Next Article in Journal
The Efficacy, Phytotoxicity, and Safety of Liquid Ethyl Formate Used to Control the Grape (Campbell Early) Quarantine Pest Pseudococcus comstocki
Previous Article in Journal
Characterization of Tissue Equivalent Materials Using 3D Printing for Patient-Specific DQA in Radiation Therapy
 
 
Font Type:
Arial Georgia Verdana
Font Size:
Aa Aa Aa
Line Spacing:
Column Width:
Background:
Article

Effect of Temperature on the Modal Variability in Short-Span Concrete Bridges

Structural Engineering Research Institute, Korea Institute of Civil Engineering and Building Technology, 283, Goyandae-ro, Ilsanseo-gu, Goyang-si 10223, Korea
*
Author to whom correspondence should be addressed.
Appl. Sci. 2022, 12(19), 9757; https://doi.org/10.3390/app12199757
Submission received: 18 August 2022 / Revised: 22 September 2022 / Accepted: 24 September 2022 / Published: 28 September 2022
(This article belongs to the Section Civil Engineering)

Abstract

:
The dynamic characteristics of bridges are known to be affected by damages as well as by environmental factors such as temperature. Therefore, the changes in the dynamic characteristics caused by damages and environmental factors should be considered when evaluating the health of the structure. Accordingly, this study conducted long-term monitoring and modal identification of short-span concrete bridges, i.e., a RC (reinforced concrete) slab bridge a RC rahmen (rigid-frame) bridge. The investigation revealed that temperature is the factor having the greatest influence on the variability of the dynamic characteristics as the natural frequencies of the bridge decrease with higher temperatures. Model updating verified that such modal change resulted from the temperature dependency of the elastic modulus of concrete. The RC slab bridge showed higher temperature dependency than the RC rahmen bridge owing to the presence of elastomeric bearings. Apart from the effect of temperature, non-negligible modal changes caused by other environmental factors were also identified. The results of this study are expected to provide valuable data for the health evaluation of bridges.

1. Introduction

The dynamic characteristics of a structure can be obtained through modal identification in the presence of dynamic data measurements such as acceleration responses. Modal identification methods can be classified into EMA (experimental modal analysis) and OMA (operational modal analysis) according to the type of input. Unlike EMA that requires known force input, OMA relies on a random process without the need of any test setting, which makes it easily applicable and adapted for long-term monitoring of bridges in operation. Among the OMA methods, there are the frequency domain decomposition [1], the Bayesian spectral density approach [2], the eigensystem realization algorithm [3], the subspace identification method [4], and the Bayesian time-domain approach [5].
The dynamic characteristics such as natural frequency, damping ratio, and mode shape obtained from such modal identification methods can be utilized for evaluating the health of the structure. The occurrence of damage in a structure can be assessed when the dynamic characteristics deviate from a definite range or exceed a specific threshold. These dynamic characteristics are known to be affected not only by damages but also by environmental factors such as temperature. Accordingly, the changes in the dynamic characteristics caused by environmental factors shall be considered when setting the thresholds for the assessment of the conditions of the structure. Specifically, temperature must imperatively be accounted for because it has the greatest effect on the variability of the long-term dynamic characteristics of the structure.
Numerous studies have been dedicated to the analysis of the effects of environmental factors as well as their extent on the dynamic characteristics. Li, et al. [6] analyzed the temperature and wind effects on cable-stayed bridges and reported their significant influence on the natural frequencies and damping ratio. Laory, et al. [7] revealed that temperature together with traffic loading were important external factors affecting the natural frequencies of suspension bridges. Relations between temperature and the natural frequencies were proposed by Liu and DeWolf [8] for curved bridges with box sections and by Sohn, et al. [9] for steel girder bridges supporting concrete decks.
However, the lack of research on short-span bridges shorter than 15 m is noteworthy since these previous studies focused on medium-span bridges or special bridges such as long-span bridges. This study intends to evaluate the extent of the effect of environmental factors such as temperature on the dynamic behavior of short-span bridges, especially the natural frequency. To that goal, one RC slab bridge and one RC rahmen (rigid-frame) bridge are selected to examine the difference in their behaviors according to the bridge type. Modal identification is performed on the data measured in the operating bridges to obtain their natural frequencies with respect to temperature. Regression analysis and PCA (principal component analysis) are carried out to assess the changing patterns of the natural frequencies according to temperature changes, and to investigate the main factors influencing the temperature dependency of the bridges. In addition, the distribution pattern of the natural frequencies excluding the effect of temperature is analyzed to provide basic data for assessing the eventual occurrence of damages in the bridges.

