Energy Ratio Variation-Based Structural Damage Detection Using Convolutional Neural Network
Abstract
1. Introduction
2. Basic Theories and Methods
2.1. Wavelet Packet Decomposition
2.2. Selection of Wavelet Basis Function
2.3. Construction of Damage Index
2.4. Convolutional Neural Network
2.4.1. One-Dimensional Convolutional Layer
2.4.2. Batch Normalization Layer
2.4.3. Max Pooling Layer
2.4.4. Fully Connected Layer
2.4.5. Softmax Output Layer
3. Numerical Validation and Evaluation
3.1. Finite Element Model
3.2. Numerical Simulation
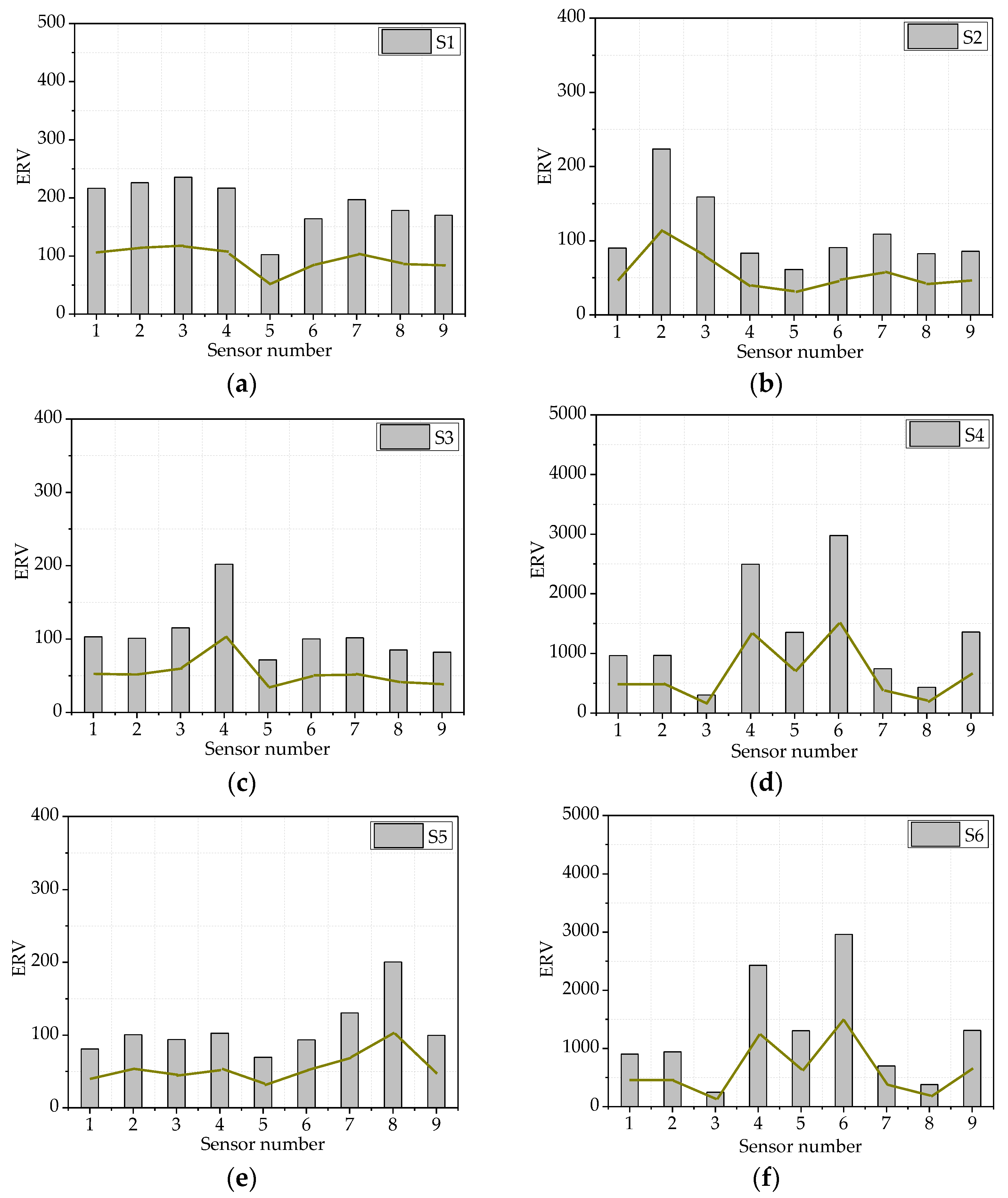
3.3. Results and Analysis
4. Comparison of CNN and SVM Training Effect
4.1. Damage Identification by CNN
4.2. Damage Identification by SVM
5. Experimental Validation
5.1. Experimental Model
5.2. Experimental Facilities
5.3. Experimental Results and Analysis
6. Conclusions
Supplementary Materials
Author Contributions
Funding
Institutional Review Board Statement
Informed Consent Statement
Data Availability Statement
Conflicts of Interest
References
- Limongelli, M.P. SHM for informed management of civil structures and infrastructure. J. Civ. Struct. Health Monit. 2020, 10, 739–741. [Google Scholar] [CrossRef]
- Song, G.; Wang, C.; Wang, B. Structural health monitoring (SHM) of civil structures. Appl. Sci. 2017, 7, 789. [Google Scholar] [CrossRef]
- Feng, D.; Feng, M.Q. Computer vision for SHM of civil infrastructure: From dynamic response measurement to damage detection–A review. Eng. Struct. 2018, 156, 105–117. [Google Scholar] [CrossRef]
- Adams, R.D.; Cawley, P.; Pye, C.J.; Stone, B.J. A vibration technique for non-destructively assessing the integrity of structures. J. Mech. Eng. Sci. 1978, 20, 93–100. [Google Scholar] [CrossRef]
- Cawley, P.; Adams, R.D. The location of defects in structures from measurements of natural frequencies. J. Strain Anal. Eng. Des. 1979, 14, 49–57. [Google Scholar] [CrossRef]
- Chen, Y.; Swamidas, A.S.J. Dynamic characteristics and modal parameters of a plate with a small growing surface crack. In Proceedings of the 12th International Modal Analysis Conference, Honolulu, HI, USA, 31 January–3 February 1994; pp. 1155–1161. [Google Scholar]
- Chen, J.C.; Garba, J.A. On-orbit damage assessment for large space structure. AIAA J. 1988, 26, 1098–1126. [Google Scholar] [CrossRef]
