Next Article in Journal
Multi-Output Regression with Generative Adversarial Networks (MOR-GANs)
Previous Article in Journal
Molecular Techniques and Target Selection for the Identification of Candida spp. in Oral Samples
 
 
Font Type:
Arial Georgia Verdana
Font Size:
Aa Aa Aa
Line Spacing:
Column Width:
Background:
Article

Moore–Gibson–Thompson Thermoelastic Model Effect of Laser-Induced Microstructures of a Microbeam Sitting on Visco-Pasternak Foundations

by
Ahmed E. Abouelregal
1,2,*,
Ioannis Dassios
3,* and
Osama Moaaz
2,4
1
Department of Mathematics, College of Science and Arts, Jouf University, Al-Qurayat 77455, Saudi Arabia
2
Department of Mathematics, Faculty of Science, Mansoura University, Mansoura 35516, Egypt
3
FRESLIPS, School of Electrical & Electronic Engineering, University College Dublin, D04 V1W8 Dublin, Ireland
4
Department of Mathematics, College of Science, Qassim University, P.O. Box 6644, Buraydah 51482, Saudi Arabia
*
Authors to whom correspondence should be addressed.
Appl. Sci. 2022, 12(18), 9206; https://doi.org/10.3390/app12189206
Submission received: 11 August 2022 / Revised: 3 September 2022 / Accepted: 10 September 2022 / Published: 14 September 2022
(This article belongs to the Section Materials Science and Engineering)

Abstract

Due to the intricacy of this topic, the thermal study of microstructures on triple-parameter foundations subjected to ultrafast laser pulses has not received much attention. It is necessary to determine the thermal performance of a structure to examine the thermoelastic properties that are caused by a heat source that is generated by a laser pulse. In this paper, the framework of a microscale beam is presented; it was exposed to harmonically fluctuating heat and rested on a visco-Pasternak base under the impact of axial stress. The Euler-Bernoulli beam model was used for this objective, and a very short laser pulse heated the medium. In addition, the Moore–Gibson–Thompson (MGT) non-Fourier thermoelastic theory was used to attempt to explain the thermal variables of the system, and the equations regulating the vibration of thermo-elastic microbeams were then constructed. A semi-analytical strategy is described to examine the properties of the studied field variables. This methodology uses the Laplace transform as well as an approximate computational method for inverse transformations. The influences of the operative parameters on the thermal deflection, axial thermal stress, displacement fields, and temperature change are presented. These effects include damping constants, laser pulses, and the stiffness of viscoelastic and elastic foundations. In addition, the results that were found were compared with previous literature in order to validate the derived model. Finally, more computational outcomes are presented to study the properties of different temperature factors including in the MGT thermoelastic model.

