Shape Optimization of the Streamlined Train Head for Reducing Aerodynamic Resistance and Noise
Abstract
1. Introduction
2. Multi-Objective Optimization Process
2.1. Method
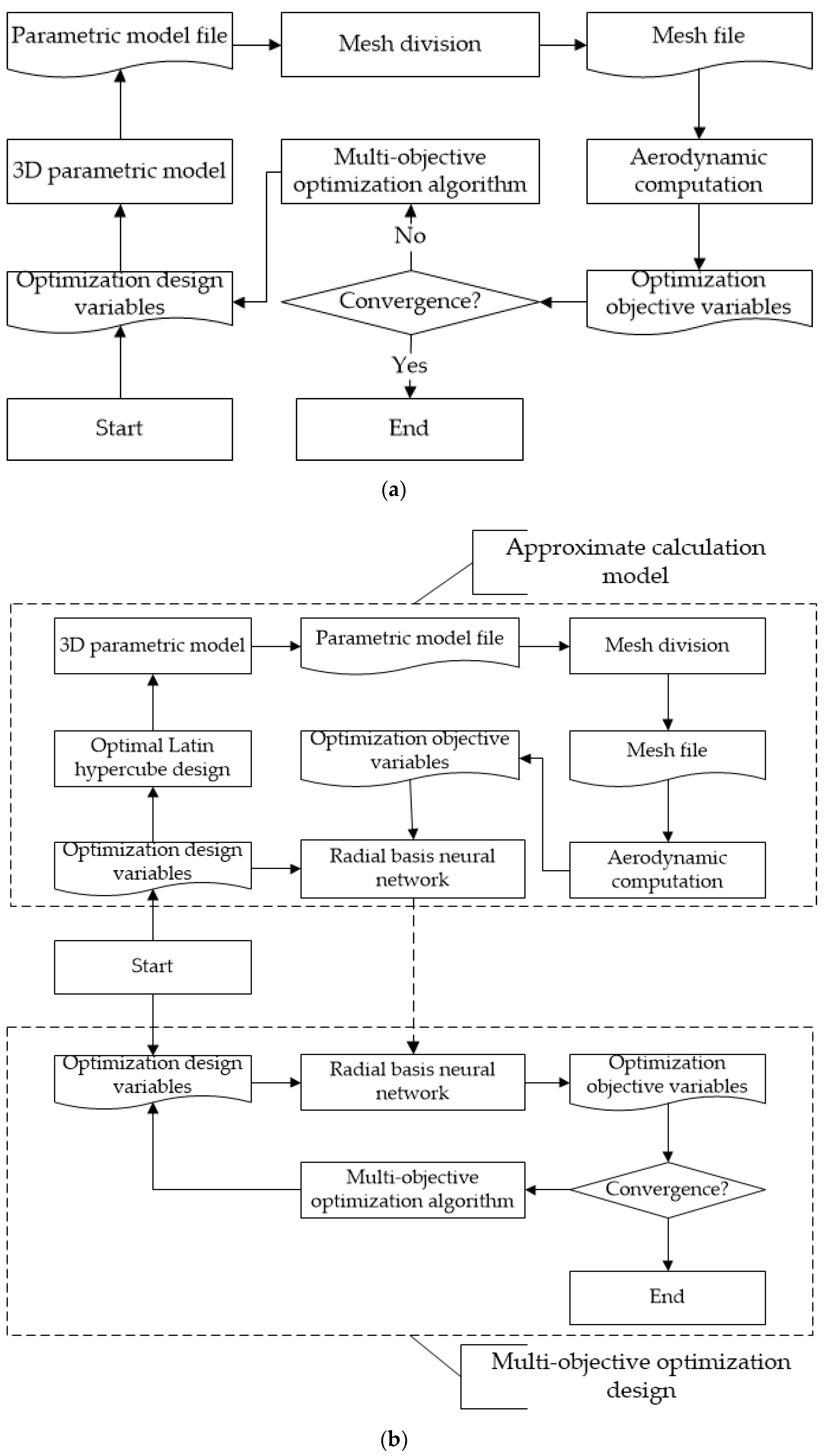
2.2. Calculation Procedure
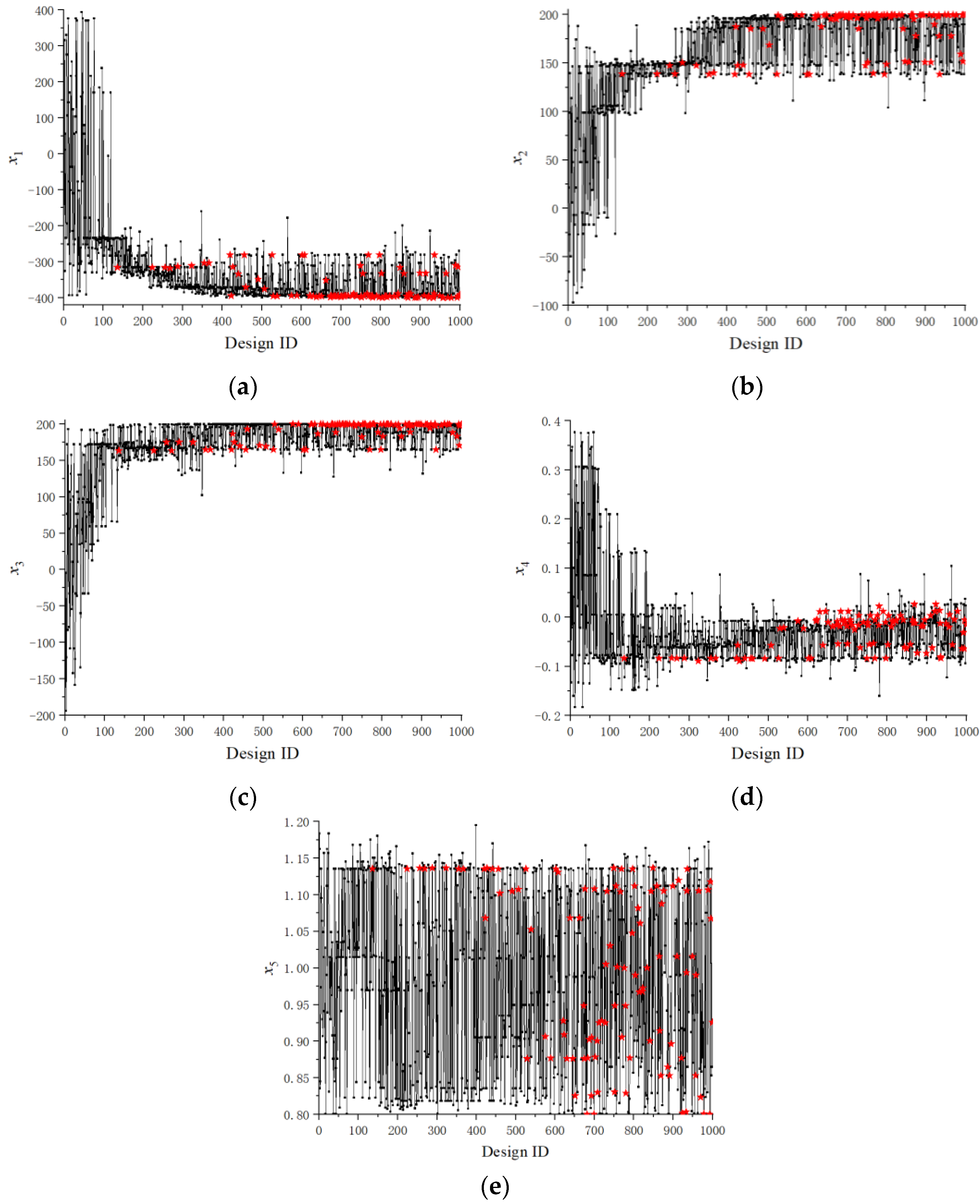
2.3. Optimal Latin Hypercube Sampling
2.4. Radial Basis Function Neural Network
2.5. Optimization Algorithm
3. Train Aerodynamic Model
3.1. Parametric Model of Streamlined Head
3.2. Computational Model
4. Results
5. Conclusions
Author Contributions
Funding
Institutional Review Board Statement
Informed Consent Statement
Conflicts of Interest
References
- Bell, J.R.; Burton, D.; Thompson, M.C.; Herbst, A.H.; Scheridan, J. A wind-tunnel methodology for assessing the slipstream of high-speed trains. J. Wind Eng. Ind. Aerodyn. 2017, 166, 1–19. [Google Scholar] [CrossRef]
- Li, T.; Dai, Z.Y.; Yu, M.G.; Zhang, W.H. Numerical investigation on the aerodynamic resistances of double-unit trains with different gap lengths. Eng. Appl. Comp. Fluid. 2021, 15, 549–560. [Google Scholar] [CrossRef]
- Li, T.; Hemida, H.; Rashidi, M.; Zhang, W.H. The effect of numerical divergence schemes on the flow around trains. Fluid Dyn. Res. 2020, 52, 025509. [Google Scholar] [CrossRef]
- Dai, Z.Y.; Li, T.; Deng, J.; Zhou, N.; Zhang, W.H. Effect of the strip spacing on the aerodynamic performance of a high-speed double-strip pantograph. Vehicle Syst. Dyn. 2022, 60, 3358–3374. [Google Scholar] [CrossRef]