- Patel, S.S.; Chourasia, A.P.; Panigrahi, S.K.; Parashar, J.; Parvez, N.; Kumar, M. Damage identification of RC structures using wavelet transformation. Procedia Eng. 2016, 144, 336–342. [Google Scholar] [CrossRef][Green Version]
- Rakowski, W.J. Wavelet approach to damage detection of mechanical systems and structures. Procedia Eng. 2017, 182, 594–601. [Google Scholar] [CrossRef]
- Hsueh, W.; Loh, C.H. Damage detection of structures by wavelet analysis: Application to seismic response of steel frames. In Proceedings of the Smart Structures and Materials + Nondestructive Evaluation and Health Monitoring, Portland, OR, USA, 25–29 March 2017. [Google Scholar]
- Gianluca, F.; Luca, B.; Sofiane, A.; Paolo, G. Use of the wavelet packet transform for pattern recognition in a structural health monitoring application. J. Intell. Mater. Syst. Struct. 2015, 26, 1513–1529. [Google Scholar]
- Tabrizi, A.; Garibaldi, L.; Fasana, A.; Marchesiello, S. Early damage detection of roller bearings using wavelet packet decomposition, ensemble empirical mode decomposition and support vector machine. Meccanica 2015, 50, 865–874. [Google Scholar] [CrossRef]
- Asgarian, B.; Aghaeidoost, V.; Shokrgozar, H.R. Damage detection of jacket type offshore platforms using rate of signal energy using wavelet packet transform. Mar. Struct. 2016, 45, 1–21. [Google Scholar] [CrossRef]
- Wu, N.; Wang, Q. Experimental studies on damage detection of beam structures with wavelet transform. Int. J. Eng. Sci. 2011, 49, 253–261. [Google Scholar] [CrossRef]
- Sun, Z.; Chang, C.C. Structural damage assessment based on wavelet packet transform. J. Struct. Eng. 2002, 128, 1354–1361. [Google Scholar] [CrossRef]
- Hester, D.; González, A. A wavelet-based damage detection algorithm based on bridge acceleration response to a vehicle. Mech. Syst. Signal Process. 2012, 28, 145–166. [Google Scholar] [CrossRef]
- Suarez, E.; Benavent-Climent, A.; Molina-Conde, R. Wavelet energy ratio index for health monitoring of hysteretic dampers. Struct. Control. Health Monit. 2018, 25, e2071.1–e2071.14. [Google Scholar] [CrossRef]
- Pandey, P.C.; Barai, S.V. Multilayer perceptron in damage detection of bridge structures. Comput. Struct. 1995, 54, 597–608. [Google Scholar] [CrossRef]
- Yang, J.; Li, A.Q.; Miao, C.Q. Application of BP neural network to cable damage identification for long span cable-stayed bridges. China Civ. Eng. J. 2006, 39, 72–77+95. [Google Scholar] [CrossRef]