1. Introduction

Many manufacturing processes are usually exposed to moving heat sources such as welding, cutting, surface laser treatment, and some tribological problems [1,2]. Two important applications of a laser pulse beam, i.e., laser texturing and laser piercing processes, are illustrated in Figure 1. Thanks to its simplicity and effectiveness, “beam theory” is an essential tool in solid mechanics that enables the designers and engineers to evaluate the behavior of different structures and systems from macro- to micro-scale dimensions. Beam theories are commonly used in the pre-design stages because they offer a substantial understanding of the performance of structures. This is true even though more sophisticated theories for stress investigation of complex structural systems are now accessible. Several theories concerning beams have been developed, all of which are predicated on various assumptions and produce varying levels of precision. The Euler-Bernoulli beam model is widely recognized as one of the field’s most fundamental and significant concepts. Microscale beams use microscale beams, many microstructure devices, systems like sensors and actuators, microelectromechanical systems (MEMS), and very thin electronic gadgets [3,4]. Understanding the thermal behavior of such structural components in the manufacturing processes is critical for predicting the performance of such sensitive devices.
The response of beams that are on two-parameter elastic foundations, which have a variety of features in design and related industries, has been the subject of a significant amount of research in the past few years, and various theoretical works have been presented recently that have analyzed this behavior and attitude [5]. Many different structures and systems can be described as beam structures that foundations support. An essential area of geotechnical engineering is the study of structural foundations that are supported by soil media. It is both necessary and practical to idealize the soils’ responses to external loads because the majority of naturally existing soils have complicated stress-strain properties.
Geotechnical assessments of beams that have been resting on elastic soil layers or pile behaviors caused by horizontal stresses, etc., have all benefited from using the Winkler model (1867). Based on “Winkler’s hypothesis”, which argues that the deflection at every point on the surface of an elastic continuum is proportional exclusively to the load that is being applied to the surface, this model was developed. An independent set of vertical linear springs is considered to compose the continuum in this mechanical model, which follows from the premise in question. Disadvantages arise, however, from the fact that the displacements that are in adjacent cells do not blend smoothly [6]. By introducing shear interaction between the nearby Winkler spring elements, Pasternak (1954) revolutionized the field. By using the words “Pasternak model” to describe a generalized foundation model, Kerr (1964) viewed Pasternak’s mechanical model as a shear layer on the Winkler framework. The Pasternak model, referred to as PM from here on out, is applied in a similar way. For the past many decades, the approaches for obtaining the parameters have been addressed because the two-parameter models inevitably need both values for their use in practical applications. Despite not providing the parameters’ exact values, Pasternak himself recommended utilizing plate loading tests to evaluate the two parameters.
The interaction between the elastic substrate and the main structures and their influence on the system’s thermal behavior may be important in several engineering fields. Despite their significant structural design challenges, elastic-founded structures are frequently utilized in modern architecture, civil engineering, and electronic devices. Consequently, in recent years, numerous attempts have been conducted to explore elastic structures’ dynamic and thermal behaviors, where different foundation models were described in detail [7,8,9,10,11,12].
Any temperature variation in a physical system allows heat to move from one temperature range to another. Until the temperature of the device is steady, this kind of transmission occurs. Although, over the past two decades, scientists have paid considerable attention to Fourier’s thermal conduction equations for modeling the thermal analysis of structures, various phenomena continue to occur in everyday life requiring specific consideration and interpretation. For instance, the fundamental Fourier law appears to be wrong when extremely quick events and small scales are taken into account, and complicated theories are required to characterize the thermal conductivity of systems in science, accurately. The extended thermoelasticity hypothesis considers the effects of the interplay between temperature and strain speed. However, the following coupling formulas are hyperbolic.
