In Silico Modeling Study of Curcumin Diffusion and Cellular Growth
Abstract
1. Introduction
2. Methodology
2.1. Fibroblast Culture Growth Model
- Cyclin D–CDK4-6 complex (cycD): GF directly activates the synthesis of cycD. The cyclin D–CDK4-6 complex initiates the cell cycle by promoting cell progression from the resting phase (G0) to the G1 phase.
- Transcription factor E2F (E2Fa) activates the synthesis of cyclin E–CDK2 and cyclin A–CDK2 complexes, and also actively participates in DNA synthesis.
- The cyclin E–CDK2 complex (cycE) strengthens the activation of E2F and allows G1–S transition.
- The cyclin A–CDK2 complex (cycA) degrades the cyclin E–CDK2 complex during the S phase. It also allows S–G2 transition by deactivating E2F and promoting cyclin B–CDK1 complex synthesis.
- The cyclin B–CDK1 complex (cycB) allows G2–M transition, controlling the start of mitosis (a cell divides into two daughter cells). It activates the Cdc20 protein via phosphorylation during mitosis.
- Cdc20 protein (cdc20a): The main actor in the model’s negative feedback promotes the degradation of cyclin A–CDK2 and cyclin B–CDK1 complexes. It allows the completion of the cell cycle, and another cell cycle occurs in the presence of GF.
2.2. Curcumin Diffusion Model
2.3. Integration of Fibroblast Proliferation and Curcumin Diffusion Models
3. Results and Discussion
3.1. Fibroblast Culture Growth Model
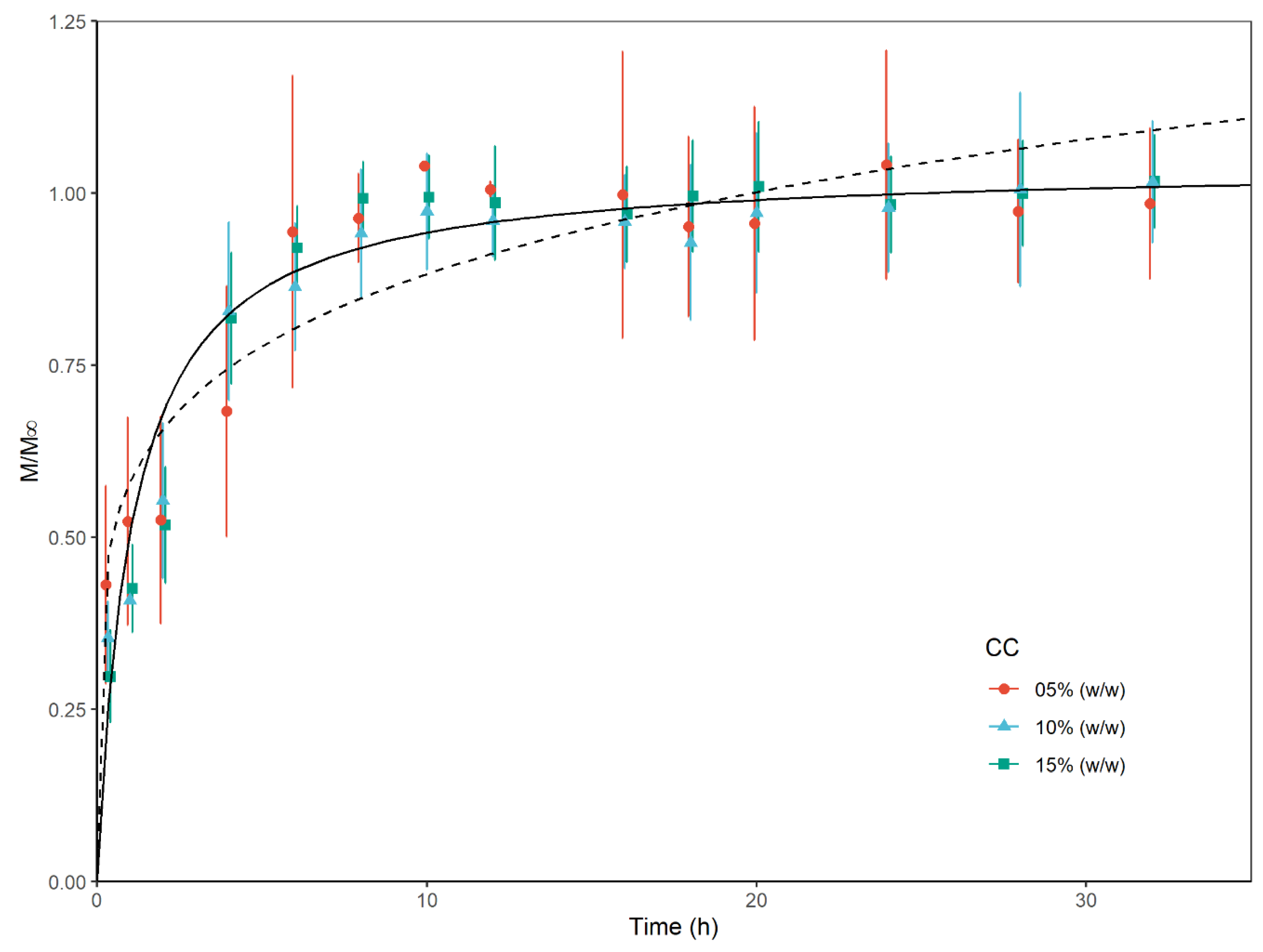
3.2. Curcumin Diffusion Model
3.3. Integration of Fibroblast Proliferation and Curcumin Diffusion Models
4. Conclusions
Author Contributions
Funding
Institutional Review Board Statement
Informed Consent Statement
Data Availability Statement
Conflicts of Interest
References
- Cardona Echeverry, A.H.; Uribe Yunda, D.F.; Cortés-Mancera, F.M. Actividad antitumoral de la curcumina asociada a la regulación de mecanismos epigenéticos: Implicaciones en la vía Wnt/-catenina. Rev. Cuba. Plantas Med. 2016, 21, 1–22. [Google Scholar]
- Akbik, D.; Ghadiri, M.; Chrzanowski, W.; Rohanizadeh, R. Curcumin as a wound healing agent. Life Sci. 2014, 116, 1–7. [Google Scholar] [CrossRef] [PubMed]
- Chittasupho, C.; Manthaisong, A.; Okonogi, S.; Tadtong, S.; Samee, W. Effects of Quercetin and Curcumin Combination on Antibacterial, Antioxidant, In Vitro Wound Healing and Migration of Human Dermal Fibroblast Cells. Int. J. Mol. Sci. 2022, 23, 142. [Google Scholar] [CrossRef]
- Paredes Salido, F.; Roca Fernández, J. Influencia de los radicales libres en el envejecimiento celular. Offarm Farm. y Soc. 2002, 21, 96–100. [Google Scholar]
