Constant Force Control of Centrifugal Pump Housing Robot Grinding Based on Pneumatic Servo System
Abstract
:1. Introduction
2. Analysis of the Grinding Force in the Inner Circle of the Centrifugal Pump Shell
3. Design of the Grinding Force Control System
4. Modeling of the Pneumatic Servo System
- (1)
- The working medium is assumed to be an ideal gas and all parameters are applicable to the state equation of ideal gas;
- (2)
- During the working process, there is no heat exchange between the gas inside and outside the cylinder cavity;
- (3)
- The air source pressure is constant, and the atmospheric pressure and air source temperature are also constant;
- (4)
- The thermodynamic change process is a quasi-static process in the cylinder cavity;
- (5)
- The leakage of the cylinder is ignored;
- (6)
- In the dynamic process of the system, the change in gas inertia force caused by the change in gas velocity is ignored.
4.1. Cylinder Flow Continuity Equation
4.2. Mass Flow Equation of the Pneumatic Servo Valve
4.3. Force Balance Equation of the Cylinder
4.4. Establishment of a Mathematical Model of the Pneumatic System of the Robot Grinding and Polishing Device
4.5. Design and Analysis of the Structural Parameters of the Pneumatic System
5. Stability Analysis of the Pneumatic Control System of the Robot Grinding and Polishing Device
5.1. Stability Analysis of the Control System of the Robot Grinding and Polishing Device
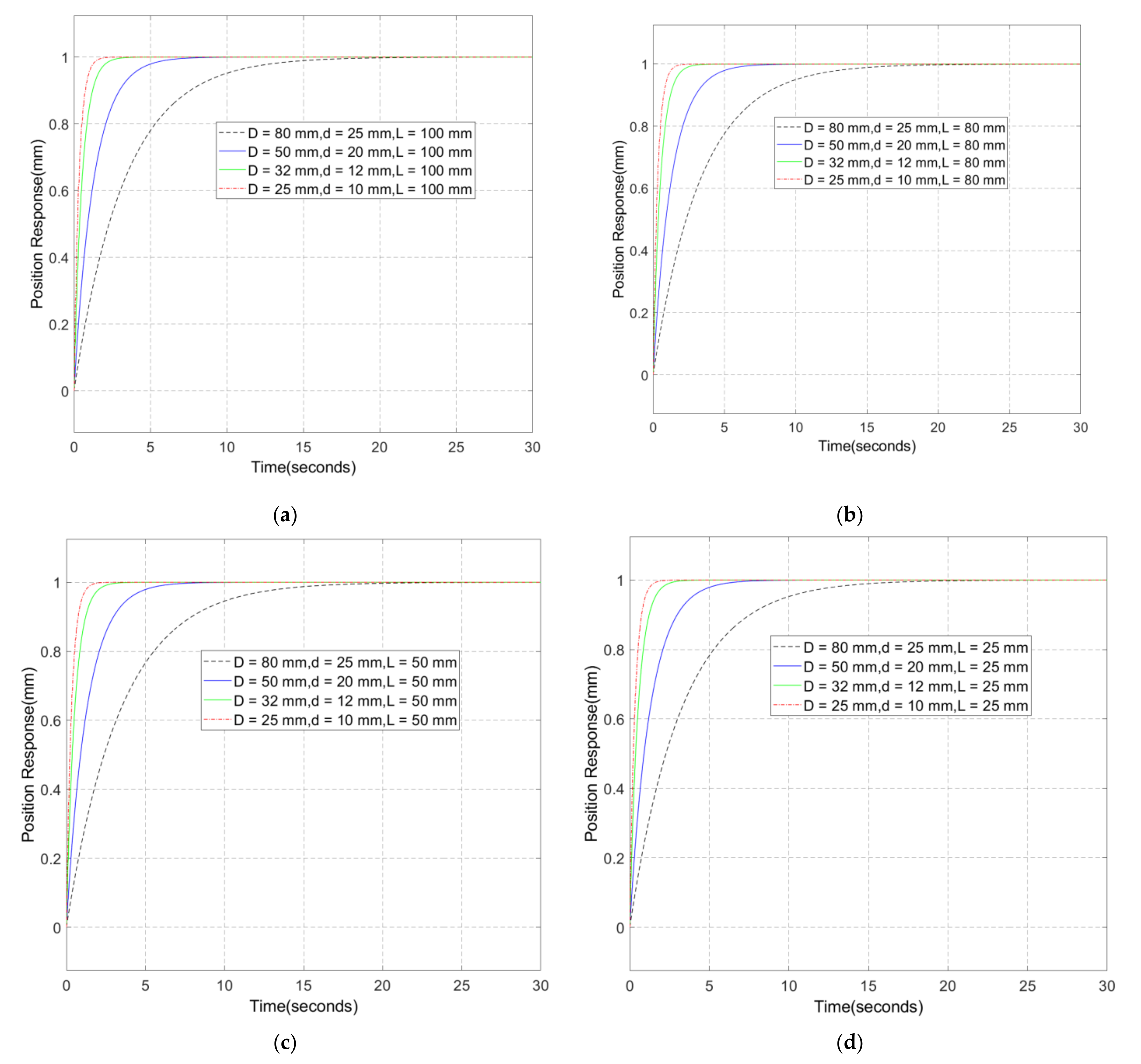
5.2. Steady-State Error Analysis of the Pneumatic Control System of the Robot Grinding Device
6. Correction and Control of the Pneumatic Servo System
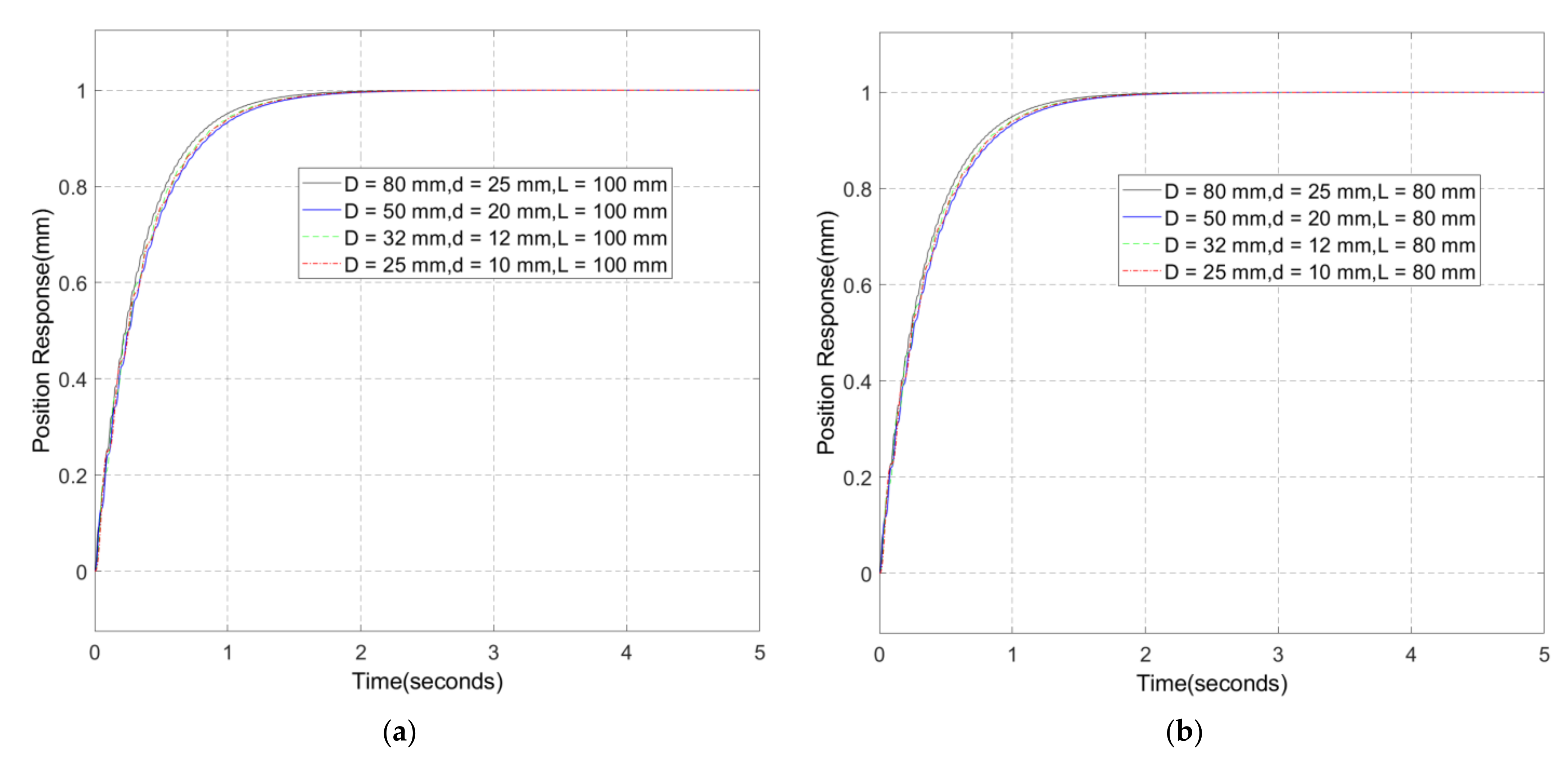
6.1. Displacement Response Correction and Control of the Pneumatic Servo System
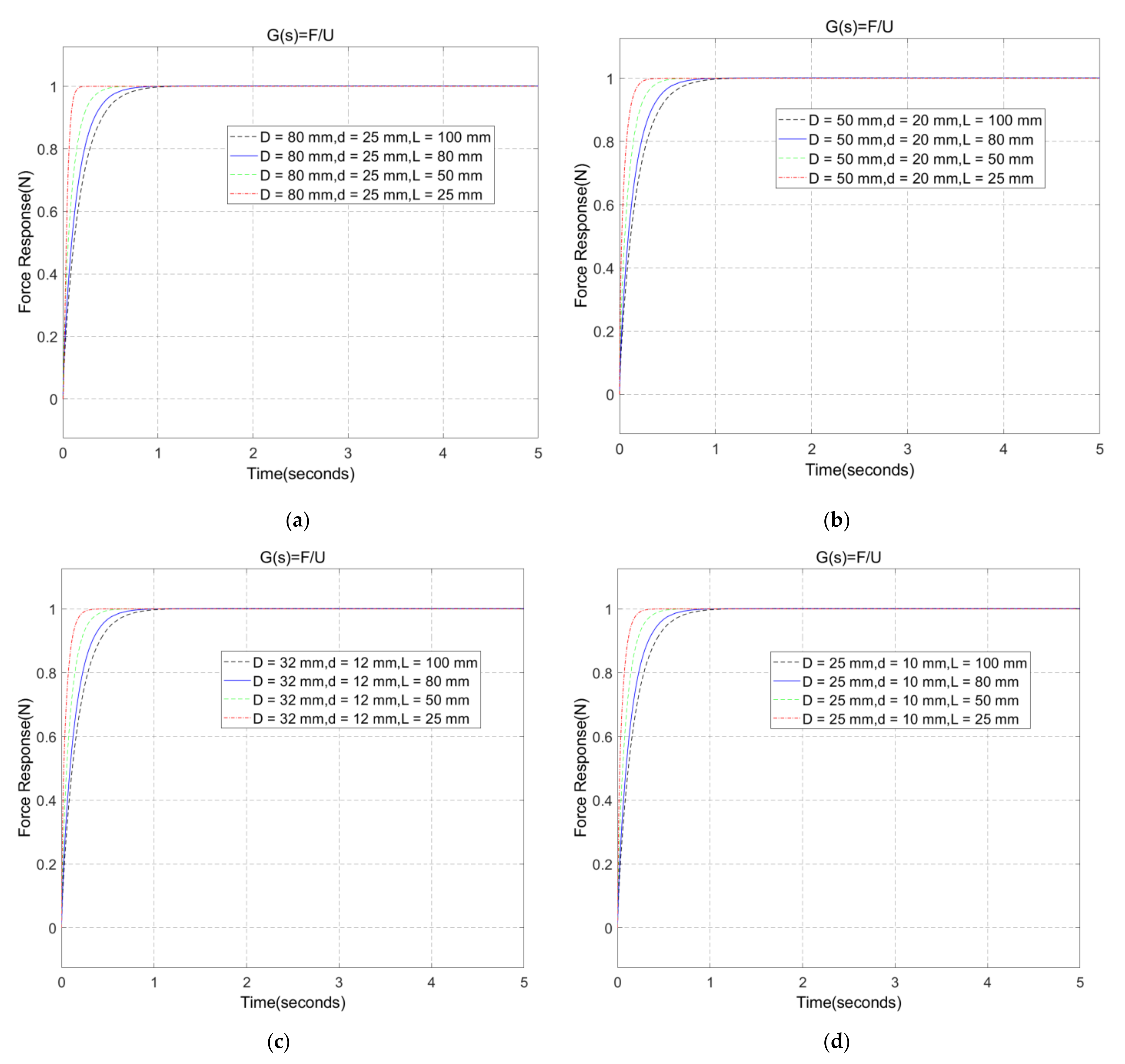
6.2. Force Response PID Correction and Control of Pneumatic Servo System
