LSTM Recurrent Neural Network for Hand Gesture Recognition Using EMG Signals
Abstract
1. Introduction
- The first challenge involves hand gesture recognition in real-time [6]. Most studies regarding this topic focus primarily in finding novel algorithm-based methods in order to achieve high performance rates in gesture recognition. Nevertheless these scores are obtained in non-real-time tests where factors such as computational efficiency, window length and system overall performance are not taken in to account [7,8]. Furthermore, this kind of hand gesture recognition methods may be suitable for non-mobile applications such as sign language recognition [9], but not for active prosthesis which are mobile and independent systems.
- The second challenge is to find such a good performance classifier that it can be used in different types of amputees and still has a good accuracy rate in hand gesture recognition [10], moreover, the challenge is to find an appropriate classifier that can deliver good recognition rates in almost every amputee morphology, while keeping the prediction delay low and the overall system computational needs moderate.
- The third challenge is to narrow the gap between academic and industrial achievements. Both of them, at this point, are heading in totally different ways. While an academic display can be set in a known environment, the industrial one needs to be as robust as possible in order to increase the overall performance of the system when is used by a real world user [11].
2. Methodology
2.1. Experimental Set-Up and Data Acquisition
2.2. Data Preprocessing
2.3. Recurrent Neural Network (RNN) Model
2.3.1. Dense Layers
2.3.2. Long Short-Term Memory (LSTM) Layer
2.4. Model Optimization
2.4.1. Hyperparameter Tuning
2.5. Metrics
2.6. Experimental Validation
3. Results and Discussion
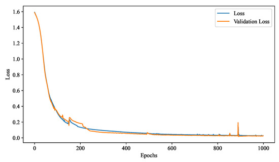
3.1. Recurrent Neural Network (RNN) Model Training
3.2. Real Time Testing
3.3. Selected Model Training/Validation and Real Time Testing Details
3.4. Model Comparison
4. Conclusions and Future Work
Author Contributions
Funding
Institutional Review Board Statement
Informed Consent Statement
Data Availability Statement
Acknowledgments
Conflicts of Interest
References
- Haria, A.; Subramanian, A.; Asokkumar, N.; Poddar, S.; Nayak, J.S. Hand Gesture Recognition for Human Computer Interaction. In Proceedings of the Procedia Computer Science; Elsevier: Amsterdam, The Netherlands, 2017; Volume 115, pp. 367–374. [Google Scholar] [CrossRef]
- Lv, Z.; Xiao, F.; Wu, Z.; Liu, Z.; Wang, Y. Hand gestures recognition from surface electromyogram signal based on self-organizing mapping and radial basis function network. Biomed. Signal Process. Control. 2021, 68, 102629. [Google Scholar] [CrossRef]
- Shi, W.T.; Lyu, Z.J.; Tang, S.T.; Chia, T.L.; Yang, h.Y. A bionic hand controlled by hand gesture recognition based on surface EMG signals: A preliminary study. Biocybern. Biomed. Eng. 2018, 38, 126–135. [Google Scholar] [CrossRef]
- Pisharady, P.K.; Saerbeck, M. Recent methods and databases in vision-based hand gesture recognition: A review. Comput. Vis. Image Underst. 2015, 141, 152–165. [Google Scholar] [CrossRef]