- Pizzino, G.; Irrera, N.; Cucinotta, M.; Pallio, G.; Mannino, F.; Arcoraci, V.; Squadrito, F.; Altavilla, D.; Bitto, A. Oxidative Stress: Harms and Benefits for Human Health. Oxid. Med. Cell. Longev. 2017, 2017, 8416763. [Google Scholar] [CrossRef] [PubMed]
- Parihar, A.; Parihar, M.S.; Milner, S.; Bhat, S. Oxidative stress and anti-oxidative mobilization in burn injury. Burns 2008, 34, 6–17. [Google Scholar] [CrossRef]
- Jakubczyk, K.; Druzga, A.; Katarzyna, J.; Skonieczna-Zydecka, K. Antioxidant Potential of Curcumin-A Meta-Analysis of Randomized Clinical Trials. Antioxidants 2020, 9, 1092. [Google Scholar] [CrossRef]
- Sökmen, M.; Akram Khan, M. The antioxidant activity of some curcuminoids and chalcones. Inflammopharmacology 2016, 24, 81–86. [Google Scholar] [CrossRef]
- Menon, V.; Ram Sudheer, A. Antioxidant and anti-inflammatory properties of curcumin. Adv. Exp. Med. Biol. 2007, 595, 105–125. [Google Scholar] [CrossRef]
- Mehrabani, D.; Farjam, M.; Geramizadeh, B.; Tanideh, N.; Amini, M.; Panjehshahin, M.R. The healing effect of curcumin on burn wounds in rat. World J. Plast. Surg. 2015, 4, 29–35. [Google Scholar]
- Vollono, L.; Falconi, M.; Gaziano, R.; Iacovelli, F.; Dika, E.; Terracciano, C.; Bianchi, L.; Campione, E. Potential of Curcumin in Skin Disorders. Nutrients 2019, 11, 2169. [Google Scholar] [CrossRef]
- Sukumaran, S.K.; Vadakkekuttical, R.J.; Kanakath, H. Comparative evaluation of the effect of curcumin and chlorhexidine on human fibroblast viability and migration: An in vitro study. J. Indian Soc. Periodontol. 2020, 24, 109–116. [Google Scholar] [CrossRef] [PubMed]
- Lee, J.S.; Kim, J.; Lee, E.J.; Yoon, J.S. Therapeutic Effect of Curcumin, a Plant Polyphenol Extracted From Curcuma longae, in Fibroblasts From Patients With Graves’ Orbitopathy. Invest Ophthalmol Vis Sci. 2019, 60, 4129–4140. [Google Scholar] [CrossRef]
- Demirovic, D.; Rattan, S.I.S. Curcumin induces stress response and hormetically modulates wound healing ability of human skin fibroblasts undergoing aging in vitro. Biogerontology 2011, 12, 437–444. [Google Scholar] [CrossRef]
- Cianfruglia, L.; Minnelli, C.; Laudadio, E.; Scirè, A.; Armeni, T. Side Effects of Curcumin: Epigenetic and Antiproliferative Implications for Normal Dermal Fibroblast and Breast Cancer Cells. Antioxidants 2019, 8, 382. [Google Scholar] [CrossRef]
- Guimarães, M.R.; Manzoli Leite, F.R.; Spolidorio, L.C.; Kirkwood, K.L.; Rossa, C., Jr. Curcumin abrogates LPS-induced pro-inflammatory cytokines in RAW 264.7 macrophages. Evidence for novel mechanisms involving SOCS-1, -3 and p38 MAPK. Arch. Oral Biol. 2013, 58, 1309–1317. [Google Scholar] [CrossRef]