2. Materials and Methods

Two bridges currently in operation were monitored during 7 months through installed accelerometers and thermometers to evaluate the variation pattern of their natural frequencies according to environmental factors such as temperature. The monitored bridges are Seolmun Bridge, a RC (reinforced concrete) slab bridge, and Gajwa Bridge, a RC rahmen bridge. Two different bridge types were chosen to make it possible to assess the extent of the effect of temperature with regard to the bridge type. Figure 1 and Figure 2 show views of Seolmun Bridge and Gajwa Bridge, respectively. Both bridges are 3-span continuous with a length of about 15 m. Gajwa Bridge is straight with a width approximately twice that of Seolmun Bridge, which is skewed.
Figure 3 presents the overall shape and sensor layout of Seolmun Bridge. Each support is equipped by 5 elastomeric bearings. Accelerometers were installed to measure vertical acceleration at the ends and at the center in the width direction at the center of each span. Thermometers were also installed in the center of the first and third spans. Figure 4 shows the overall shape and sensor layout of Gajwa Bridge. The sensor layout is identical to that of Seolmun Bridge.
The accelerometers and thermometers were disposed in protective boxes as shown in Figure 5 to secure safe long-term monitoring. Electric power was supplied to the sensors by means of solar panels and batteries. Measurement started at completion of the installation of the sensors on September 14, 2021 in Seolmun Bridge and two days later, on September 16, 2021 in Gajwa Bridge. The sampling rate was 100 Hz for the accelerometers and 1 Hz for the thermometers.
Figure 6 plots the acceleration responses measured during a short period in both bridges. The acceleration responses measured in Seolmun Bridge, the RC slab bridge, appear to be larger than those measured in Gajwa Bridge, the RC rahmen bridge. This difference in the amplitude can be attributed to the difference in the bridge types as well as to the fact that Seolmun Bridge has a thinner slab and shorter width than Gajwa Bridge. Moreover, the faster reduction in the acceleration response in Gajwa Bridge reveals that the RC rahmen bridge has a higher damping ratio.

3. Results

3.1. Modal Identification

FDD (frequency domain decomposition) [1] was applied in the modal identification for obtaining the dynamic characteristics from the monitored data. FDD offers the advantages of being relatively simpler and enabling faster calculation than other modal identification methods. Unlike the eigensystem realization algorithm or the subspace identification, FDD provides a damped natural frequency.
The data measured during approximately 7 months from the completion of the installation of the sensors in mid-September to the end of April 2022 were utilized. Modal identification was performed for the data measured during 1 hour from 8:00 am to 9:00 am when traffic was relatively heavier. Traffic was not controlled during the measurements. In Figure 7, showing examples of modal identification by FDD, each curve exhibits singular values of the power spectral density matrix generated during the FDD process. The modal responses of Seolmun Bridge, the RC slab bridge, can be clearly distinguished and are larger than those of Gajwa Bridge, the RC rahmen bridge. Moreover, the modal responses of Gajwa Bridge are small and some of them are difficult to distinguish.