Figure 1. (a) Schematic of laser texturing process using pulsed laser [11] (b) and the laser cutting process [12].
Figure 1. (a) Schematic of laser texturing process using pulsed laser [11] (b) and the laser cutting process [12].
Applsci 12 09206 g001
Consequently, the paradox of the unlimited rate of heat waves in the conventional coupled model will be resolved. Lord and Shulman [13] created a more advanced generalized heat conduction model that included a novel heat transfer law to overcome the traditional Fourier law flaw. The updated rule covers heat transport and its partial derivative which is connected to time. Three thermoelastic theories were developed by Green and Naghdi [14,15,16] for homogeneous elastic materials. These theories for the coupled equations aim to transform type I to conventional heat conduction concepts, where the associated systems are linear. Thermal waves can propagate at a restricted rate in the linearized forms of types II and III. Several investigators [17,18,19,20,21] have presented new generalized theories to improve the standard Fourier’s law by employing higher-order time derivatives.
The dynamic thermal behavior of an elastic medium that is exposed to heat sources has attracted more attention in the past decade. By developing an equation with two unique phase lags, one which is in the temperature gradient and the other which is in the heat flux vector, Tzou [22] devised a two-stage heat transfer law in order to determine the amount of time that passes before the reactions occur due to the effect of the microstructure throughout the duration. The theory of three-phase delays that was suggested by Roychoudhari is also one of the theories of thermoelasticity [23] that is developed in this context.
In recent years, studies have given greater consideration to the Moore–Gibson–Thompson (MGT) equation, which is used in the thermal study of elastic materials. This model can be derived by applying a third-order differential equation that considers the importance of different aspects of fluid mechanics.
Although many generalized thermoelastic theories have been presented to solve the problem of heat wave propagation at infinite speeds, some generalized theories, such as the Green and Naghdi model of the third type (GN-III) [15], in addition to Roychoudhari’s model [23], show that the main component depends on infinity in some components of the energy equation and the revised Fourier law. As a result, relying on the solutions of these models often fails [24]. Because of this problem, Quintanilla [25,26] developed a new and better heat transfer model by adding the effect of relaxation time to the third type of the GN-III model. Based on a system that includes the Moore–Gibson–Thompson (MGT) equation, Quintanilla [25,26] introduced the improved model for heat conduction. Many researchers have recently utilized different thermoelastic models by considering specific assumptions and hypotheses [27,28,29,30,31,32,33,34,35,36,37,38,39].
As a result of the complexity of the model, the issue of microbeams resting on three-parameter foundations while being exposed to initial thermal stress has attracted less considerable attention. In addition, the thermoelastic behavior of microstructures that are constructed on visco-Pasternak foundations involving axial tension and thermal coupling has not been previously investigated, and the current research study is the first effort to concentrate on the MGT thermoelastic model. In reality, several different foundation models are explored, along with the use of numerical and analytical methods, to perform free vibration studies of most buildings. Therefore, adding thermal coupling to the equation is a new way to deal with the vibration problems of these kinds of buildings that are on elastic foundations.
This paper will be structured as follows. The fundamental equations and fundamental ideas of thermoelasticity are introduced in Section 2. In Section 3, the thermoelastic coupling and its influence on the transient behavior of microbeams that are on a three-parameter viscoelastic foundation that is illuminated by a very short laser pulse are considered. The strategy of the Laplace transform technique was used to solve the equilibrium system, as is shown in Section 4, while the response of the studied field variables is analyzed and discussed in detail in Section 5 through some sub-sections. In Section 6 of the article, the most important conclusions that have been obtained are summarized.