- Aguilar-Rabiela, A.E.; Hernández-Cooper, E.M.; Otero, J.A.; Vergara-Porras, B. Modeling the release of curcumin from microparticles of poly(hydroxybutyrate) [PHB]. Int. J. Biol. Macromol. 2020, 144, 47–52. [Google Scholar] [CrossRef] [PubMed]
- Sáez, V.; Hernáez, E.; Sanz Angulo, L. Sistemas De Liberación Controlada De Medicamentos. Rev. Iberoam. Polímeros 2002, 3, 16–35. [Google Scholar]
- Punjataewakupt, A.; Napavichayanun, S.; Aramwit, P. The downside of antimicrobial agents for wound healing. Eur. J. Clin. Microbiol. Infect. Dis. 2019, 38, 39–54. [Google Scholar] [CrossRef]
- Reshad, R.A.I.; Alam, S.; Raihan, H.B.; Meem, K.N.; Rahman, F.; Zahid, F.; Rafid, M.I.; Rahman, S.M.O.; Omit, S.; Ali, M.H. In silico investigations on curcuminoids from Curcuma longa as positive regulators of the Wnt/β-catenin signaling pathway in wound healing. Egypt. J. Med. Hum. Genet. 2021, 22, 65. [Google Scholar] [CrossRef]
- Saeed, M.E.M.; Yücer, R.; Dawood, M.; Hegazy, M.E.F.; Drif, A.; Ooko, E.; Kadioglu, O.; Seo, E.J.; Kamounah, F.S.; Titinchi, S.J.; et al. In Silico and In Vitro Screening of 50 Curcumin Compounds as EGFR and NF-κB Inhibitors. Int. J. Mol. Sci. 2022, 23, 3966. [Google Scholar] [CrossRef] [PubMed]
- del Sol, A.; Jung, S. The Importance of Computational Modeling in Stem Cell Research. Trends Biotechnol. 2021, 39, 126–136. [Google Scholar] [CrossRef] [PubMed]
- Kotwani, M. Modeling and Simulation of Calcium Dynamics in Fibroblast Cell Involving Excess Buffer Approximation (EBA), ER Flux and SERCA Pump. Procedia Comput. Sci. 2015, 49, 347–355. [Google Scholar] [CrossRef][Green Version]
- Andasari, V.; Lü, D.; Swat, M.; Feng, S.; Spill, F.; Chen, L.; Luo, X.; Zaman, M.; Long, M. Computational model of wound healing: EGF secreted by fibroblasts promotes delayed re-epithelialization of epithelial keratinocytes. Integr. Biol. (Camb). 2018, 10, 605–634. [Google Scholar] [CrossRef]
- Zeigler, A.C.; Nelson, A.R.; Chandrabhatla, A.S.; Brazhkina, O.; Holmes, J.W.; Saucerman, J.J. Computational model predicts paracrine and intracellular drivers of fibroblast phenotype after myocardial infarction. Matrix Biol. 2020, 91–92, 136–151. [Google Scholar] [CrossRef]
- Piñero, J.; Furlong, L.I.; Sanz, F. In silico models in drug development: Where we are. Curr. Opin. Pharmacol. 2018, 42, 111–121. [Google Scholar] [CrossRef]
- Bloomingdale, P.; Housand, C.; Apgar, J.F.; Millard, B.L.; Mager, D.E.; Burke, J.M.; Shah, D.K. Quantitative systems toxicology. Curr. Opin. Toxicol. 2017, 4, 79–87. [Google Scholar] [CrossRef]