3.2. Analysis of the Effect of Temperature

Figure 8 plots the natural frequencies obtained through modal identification together with the temperature according to date. The indicated temperatures are the hourly averages. Some data are missing because measurement could not be made due to the interruption of power supply by the solar panels and auxiliary batteries in winter. The measured temperatures were low around January 2022 and showed similarly high values in April 2022. The lowest temperature was about −7 °C, and the highest one approached 23 °C. The identified modes exhibited a pattern where the natural frequencies decreased with higher temperatures.
Figure 9 plots the identified modes with respect to the temperature in order to examine clearly the effect of temperature on the modes. The tendency of the natural frequencies to decrease with increasing temperatures can be clearly distinguished. The modes of the data measured in 2021 are indicated by ∙, and those of the data measured in 2022 are indicated by x. The modes of 2021 and 2022 exhibit similar frequencies at identical temperatures. Consequently, it can be concluded that the two bridges did not suffer particular damage during the measurement period. The changes in the natural frequencies of each mode can thus be attributed to environmental factors such as temperature rather than to the occurrence of damage in the bridges.
The plain lines in Figure 9 are the regression lines for the natural frequencies of each mode in relation with the temperature. The regression lines for the modes of Seolmun Bridge and Gajwa Bridge are expressed in Equations (1) and (2), respectively.
f ¯ 1 = 0.0061   T + 6.0458 f ¯ 2 = 0.0154   T + 7.9797 f ¯ 3 = 0.0180   T + 9.6538 f ¯ 4 = 0.0290   T + 11.7438
f ¯ 1 = 0.0057   T + 8.3631 f ¯ 2 = 0.0106   T + 10.3632 f ¯ 3 = 0.0229   T + 12.5218 f ¯ 4 = 0.0106   T + 14.6219
where f ¯ i is the natural frequency of the i -th temperature-dependent mode (in Hz); and T is the temperature (in °C). It appears that the natural frequency decreases at a rate of –0.0290 to –0.0057 Hz/°C with increasing temperature. Comparing the two bridge types reveals that the RC slab bridge has higher temperature dependency than the RC rahmen bridge.

4. Discussion

The temperature, humidity and size of loading influence the modal variability of the bridge [7] but are irrelevant to the change of the bridge itself. Therefore, from a structural health monitoring point of view, the modal variability needs to be detailed. Accordingly, this study examines the effect of environmental factors on the modal variability as factors unrelated with the change of the bridge itself.