- Li, Z.X.; Yang, X.M.; Ding, Y. Research on substructural damage identification of large cable-stayed bridges using artificial neural networks. Earthq. Eng. Eng. Vib. 2003, 23, 92–99. [Google Scholar] [CrossRef]
- Wang, X.L. Structural Damage Identification Based on Radial Basis Network. Master’s Thesis, Nanjing University of Aeronautics and Astronautics, Nanjing, China, 2006. [Google Scholar] [CrossRef]
- Zhu, G.X. Research on Link Travel Time Prediction Based on Radial baSIS FUNCTION (RBF) Neural Network. Master’s Thesis, Chongqing University, Chongqing, China, 2004. [Google Scholar] [CrossRef]
- Yao, W.S. The researching overview of evolutionary neural networks. Comput. Sci. 2004, 31, 125–129. [Google Scholar]
- Wang, S.; Xing, W.; Zhang, Y.; Chen, Q. Image crack detection with fully convolutional network based on deep learning. J. Comput.-Aided Des. Comput. Graph. 2018, 30, 859–867. [Google Scholar]
- Li, R.; Yuan, Y.; Zhang, W.; Yuan, Y. Unified vision-based methodology for simultaneous concrete defect detection and geolocalization: Unified vision-based methodology. Comput.-Aided Civ. Infrastruct. Eng. 2018, 33, 527–544. [Google Scholar] [CrossRef]
- Xu, L.F.; Zhang, L.; Yu, J.M. Research of speech recognition based on improved CNN. Comput. Appl. Softw. 2022, 39, 119–125. [Google Scholar] [CrossRef]
- Hu, X.Y.; Jing, Y.J.; Song, Z.K.; Hou, Y.Q. Bearing fault identification by using deep convolution neural networks based on CNN-SVM. Vib. Shock. 2019, 38, 173–178. [Google Scholar] [CrossRef]
- Zhou, Y.J.; Liu, J.; Xie, Y.R.; Wang, Y.K. Morphological feature aware multi-CNN model for multilingual text recognition. Intell. Autom. Soft Comput. 2021, 30, 715–733. [Google Scholar] [CrossRef]
- Liu, X.J.; Shang, K.R.; Zhang, S.X.; Huo, B.; Sun, L. Damage detection method for beam structures based on improved wavelet packet energy. Vib. Shock. 2016, 35, 179–185. [Google Scholar] [CrossRef]
- Wang, X.F. Selection and optimization of wavelet base. J. Zhuzhou Inst. Technol. 2003, 17, 33–35. [Google Scholar] [CrossRef]


















| Wavelet Order | SL(Ej) (p = 1.5) | Wavelet Order | SL(Ej) (p = 1.5) |
|---|---|---|---|
| 11 | 532.7851 | 16 | 493.4817 |
| 12 | 512.3428 | 17 | 494.3682 |
| 13 | 480.7129 | 18 | 498.6675 |
| 14 | 554.1102 | 19 | 496.5085 |
| 15 | 479.8986 | 20 | 518.0319 |
| Decomposition Level | SL(Ej) (p = 1.5) | Computational Time |