- Arunraj, M.; Srinivasan, A.; Arjunan, S.P. A Real-Time Capable Linear Time Classifier Scheme for Anticipated Hand Movements Recognition from Amputee Subjects Using Surface EMG Signals. IRBM 2020. [Google Scholar] [CrossRef]
- Boyali, A.; Hashimoto, N. Spectral Collaborative Representation based Classification for hand gestures recognition on electromyography signals. Biomed. Signal Process. Control. 2016, 24, 11–18. [Google Scholar] [CrossRef]
- Jaber, H.A.; Rashid, M.T.; Fortuna, L. Online myoelectric pattern recognition based on hybrid spatial features. Biomed. Signal Process. Control. 2021, 66, 102482. [Google Scholar] [CrossRef]
- Mendes Souza, G.C.; Moreno, R.L. Netlab MLP - Performance Evaluation for Pattern Recognition in Myoletric Signal. In Proceedings of the Procedia Computer Science; Elsevier: Amsterdam, The Netherlands, 2018; Volume 130, pp. 932–938. [Google Scholar] [CrossRef]
- Kowdiki, M.; Khaparde, A. Automatic hand gesture recognition using hybrid meta-heuristic-based feature selection and classification with Dynamic Time Warping. Comput. Sci. Rev. 2021, 39, 100320. [Google Scholar] [CrossRef]
- Jochumsen, M.; Waris, A.; Kamavuako, E.N. The effect of arm position on classification of hand gestures with intramuscular EMG. Biomed. Signal Process. Control. 2018, 43, 1–8. [Google Scholar] [CrossRef]
- Cifuentes, J.; Pham, M.T.; Moreau, R.; Boulanger, P.; Prieto, F. Medical gesture recognition using dynamic arc length warping. Biomed. Signal Process. Control. 2019, 52, 162–170. [Google Scholar] [CrossRef]
- Licsár, A.; Szirányi, T. User-adaptive hand gesture recognition system with interactive training. Image Vis. Comput. 2005, 23, 1102–1114. [Google Scholar] [CrossRef]
- Simão, M.; Neto, P.; Gibaru, O. EMG-based online classification of gestures with recurrent neural networks. Pattern Recognit. Lett. 2019, 128, 45–51. [Google Scholar] [CrossRef]
- Just, A.; Marcel, S. A comparative study of two state-of-the-art sequence processing techniques for hand gesture recognition. Comput. Vis. Image Underst. 2009, 113, 532–543. [Google Scholar] [CrossRef]
- Salim, U.T.; Dawwd, S.A. Systolic hand gesture recognition/detection system based on FPGA with multi-port BRAMs. Alex. Eng. J. 2019, 58, 841–848. [Google Scholar] [CrossRef]
- Li, Y.; Wang, X.; Liu, W.; Feng, B. Deep attention network for joint hand gesture localization and recognition using static RGB-D images. Inf. Sci. 2018, 441, 66–78. [Google Scholar] [CrossRef]
- Ovur, S.E.; Zhou, X.; Qi, W.; Zhang, L.; Hu, Y.; Su, H.; Ferrigno, G.; De Momi, E. A novel autonomous learning framework to enhance sEMG-based hand gesture recognition using depth information. Biomed. Signal Process. Control. 2021, 66, 102444. [Google Scholar] [CrossRef]
- Huang, Y.; Yang, J. A multi-scale descriptor for real time RGB-D hand gesture recognition. Pattern Recognit. Lett. 2021, 144, 97–104. [Google Scholar] [CrossRef]
- Ameur, S.; Ben Khalifa, A.; Bouhlel, M.S. A novel hybrid bidirectional unidirectional LSTM network for dynamic hand gesture recognition with Leap Motion. Entertain. Comput. 2020, 35, 100373. [Google Scholar] [CrossRef]