- Starruß, J.; De Back, W.; Brusch, L.; Deutsch, A. Morpheus: A user-friendly modeling environment for multiscale and multicellular systems biology. Bioinformatics 2014, 30, 1331–1332. [Google Scholar] [CrossRef]
- Galise, T.R. In Silico Simulation of Cell Proliferation and Movement; Universita’ Degli Studi Di Napoli Federico II: Naples, Italiy, 2018. [Google Scholar]
- Fletcher, A.G.; Osterfield, M.; Baker, R.E.; Shvartsman, S.Y. Vertex models of epithelial morphogenesis. Biophys. J. 2014, 106, 2291–2304. [Google Scholar] [CrossRef]
- Gérard, C.; Goldbeter, A. Temporal Self-Organization of the Cyclin/Cdk Network Driving the Mammalian Cell Cycle. Proc. Natl. Acad. Sci. USA 2009, 106, 21643–21648. [Google Scholar] [CrossRef]
- Gérard, C.; Goldbeter, A. A skeleton model for the network of cyclin-dependent kinases driving the mammalian cell cycle. Interface Focus 2011, 1, 24–35. [Google Scholar] [CrossRef] [PubMed]
- Morel, D. A Model of Cell Proliferation Control Networks: Application to the Simulation of Epithelial Homeostasis in 2D; Universite Joseph Fourier Grenoble I: Saint-Martin-de-Ré, France, 2001. [Google Scholar]
- Puliafito, A.; Primo, L.; Celani, A. Cell-size distribution in epithelial tissue formation and homeostasis. J. R. Soc. Interface 2017, 14, 20170032. [Google Scholar] [CrossRef] [PubMed]
- Noppé, A.R. Simulating the Collective Behaviour of a Monolayer of Epithelial Cells Using a Cellular Potts Model; The University of Queensland: Brisbane, Australia, 2018. [Google Scholar]
- Gardner, T.S.; Dolnik, M.; Collins, J.J. A Theory for Controlling Cell Cycle Dynamics Using a Reversibly Binding Inhibitor. Proc. Natl. Acad. Sci. USA 1998, 95, 14190–14195. [Google Scholar] [CrossRef] [PubMed]
- Weis, M.C.; Avva, J.; Jacobberger, J.W.; Sreenath, S.N. A Data-Driven, Mathematical Model of Mammalian Cell Cycle Regulation. PLoS ONE 2014, 9, 97130. [Google Scholar] [CrossRef] [PubMed]
- Novák, B.; Tyson, J.J. A model for restriction point control of the mammalian cell cycle. J. Theor. Biol. 2004, 230, 563–579. [Google Scholar] [CrossRef]
- Norel, R.; Agur, Z. A model for the adjustment of the mitotic clock by cyclin and MPF levels. Science 1991, 251, 1076–1078. [Google Scholar] [CrossRef]
- Maire, M.; Nguyen, T.; Zyoud, A. Gerard2010—Progression of Mammalian Cell Cycle by Successive Activation of Various Cyclin Cdk Complexes|BioModels. Available online: https://www.ebi.ac.uk/biomodels/BIOMD0000000941 (accessed on 28 January 2021).
