Grain Size Curve Characteristics of 2nd Member of Sangonghe Formation in Qianshao Area and Its Indicative Significance of Hydrodynamic Environment
Abstract
:1. Introduction
2. Geological Settings
3. Sample and Experimental Methods
4. Results
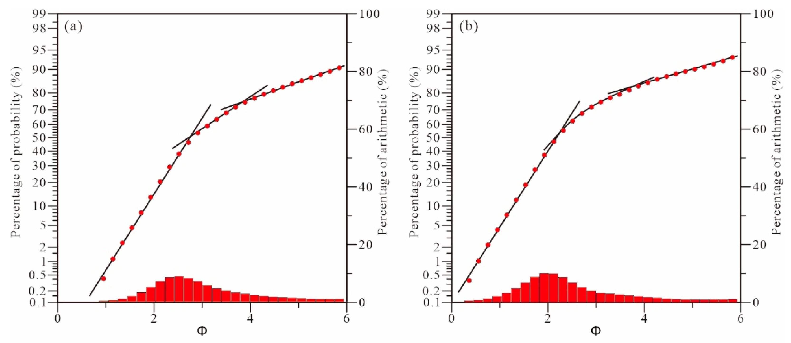
4.1. Tractive Current Type
4.1.1. Typical Tri-Segment Pattern
4.1.2. Typical Bi-Segment Pattern
4.1.3. One Bouncing Segment-One Suspension Segment-One Transitional Zone Pattern
4.1.4. Bi-Bouncing Segment-One Suspension Segment-One Transitional Zone Pattern
4.1.5. One Bouncing Segment-One Suspension Segment-One Complex Transitional Zone Pattern
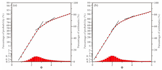
4.2. Sandy Debris Flow Type
4.2.1. One Bouncing Segment-One Suspension Segment-One Transitional Zone Pattern
4.2.2. One Bouncing Segment-One Suspension Segment-One Arc Transitional Zone Pattern
5. Discussion
5.1. Sandy Debris Flow Deposits
5.1.1. The Lower Part Microfacies of the Single Sandy Debris Flow Deposition Cycle
5.1.2. The Upper Part Microfacies of the Single Sandy Debris Flow Deposition Cycle
5.2. Shallow-Water Delta Deposits
5.2.1. Subaqueous Distributary Channel Microfacies of Shallow-Water Delta Inner Front
5.2.2. Subaqueous Distributary Channel Microfacies of Shallow-Water Delta Outer Front
5.2.3. Estuarine Bar Microfacies of Shallow-Water Delta Outer Front
5.3. Difference Analysis of Grain Size Probability Curves of Different Microfacies
6. Conclusions
- There mainly develop two types of sedimentary facies in the study area: shallow water delta and sandy clastic flow. The evolution process from the inner front to the outer front of the shallow water delta reflects the hydrodynamic conditions that the lake hydrodynamic force gradually increases and the river hydrodynamic force gradually weakens. The sandy debris flow deposits at the front of the delta mainly show the unique hydrodynamic background in which traction current and gravity flow coexist.
- The grain size probability curve patterns of shallow water delta and sandy debris flow deposits are similar, but there are obvious differences in suspended component content and sediment sorting. Due to the effects of lake water conditions, shallow-water delta deposits generally have a certain content of transitional components, with good overall sorting and low content of suspended components. However, due to the gravity effect, the sandy debris flow deposits show the characteristics of generally high content of suspended components and generally biased sediment sorting.
- In the process of sedimentary facies research, the use of grain size probability curves can effectively identify the types of sedimentary facies and reduce the uncertainty of sedimentary facies identification.