- Pinzón-Arenas, J.O.; Jiménez-Moreno, R.; Rubiano, A. Percentage estimation of muscular activity of the forearm by means of EMG signals based on the gesture recognized using CNN. Sens. Bio-Sens. Res. 2020, 29, 100353. [Google Scholar] [CrossRef]
- Suk, H.I.; Sin, B.K.; Lee, S.W. Hand gesture recognition based on dynamic Bayesian network framework. Pattern Recognit. 2010, 43, 3059–3072. [Google Scholar] [CrossRef]
- Lazarou, M.; Li, B.; Stathaki, T. A novel shape matching descriptor for real-time hand gesture recognition. Comput. Vis. Image Underst. 2021, 210, 103241. [Google Scholar] [CrossRef]
- Escobedo Cardenas, E.J.; Chavez, G.C. Multimodal hand gesture recognition combining temporal and pose information based on CNN descriptors and histogram of cumulative magnitudes. J. Vis. Commun. Image Represent. 2020, 71, 102772. [Google Scholar] [CrossRef]
- Sun, Y.; Xu, C.; Li, G.; Xu, W.; Kong, J.; Jiang, D.; Tao, B.; Chen, D. Intelligent human computer interaction based on non redundant EMG signal. Alex. Eng. J. 2020, 59, 1149–1157. [Google Scholar] [CrossRef]
- Noce, E.; Dellacasa Bellingegni, A.; Ciancio, A.L.; Sacchetti, R.; Davalli, A.; Guglielmelli, E.; Zollo, L. EMG and ENG-envelope pattern recognition for prosthetic hand control. J. Neurosci. Methods 2019, 311, 38–46. [Google Scholar] [CrossRef]
- Fatimah, B.; Singh, P.; Singhal, A.; Pachori, R.B. Hand movement recognition from sEMG signals using Fourier decomposition method. Biocybern. Biomed. Eng. 2021, 41, 690–703. [Google Scholar] [CrossRef]
- Barron, O.; Raison, M.; Gaudet, G.; Achiche, S. Recurrent Neural Network for electromyographic gesture recognition in transhumeral amputees. Appl. Soft Comput. J. 2020, 96, 106616. [Google Scholar] [CrossRef]
- Topalović, I.; Graovac, S.; Popović, D.B. EMG map image processing for recognition of fingers movement. J. Electromyogr. Kinesiol. 2019, 49, 102364. [Google Scholar] [CrossRef]
- Premaratne, P.; Yang, S.; Vial, P.; Ifthikar, Z. Centroid tracking based dynamic hand gesture recognition using discrete Hidden Markov Models. Neurocomputing 2017, 228, 79–83. [Google Scholar] [CrossRef]
- Chen, C.; Yu, Y.; Ma, S.; Sheng, X.; Lin, C.; Farina, D.; Zhu, X. Hand gesture recognition based on motor unit spike trains decoded from high-density electromyography. Biomed. Signal Process. Control. 2020, 55, 101637. [Google Scholar] [CrossRef]
- Jiang, S.; Gao, Q.; Liu, H.; Shull, P.B. A novel, co-located EMG-FMG-sensing wearable armband for hand gesture recognition. Sens. Actuators A Phys. 2020, 301, 111738. [Google Scholar] [CrossRef]
- Jiang, X.; Merhi, L.K.; Xiao, Z.; Menon, C. Exploration of Force Myography and surface Electromyography in hand gesture classification. Med. Eng. Phys. 2017, 41, 63–73. [Google Scholar] [CrossRef]
- Boulila, W.; Ghandorh, H.; Khan, M.A.; Ahmed, F.; Ahmad, J. A novel CNN-LSTM-based approach to predict urban expansion. Ecol. Inform. 2021, 64, 101325. [Google Scholar] [CrossRef]
- Saleh, N.M.; Zaini, N.; Latip, M.F.A. Recurrent neural networks-gated recurrent unit for behaviour analysis and prediction modelling to trigger high energy-consumption alert. In Proceedings of the 2019 IEEE 9th International Conference on System Engineering andvTechnology (ICSET), Shah Alam, Malaysia, 7 October 2019; pp. 493–498. [Google Scholar] [CrossRef]
