Laplace Transform for Finite Element Analysis of Electromagnetic Interferences in Underground Metallic Structures
Abstract
:1. Introduction
2. Model Formulation
3. Simulation Results
3.1. Time-Domain Current Response
- Dirac impulse ;
- Unit step ;
- Unit ramp .
3.1.1. Impulse Response
3.1.2. Unit Step and Unit Ramp Response
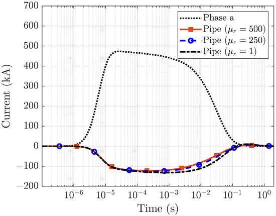
3.1.3. Influence of the Pipeline Magnetic Permeability
3.2. Time-Domain Current Density and Magnetic Flux Density Field
3.3. Pipeline Response to a Lightning Event Striking a Power Line Conductor
4. Conclusions
Author Contributions
Funding
Institutional Review Board Statement
Informed Consent Statement
Data Availability Statement
Conflicts of Interest
References
- CIGRE. Guide on the Influence of High Voltage AC Power Systems on Metallic Pipelines; Technical Report, Cigré Working Group 36.02; CIGRE: Paris, France, 1995. [Google Scholar]
- Baete, C.; Haynes, G.; Marmillo, J. Unmasking AC Threats on Petrochemical Pipelines. In Proceedings of the NACE CORROSION, Virtual, 19–30 April 2021. [Google Scholar]
- Fieltsch, W.; Shahinas, F.; Olesen, A.J.; Nielsen, L.V. AC Corrosion at Other Frequencies Part A: Field Investigation and Mitigation. In Proceedings of the NACE CORROSION, Virtual, 19–30 April 2021. [Google Scholar]
- Cotton, I.; Kopsidas, K.; Zhang, Y. Comparison of Transient and Power Frequency-Induced Voltages on a Pipeline Parallel to an Overhead Transmission Line. IEEE Trans. Power Deliv. 2007, 22, 1706–1714. [Google Scholar] [CrossRef]
- Wu, X.; Zhang, H.; Karady, G.G. Transient analysis of inductive induced voltage between power line and nearby pipeline. Int. J. Electr. Power Energy Syst. 2017, 84, 47–54. [Google Scholar] [CrossRef]
- Tleis, N. Power Systems Modelling and Fault Analysis: Theory and Practice; Elsevier: Amsterdam, The Netherlands, 2007. [Google Scholar]
- Haubrich, H.J.; Flechner, B.A.; Machczynski, W. A universal model for the computation of the electromagnetic interference on earth return circuits. IEEE Trans. Power Deliv. 1994, 9, 1593–1599. [Google Scholar] [CrossRef]
- Dabkowski, J. How to predict and mitigate A.C. Voltages on buried pipelines. Pipeline Gas J. 1979, 206, 19–21. [Google Scholar]
- Dawalibi, F.P.; Southey, R.D. Analysis of electrical interference from power lines to gas pipelines. I. Computation methods. IEEE Trans. Power Deliv. 1989, 4, 1840–1846. [Google Scholar] [CrossRef]
- Li, L.; Gao, X. AC corrosion interference of buried long distance pipeline. In Proceedings of the 2021 3rd International Conference on Intelligent Control, Measurement and Signal Processing and Intelligent Oil Field (ICMSP), Xi’an, China, 23–25 July 2021; pp. 342–346. [Google Scholar] [CrossRef]
- Muresan, A.; Papadopoulos, T.A.; Czumbil, L.; Chrysochos, A.I.; Farkas, T.; Chioran, D. Numerical Modeling Assessment of Electromagnetic Interference Between Power Lines and Metallic Pipelines: A Case Study. In Proceedings of the 2021 9th International Conference on Modern Power Systems (MPS), Cluj-Napoca, Romania, 16–17 June 2021; pp. 1–6. [Google Scholar]
- Cristofolini, A.; Popoli, A.; Sandrolini, L. Numerical Modelling of Interference from AC Power Lines on Buried Metallic Pipelines in Presence of Mitigation Wires. In Proceedings of the 2018 IEEE International Conference on Environment and Electrical Engineering and 2018 IEEE Industrial and Commercial Power Systems Europe (EEEIC/I&CPS Europe), Palermo, Italy, 12–15 June 2018; pp. 1–6. [Google Scholar] [CrossRef]
- Micu, D.D.; Christoforidis, G.C.; Czumbil, L. AC interference on pipelines due to double circuit power lines: A detailed study. Electr. Power Syst. Res. 2013, 103, 1–8. [Google Scholar] [CrossRef]
- Christoforidis, G.C.; Labridis, D.P.; Dokopoulos, P.S. Ahybrid method for calculating the inductive interference caused by faulted power lines to nearby buried pipelines. IEEE Trans. Power Deliv. 2005, 20, 1465–1473. [Google Scholar] [CrossRef]
- Dawalibi, F.P.; Donoso, F. Integrated analysis software for grounding, EMF, and EMI. IEEE Comput. Appl. Power 1993, 6, 19–24. [Google Scholar] [CrossRef]
- Abdullah, N. HVAC interference assessment on a buried gas pipeline. IOP Conf. Ser. Earth Environ. Sci. 2021, 704, 012009. [Google Scholar] [CrossRef]
- Nakagawa, M.; Ametani, A.; Iwamoto, K. Further studies on wave propagation in overhead lines with earth return: Impedance of stratified earth. Proc. Inst. Electr. Eng. 1973, 12, 1521–1528. [Google Scholar] [CrossRef]
- Popoli, A.; Sandrolini, L.; Cristofolini, A. Inductive coupling on metallic pipelines: Effects of a nonuniform soil resistivity along a pipeline-power line corridor. Electr. Power Syst. Res. 2020, 189, 106621. [Google Scholar] [CrossRef]