Author Contributions
Funding
Informed Consent Statement
Acknowledgments
Conflicts of Interest
References
- Sun, J.; Xue, J.J.; Hou, F.G.; Wu, A.C.; Song, M.X.; Zhu, F. Sedimentary characteristics and model of sandy debris current in depression area of lacustrine basin: A case study of the Jurassic Sangonghe formation in the western well Pen-1 sag, Junggar basin. J. China Univ. Min. Technol. 2019, 48, 858–869. [Google Scholar]
- Hou, F.G.; Xu, Y.; Sun, J.; Wang, L.H.; Song, M.X.; Guo, H.J.; Li, Y.Z.; Chen, Y. Sedimentary model from delta front to deep water area and its significance: A case study of the first sand group of Member 2 of Sangonghe Formation in the Well Pen-1 West sag, Junggar Basin. Acta Pet. Sin. 2019, 40, 1223–1232. [Google Scholar]
- Fei, L.Y.; Wang, S.L.; Wu, T.; Wang, F.; Yu, C.H.; Li, Y.G.; Feng, C. Control of slope break zone on sandy debris current deposition: A case study of Jurassic Sangonghe Formation in west sag of Well Pen-1 and its periphery in Junggar Basin. Pet. Geol. Recover. Effic. 2020, 27, 26–34. [Google Scholar]
- Xu, G.H.; Shi, H.G.; Ren, X.C.; Deng, X.B. Characteristics of hydrocarbon accumulation and its controlling factors in Jurassic Sangonghe Formation in the east slope of Well Pen-1 Western Depression in Junggar Basin. Sci. Technol. Eng. 2015, 15, 23–28. [Google Scholar]
- Zheng, S. Sedimentary pattern of the Shallow-water delta in the Sangonghe Formation of cengtral Junggar Basin and its significance for hydrocarbon exploration. Spec. Oil Gas Reserv. 2019, 26, 87–93. [Google Scholar]
- Fei, L.Y.; Wang, S.L.; Su, C.; Liu, Y.; Liu, L.; Jiang, Z.Q.; Yang, M.Y.; Li, Y.G.; Peng, H.J. A research on the condition of the reservoir formation and the rule of Oil and gas accumulation of Sangonghe Formation in slope belt of Pen 1 Well West Sag. Nat. Gas Geosci. 2022, 33, 708–719. [Google Scholar]
- Zhang, X.N.; Zhang, H.C.; Chang, F.Q.; Xie, P.; Li, H.Y.; Wu, H.; Ouyang, C.T.; Liu, F.W.; Peng, W.; Zhang, Y.; et al. Long-range transport of aeolian deposits during the last 32 kyr inferred from rare earth elements and grain-size analysis of sediments from Lake Lugu, Southwestern China. Palaeogeogr. Palaeoclimatol. Palaeoecol. 2021, 567, 110248. [Google Scholar] [CrossRef]
- Ashraf, U.; Zhang, H.C.; Anees, A.; Mangi, H.N.; Ali, M.; Zhang, X.N.; Imraz, M.; Abbasi, A.S.; Abbas, A.; Ullah, Z.; et al. A Core Logging, Machine Learning and Geostatistical Modeling Interactive Approach for Subsurface Imaging of Lenticular Geobodies in a Clastic Depositional System, SE Pakistan. Nat. Resour. Res. 2021, 30, 2807–2830. [Google Scholar] [CrossRef]
- Zhang, X.N.; Zhang, H.C.; Chang, F.Q.; Ashraf, U.; Peng, W.; Wu, H.; Liu, Q.; Liu, F.W.; Zhang, Y.; Duan, L.Z. Application of Corrected Methods for High-Resolution XRF Core Scanning Elements in Lake Sediments. Appl. Sci. 2020, 10, 8012. [Google Scholar] [CrossRef]
- Zhang, X.N.; Zhang, H.C.; Chang, F.Q.; Xie, P.; Li, H.Y.; Wu, H.; Ouyang, C.T.; Liu, F.W.; Peng, W.; Zhang, Y.; et al. Sedimentary grain-size record of Holocene runoff fluctuations in the Lake Lugu watershed, SE Tibetan Plateau. Holocene 2020, 20, 346–355. [Google Scholar] [CrossRef]
- Wang, Z.K.; Li, Y.Z.; Cao, Y.C.; Wang, Y.Z.; Yang, T.; Zhao, B. Probability cumulative grain-size distribution curves and their implications for sedimentary environment identification of coarse clastic rocks of the Es3 in Yongbei area, the Dongying Sag, Bohai Bay Basin. Oil Gas Geol. 2017, 38, 230–240. [Google Scholar]