- Jabbari, M.; Khushaba, R.N.; Nazarpour, K. EMG-Based Hand Gesture Classification with Long Short-Term Memory Deep Recurrent Neural Networks. In Proceedings of the Annual International Conference of the IEEE Engineering in Medicine and Biology Society (EMBS), Montreal, QC, Canada, 20–24 July 2020; pp. 3302–3305. [Google Scholar] [CrossRef]
- Samadani, A. Gated Recurrent Neural Networks for EMG-Based Hand Gesture Classification. A Comparative Study. In Proceedings of the Annual International Conference of the IEEE Engineering in Medicine and Biology Society (EMBS), Honolulu, HI, USA, 18–21 July 2018; pp. 1–4. [Google Scholar] [CrossRef]
- Geng, W.; Hu, Y.; Wong, Y.; Wei, W.; Du, Y.; Kankanhalli, M. A novel attention-based hybrid CNN-RNN architecture for sEMG-based gesture recognition. PLoS ONE 2018, 13, e0206049. [Google Scholar] [CrossRef]
- Zhang, Z.; He, C.; Yang, K. A Novel Surface Electromyographic Signal-Based Hand Gesture Prediction Using a Recurrent Neural Network. Sensors 2020, 20, 3994. [Google Scholar] [CrossRef] [PubMed]
- Jiang, Y.; Song, L.; Zhang, J.; Song, Y.; Yan, M. Multi-Category Gesture Recognition Modeling Based on sEMG and IMU Signals. Sensors 2022, 22, 5855. [Google Scholar] [CrossRef] [PubMed]
- Bi, L.; Feleke, A.; Guan, C. A review on EMG-based motor intention prediction of continuous human upper limb motion for human-robot collaboration. Biomed. Signal Process. Control. 2019, 51, 113–127. [Google Scholar] [CrossRef]
- Xie, B.; Li, B.; Harland, A. Movement and Gesture Recognition Using Deep Learning and Wearable-sensor Technology. ACM Int. Conf. Proc. Ser. 2018, 26–31. [Google Scholar] [CrossRef]
- He, Y.; Fukuda, O.; Bu, N.; Okumura, H.; Yamaguchi, N. Surface EMG Pattern Recognition Using Long Short-Term Memory Combined with Multilayer Perceptron. In Proceedings of the Annual International Conference of the IEEE Engineering in Medicine and Biology Society, Honolulu, HI, USA, 18–21 July 2018; pp. 5636–5639. [Google Scholar] [CrossRef]
- Nordin, M.; Frankel, V.H. Basic Biomechanics of the Musculoskeletal System, 4th ed.; Lippincott Williams & Wilkins: Baltimore, MD, USA, 2012; p. 454. [Google Scholar]
- Toro Ossaba, A.; Jaramillo Tigreros, J.J.; Tejada Orjuela, J.C. Open Source Multichannel EMG Armband design. In Proceedings of the 2020 IX International Congress of Mechatronics Engineering and Automation (CIIMA), Cartagena, Colombia, 4–6 November 2020. [Google Scholar] [CrossRef]
- Asogbon, M.G.; Samuel, O.W.; Jiang, Y.; Wang, L.; Geng, Y.; Sangaiah, A.K.; Chen, S.; Fang, P.; Li, G. Appropriate Feature Set and Window Parameters Selection for Efficient Motion Intent Characterization towards Intelligently Smart EMG-PR System. Symmetry 2020, 12, 1710. [Google Scholar] [CrossRef]
- Merletti, R.; Farina, D. Surface Electromyography: Physiology, Engineering and Applications; Wiley: Hoboken, NJ, USA, 2016; pp. 1–570. [Google Scholar] [CrossRef]
- Cipriani, C.; Controzzi, M.; Carrozza, M.C. Objectives, criteria and methods for the design of the SmartHand transradial prosthesis. Robotica 2010, 28, 919–927. [Google Scholar] [CrossRef]