6.3. Grinding Force Control under Interference
7. Conclusions
Author Contributions
Funding
Data Availability Statement
Conflicts of Interest
References
- Kalt, E.; Monfared, R.; Jackson, M. Towards an automated polishing system—Capturing manual polishing operations. Int. J. Res. Eng. Technol. 2016, 5, 182–192. [Google Scholar]
- Huang, H.; Zhou, L.; Chen, X.; Gong, Z. Smart robotic system for 3d profile turbine vane airfoil repair. Int. J. Adv. Manuf. Technol. 2003, 21, 275–283. [Google Scholar] [CrossRef]
- Mohammad, A.E.K.; Wang, D. A novel mechatronics design of an electrochemical mechanical end-effector for robotic-based surface polishing. In Proceedings of the 2015 IEEE/SICE International Symposium on System Integration (SII), Nagoya, Japan, 11–13 December 2015; pp. 127–133. [Google Scholar] [CrossRef]
- Wang, T.; Miao, H.; Shi, S.; Chen, Z.; Zhang, H. A Method of Robot Grinding Force Control Based on Internal Model Control Principle. J. Phys. Conf. Ser. 2021, 1748, 1–5. [Google Scholar] [CrossRef]
- Zhou, H.; Ma, S.; Wang, G.; Deng, Y.; Liu, Z. A Hybrid Control Strategy for Grinding and Polishing Robot Based on Adaptive Impedance Control. Adv. Mech. Eng. 2021, 13, 1–21. [Google Scholar] [CrossRef]
- Jinno, M.; Ozaki, F.; Yoshimi, T.; Tatsuno, K.; Takahashi, M.; Kanda, M.; Tamada, Y.; Nagataki, S. Development of a Force Controlled Robot for Grinding, Chamfering and Polishi. In Proceedings of the 1995 IEEE International Conference on Robotics and Automation, Nagoya, Japan, 21–27 May 1995; pp. 1455–1460. [Google Scholar]
- Tahvilian, A.M.; Hazel, B.; Rafieian, F.; Liu, Z.; Champliaud, H. Force Model for Impact Cutting Grinding with a Flexible Robotic Tool Holder. Int. J. Adv. Manuf. Technol. 2015, 85, 133–147. [Google Scholar] [CrossRef]