4.1. Analysis of Modes Considering Temperature Dependency

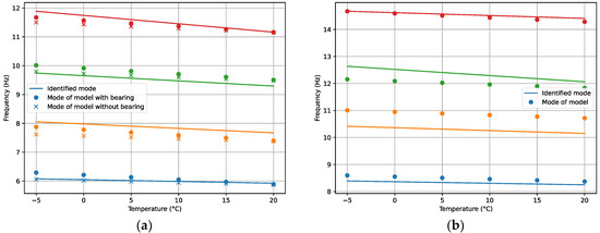
PCA (principal component analysis) was carried out to assess the effect of temperature as a major factor influencing the modal variability. Figure 10 plots the regression lines together with the first principal component of PCA. Apart from the fourth mode of Seolmun Bridge and the third and fourth modes of Gajwa Bridge, the regression lines and the first principal components of PCA show similar patterns. This indicates that temperature is a major factor in the modal variability.
Based upon such observations, it is now of interest to find the reason why temperature causes the changes in the natural frequencies to occur in the two bridge types. There is certainly the temperature-induced variation of the elastic modulus of concrete as the main material in both bridges. According to Jiao, et al. [10], the elastic modulus of concrete with compressive strength of 40 MPa decreases by 0.125 GPa whenever the temperature increases by 1 °C. In other words, the elastic modulus of concrete decreases as much as the temperature increases, which in turn results in the decrease in the natural frequency. Apart from such temperature dependency of the material, the elastomeric bearings of the RC slab bridge also exhibit temperature dependency. Elastomeric bearings are made of rubber and steel plates in which rubber shows loss of its elastic modulus as much as the temperature increases. This also causes the natural frequency of the bridge to decrease with higher temperatures.
It follows that the temperature dependency of the RC rahmen bridge is mainly attributable to the change in the elastic modulus of concrete whereas that of the RC slab bridge can be attributed additionally to the change in the elastic modulus of the elastomeric bearings. Equations (1) and (2) express the greater changing rate of the natural frequency with respect to the temperature for the RC slab bridge that can now be understood as the effect of the elastomeric bearings. However, the difference in the temperature dependency appears to not be significant when comparing with the RC rahmen bridge that has no bearings. Accordingly, the effect of the elastomeric bearing on the variation of the natural frequency can be regarded as being relatively lesser than the effect of the elastic modulus of concrete.
Model updating [11] was conducted to verify that the temperature dependency of the elastic modulus of concrete is the main factor influencing the temperature dependency of bridge modes. Figure 11 presents the FE (finite element) models of Seolmun Bridge and Gajwa Bridge. The concrete structures are modeled by four-node shell elements. The size of shell element is determined to be 0.5 × 0.5 m through the mesh convergence test. For Gajwa Bridge, the fixed boundary condition is imposed on the bottom of the pier. The elastomeric bearings of Seolmun Bridge are modeled by boundary conditions in the vertical direction and springs for rotation.
Model updating was performed first for Gajwa Bridge, the RC rahmen bridge without bearings, to identify the elastic modulus of the concrete members per temperature. Figure 12a plots the variation of the elastic modulus of concrete. The elastic modulus is seen to vary from 26.61 GPa to 25.22 GPa when the temperature changes from −5 °C to 20 °C. Even if Seolmun Bridge was designed with the same compressive strength as Gajwa Bridge, the damage conditions of both bridges were likely to be different at the time of monitoring. Rather than having the same elastic modulus, Seolmun Bridge and Gajwa Bridge shall be assumed to have the same variation range of the elastic modulus for the same variation range of the temperature. Following, model updating was performed for the rotational stiffness of the elastomeric bearing by maintaining the variation range of the elastic modulus of concrete for Seolmun Bridge identical to that of Gajwa Bridge. In view of Figure 12a, Seolmun Bridge has a lower elastic modulus than Gajwa Bridge, which indicates that Seolmun Bridge has suffered more damage. In Figure 12b showing the change in the rotational stiffness of the elastomeric bearings, the rotational stiffness is seen to decrease with higher temperatures.
Figure 13 compares the temperature-dependent modes identified from the measured data with the modes of the updated models. In the case of Gajwa Bridge for which model updating was conducted by varying the elastic modulus of concrete only, relatively good agreement between the measured modes and the model modes is observed for the first and fourth modes. However, disagreement occurs for the second and third modes. Such disagreement can be related to the compatibility of the FE model as well as to the accuracy of the modal identification. However, the consistency of the extent of the change in the natural frequencies related to the temperature change proves that the variation of the elastic modulus of concrete in the rahmen bridge is one main factor influencing the temperature dependency of the bridge modes.
Figure 13a compares the modes for Seolmun Bridge. Compared to the model without elastomeric bearings, the model reflecting the variations of both elastic modulus of concrete and rotational stiffness of the elastomeric bearings provides better agreement with the measured modes. However, the absence of significant difference between the two models proves once again that the variation of the elastic modulus of concrete is one main factor influencing the temperature dependency of the bridge modes.