- Ventimiglia, P.; Padir, T.; Schaufeld, J. Design of a Human Hand Prosthesis. A Major Qualifying Project Report. Bachelor’s Thesis, Faculty of the Worcester Polytechnic Institute, Worcester, MA, USA, 2012. [Google Scholar]
- Belter, J.T.; Segil, J.L.; Dollar, A.M.; Weir, R.F. Mechanical design and performance specifications of anthropomorphic prosthetic hands: A review. J. Rehabil. Res. Dev. 2013, 50, 599–618. [Google Scholar] [CrossRef]
- Cordella, F.; Ciancio, A.L.; Sacchetti, R.; Davalli, A.; Cutti, A.G.; Guglielmelli, E.; Zollo, L. Literature review on needs of upper limb prosthesis users. Front. Neurosci. 2016, 10, 209. [Google Scholar] [CrossRef]
- Smith, L.H.; Hargrove, L.J.; Lock, B.A.; Kuiken, T.A. Determining the optimal window length for pattern recognition-based myoelectric control: Balancing the competing effects of classification error and controller delay. IEEE Trans. Neural Syst. Rehabil. Eng. 2011, 19, 186–192. [Google Scholar] [CrossRef]
- Phinyomark, A.; Phukpattaranont, P.; Limsakul, C. Feature reduction and selection for EMG signal classification. Expert Syst. Appl. 2012, 39, 7420–7431. [Google Scholar] [CrossRef]
- Moin, A.; Zhou, A.; Rahimi, A.; Benatti, S.; Menon, A.; Tamakloe, S.; Ting, J.; Yamamoto, N.; Khan, Y.; Burghardt, F.; et al. An EMG Gesture Recognition System with Flexible High-Density Sensors and Brain-Inspired High-Dimensional Classifier. In Proceedings of the 2018 IEEE International Symposium on Circuits and Systems (ISCAS), Florence, Italy, 27–30 May 2018. [Google Scholar]
- Jaramillo-Yánez, A.; Benalcázar, M.E.; Mena-Maldonado, E. Real-time hand gesture recognition using surface electromyography and machine learning: A systematic literature review. Sensors 2020, 20, 2467. [Google Scholar] [CrossRef]
- Goodfellow, I.; Bengio, Y.; Courville, A. Deep Learning; MIT Press: Cambridge, MA, USA, 2016. [Google Scholar]
- Smith, S.W. The Scientist and Engineer’s Guide to Digital Signal Processing, 2nd ed.; California Technical Publishing: San Diego, CA, USA, 1999; p. 640. [Google Scholar]
- Weerakody, P.B.; Wong, K.W.; Wang, G.; Ela, W. A review of irregular time series data handling with gated recurrent neural networks. Neurocomputing 2021, 441, 161–178. [Google Scholar] [CrossRef]
- Wang, Y.; Perry, M.; Whitlock, D.; Sutherland, J.W. Detecting anomalies in time series data from a manufacturing system using recurrent neural networks. J. Manuf. Syst. 2020. [Google Scholar] [CrossRef]
- Yu, Y.; Si, X.; Hu, C.; Zhang, J. A review of recurrent neural networks: LSTM cells and network architectures. Neural Comput. 2019, 31, 1235–1270. [Google Scholar] [CrossRef]
- Hewamalage, H.; Bergmeir, C.; Bandara, K. Recurrent Neural Networks for Time Series Forecasting: Current status and future directions. Int. J. Forecast. 2021, 37, 388–427. [Google Scholar] [CrossRef]
- Chung, J.; Gulcehre, C.; Cho, K.; Bengio, Y. Empirical Evaluation of Gated Recurrent Neural Networks on Sequence Modeling. arXiv 2014, arXiv:1412.3555. [Google Scholar]
- Józefowicz, R.; Zaremba, W.; Sutskever, I. An Empirical Exploration of Recurrent Network Architectures. In Proceedings of the 32nd International Conference on International Conference on Machine Learning (ICML), Lille, France, 6–11 July 2015. [Google Scholar]