- Ding, S.S.; Li, Q.; Tian, A.Q.; Du, J.; Liu, J.L. Aerodynamic design on high-speed trains. Acta Mech. Sin. 2016, 32, 215–232. [Google Scholar] [CrossRef]
- Liang, X.F.; Liu, H.F.; Dong, T.Y.; Yang, Z.G.; Tan, X.M. Aerodynamic noise characteristics of high-speed train foremost bogie section. J. Cent. South Univ. 2020, 27, 1802–1813. [Google Scholar] [CrossRef]
- Liu, W.; Ji, Z.L.; Guo, D.L.; Yang, G.W.; Zhou, G.W.; Ren, K.H. Effects of bottom deflectors on aerodynamic drag reduction of a high-speed train. Acta Mech. Sin. 2022, 38, 321251. [Google Scholar] [CrossRef]
- Li, T.; Qin, D.; Li, M.; Zhang, J.Y. Aerodynamic drag reduction of a high-speed train nose with bionic round pits. Comput. Sci. Eng. 2019, 21, 31–41. [Google Scholar] [CrossRef]
- Hwang, B.G.; Lee, S.; Lee, E.J.; Kim, J.J.; Kim, M.; You, D.; Sang, J.L. Reduction of drag in heavy vehicles with two different types of advanced side skirts. J. Wind Eng. Ind. Aerodyn. 2016, 155, 36–46. [Google Scholar] [CrossRef]
- Zhang, Y.D.; Zhang, J.Y.; Li, T.; Zhang, L.; Zhang, W.H. Research on aerodynamic noise reduction for high-speed trains. Shock Vib. 2016, 6031893. [Google Scholar] [CrossRef]
- Li, Q.L.; Li, Z.M.; Ouyang, M.H.; Yang, Z.G. Coherence and reduced order analyses of flow field and aerodynamic noise for full-scale high-speed trains pantograph. Appl. Acoust. 2022, 193, 108777. [Google Scholar]
- Kim, H.; Hu, Z.W.; Thompson, D. Numerical investigation of the effect of cavity flow on high speed train pantograph aerodynamic noise. J. Wind Eng. Ind. Aerodyn. 2020, 201, 104159. [Google Scholar] [CrossRef]