2. Basic Equations of MGT Thermoelasticity

According to the theory of thermoelasticity, the basic system equations for homogeneous solids can be expressed as [23]:
σ i j = C i j k l e k l γ i j T T 0
ρ S = ρ C E T 0 T T 0 + γ i j e i j
e i j = 1 2 u i , j + u j , i
S t + 1 ρ T 0 q i , i = 1 T 0 Q ,
q i = K i j θ , j
where σ i j represents the stress tensor, u i denotes the displacement components, θ = T T 0 , T is the absolute temperature, T 0 indicates the ambient temperature, e i j symbolizes the strain components, C i j k l stands for elastic parameters, K i j represents components of the thermal conductivity tensor, γ i j denote the coupling coefficients, C E indicates the specific heat, i , j , k = 1 , 2 , 3 , Q denotes the heat source, q i is the heat flow, and ρ represents the substance’s density.
A parabolic equation is produced when the energy conversion Equation (4) and Fourier’s law (1) are combined. This allows the waves to spread at nearly unlimited rates. This conclusion is physically unlikely, and many scientists have claimed that this model is incompatible with the idea of extremely fast thermal conductivity. For this reason, the MGT equation was employed in this investigation to propose a revised law of thermal conductivity to solve this physical discrepancy. In the proposed model, this problem is solved by producing a hyperbolic partial differential equation that represents the motion equation that is based on the displacement vector and another one that represents the thermal conductivity equation that is based on the temperature change.
The modified MGT thermoelastic equation can be written as [25,27]:
1 + τ 0 t ρ C E 2 θ t 2 + β i j T 0 2 u m , m t 2 ρ Q t = K i j θ ˙ , j , i + K i j * θ ˙ , j , i
The Moore–Gibson–Thompson model of thermoelasticity, abbreviated as MGTTE, can be derived from four separate models of classical and generalized thermoelasticity, depending on the specific conditions of a particular case and the thermal constants. Here is a list of previous thermodynamic models that can be derived:
  • When τ 0 = 0 and K i j * = 0 , it is possible to use the conventional thermoelastic theory (CTE).
  • The framework for Lord and Shulman (LS) may be produced if the value of K i j * is equal to zero.
  • The idea of Green-Naghdi (GN-II) may be derived if τ 0 = 0 and K i j = 0
  • The model of Green-Naghdi (GN-II) of type III (GN-III) through the usage of τ 0 = 0 .