- Mangal, S.; Joshi, P.; Modak, R. LSTM vs. GRU vs. Bidirectional RNN for script generation. arXiv 2019, arXiv:1908.04332. [Google Scholar]
- Yang, S.; Yu, X.; Zhou, Y. LSTM and GRU Neural Network Performance Comparison Study: Taking Yelp Review Dataset as an Example. In Proceedings of the 2020 International Workshop on Electronic Communication and Artificial Intelligence (IWECAI), Shanghai, China, 12–14 June 2020; pp. 98–101. [Google Scholar] [CrossRef]
- Mohammed, A.A.; Umaashankar, V. Effectiveness of Hierarchical Softmax in Large Scale Classification Tasks. In Proceedings of the 2018 International Conference on Advances in Computing, Communications and Informatics (ICACCI), Bangalore, India, 19–22 September 2018; pp. 1090–1094. [Google Scholar] [CrossRef]
- Sharma, S.; Sharma, S.; Athaiya, A. Activation Function in Neural Networks. Int. J. Eng. Appl. Sci. Technol. 2020, 4, 310–316. [Google Scholar] [CrossRef]
- Kingma, D.P.; Ba, J.L. Adam: A method for stochastic optimization. In Proceedings of the 3rd International Conference on Learning Representations (ICLR), San Diego, CA, USA, 7–9 May 2015. [Google Scholar]
- Jais, I.K.M.; Ismail, A.R.; Nisa, S.Q. Adam Optimization Algorithm for Wide and Deep Neural Network. Knowl. Eng. Data Sci. 2019, 2, 41. [Google Scholar] [CrossRef]
- Sakinah, N.; Tahir, M.; Badriyah, T.; Syarif, I. LSTM with Adam Optimization-Powered High Accuracy Preeclampsia Classification. In Proceedings of the IES 2019—International Electronics Symposium: The Role of Techno-Intelligence in Creating an Open Energy System Towards Energy Democracy, Surabaya, Indonesia, 27–28 September 2019; pp. 314–319. [Google Scholar] [CrossRef]
- Défossez, A.; Bottou, L.; Bach, F.; Usunier, N. A Simple Convergence Proof of Adam and Adagrad. arXiv 2020, arXiv:2003.02395. [Google Scholar]
- Feurer, M.; Hutter, F. Automated Machine Learning; Springer: Cham, Switzerland, 2019; pp. 3–33. [Google Scholar] [CrossRef]
- Wu, J.; Chen, X.Y.; Zhang, H.; Xiong, L.D.; Lei, H.; Deng, S.H. Hyperparameter Optimization for Machine Learning Models Based on Bayesian Optimization. J. Electron. Sci. Technol. 2019, 17, 26–40. [Google Scholar] [CrossRef]
- Li, W.; Wing, W.W.; Wang, T.; Pelillo, M.; Kwong, S. HELP: An LSTM-based approach to hyperparameter exploration in neural network learning. Neurocomputing 2021, 442, 161–172. [Google Scholar] [CrossRef]
- Bergstra, J.; Bengio, Y. Random Search for Hyper-Parameter Optimization. J. Mach. Learn. Res. 2012, 13, 281–305. [Google Scholar]
- Quemy, A. Two-stage optimization for machine learning workflow. Inf. Syst. 2020, 92, 101483. [Google Scholar] [CrossRef]
- Grandini, M.; Bagli, E.; Visani, G. Metrics for Multi-Class Classification: An Overview. arXiv 2020, arXiv:2008.05756. [Google Scholar]
- Igual, C.; Pardo, L.A.; Hahne, J.M.; Igual, J. Myoelectric Control for Upper Limb Prostheses. Electronics 2019, 8, 1244. [Google Scholar] [CrossRef]
- Singh, R.M.; Chatterji, S. Trends and Challenges in EMG Based Control Scheme of Exoskeleton Robots—A Review. Int. J. Sci. Eng. Res. 2012, 3, 933–940. [Google Scholar]
- Ison, M.; Artemiadis, P. The role of muscle synergies in myoelectric control: Trends and challenges for simultaneous multifunction control. J. Neural Eng. 2014, 11, 051001. [Google Scholar] [CrossRef]