4.2. Analysis of Modes Removed of Temperature Effect

Our analysis now examines the modal variability caused by other environmental factors influencing the modes of a bridge apart from temperature. The modes removed of the effect of temperature can be obtained by excluding the temperature-dependent modes from the identified ones. However, these so-obtained modes correspond to residuals with an average value of 0. Therefore, the temperature-independent modes are obtained by summing up the averages for each mode.
f ˜ i = f i f ¯ i + μ i
where f i and f ˜ i are the i th natural frequency and the natural frequency of the temperature-independent mode; and, μ i is the average of the i th natural frequencies.
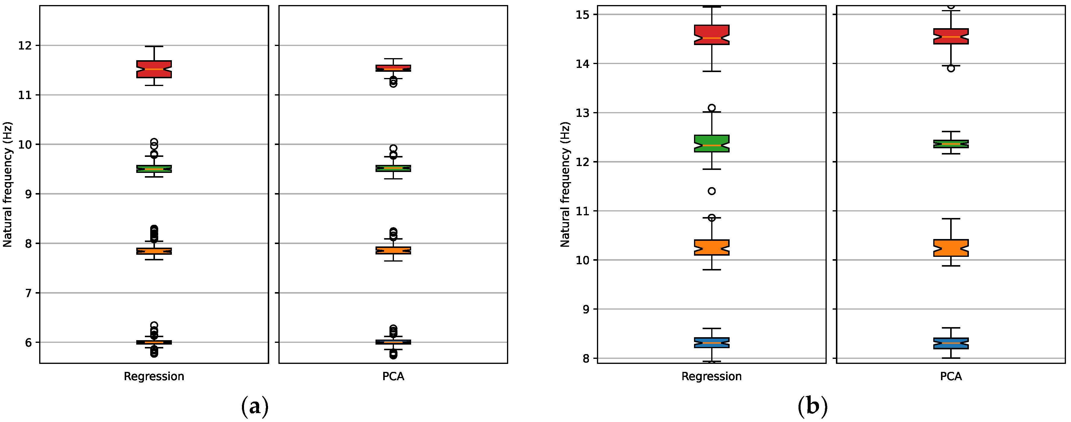
Table 1 arranges the average and standard deviation of the modes other than temperature effect. Figure 14 shows these values in boxplot. The average of the standard deviation by regression analysis is 0.134 Hz for Seolmun Bridge and 0.233 Hz for Gajwa Bridge. These values represent the extent of the variation of the modes even in absence of change such as damage in the bridge and reveal that the extent of the variation is not negligible. As compared with the Seolmun Bridge, the Gajwa Bridge has a larger width and stiffness, so that the mode variability is greater for vehicle load variation. When the temperature-dependent modes were removed by PCA, the amplitude of the standard deviation decreased compared to the regression analysis but the pattern remained almost unchanged. Accordingly, the evaluation of the health of the bridge relying on the variability of its dynamic properties shall consider the possibility that the identified modes may vary even in absence of damage in the structure.

5. Conclusions

The variation patterns of the dynamic characteristics of two short-span concrete bridges in operation were examined through long-term monitoring. The two considered bridges, one RC slab bridge and one RC rahmen bridge, did not experience any additional damage during the monitoring period but showed variation of their dynamic characteristics due to environmental factors. The increase in temperature, as the factor having the largest influence on the variation of the dynamic characteristics, resulted in lower natural frequencies. Model updating revealed that the main factor influencing the temperature dependency of the bridges’ modes was the temperature dependency of the elastic modulus of concrete. The RC slab bridge exhibited higher overall temperature dependency than the RC rahmen bridge because of the presence of elastomeric bearings. The dynamic characteristics of the bridges also varied under the effect of environmental factors other than temperature and the corresponding extent of variation was found to be non-negligible. Consequently, the health evaluation of an operating bridge based upon modal identification shall consider the modal variability caused by environmental factors.

Author Contributions

Conceptualization, K.C. and J.-R.C.; methodology, K.C.; software, K.C. and J.-R.C.; validation, K.C.; formal analysis, K.C.; investigation, K.C.; resources, K.C.; data curation, K.C.; writing—original draft preparation, K.C.; writing—review and editing, J.-R.C.; visualization, K.C.; supervision, K.C.; project administration, K.C.; funding acquisition, K.C. All authors have read and agreed to the published version of the manuscript.

Funding

This research was funded by the Ministry of Science and ICT, grant number KICT Research Program (project no. 20220217-001, Development of DNA-based smart maintenance platform and application technologies for aging bridges).

Institutional Review Board Statement

Not applicable.

Informed Consent Statement

Not applicable.

Data Availability Statement

Not applicable.

Acknowledgments

Research for this paper was carried out under the KICT Research Program (project no. 20220217-001, Development of DNA-based smart maintenance platform and application technologies for aging bridges) funded by the Ministry of Science and ICT.