3. Statement of the Problem

The illustration in Figure 2 displays a very thin, flexible microbeam with a constant cross-section A that has been excited by an ultrashort laser. The x directions specify the beam axis, while the y and z variables specify the microbeam width and thickness, respectively. The microbeam is exposed to small-amplitude bending oscillations along the x -axis, resulting in a deflection that conforms to the linear Euler–Bernoulli theory (EBT). As shown below, the EBT with small deflections w x , t is used to figure out the displacements and stresses.
u = z w x , v = 0 , w = w x , t  
e x x = e = z 2 w x 2  
The Pasternak type that has two parameters is the greatest straightforward extension of the Winkler model what has a single parameter. It functions by attaching the ends of the springs to a plate that employs a shear layer, which is thought to be incompressible and simulates the shear interaction that occurs between the various spring components. The microbeam that is under consideration is contained within a homogeneous, three-parameter, viscoelastic substrate. The Pasternak (shear) basis modulus K p , the damping modulus K c of the viscous medium and, finally, the linear Winkler modulus K s create the foundation model.
Taking into account the fact that there is infinite contact between the microbeam and the material, the reaction behaves according to a basic three-parameter visco-Pasternak model, according to the relationship.
R f x , t = K S w K p 2 w x 2 + K C w t  
This model may be reduced to the visco-Winkler model by setting K p equal to zero. It is possible to eliminate the viscoelastic term by setting K c = 0 . The is one constitutive equation for a one-dimensional thermoelastic medium, which is provided by:
σ x = E u x α T E θ = E z 2 w x 2 + α T θ  
where α T = α t / 1 2 ν , α t denotes thermal expansion, E represents the modulus of elasticity, ν denotes the Poisson’s ratio, and σ x indicates the thermal stress. The equation of motion for the microscale beams can be stated as follows when using Pasternak’s basis and Hamilton’s principle and taking into account the presence of an axial force:
2 M x 2 = ρ A 2 w t 2 + σ 0 A 2 w x 2 + R f x , t  
where M represents the moment of bending, which may be calculated using the following equation:
M = z σ x d A  
When Equation (10) is put into Equation (12), the bending moment may be calculated as
M x , t = E I 2 w x 2 + α T M T  
in which the cross-section inertia moment is I = b h 3 / 12 , and M T = 12 h 3 h / 2 h / 2 θ x , z , t z d z stands for the thermal moment. Equation (13), when it is inserted into Equation (11), yields
E I 4 w x 4 + ρ A 2 w t 2 + σ 0 A K p 2 w x 2 + K S w + K C w t + α T E I 2 M T x 2 = 0  
The following is a generalized form of the Moore–Gibson–Thompson heat transfer Equation (6), which may also be written as [25,27]:
1 + τ 0 t ρ C E 2 θ t 2 z α T T 0 E 2 t 2 2 w x 2 ρ Q t = K * + K t 2 θ x 2 + 2 θ z 2  
The temperature increase for the present microbeam is supposed to vary in the following form:
θ x , z , t = Θ x , t sin π z h  
Consequently, we obtain this by inserting Equation (16) into Equations (13) and (14):
E I 4 w x 4 + ρ A 2 w t 2 + σ 0 A K p 2 w x 2 + K S w + K C w t + 24 E I α T h π 2 2 Θ x 2 = 0  
M x , t = E I 2 w x 2 + 24 T 0 α T h π 2 Θ  
After multiplying by 12 z / h 3 , the result of doing an integration concerning z along the microbeam thickness using Equation (15) is shown below:
1 + τ 0 t ρ C E K 2 Θ t 2 α T h π 2 T 0 E 24 K 2 t 2 2 w x 2 = K * + K t 2 x 2 π 2 h 2 Θ + π 2 2 K h 2 1 + τ 0 t h / 2 h / 2 z Q t d z  
We now offer the non-dimensional variables that are stated as follows.
x , z , u , w , L , h = c 0 η 0 x , z , u , w , L , h , t , τ 0 , τ d = c 0 2 η 0 t , τ 0 , τ d Θ = Θ T 0 , σ x = σ x E , Q = Q c 0 2 η 0 2 K T 0 , M = M c 0 η 0 E I , c 0 = E ρ , η 0 = ρ C E K  
When it comes to these non-dimensional values (after removing the primes), the equations that control the situation consist of the following:
4 w x 4 + 12 h 2 2 w t 2 + 1 h 2 σ 0 K 2 2 w x 2 + K 1 h 2 w + K 0 h 2 w t + 24 α T h π 2 2 Θ x 2 = 0  
1 + τ 0 t 2 Θ t 2 α T h π 2 E 24 K η 0 2 t 2 2 w x 2 = K * c 0 2 η 0 K + t 2 x 2 π 2 h 2 Θ + π 2 2 1 + τ 0 t h / 2 h / 2 z Q t d z  
M x , t = 2 w x 2 + 24 T 0 α T h π 2 Θ  
σ x = z 2 w x 2 + T 0 α T Θ  
where K 0 , K 1 , and K 2 each stand for the amount of time it takes the elastic substrate to mechanically relax due to the viscoelasticity, the Winkler model, and the shear stiffness of the elastic substrate, respectively. The equation for calculating the energy absorption rate, denoted by Q x , z , t , can be imposed as follows: [40,41]:
Q x , z , t = 0.94 J z 1 R δ t p exp 1.991 t t p x δ  
In which and represent the laser and surface effects, respectively, t p denotes the duration of a laser pulse, and δ is the laser penetration depth.
Moreover, initial conditions are expected to be:
Θ x , 0 = Θ x , 0 t = 0 , w x , 0 = w x , 0 t = 0  
We will proceed to the assumption that the microbiome meets the following boundary requirements in its entirety at its two ends:
w 0 , t = w L , t = 0 , 2 w 0 , t x 2 = 2 w L , t x 2 = 0  
There are several sinusoidal pulse actuations with different pulse widths. Pulsed thermal shock generators are used in several different applications to achieve higher machinery efficiency levels. At the end x = 0 , the microbeam is considered to be thermally stressed by a harmonically varying heat.
Θ x , 0 = Θ 0 H t cos ω t      
where H t denotes the Heaviside step function, ω represents the frequency of the system of the vibration that is caused by heat, and Θ 0 is a constant. It should be noted that if the frequency of the thermal vibration ω = 0 , the boundary is presumed to represent a thermal shock.
It is also supposed that at x = L , the function Θ meets the following requirements:
Θ x = 0           on             x = L  