- Muñoz-Paniagua, J.; García, J. Aerodynamic drag optimization of a high-speed train. J. Wind Eng. Ind. Aerodyn. 2020, 204, 104215. [Google Scholar] [CrossRef]
- Zhang, L.; Dai, Z.Y.; Li, T.; Zhang, J.Y. Multi-objective aerodynamic shape optimization of a streamlined high-speed train using Kriging model. J. Zhejiang Univ. -Sci. A (Appl. Phys. Eng.) 2022, 23, 225–242. [Google Scholar] [CrossRef]
- Wang, S.; Wang, R.; Xia, Y.; Sun, Z.X.; You, L.H.; Zhang, J.J. Multi-objective aerodynamic optimization of high-speed train heads based on the PDE parametric modeling. Struct. Multidiscip. Optim. 2021, 64, 1285–1304. [Google Scholar] [CrossRef]
- Zhao, M.; Cui, W.C. Application of the optimal Latin hypercube design and radial basis function network to collaborative optimization. J. Mar. Sci. Appl. 2007, 6, 24–32. [Google Scholar] [CrossRef]
- Deb, K.; Agrawal, S.; Pratap, A.; Meyarivan, T. A fast and elitist multi-objective genetic algorithm: NSGA-II. IEEE Trans. Evol. Comput. 2002, 6, 182–197. [Google Scholar] [CrossRef]
- Yu, M.G.; Zhang, J.Y.; Zhang, W.H. Multi-objective optimization design method of the high-speed train head. J. Zhejiang Univ. -Sci. A (Appl. Phys. Eng.) 2013, 14, 631–641. [Google Scholar] [CrossRef]
- Curle, N. The influence of solid boundaries upon aerodynamic sound. Proc. R. Soc. A Math. Phys. Eng. Sci. 1955, 231, 506–514. [Google Scholar]











| x1, [−400, 400]/(mm) | x2, [−100, 200]/(mm) | x3, [−200, 200]/(mm) | x4, [−0.2, 0.4] | x5, [−0.8, 1.2] |
|---|---|---|---|---|
![]() | ![]() | ![]() | ![]() | ![]() |