Conflicts of Interest

The authors declare no conflict of interest.

References

  1. Brincker, R.; Zhang, L.; Andersen, P. Modal identification from ambient responses using frequency domain decomposition. In Proceedings of the 18th International Modal Analysis Conference (IMAC), San Antonio, TA, USA, 7–10 February 2000; pp. 625–630. [Google Scholar]
  2. Katafygiotis, L.S.; Yuen, K.-V. Bayesian spectral density approach for modal updating using ambient data. Earthq. Eng. Struct. Dyn. 2001, 30, 1103–1123. [Google Scholar] [CrossRef]
  3. Juang, J.-N.; Pappa, R.S. An eigensystem realization algorithm for modal parameter identification and model reduction. J. Guid. Control Dyn. 1985, 8, 620–627. [Google Scholar] [CrossRef]
  4. Van Overschee, P.; De Moor, B. A unifying theorem for three subspace system identification algorithms. Automatica 1995, 31, 1853–1864. [Google Scholar] [CrossRef]
  5. Yuen, K.-V.; Katafygiotis, L.S. Bayesian time–domain approach for modal updating using ambient data. Probabilist. Eng. Mech. 2001, 16, 219–231. [Google Scholar] [CrossRef]
  6. Li, H.; Li, S.; Ou, J.; Li, H. Modal identification of bridges under varying environmental conditions: Temperature and wind effects. Struct. Control Health Monit. 2010, 17, 495–512. [Google Scholar] [CrossRef]
  7. Laory, I.; Trinh, T.N.; Smith, I.F.C.; Brownjohn, J.M.W. Methodologies for predicting natural frequency variation of a suspension bridge. Eng. Struct. 2014, 80, 211–221. [Google Scholar] [CrossRef]
  8. Liu, C.; DeWolf, J.T. Effect of temperature on modal variability of a curved concrete bridge under ambient loads. J. Struct. Eng. 2007, 133, 1742–1751. [Google Scholar] [CrossRef]
  9. Sohn, H.; Dzwonczyk, M.; Straser, E.G.; Kiremidjian, A.S.; Law, K.H.; Meng, T. An experimental study of temperature effect on modal parameters of the Alamosa Canyon Bridge. Earthq. Eng. Struct. Dyn. 1999, 28, 879–897. [Google Scholar] [CrossRef]
  10. Jiao, Y.; Liu, H.; Wang, X.; Zhang, Y.; Luo, G.; Gong, Y. Temperature Effect on Mechanical Properties and Damage Identification of Concrete Structure. Adv. Mater. Sci. Eng. 2014, 2014, 191360. [Google Scholar] [CrossRef]
  11. Mottershead, J.E.; Link, M.; Friswell, M.I. The sensitivity method in finite element model updating: A tutorial. Mech. Syst. Signal Process. 2011, 25, 2275–2296. [Google Scholar] [CrossRef]
Figure 1. Seolmun Bridge (RC slab bridge).
Figure 1. Seolmun Bridge (RC slab bridge).
Applsci 12 09757 g001
Figure 2. Gajwa Bridge (RC rahmen bridge).
Figure 2. Gajwa Bridge (RC rahmen bridge).
Applsci 12 09757 g002
Figure 3. Shape and sensor layout of Seolmun Bridge.
Figure 3. Shape and sensor layout of Seolmun Bridge.
Applsci 12 09757 g003
Figure 4. Shape and sensor layout of Gajwa Bridge.
Figure 4. Shape and sensor layout of Gajwa Bridge.
Applsci 12 09757 g004
Figure 5. Accelerometers: (a) installation on site; (b) shape of sensor.
Figure 5. Accelerometers: (a) installation on site; (b) shape of sensor.
Applsci 12 09757 g005
Figure 6. Data measured by accelerometers: (a) Seolmun Bridge; (b) Gajwa Bridge.
Figure 6. Data measured by accelerometers: (a) Seolmun Bridge; (b) Gajwa Bridge.
Applsci 12 09757 g006
Figure 7. Modal identification by FDD: (a) Seolmun Bridge; (b) Gajwa Bridge.