- Marée, A.F.M.; Grieneisen, V.A.; Hogeweg, P. The Cellular Potts Model and Biophysical Properties of Cells, Tissues and Morphogenesis. In Single-Cell-Based Models in Biology and Medicine; Birkhäuser: Basel, Switzerland, 2007; pp. 107–136. [Google Scholar]
- Freitas, R., Jr. Nanomedicine, Volume I: Basic Capabilities. Available online: http://www.nanomedicine.com/NMI/8.5.1.htm (accessed on 4 June 2021).
- Wang, J.; Shankowsky, H.A.; Tredget, E.E.; Dodd, C.; Scott, P.G. Deep dermal fibroblasts contribute to hypertrophic scarring. Lab. Investig. 2008, 88, 1278–1290. [Google Scholar] [CrossRef] [PubMed]
- Mohanty, C.; Das, M.; Sahoo, S.K. Sustained wound healing activity of curcumin loaded oleic acid based polymeric bandage in a rat model. Mol. Pharm. 2012, 9, 2801–2811. [Google Scholar] [CrossRef]
- Chiu, C.-H.; Leu, J.-D.; Lin, T.-T.; Su, P.-H.; Li, W.-C.; Lee, Y.-J.; Cheng, D.-C. Systematic Quantification of Cell Confluence in Human Normal Oral Fibroblasts. Appl. Sci. 2020, 10, 9146. [Google Scholar] [CrossRef]
- Tello Velasquez, J.; Watts, M.E.; Todorovic, M.; Nazareth, L.; Pastrana, E.; Diaz-Nido, J.; Lim, F.; Ekberg, J.A.K.; Quinn, R.J.; St John, J.A. Low-dose curcumin stimulates proliferation, migration and phagocytic activity of olfactory ensheathing cells. PLoS ONE 2014, 9, 9146. [Google Scholar] [CrossRef]
- Su, J.; Zhou, X.; Wang, L.; Yin, X.; Wang, Z. Curcumin inhibits cell growth and invasion and induces apoptosis through down-regulation of Skp2 in pancreatic cancer cells. Am. J. Cancer Res. 2016, 6, 1949–1962. [Google Scholar] [PubMed]
- Sun, Y.; Liu, L.; Wang, Y.; He, A.; Hu, H.; Zhang, J.; Han, M.; Huang, Y. Curcumin inhibits the proliferation and invasion of MG-63 cells through inactivation of the p-JAK2/p-STAT3 pathway. Onco. Targets. Ther. 2019, 12, 2011–2021. [Google Scholar] [CrossRef] [PubMed]
- Hosseini, S.A.; Zand, H.; Cheraghpour, M. The influence of Curcumin on the downregulation of MYC, insulin and igf-1 receptors: A possible mechanism underlying the anti-growth and anti-migration in chemoresistant colorectal cancer cells. Medicina 2019, 55, 90. [Google Scholar] [CrossRef] [PubMed]
- Kim, J.H.; Park, S.H.; Nam, S.W.; Kwon, H.J.; Kim, B.W.; Kim, W.J.; Choi, Y.H. Curcumin stimulates proliferation, sternness acting signals and migration of 3T3-L1 preadipocytes. Int. J. Mol. Med. 2011, 28, 429–435. [Google Scholar] [CrossRef]
- Peleg, M. An Empirical Model for the Description of Moisture Sorption Curves. J. Food Sci. 1988, 53, 1216–1217. [Google Scholar] [CrossRef]