- Wang, F.; Luo, Z.; Liu, H. Rapid Modelling and Grinding of Workpieces’ Inner-surface by Robot with Impedance Model Based Fuzzy Force Control Algorithm. MATEC Web Conf. 2017, 95, 05003. [Google Scholar] [CrossRef]
- Attiya, A.J.; Wenyu, Y.; Shneen, S.W. Fuzzy-PID Controller of Robotic Grinding Force Servo System. TELKOMNIKA 2015, 15, 87–99. [Google Scholar] [CrossRef]
- Xie, Y.; Yang, J.; Feng, M.; Huang, W.; Li, J. Path planning of grinding robot with force control based on B-spline curve. In Proceedings of the 2019 IEEE International Conference on Robotics and Biomimetics (ROBIO), Dali, China, 6–8 December 2019; pp. 2732–2736. [Google Scholar]
- Zhang, T.; Xiao, M.; Zou, Y.; Xiao, J. Robotic Constant-force Grinding Control with a Press-and-release Model and Model-based Reinforcement Learning. Int. J. Adv. Manuf. Technol. 2019, 106, 589–602. [Google Scholar] [CrossRef]
- Zhou, P.; Zhou, Y.; Xie, Q.; Zhao, H. Adaptive Force Control for Robotic Grinding of Complex Blades. In Proceedings of the 2019 5th International Conference on Mechanical Engineering and Automation Science (ICMEAS 2019), Wuhan, China, 10–12 October 2019; IOP Publishing: Bristol, UK, 2019; pp. 66–73. [Google Scholar]
- Attiya, A.J.; Wenyu, Y.; Shneen, S.W. PSO_PI Controller of Robotic Grinding Force Servo System. TELKOMNIKA Indones. J. Electr. Eng. 2015, 15, 515–525. [Google Scholar] [CrossRef]
- Zhang, T.; Yu, Y.; Yang, L.X.; Xiao, M.; Chen, S.Y. Robot Grinding System Trajectory Compensation Based on Co-kriging Method and constant-force Control Based on Adaptive Iterative Algorithm. Int. J. Precis. Eng. Manuf. 2020, 21, 1637–1651. [Google Scholar] [CrossRef]
- Xiao, M.; Zhang, T.; Zou, Y.; Chen, S. Robotic constant force grinding control based on grinding model and model and model-based reinforcement learning. Ind. Robot. Int. J. Robot. Res. Appl. 2021, 48, 270–279. [Google Scholar] [CrossRef]
