(20):10335. https://doi.org/10.3390/app122010335
Chicago/Turabian StyleHuang, Changfu, Kun Zhou, Bi Deng, Dong Li, Qilong Song, and Dong Su. 2022. "Influence of Construction of the following Tunnel on the Preceding Tunnel in the Reinforced Soil Layer" Applied Sciences 12, no. 20: 10335. https://doi.org/10.3390/app122010335
APA StyleHuang, C., Zhou, K., Deng, B., Li, D., Song, Q., & Su, D. (2022). Influence of Construction of the following Tunnel on the Preceding Tunnel in the Reinforced Soil Layer. Applied Sciences, 12(20), 10335. https://doi.org/10.3390/app122010335