![]() | ![]() | ![]() | ![]() | ![]() |
| Maximum Surface Grid | Total Cells (Million) | Aerodynamic Resistance(N) | Dipole Noise Source(dB) | |
|---|---|---|---|---|
| mesh1 | 250 | 4.18 | 3456.2 | 110.7 |
| mesh2 | 200 | 5.92 | 3298.9 | 111.2 |
| mesh 3 | 150 | 8.56 | 3327.3 | 111.3 |
Publisher’s Note: MDPI stays neutral with regard to jurisdictional claims in published maps and institutional affiliations. |
© 2022 by the authors. Licensee MDPI, Basel, Switzerland. This article is an open access article distributed under the terms and conditions of the Creative Commons Attribution (CC BY) license (https://creativecommons.org/licenses/by/4.0/).
Share and Cite
Yu, M.; Liu, J.; Huo, W.; Zhang, J. Shape Optimization of the Streamlined Train Head for Reducing Aerodynamic Resistance and Noise. Appl. Sci. 2022, 12, 10146. https://doi.org/10.3390/app121910146
Yu M, Liu J, Huo W, Zhang J. Shape Optimization of the Streamlined Train Head for Reducing Aerodynamic Resistance and Noise. Applied Sciences. 2022; 12(19):10146. https://doi.org/10.3390/app121910146
Chicago/Turabian StyleYu, Mengge, Jiali Liu, Wei Huo, and Jiye Zhang. 2022. "Shape Optimization of the Streamlined Train Head for Reducing Aerodynamic Resistance and Noise" Applied Sciences 12, no. 19: 10146. https://doi.org/10.3390/app121910146
APA StyleYu, M., Liu, J., Huo, W., & Zhang, J. (2022). Shape Optimization of the Streamlined Train Head for Reducing Aerodynamic Resistance and Noise. Applied Sciences, 12(19), 10146. https://doi.org/10.3390/app121910146