- Sun, L. Research on Contact Force Control of Grinding Robot Based on Adaptive Impedance Control. In Proceedings of the 2021 IEEE 5th Information Technology, Networking, Electronic and Automation Control Conference (ITNEC), Xi’an, China, 15–17 October 2021; pp. 290–293. [Google Scholar]
- Wang, Z.; Zou, L.; Luo, G.; Lv, C.; Huang, Y. A novel selected force controlling method for improving robotic grinding accuracy of complex curved blade. ISA Trans. 2022. [Google Scholar] [CrossRef]
- Husmann, S.; Stemmler, S.; Hähnel, S.; Vogelgesang, S.; Abel, D.; Bergs, T. Model Predictive Force Control in Grinding Based on a Lightweight Robot. IFAC 2019, 52, 1779–1784. [Google Scholar] [CrossRef]
- Zhu, D.; Feng, X.; Xu, X.; Yang, Z.; Li, W.; Yan, S.; Ding, H. Robotic Grinding of Complex Components a Step Towards Efficient and Intelligent Machining-Challenges, Solutions, and Applications. Robot. Comput. Integr. Manuf. 2020, 65, 10198. [Google Scholar] [CrossRef]
- Wang, N.; Chen, C.; Di Nuovo, A. A Framework of Hybrid Force_Motion Skills Learning for Robots. IEEE Trans. Cogn. Dev. Syst. 2021, 13, 162–170. [Google Scholar] [CrossRef]
- Wang, Q.; Wang, W.; Zheng, L.; Yun, C. Force control-based vibration suppression in robotic grinding of large thin-wall shells. Robot. Comput.-Integr. Manuf. 2021, 67, 102031. [Google Scholar] [CrossRef]
- Ma, Z.; Huang, P. Adaptive Neural-Network Controller for an Uncertain Rigid Manipulator with Input Saturation and Full-Order State Constraint. IEEE Trans. Cybern. 2022, 52, 2907–2915. [Google Scholar] [CrossRef]
- Xu, X.; Chen, W.; Zhu, D.; Yan, S.; Ding, H. Hybrid active_passive force control strategy for grinding marks suppression and profile accuracy enhancement in robotic belt grinding of turbine blade. Robot. Comput. -Integr. Manuf. 2021, 67, 102047. [Google Scholar] [CrossRef]