- Yuan, J.; Du, Y.M.; Li, Y.N. Probability cumulative grain size curves in terrigenous depositional environments of the Paleogene in Huiming Sag. Pet. Explor. Dev. 2003, 30, 103–106. [Google Scholar]
- Han, Z.Z.; Liu, F.W.; Gao, L.H.; Xia, D.; Han, M.; Li, H. Sandy debris-current sedimentary characteristics of middle-Es3 in Linbei Step-fault zone of Huimin depression. J. Shandong Univ. Sci. Technol. 2016, 35, 1–7. [Google Scholar]
- Li, Z.Y.; Xu, Y.Z.; Deng, J.; Li, Z.M.; Zhang, J.W.; Li, Y.Y. Microscale sedimentary characteristics and distinguishing methods for deep-vater sandy debris current and turbidity current in continental lakes: A case study of seventh member of Yanchang Formation, Ordos Basin. Pet. Geol. Exp. 2021, 43, 415–423. [Google Scholar]
- Lou, H. Research on the Sandy Debris-Current Sedimentary Characteristics of the Paleogene in the South of Nanpu Sag. Master’s Thesis, Northeast Petroleum University, Daqing, China, 2015. [Google Scholar]
- Lu, B.; Zhang, J.; Li, T.; Lu, M.A. Analysis of tectonic framework in Junggar basin. Xinjiang Pet. Geol. 2008, 29, 283–289. [Google Scholar]
- Yuan, W.F.; Chen, S.Y.; Zeng, C.M.; Yan, J.H. Probability cumulative grain size curves in terrigenous of the Tertiary in west Qaidam Basin. J. Univ. Pet. China 2005, 29, 12–18. [Google Scholar]
- Yang, F.; Zou, N.N.; Shi, J.A.; Long, G.H.; Jiang, H.; Liu, S.Q.; Du, Z.M.; Xu, Y.; Li, Y.F. Probability cumulative grain size curves in the paleogene clastic sediments and environmental significance in maxian region of northern Qaidam basin. Nat. Gas Geosci. 2013, 24, 690–700. [Google Scholar]
- Ashraf, U.; Zhu, P.M.; Yasin, Q.; Anees, A.; Imraz, M.; Mangi, H.N.; Shakeel, S. Classification of reservoir facies using well log and 3D seismic attributes for prospect evaluation and field development: A case study of Sawan gas field, Pakistan. J. Pet. Sci. Eng. 2019, 175, 338–351. [Google Scholar] [CrossRef]
- Anees, A.; Zhang, H.C.; Ashraf, U.; Wang, R.; Liu, K.; Yasin, Q.; Anees, A.; Abbas, A.; Ullah, Z.; Zhang, X.N.; et al. Sedimentary Facies Controls for Reservoir Quality Prediction of Lower Shihezi Member-1 of the Hangjinqi Area, Ordos Basin. Minerals 2022, 12, 126. [Google Scholar] [CrossRef]
- Jin, J.H.; Cao, Y.C.; Wang, J.; Yang, T.; Zhou, L. Deep-water sandy debris current deposits: Concepts, sedimentary processes and characteristics. Geol. Rev. 2019, 65, 689–702. [Google Scholar]
- Yang, K.; Zhu, X.M.; Liu, Y.; Liu, X.Z.; Guo, F. Key signatures of turbidite and sandy debris and core examples in Liaohe Basin. J. Palaeogeogr. 2020, 22, 483–492. [Google Scholar]
- Anees, A.; Zhang, H.C.; Ashraf, U.; Wang, R.; Liu, K.; Mangi, N.; Jiang, R.; Zhang, X.N.; Liu, Q.; Tan, A.C.; et al. Identification of favorable zones of gas Accumulation via fault distribution and sedimentary facies: Insights from Hangjinqi Area, Northern Ordos Basin. Front. Earth Sci. 2022, 9, 822670. [Google Scholar] [CrossRef]
- Lou, Z.H.; Lan, X.; Lu, Q.M.; Cai, X.Y. Control of the topography, climate and lake level fluctuation on the depositional environment of a shallow-water delta: A case study of the Cretaceous Putaohua reservoir in the northern part of Songliao basin. Acta Geol. Sin. 1999, 73, 83–92. [Google Scholar]
- Li, Y.H.; Liu, C.Y.; Du, Y.G.; Wang, X.J.; Huang, J.X. Sedimentary characteristics of shallow water delta and lake shoreline control on sand bodies of Chang8 oil-bearing interval of the Upper Triassic Yanchang Formation in northwestern Ordos Basin. J. Palaeogeogr. 2009, 11, 265–274. [Google Scholar]