- Rostami, H.; Gharibzahedi, S.M.T. Mathematical Modeling of Mucilage Extraction Kinetic from the Waste Hydrolysates of Fruiting Bodies of Zizyphus jujuba Mill. J. Food Process. Preserv. 2017, 41, 1–6. [Google Scholar] [CrossRef]
- Rezaei, A.; Nasirpour, A. Evaluation of Release Kinetics and Mechanisms of Curcumin and Curcumin-β-Cyclodextrin Inclusion Complex Incorporated in Electrospun Almond Gum/PVA Nanofibers in Simulated Saliva and Simulated Gastrointestinal Conditions. Bionanoscience 2019, 9, 438–445. [Google Scholar] [CrossRef]
- Algahtani, M.S.; Ahmad, M.Z.; Nourein, I.H.; Ahmad, J. Co-delivery of imiquimod and curcumin by nanoemugel for improved topical delivery and reduced psoriasis-like skin lesions. Biomolecules 2020, 10, 968. [Google Scholar] [CrossRef]
- Wang, L.; Ye, X.; Cai, X.; Su, J.; Ma, R.; Yin, X.; Zhou, X.; Li, H.; Wang, Z. Curcumin suppresses cell growth and invasion and induces apoptosis by down-regulation of Skp2 pathway in glioma cells. Oncotarget 2015, 6, 18027–18037. [Google Scholar] [CrossRef]
- Abdian, N.; Ghasemi-Dehkordi, P.; Hashemzadeh-Chaleshtori, M.; Ganji-Arjenaki, M.; Doosti, A.; Amiri, B. Comparison of human dermal fibroblasts (HDFs) growth rate in culture media supplemented with or without basic fibroblast growth factor (bFGF). Cell Tissue Bank. 2015, 16, 487–495. [Google Scholar] [CrossRef]
- Gupta, S.C.; Gupta, N.; Ahlawat, S.P.S.; Kumar, A.; Taneja, R.; Sharma, R.; Sunder, S.; Tantia, M.S. In Vitro Culture of Skin Fibroblast Cells for Potential Cloning by Nuclear Transfer. In Applications of Gene-Based Technologies for Improving Animal Production and Health in Developing Countries; Springer: Berlin, Germany, 2005; pp. 631–640. [Google Scholar]
- Jia, Y.Y.; Zhou, J.Y.; Chang, Y.; An, F.; Li, X.W.; Xu, X.Y.; Sun, X.L.; Xiong, C.Y.; Wang, J.L. Effect of optimized concentrations of basic fibroblast growth factor and epidermal growth factor on proliferation of fibroblasts and expression of collagen: Related to pelvic floor tissue regeneration. Chin. Med. J. 2018, 131, 2089–2096. [Google Scholar] [CrossRef] [PubMed]
- Kole, D.; Grella, A.; Dolivo, D.; Shumaker, L.; Hermans, W.; Dominko, T. High molecular weight FGF2 isoforms demonstrate canonical receptor-mediated activity and support human embryonic stem cell self-renewal. Stem Cell Res. 2017, 21, 106–116. [Google Scholar] [CrossRef] [PubMed]
- Li, Y.; Tollefsbol, T.O. p16INK4a Suppression by Glucose Restriction Contributes to Human Cellular Lifespan Extension through SIRT1-Mediated Epigenetic and Genetic Mechanisms. PLoS ONE 2011, 6, e17421. [Google Scholar] [CrossRef]