- Xu, Z.; Li, S.; Zhou, X.; Zhou, S.; Cheng, T.; Guan, Y. Dynamic Neural Networks for Motion-Force Control of Redundant Manipulators_ An Optimization Perspective. IEEE Trans. Ind. Electron. 2021, 68, 1525–1536. [Google Scholar] [CrossRef]
- Tian, F.; Lv, C.; Li, Z.; Liu, G. Modeling and control of robotic automatic polishing for curved. CIRP J. Manuf. Sci. Technol. 2016, 14, 55–64. [Google Scholar] [CrossRef]
- Khoi, P.B.; Hai, H.T.; Sinh, H.V. Dynamic analysis of robot in machining. Int. J. Mech. Prod. Eng. Res. Dev. 2020, 10, 223–236. [Google Scholar]
- Senoo, T.; Koike, M.; Murakami, K.; Ishikawa, M. Impedance Control Design Based on Plastic Deformation for a Robotic Arm. IEEE Robot. Autom. Lett. 2016, 2, 209–216. [Google Scholar] [CrossRef]
- Chaudhary, H.; Panwar, V.; Prasad, R.; Sukavanam, N. Adaptive neuro fuzzy based hybrid force/position control for an industrial robot manipulator. J. Intell. Manuf. 2016, 27, 1299–1308. [Google Scholar] [CrossRef]
- Cavenago, F.; Giordano, A.M.; Massari, M. Contact force observer for space robots. In Proceedings of the 2019 IEEE 58th Conference on Decision and Control (CDC), Nice, France, 11–13 December 2019; pp. 2528–2535. [Google Scholar]
- Takeuchi, Y.; Ge, D.; Asakawa, N. Automated polishing process with a human-like dexterous robot. In Proceedings of the IEEE International Conference on Robotics & Automation, Atlanta, GA, USA, 2–6 May 1993. [Google Scholar]
- Asada, H.; Goldfine, N. Optimal compliance design for grinding robot tool holders. In Proceedings of the IEEE International Conference on Robotics & Automation, St. Louis, MO, USA, 25–28 March 1985. [Google Scholar]
- Takeuchi, Y.; Asakawa, N.; Ge, D. Automation of Polishing Work by an Industrial Robot: System of Polishing Robot. JSME Int. J. 1993, 36, 56–561. [Google Scholar] [CrossRef]
- Chen, Z. Calculation and Application of Internal Grinding Force. Grinder Grind. 1991, 45–46, 81. [Google Scholar] [CrossRef]