- Wu, X.H.; Lv, X.X.; Zhou, X.H.; Zhang, J.; Shi, C.E. Depositional characteristics and hydrocarbon exploration significance of shallow deltas in the Yellow River Mouth Sag. Oil Gas Geol. 2010, 31, 165–172. [Google Scholar]








| Hydrodynamic Type | Sedimentary Facies | Grain Size Probability Curve Characteristics | Frequency Histogram Dominant Grain Size | |||||||
|---|---|---|---|---|---|---|---|---|---|---|
| Curve Patterns | Content/% | Slope/° | ||||||||
| Bouncing Component | Transitional Components | Suspended Components | Bouncing Component | Transitional Components | Suspended Components | |||||
| Tractive current | 1. Shallow-water delta inner front | (1) Subaqueous distributary channel microfacies | (1) tri-segments | 76 | - | 22 | 58 | - | 24 | 1.4~1.8 φ |
| (2) one bouncing segment-one suspension segment-one complex transitional zone | 51~57 | 34~40 | 6~12 | 58~63 | - | 14~19 | 0.8~1.4 φ | |||
| 2. Shallow-water delta outer front | (1) Subaqueous distributary channel microfacies | (1) bi-segments | 88~96 | - | 4~12 | 61~62 | - | 9 | 0.8~1.4 φ | |
| (2) one bouncing segment-one suspension segment-one transitional zone | 72~79 | 17~20 | 4~11 | 58~64 | 30~35 | 10~14 | 1.6~2.4 φ | |||
| (2) Estuary bar microfacies | (1) bi-bouncing segments-one suspension segment-one transitional zone | 76 | 19 | 9 | 67-up | 37 | 13 | 1.0~1.2 φ | ||
| 58-down | ||||||||||
| (2) one bouncing segment-one suspension segment-one transitional zone | 72~74 | 18~19 | 6~8 | 60~67 | 35~37 | 12~13 | 0.8~1.4 φ | |||
| Sandy debris flow | 3. Sandy debris flow | (1) Lower microfacies | (1) one bouncing segment-one suspension segment-one arc transitional zone | 56~64 | 16~22 | 16~22 | 55~60 | - | 15~18 | 1.4~2.8 φ |
| (2) Upper microfacies | (1) one bouncing segment-one suspension segment-one transitional zone | 52~62 | 18~23 | 16~25 | 56~60 | 30~41 | 16~20 | 2.0~3.4 φ | ||
Publisher’s Note: MDPI stays neutral with regard to jurisdictional claims in published maps and institutional affiliations. |
© 2022 by the authors. Licensee MDPI, Basel, Switzerland. This article is an open access article distributed under the terms and conditions of the Creative Commons Attribution (CC BY) license (https://creativecommons.org/licenses/by/4.0/).
Share and Cite
Guo, Q.; Tan, J.; Li, D.; Lan, H.; Qiu, P.; Xu, T.; Sun, T.; Yin, W. Grain Size Curve Characteristics of 2nd Member of Sangonghe Formation in Qianshao Area and Its Indicative Significance of Hydrodynamic Environment. Appl. Sci. 2022, 12, 9852. https://doi.org/10.3390/app12199852
Guo Q, Tan J, Li D, Lan H, Qiu P, Xu T, Sun T, Yin W. Grain Size Curve Characteristics of 2nd Member of Sangonghe Formation in Qianshao Area and Its Indicative Significance of Hydrodynamic Environment. Applied Sciences. 2022; 12(19):9852. https://doi.org/10.3390/app12199852
Chicago/Turabian StyleGuo, Qiaozhen, Jinmiao Tan, Daoqing Li, Hao Lan, Peng Qiu, Tao Xu, Tingbin Sun, and Wen Yin. 2022. "Grain Size Curve Characteristics of 2nd Member of Sangonghe Formation in Qianshao Area and Its Indicative Significance of Hydrodynamic Environment" Applied Sciences 12, no. 19: 9852. https://doi.org/10.3390/app12199852
APA StyleGuo, Q., Tan, J., Li, D., Lan, H., Qiu, P., Xu, T., Sun, T., & Yin, W. (2022). Grain Size Curve Characteristics of 2nd Member of Sangonghe Formation in Qianshao Area and Its Indicative Significance of Hydrodynamic Environment. Applied Sciences, 12(19), 9852. https://doi.org/10.3390/app12199852