- Permanadewi, I.; Kumoro, A.C.; Wardhani, D.H.; Aryanti, N. Modelling of controlled drug release in gastrointestinal tract simulation. In Proceedings of the Journal of Physics: Conference Series, Semarang, Indonesia, 19–20 September 2018; Institute of Physics Publishing: Bristol, UK, 2019; Volume 1295, p. 012063. [Google Scholar]
- El-Nashar, D.E.; Rozik, N.N.; Soliman, A.M.; Helaly, F. Study the release kinetics of curcumin released from PVA/curcumin composites and its evaluation towards hepatocarcinoma. J. Appl. Pharm. Sci. 2016, 6, 67–72. [Google Scholar] [CrossRef]
- Thong, P.Q.; Nam, N.H.; Phuc, N.X.; Manh, D.H.; Thu, H.P. Impact of pla/peg ratios on curcumin solubility and encapsulation efficiency, size and release behavior of curcumin loaded poly(Lactide)-poly(ethylenglycol) polymeric micelles. Int. J. Drug Deliv. 2014, 6, 279–285. [Google Scholar] [CrossRef]
- Tiwari, B.; Pahuja, R.; Kumar, P.; Rath, S.K.; Gupta, K.C.; Goyal, N. Nanotized curcumin and miltefosine, a potential combination for treatment of experimental visceral leishmaniasis. Antimicrob. Agents Chemother. 2017, 61, 1–13. [Google Scholar] [CrossRef] [PubMed]
- Sun, X.Z.; Williams, G.R.; Hou, X.X.; Zhu, L.M. Electrospun curcumin-loaded fibers with potential biomedical applications. Carbohydr. Polym. 2013, 94, 147–153. [Google Scholar] [CrossRef]
- Dai, X.; Liu, J.; Zheng, H.; Wichmann, J.; Hopfner, U.; Sudhop, S.; Prein, C.; Shen, Y.; Machens, H.G.; Schilling, A.F. Nano-formulated curcumin accelerates acute wound healing through Dkk-1-mediated fibroblast mobilization and MCP-1-mediated anti-inflammation. NPG Asia Mater. 2017, 9, e368. [Google Scholar] [CrossRef]
- Bansal, S.S.; Goel, M.; Aqil, F.; Vadhanam, M.V.; Gupta, R.C. Advanced drug delivery systems of curcumin for cancer chemoprevention. Cancer Prev. Res. 2011, 4, 1158–1171. [Google Scholar] [CrossRef]
- Moghaddam, N.S.A.; Oskouie, M.N.; Butler, A.E.; Petit, P.X.; Barreto, G.E.; Sahebkar, A. Hormetic effects of curcumin: What is the evidence? J. Cell. Physiol. 2019, 234, 10060–10071. [Google Scholar] [CrossRef]
- Kim, S.J.; Son, T.G.; Hee, R.P.; Park, M.; Kim, M.S.; Hyung, S.K.; Hae, Y.C.; Mattson, M.P.; Lee, J. Curcumin stimulates proliferation of embryonic neural progenitor cells and neurogenesis in the adult hippocampus. J. Biol. Chem. 2008, 283, 14497–14505. [Google Scholar] [CrossRef] [PubMed]










| Concentration (μM) | ||||||
|---|---|---|---|---|---|---|
| Model | 0.25 | 0.5 | 1 | 5 | 10 | 20 | 
| K-P 1 | 42.75–75.84% | 37.52–66.57% | 34.61–61.40% | 32.46–57.59% | 30.65–54.37% | 24.59–43.63% | 
| HB 2 | 42.70–75.74% | 42.70–75.74% | 34.11–60.52% | 33.29–59.05% | 30.65–54.37% | 24.59–43.63% | 