|---|---|---|
| 1 | 951.6591 | 1.496 s |
| 2 | 891.3953 | 1.417 s |
| 3 | 623.9734 | 1.447 s |
| 4 | 479.8986 | 1.479 s |
| 5 | 355.8308 | 1.531 s |
| 6 | 252.9848 | 1.475 s |
| 7 | 192.7643 | 1.480 s |
| 8 | 144.2826 | 2.314 s |
| 9 | 111.2022 | 6.054 s |
| 10 | 87.3245 | 2.127 s |
| Parameter | Value | Parameter | Value |
|---|---|---|---|
| length | 1 m | density | 7850 kg/m³ |
| height | 0.1 m | poisson’s ratio | 0.3 |
| width | 0.068 m | force | 100 N |
| waist thickness | 0.0045 m | damping fraction | 0.05 |
| elastic modulus | 210 GPa | none | none |
| Scenario | Scenario Number | Elastic Modulus Under Different Damage Degrees | Damage Element | Location Description | ||||
|---|---|---|---|---|---|---|---|---|
| 15% | 10% | 5% | 2% | 1% | ||||
| intact | S0 | E | E | E | E | E | none | intact |
| single | S1 | 0.85 E | 0.90 E | 0.95 E | 0.98 E | 0.99 E | 1 | left end |
| S2 | 0.85 E | 0.90 E | 0.95 E | 0.98 E | 0.99 E | 2 | ||
| S3 | 0.85 E | 0.90 E | 0.95 E | 0.98 E | 0.99 E | 5 | middle span | |
| S4 | 0.85 E | 0.90 E | 0.95 E | 0.98 E | 0.99 E | 6 | ||
| S5 | 0.85 E | 0.90 E | 0.95 E | 0.98 E | 0.99 E | 9 | right end | |
| S6 | 0.85 E | 0.90 E | 0.95 E | 0.98 E | 0.99 E | 10 | ||
| multiple | S7 | 0.85 E | 0.90 E | 0.95 E | 0.98 E | 0.99 E | 2, 8 | asymmetry |
| S8 | 0.85 E | 0.90 E | 0.95 E | 0.98 E | 0.99 E | 5, 6 | symmetry | |
| Mode No | Intact F (Rad/Time) | 15% F (Rad/Time) | 10% F (Rad/Time) | 5% F (Rad/Time) | 2% F (Rad/Time) | 1% F (Rad/Time) |
|---|---|---|---|---|---|---|
| 1 | 175.39 | 174.25 | 174.66 | 175.04 | 175.25 | 175.32 |
| 2 | 225.74 | 224.24 | 224.77 | 225.27 | 225.55 | 225.64 |
| 3 | 440.97 | 437.46 | 438.73 | 439.90 | 440.55 | 440.76 |
| 4 | 523.66 | 512.96 | 522.58 | 523.14 | 523.46 | 523.56 |
| 5 | 656.09 | 654.04 | 654.78 | 655.46 | 655.84 | 655.97 |
| 6 | 762.93 | 756.45 | 759.19 | 761.30 | 762.33 | 762.64 |
| 7 | 790.66 | 783.06 | 785.44 | 788.01 | 789.59 | 790.13 |
| 8 | 860.51 | 856.58 | 857.92 | 859.23 | 860.00 | 860.26 |
| 9 | 925.61 | 917.54 | 920.29 | 922.98 | 924.56 | 925.09 |
| 10 | 1048.70 | 1040.10 | 1043.30 | 1046.10 | 1047.70 | 1048.20 |
| Layer | Kernel Num. & Size | Padding | Stride | Activation |
|---|---|---|---|---|
| input | none; none | none | [1, 1] | none |
| convolution (C1) | 6; [1, 3] | 1 | [1, 1] | relu |
| max pooling (S1) | 6; [1, 3] | 0 | [1, 2] | none |