- Bai, Y. Pneumatic Servo System Analysis and Control; Metallurgical Industry Press: Beijing, China, 2014. [Google Scholar]
- Sanville, F.E. A new method of specifying the flow capacity of pneumatic fluid valves. Hydraul. Pneum. Power 1971, 17, 120–125. [Google Scholar]























| Parameters | Numerical Value |
|---|---|
| Load mass M (Kg) | 5 |
| Gas constant R (J/(Kg K) | 287.1 |
| Temperature T0 (K) | 298 |
| Heat transfer constant k | 1.4 |
| Viscous damping coefficient f | 50 |
| Discharge coefficient u | 0.628 |
| Gain coefficient of valve Ku | 0.2 |
| Coefficient K1 | 0.1582 |
| Coefficient K2 | 0 |
| Coefficient K3 | 0.134 |
| Coefficient K4 | 0 |
| Stroke | 100 mm | 80 mm | 50 mm | 25 mm | ||
|---|---|---|---|---|---|---|
| Rod Diameter | ||||||
| Cylinder Diameter | ||||||
| 80 mm | 25 mm | 25 mm | 25 mm | 25 mm | ||
| 50 mm | 20 mm | 20 mm | 20 mm | 20 mm | ||
| 32 mm | 12 mm | 12 mm | 12 mm | 12 mm | ||
| 25 mm | 10 mm | 10 mm | 10 mm | 10 mm | ||
| Cylinder Stroke | Cylinder Diameter and Piston Rod Diameter | Value of PID |
|---|---|---|
| L = 100 mm | D = 80 mm, d = 25 mm | Kp = 10, Ki = 1 × 10−9, Kd = 1 × 10−6 |
| D = 50 mm, d = 20 mm | Kp = 3.5, Ki = 1 × 10−9, Kd = 1 × 10−6 | |
| D = 32 mm, d = 12 mm | Kp = 1.5, Ki = 1 × 10−9, Kd = 1 × 10−6 | |
| D = 25 mm, d = 10 mm | Kp = 0.9, Ki = 1 × 10−9, Kd = 1 × 10−6 | |
| L = 80 mm | D = 80 mm, d = 25 mm | Kp = 8.5, Ki = 1 × 10−9, Kd = 1 × 10−6 |
| D = 50 mm, d = 20 mm | Kp = 3.5, Ki = 1 × 10−9, Kd = 1 × 10−6 | |
| D = 32 mm, d = 12 mm | Kp = 1.5, Ki = 1 × 10−9, Kd = 1 × 10−6 | |
| D = 25 mm, d = 10 mm | Kp = 0.9, Ki = 1 × 10−9, Kd = 1 × 10−6 | |
| L = 50 mm | D = 80 mm, d = 25 mm | Kp = 10, Ki = 1 × 10−9, Kd = 1 × 10−6 |
| D = 50 mm, d = 20 mm | Kp = 3.5, Ki = 1 × 10−9, Kd = 1 × 10−6 | |