Figure 7. Modal identification by FDD: (a) Seolmun Bridge; (b) Gajwa Bridge.
Applsci 12 09757 g007
Figure 8. Daily variation patterns of natural frequencies: (a) Seolmun Bridge; (b) Gajwa Bridge.
Figure 8. Daily variation patterns of natural frequencies: (a) Seolmun Bridge; (b) Gajwa Bridge.
Applsci 12 09757 g008
Figure 9. Variation patterns of natural frequencies according to temperature (2021 data indicated by dot(∙), 2022 data indicated by x): (a) Seolmun Bridge; (b) Gajwa Bridge.
Figure 9. Variation patterns of natural frequencies according to temperature (2021 data indicated by dot(∙), 2022 data indicated by x): (a) Seolmun Bridge; (b) Gajwa Bridge.
Applsci 12 09757 g009
Figure 10. Temperature-dependent modes: (a) Seolmun Bridge; (b) Gajwa Bridge.
Figure 10. Temperature-dependent modes: (a) Seolmun Bridge; (b) Gajwa Bridge.
Applsci 12 09757 g010
Figure 11. FE models for model updating: (a) Seolmun Bridge; (b) Gajwa Bridge.
Figure 11. FE models for model updating: (a) Seolmun Bridge; (b) Gajwa Bridge.
Applsci 12 09757 g011
Figure 12. Parameters of updated models: (a) elastic modulus of concrete; (b) rotational rigidity of bearing.
Figure 12. Parameters of updated models: (a) elastic modulus of concrete; (b) rotational rigidity of bearing.
Applsci 12 09757 g012
Figure 13. Variation patterns of natural frequencies according to temperature in updated models: (a) Seolmun Bridge; (b) Gajwa Bridge.
Figure 13. Variation patterns of natural frequencies according to temperature in updated models: (a) Seolmun Bridge; (b) Gajwa Bridge.
Applsci 12 09757 g013
Figure 14. Modes other than the temperature effect: (a) Seolmun Bridge; (b) Gajwa Bridge.
Figure 14. Modes other than the temperature effect: (a) Seolmun Bridge; (b) Gajwa Bridge.
Applsci 12 09757 g014
Table 1. Modes other than the temperature effect (in Hz).
Table 1. Modes other than the temperature effect (in Hz).
Mode No.Seolmun BridgeGajwa Bridge
AverageStd. (reg.)Std. (PCA)AverageStd. (reg.)Std. (PCA)
16.0000.0860.0838.3010.1550.160
27.8640.1250.11210.2570.2250.236
39.5190.1190.10312.3640.2830.102
411.5260.2060.09014.5450.2690.252
Average 0.1340.097 0.2330.187
Publisher’s Note: MDPI stays neutral with regard to jurisdictional claims in published maps and institutional affiliations.

Share and Cite

MDPI and ACS Style

Cho, K.; Cho, J.-R. Effect of Temperature on the Modal Variability in Short-Span Concrete Bridges. Appl. Sci. 2022, 12, 9757. https://doi.org/10.3390/app12199757

AMA Style

Cho K, Cho J-R. Effect of Temperature on the Modal Variability in Short-Span Concrete Bridges. Applied Sciences. 2022; 12(19):9757. https://doi.org/10.3390/app12199757

Chicago/Turabian Style

Cho, Keunhee, and Jeong-Rae Cho. 2022. "Effect of Temperature on the Modal Variability in Short-Span Concrete Bridges" Applied Sciences 12, no. 19: 9757. https://doi.org/10.3390/app12199757

APA Style

Cho, K., & Cho, J.-R. (2022). Effect of Temperature on the Modal Variability in Short-Span Concrete Bridges. Applied Sciences, 12(19), 9757. https://doi.org/10.3390/app12199757

Note that from the first issue of 2016, this journal uses article numbers instead of page numbers. See further details here.

Article Metrics

Back to TopTop