- Popoli, A.; Sandrolini, L.; Cristofolini, A. Finite Element Analysis of Mitigation Measures for AC Interference on Buried Pipelines. In Proceedings of the 2019 IEEE International Conference on Environment and Electrical Engineering and 2019 IEEE Industrial and Commercial Power Systems Europe (EEEIC/I CPS Europe), Genova, Italy, 11–14 June 2019; pp. 1–5. [Google Scholar] [CrossRef]
- Popoli, A.; Sandrolini, L.; Cristofolini, A. Comparison of screening configurations for the mitigation of voltages and currents induced on pipelines by HVAC power lines. Energies 2021, 14, 3855. [Google Scholar] [CrossRef]
- Lucca, G. Mutual impedance between an overhead and a buried line with earth return. In Proceedings of the Ninth International Conference on Electromagnetic Compatibility, Manchester, UK, 5–7 September 1994; pp. 80–86. [Google Scholar]
- Lucca, G. AC interference from a faulty power line on nearby buried pipelines: Influence of the surface layer soil. IET Sci. Meas. Technol. 2019, 14, 225–232. [Google Scholar] [CrossRef]
- Popoli, A.; Cristofolini, A.; Sandrolini, L.; Abe, B.; Jimoh, A. Assessment of AC interference caused by transmission lines on buried metallic pipelines using F.E.M. In Proceedings of the 2017 International Applied Computational Electromagnetics Society Symposium—Italy, ACES 2017, Firenze, Italy, 26–30 March 2017; pp. 1–2. [Google Scholar] [CrossRef]
- Conte, S.D.; Carl, W. De Boor, Elementary Numerical Analysis: An Algorithmic Approach; SIAM: Philadelphia, PA, USA, 2018. [Google Scholar]
- D’amore, L.; Laccetti, G.; Murli, A. Algorithm 796: A Fortran software package for the numerical inversion of the Laplace transform based on a Fourier series method. ACM Trans. Math. Softw. (TOMS) 1999, 25, 306–315. [Google Scholar] [CrossRef]
- D’amore, L.; Laccetti, G.; Murli, A. An implementation of a Fourier series method for the numerical inversion of the Laplace transform. ACM Trans. Math. Softw. (TOMS) 1999, 25, 279–305. [Google Scholar] [CrossRef]
- Martins-Britto, A.G.; Moraes, C.M.; Lopes, F.V. Inductive interferences between a 500 kV power line and a pipeline with a complex approximation layout and multilayered soil. Electr. Power Syst. Res. 2021, 196, 107265. [Google Scholar] [CrossRef]
- Martins-Britto, A.G.; Moraes, C.M.; Lopes, F.V. Transient electromagnetic interferences between a power line and a pipeline due to a lightning discharge: An EMTP-based approach. Electr. Power Syst. Res. 2021, 197, 107321. [Google Scholar] [CrossRef]
- Piantini, A.; Janiszewski, J.M. Lightning-induced voltages on overhead lines—Application of the extended rusck model. IEEE Trans. Electromagn. Compat. 2009, 51, 548–558. [Google Scholar] [CrossRef]
- Farina, A.; Bellini, A.; Armelloni, E. Non-linear convolution: A new approach for the auralization of distorting systems. In Proceedings of the Audio Engineering Society Convention 110, Amsterdam, The Netherlands, 12–15 May 2001. [Google Scholar]
- Tronchin, L.; Coli, V.L. Further investigations in the emulation of nonlinear systems with Volterra series. J. Audio Eng. Soc. 2015, 63, 671–683. [Google Scholar] [CrossRef]





| Conductor | x (m) | y (m) | Radius (m) | Conductivity (S m) |
|---|---|---|---|---|
| Phase a | 3.5 | 12 | 1.5 × 10−2 | 3.5 × 107 |
| Phase b | −3 | 14 | 1.5 × 10−2 | 3.5 × 107 |
| Phase c | 2.9 | 16 | 1.5 × 10−2 | 3.5 × 107 |
| pipeline | 2 | −1.1 | 5 × 10−1 | 5.5 × 106 |
| soil | - | - | 6 × 102 | 0.01 |
Publisher’s Note: MDPI stays neutral with regard to jurisdictional claims in published maps and institutional affiliations. |
© 2022 by the authors. Licensee MDPI, Basel, Switzerland. This article is an open access article distributed under the terms and conditions of the Creative Commons Attribution (CC BY) license (https://creativecommons.org/licenses/by/4.0/).
Share and Cite
Cristofolini, A.; Popoli, A.; Sandrolini, L.; Pierotti, G.; Simonazzi, M. Laplace Transform for Finite Element Analysis of Electromagnetic Interferences in Underground Metallic Structures. Appl. Sci. 2022, 12, 872. https://doi.org/10.3390/app12020872
Cristofolini A, Popoli A, Sandrolini L, Pierotti G, Simonazzi M. Laplace Transform for Finite Element Analysis of Electromagnetic Interferences in Underground Metallic Structures. Applied Sciences. 2022; 12(2):872. https://doi.org/10.3390/app12020872
Chicago/Turabian StyleCristofolini, Andrea, Arturo Popoli, Leonardo Sandrolini, Giacomo Pierotti, and Mattia Simonazzi. 2022. "Laplace Transform for Finite Element Analysis of Electromagnetic Interferences in Underground Metallic Structures" Applied Sciences 12, no. 2: 872. https://doi.org/10.3390/app12020872
APA StyleCristofolini, A., Popoli, A., Sandrolini, L., Pierotti, G., & Simonazzi, M. (2022). Laplace Transform for Finite Element Analysis of Electromagnetic Interferences in Underground Metallic Structures. Applied Sciences, 12(2), 872. https://doi.org/10.3390/app12020872