| D = 32 mm, d = 12 mm | Kp = 1.5, Ki = 1 × 10−9, Kd = 1 × 10−6 | |
| D = 25 mm, d = 10 mm | Kp = 0.9, Ki = 1 × 10−9, Kd = 1 × 10−6 | |
| L = 25 mm | D = 80 mm, d = 25 mm | Kp = 10, Ki = 1 × 10−9, Kd = 1 × 10−6 |
| D = 50 mm, d = 20 mm | Kp = 3.5, Ki = 1 × 10−9, Kd = 1 × 10−6 | |
| D = 32 mm, d = 12 mm | Kp = 1.5, Ki = 1 × 10−9, Kd = 1 × 10−6 | |
| D = 25 mm, d = 10 mm | Kp = 0.9, Ki = 1 × 10−9, Kd = 1 × 10−6 |
| Cylinder Parameters | Error without PID | Error with PID |
|---|---|---|
| D = 80 mm, d = 25 mm, L = 100 mm | 1.40 × 10−13% | 0.042% |
| D = 25 mm, d = 10 mm, L = 25 mm | 1.33 × 10−11% | 0.141% |
Publisher’s Note: MDPI stays neutral with regard to jurisdictional claims in published maps and institutional affiliations. |
© 2022 by the authors. Licensee MDPI, Basel, Switzerland. This article is an open access article distributed under the terms and conditions of the Creative Commons Attribution (CC BY) license (https://creativecommons.org/licenses/by/4.0/).
Share and Cite
Su, X.; Xie, Y.; Sun, L.; Jiang, B. Constant Force Control of Centrifugal Pump Housing Robot Grinding Based on Pneumatic Servo System. Appl. Sci. 2022, 12, 9708. https://doi.org/10.3390/app12199708
Su X, Xie Y, Sun L, Jiang B. Constant Force Control of Centrifugal Pump Housing Robot Grinding Based on Pneumatic Servo System. Applied Sciences. 2022; 12(19):9708. https://doi.org/10.3390/app12199708
Chicago/Turabian StyleSu, Xueman, Yueyue Xie, Lili Sun, and Benchi Jiang. 2022. "Constant Force Control of Centrifugal Pump Housing Robot Grinding Based on Pneumatic Servo System" Applied Sciences 12, no. 19: 9708. https://doi.org/10.3390/app12199708
APA StyleSu, X., Xie, Y., Sun, L., & Jiang, B. (2022). Constant Force Control of Centrifugal Pump Housing Robot Grinding Based on Pneumatic Servo System. Applied Sciences, 12(19), 9708. https://doi.org/10.3390/app12199708