| Concentration (μM) | Cell Type | |
|---|---|---|
| Left Interior | Right Interior | |
| 0 (control) | p1 | p1 | 
| 0.25 | p1 | p1 | 
| 0.5 | p1 | p2 | 
| 1 | p2 | p2 | 
| 5 | p3 | p2 | 
| 10 | p1 | p1 | 
| 20 | p3 | p3 | 
| Korsmeyer–Peppas Model | |||
| Concentration (μM) | d1 (h) | d2 (h) | Final Cell Population (Number of Cells) | 
| 0 (control) | 27.10 | - | 557 | 
| 0.25 | 12.95 | 28.35 | 777 | 
| 0.5 | 13.00 | 28.55 | 682 | 
| 1 | 13.20 | 29.05 | 629 | 
| 5 | 14.90 | 34.05 | 590 | 
| 10 | 18.40 | - | 557 | 
| 20 | - | - | 447 (Same as initial) | 
| Peleg’s Hyperbolic Model | |||
| Concentration (μM) | d1 (h) | d2 (h) | Final Cell Population (Number of Cells) | 
| 0 (control) | 27.10 | - | 557 | 
| 0.25 | 12.95 | 28.35 | 776 | 
| 0.5 | 13.05 | 28.60 | 715 | 
| 1 | 13.20 | 29.05 | 620 | 
| 5 | 15.00 | 34.10 | 605 | 
| 10 | 18.75 | - | 557 | 
| 20 | - | - | 447 (Same as initial) | 
| Publisher’s Note: MDPI stays neutral with regard to jurisdictional claims in published maps and institutional affiliations. | 
© 2022 by the authors. Licensee MDPI, Basel, Switzerland. This article is an open access article distributed under the terms and conditions of the Creative Commons Attribution (CC BY) license (https://creativecommons.org/licenses/by/4.0/).
Share and Cite
Aquines, O.; Saavedra-Hernández, A.; Urbina-Arias, N.; Melchor-Martínez, E.M.; Sosa-Hernández, J.E.; Robledo-Padilla, F.; Iqbal, H.M.N.; Parra-Saldívar, R. In Silico Modeling Study of Curcumin Diffusion and Cellular Growth. Appl. Sci. 2022, 12, 9749. https://doi.org/10.3390/app12199749
Aquines O, Saavedra-Hernández A, Urbina-Arias N, Melchor-Martínez EM, Sosa-Hernández JE, Robledo-Padilla F, Iqbal HMN, Parra-Saldívar R. In Silico Modeling Study of Curcumin Diffusion and Cellular Growth. Applied Sciences. 2022; 12(19):9749. https://doi.org/10.3390/app12199749
Chicago/Turabian StyleAquines, Osvaldo, Annel Saavedra-Hernández, Natalia Urbina-Arias, Elda M. Melchor-Martínez, Juan Eduardo Sosa-Hernández, Felipe Robledo-Padilla, Hafiz M. N. Iqbal, and Roberto Parra-Saldívar. 2022. "In Silico Modeling Study of Curcumin Diffusion and Cellular Growth" Applied Sciences 12, no. 19: 9749. https://doi.org/10.3390/app12199749
APA StyleAquines, O., Saavedra-Hernández, A., Urbina-Arias, N., Melchor-Martínez, E. M., Sosa-Hernández, J. E., Robledo-Padilla, F., Iqbal, H. M. N., & Parra-Saldívar, R. (2022). In Silico Modeling Study of Curcumin Diffusion and Cellular Growth. Applied Sciences, 12(19), 9749. https://doi.org/10.3390/app12199749
 
        





 
       