4. Solution in the Transformed Domain

The Laplace transform approach is a very effective and helpful tool that has been used in mathematical applications in various areas of science and engineering. It is utilized to solve differential and integral equations. However, identifying the reversal of a specific transformation is a difficult challenge to solve when one is using this strategy. To address the problem, we will utilize the Laplace Transform, which is described by the following formula:
L G x , t = G ¯ s , t = 0 e s t G x , t d t  
When we apply the Laplace transform to Equations (16)–(19) together with (21), we find that:
d 4 d x 4 + A 0 d 2 d x 2 + A 1 w ¯ = A 2 d 2 Θ ¯ d x 2  
A 4 d 2 w ¯ d x 2 = d 2 w ¯ d x 2 A 3 Θ ¯ + A 7 e x / δ  
M ¯ x , t = d 2 w ¯ d x 2 + A 5 Θ ¯  
σ ¯ x = z d 2 w ¯ d x 2 + A 6 Θ ¯  
where
A 0 = 12 σ 0 K 2 h 2 ,         A 1 = 12 h 2 s 2 + K 1 + K 0 s ,         A 2 = 24 T 0 α T π 2 h ,         A 3 = π 2 h 2 + s 2 1 + s τ 0 K 0 + s ,   A 5 = 24 T 0 α T π 2 h ,         A 4 = E π 2 α T h s 2 1 + s τ 0 24 K η 0 K 0 + s ,         A 6 = T 0 α T ,         A 7 = π 2 S 0 s 1 + s τ 0 24 K 0 + s , K 0 = K * c 0 2 η 0 K ,       S 0 = 0.94 J 1 R δ t p exp 1 s 1.991 τ 0 s t p + 1.992 .  
By eliminating Θ ¯ from (31) and (32), we arrive at the following:
D 6 A D 4 + B D 2 C w ¯ x = A 0 e x / δ  
where
A = A 2 A 4 + A 3 A 0 , B = A 0 A 3 + A 1 , C = A 3 A 1 , D = d d x ,   A 8 = A 2 A 7 δ 2 .  
The governing Equation (36) can also be written as follows:
D 2 m 1 2 D 2 m 2 2 D 2 m 3 2 w ¯ x = A 8 e x / δ  
where m n 2 , n = 1 , 2 , 3 coefficients are equal to the roots of the equation:
m 6 A m 4 + B m 2 C = 0  
The homogenous solution of Equation (38) is as follows:
w ¯ = n = 1 3 C n e m n x + C n + 3 e m n x + A 9 e x / δ  
where A 9 = A 8 δ 6 1 δ 2 A + δ 4 B δ 6 C . In Equation (40), the elements C n , n = 1 , 2 , 3 will be computed by using the conditions of the system. Likewise, we may obtain the following DE by removing w ¯ between Equations (31) and (32) as:
D 6 A D 4 + B D 2 C Θ ¯ x = A 10 e x / δ  
where A 10 = A 7 δ 4 1 + δ 2 A 0 + δ 4 A 1 and its solution may be written as:
Θ ¯ = n = 1 3 β n C n e m n x + C n + 3 e m n x A 11 e x / δ  
where
A 11 = A 10 δ 6 1 δ 2 A + δ 4 B δ 6 C , β n = m n 2 A 4 m n 2 A 3  
It is possible to create a solution for the functions M ¯ , u ¯ , e ¯ , and σ ¯ x in the Laplace field with the assistance of Equations (40) and (42) by writing the solution as follows:
M ¯ x = n = 1 3 m n 2 + A 5 β n C n e m n x + C n + 3 e m n x A 9 δ 2 A 11 A 5 e x / δ  
u ¯ z = z d w ¯ d x = z n = 1 3 m n C n e m n x C n + 3 e m n x + A 9 δ z e x / δ  
e ¯ x = d u ¯ d x = z n = 1 3 m n 2 C n e m n x + C n + 3 e m n x A 9 δ 2 z e x / δ  
σ ¯ x = n = 1 3 z m n 2 + A 6 sin p z C n e m n x C n + 3 e m n x A 9 δ 2 z A 11 A 6 sin p z e x / δ  
The energy that is put into a material in the form of work is referred to as the material stress energy. One may refer to the internal work that is done by the stress products as they travel through related distortions as stress energy. The material is expected to maintain its flexibility while working on it, ensuring that no energy is wasted, and no permanent deformation is caused by the material’s production. The total stress energy or work done by the microbeam can be represented as:
W ¯ = 1 2 n = 1 3 σ ¯ i j e ¯ i j = 1 2 σ ¯ x e ¯  
In the domain of Laplace transformation, the conditions (27)–(29) will have the form:
w ¯ 0 , s = w ¯ L , s = 0 , 2 w ¯ 0 , s x 2 = 2 w ¯ L , s x 2 = 0 Θ ¯ 0 , s x = Θ 0 s s 2 + ω 2 = G ¯ s , Θ ¯ L , s x = 0  
Substituting Equations (40) and (42) into the boundary conditions (49) yields the following results:
n = 1 3 m n 2 C n + C n + 1 = A 9 , n = 1 3 m n 2 C n e m n L + C n + 1 e m n L = A 9 e L / δ ,  
n = 1 3 m n 2 C n + C n + 1 = A 9 δ 2 , n = 1 3 m n 2 C n e m n L + C n + 1 e m n L = A 9 δ 2 e L / δ ,  
n = 1 3 β n C n + C n + 1 = A 11 + G s , n = 1 3 m n β n C n e m n L C n + 1 e m n L = A 11 δ e L / δ ,  
As a result of the governing equation being solved, we may deduce the indeterminate constants C n , n = 1 , 2 , , 6 .
The Riemann sum approximation technique is employed to get the numerical values of the studied field variables [42]. Many algorithms are used for this purpose. In the current study, the following relationship will be utilized to convert the functions from the Laplace field to the time realm:
g x , t = e ε t t 1 2   g ¯ x , ε + Re k = 1 M g ¯ x , ε + i k π t 1 k ,           0 t t 1  
In the above relation, the abbreviation i = 1 stands for the imaginary number, Re stands for the real component, and M stands for the number of truncated terms that were used in the numerical solution. It is important to point out that the accuracy of the Riemann sum approximation depends on the value of the term t. In contrast, the number of iterations governs the truncation error. Both of these facts are worth emphasizing. However, several numerical investigations have shown that the value ε t 4.7 delivers the greatest results for a speedier convergence [43]. These tests were carried out in a variety of ways.