| Model | Architecture | Training | Validation | ||
|---|---|---|---|---|---|
| Accuracy | F1-Score | Accuracy | F1-Score | ||
| 1 | LSTM (8) | 0.6575 | 0.6173 | 0.6000 | 0.5392 |
| 2 | LSTM (16) | 0.9075 | 0.9068 | 0.8500 | 0.8360 |
| 3 | LSTM (32) | 0.9700 | 0.9700 | 0.9600 | 0.9589 |
| 4 | Dense (8) LSTM (16) Dense (8) | 0.9850 | 0.9849 | 0.9900 | 0.9894 |
| 5 | Dense (16) LSTM (16) Dense (16) | 0.9875 | 0.9874 | 0.9800 | 0.9798 |
| 6 | Dense (32) LSTM (16) Dense (32) | 0.9925 | 0.9925 | 0.9900 | 0.9896 |
| Model | Accuracy in Session | Average | SD () | |||
|---|---|---|---|---|---|---|
| 1 | 2 | 3 | 4 | |||
| 4 | 0.7500 | 0.8443 | 0.8521 | 0.7456 | 0.7980 | 0.0581 |
| 5 | 0.8724 | 0.7455 | 0.7895 | 0.8406 | 0.8120 | 0.0559 |
| 6 | 0.8640 | 0.9660 | 0.7979 | 0.8640 | 0.8729 | 0.0694 |
| Model | F1-Score in Session | Average | SD () | |||
|---|---|---|---|---|---|---|
| 1 | 2 | 3 | 4 | |||
| 4 | 0.6555 | 0.7548 | 0.8023 | 0.7054 | 0.7295 | 0.0632 |
| 5 | 0.8720 | 0.7465 | 0.7854 | 0.8401 | 0.8110 | 0.0559 |
| 6 | 0.8526 | 0.9660 | 0.7377 | 0.8473 | 0.8509 | 0.0932 |
| Model | Accuracy | F1-Score |
|---|---|---|
| 4 | 0.7980 ± 0.0581 | 0.7295 ± 0.0632 |
| 5 | 0.8120 ± 0.0559 | 0.8110 ± 0.0559 |
| 6 | 0.8729 ± 0.0694 | 0.8509 ± 0.0932 |
| Work | Channels | Classifier | Test Accuracy |
|---|---|---|---|
| Samadani [36] | 12 | Stacked LSTM | 89.50% |
| Jabbari et al. [35] | 8 | BILSTM-AT | |
| Zhang et al. [35] | 8 | Stacked GRU | 89.60% |
| Jiang et al. [39] | 8 | Stacked LSTM | 97.10% |
| Xie et al. [41] | 16 | LSTM | 78.13% |
| He et al. [42] | 12 | LSTM-Dense | 75.50% |
| Hu et al. [37] | 10 | CNN-RNN | 87.00% |
| Ours | 4 | LSTM-Dense |
Publisher’s Note: MDPI stays neutral with regard to jurisdictional claims in published maps and institutional affiliations. |
© 2022 by the authors. Licensee MDPI, Basel, Switzerland. This article is an open access article distributed under the terms and conditions of the Creative Commons Attribution (CC BY) license (https://creativecommons.org/licenses/by/4.0/).
Share and Cite
Toro-Ossaba, A.; Jaramillo-Tigreros, J.; Tejada, J.C.; Peña, A.; López-González, A.; Castanho, R.A. LSTM Recurrent Neural Network for Hand Gesture Recognition Using EMG Signals. Appl. Sci. 2022, 12, 9700. https://doi.org/10.3390/app12199700
Toro-Ossaba A, Jaramillo-Tigreros J, Tejada JC, Peña A, López-González A, Castanho RA. LSTM Recurrent Neural Network for Hand Gesture Recognition Using EMG Signals. Applied Sciences. 2022; 12(19):9700. https://doi.org/10.3390/app12199700
Chicago/Turabian StyleToro-Ossaba, Alejandro, Juan Jaramillo-Tigreros, Juan C. Tejada, Alejandro Peña, Alexandro López-González, and Rui Alexandre Castanho. 2022. "LSTM Recurrent Neural Network for Hand Gesture Recognition Using EMG Signals" Applied Sciences 12, no. 19: 9700. https://doi.org/10.3390/app12199700
APA StyleToro-Ossaba, A., Jaramillo-Tigreros, J., Tejada, J. C., Peña, A., López-González, A., & Castanho, R. A. (2022). LSTM Recurrent Neural Network for Hand Gesture Recognition Using EMG Signals. Applied Sciences, 12(19), 9700. https://doi.org/10.3390/app12199700