| convolution (C2) | 12; [1, 3] | 1 | [1, 1] | relu |
| max pooling (S2) | 12; [1, 2] | 0 | [1, 2] | none |
| convolution (C3) | 24; [1, 3] | 1 | [1, 1] | relu |
| max pooling (S3) | 24; [1, 2] | 0 | [1, 2] | none |
| convolution (C4) | 48; [1, 3] | 1 | [1, 1] | relu |
| max pooling (S4) | 48; [1, 3] | 0 | [1, 2] | none |
| convolution (C5) | 96; [1, 3] | 1 | [1, 1] | relu |
| fully connected | none; none | none | none | relu |
| softmax | none; none | none | none | none |
| output | none; none | none | none | none |
| Parameter | Value | Parameter | Value |
|---|---|---|---|
| initial learn rate | 0.001 | verbose frequency | 50 |
| gradient threshold | 1 | shuffle | once |
| max epochs | 200 | execution environment | cpu |
| mini batch size | 400 | verbose | false |
| Damage Scenario | True Type | Predicted Type | Accuracy |
|---|---|---|---|
| S1 | 1 | 1 | 44.72% |
| S2 | 2 | 2 | |
| S3 | 5 | 5 | |
| S4 | 6 | 6 | |
| S5 | 9 | 9 | |
| S6 | 10 | 10 | |
| S7 | 2, 8 | 2, 8 | |
| S8 | 5, 6 | 5, 6 |
Publisher’s Note: MDPI stays neutral with regard to jurisdictional claims in published maps and institutional affiliations. |
© 2022 by the authors. Licensee MDPI, Basel, Switzerland. This article is an open access article distributed under the terms and conditions of the Creative Commons Attribution (CC BY) license (https://creativecommons.org/licenses/by/4.0/).
Share and Cite
Wu, C.-S.; Peng, Y.-X.; Zhuo, D.-B.; Zhang, J.-Q.; Ren, W.; Feng, Z.-Y. Energy Ratio Variation-Based Structural Damage Detection Using Convolutional Neural Network. Appl. Sci. 2022, 12, 10220. https://doi.org/10.3390/app122010220
Wu C-S, Peng Y-X, Zhuo D-B, Zhang J-Q, Ren W, Feng Z-Y. Energy Ratio Variation-Based Structural Damage Detection Using Convolutional Neural Network. Applied Sciences. 2022; 12(20):10220. https://doi.org/10.3390/app122010220
Chicago/Turabian StyleWu, Chuan-Sheng, Yang-Xia Peng, De-Bing Zhuo, Jian-Qiang Zhang, Wei Ren, and Zhen-Yang Feng. 2022. "Energy Ratio Variation-Based Structural Damage Detection Using Convolutional Neural Network" Applied Sciences 12, no. 20: 10220. https://doi.org/10.3390/app122010220
APA StyleWu, C.-S., Peng, Y.-X., Zhuo, D.-B., Zhang, J.-Q., Ren, W., & Feng, Z.-Y. (2022). Energy Ratio Variation-Based Structural Damage Detection Using Convolutional Neural Network. Applied Sciences, 12(20), 10220. https://doi.org/10.3390/app122010220