5. Discussions and Numerical Results

In this part of the article, a comparative evaluation of the outcomes that have been obtained in this work and those of the previous literature will be included to validate the proposed model. For this reason, the influence of several parameters on the behavior of non-dimensional displacement u , temperature change θ , axial heat stress σ x x , and deflection w will be discussed.
The characteristics of the material are described as follows [44]:
K = 315   W m 1 K 1 , E = 180   Gpa , ρ = 1930   Kg m 3 , ν = 0.44 α t = 2.59 × 10 6   K 1 , C E = 130   J / kgK , T 0 = 300   K J = 732   J / m 2 , R = 0.93 , δ = 15.3   nm , t p = 2   ps  
In addition to the above physical values, the microscopic beam is assumed to have a length-to-thickness ratio of L / h = 5 , where h is the beam thickness. Also, in the numerical calculations, the parameters of the microbial beam dimensions are taken into account, taking the values L = 1 , b / h = 0.5 , and z = h / 3 . The results will be presented tabularly and graphically in Figure 3, Figure 4, Figure 5, Figure 6, Figure 7, Figure 8, Figure 9 and Figure 10 in the direction of the axis of the beam between the values of 0 and 1.0. The numerical results indicate that the distributions of different physical quantities are influenced not only by time and spatial coordinates but also by different effective parameters such as laser pulses and beam foundations. Both the graphs and numerical calculations will be organized into four different groups.

5.1. Results Validation

To verify the numerical results, a comparison was made between the formulation technique and the solutions that appeared in [29,30,31,32] with the thermal elastic behavior of the micro-beam using extended thermoelastic theories. The conduct of thermo-mechanical waves of various magnitudes is found to be very similar when comparing it to the results that were obtained in the present work with those that are discussed in the literature [29,30,31,32]. As a result, the model that is presented in this article is consistent with the results of previous models, but it is distinct from in that this one provides more accurate representations of the current world. It can be concluded that the inclusion of the relaxation time in the suggested heat transfer equation decreases the propagation of the thermal waves within the microbeams. Also, by making comparisons between the results of the proposed current framework with those in the case of Green and Naghdi theories [16], the importance of the suggested version is shown in that the problem of infinite speeds of heat waves has been solved.

5.2. The Influence of visco-Pasternak Foundation Characteristics on the Results

As far as the author is aware, there has been no research that has been conducted examining the surface effects of microbeam vibration analysis when it is under the influence of a visco-Pasternak elastic basis and considering the effect of temperature change based on the generalized view of thermoelasticity. Therefore, in this section, the interest is in investigating how microbeams, which are grown under the influence of a visco-Pasternak elastic foundation, behave when they are exposed to laser pulses. These changes will be explained in Table 1.
Table 1 shows the variation of the different dimensionless field variables concerning the dimensionless Winkler modulus K 1 for different values of the shear stiffness of the elastic substrate (Pasternak’s modulus) K 2 , as well as the effect of mechanical relaxation time due to viscosity (viscosity) or the so-called damping coefficient K 0 to show the influence of the Winkler parameters and Pasternak on the behavior of a thermoplastic substrate. The Moore–Gibson–Thompson (MGTTE) generalized thermoelastic model was considered to investigate and obtain the numerical results of the physical distributions. For comparison purposes, we will also take the values of other parameters as constants, such as K * = 200 ,   ω = 5 ,   t p = 0.01 , σ 0 = 1 ,   τ 0 = 0.05 . At single values on the phase of the beam axis at point x = 0.2 , numerical calculations are performed with different values of the foundation parameters. As a special case of the current work, in setting the foundation parameters K 0 = K 1 = K 2 = 0 , the present results lead to the calculations of the problem of a thermoelastic beam that does not contain a flexible visco-Pasternak base.
According to the numerical values in Table 1, the obvious influences of the Winkler and Pasternak parameters K 1 and K 2 on the values of deflection w are shown. Changes in the visco-Pasternak foundations K 1 and K 2 have a significant effect on both bending moment M and deflection w . Increasing the values of the fixed base factors reduces the absolute values of the deviation w for each analyzed case. This is due to the fact that the system becomes more robust as the microbeams become more rigid. This occurrence and behavior were previously discussed in the paper by Wattanasakulpong and Chaikittiratana [45], and by comparison, it was found that there was great agreement in the results. Looking at Table 1, it can be noticed that raising the values of the dimensionless Winkler foundation ( K 1 ) and Pasternak foundation ( K 2 ) moduli leads to an increase in the amount of both dimensionless heat stress σ x x and the bending moment M in the microbeam. The reason for this occurring is because a rise in the values of K 1 and K 2 leads to a rise in structural rigidity and, as a consequence, the stability of the microbeam. On the other hand, the displacement u and the temperature change θ are less influenced by the variations in the coefficients of the viscous basis of Pasternak. This is because the absolute value of the displacement u and the amount of temperature change are very sensitive to changes in the foundation as well as the viscous basis. The absolute value of the displacement u and the amount of temperature change decrease by raising the values of the basis factors K 1 and K 2 .
We also see from the table that the quantities of the various distributions of the physical areas of research decrease when the Winkler and Pasternak factors K 1 and K 2 remain unchanged, and the viscous damping coefficient K 0 undergoes an increase. Additionally, when there is a change in the viscous damping coefficient K 0 , there is a corresponding minor change in temperature as well as displacement. The absolute value of the deflection w increases in proportion to the decrease in the viscosity coefficient K 0 . The non-dimensional stress σ x x and the bending moment M both grow as the viscous damping coefficient K 0 and other foundations are increased.
On the other hand, and by checking with the results that are in Table 1, it becomes clear that the quantities of the different distributions of the studied physical fields change dramatically when the Winkler and Pasternak coefficients K 1 and K 2 remain unchanged, and the viscous damping coefficient K 0 is subject to different values. In addition, when there is a rise in the value of the viscous damping coefficient K 0 , there is an increase in the amount of both temperature change θ , displacement u , and deflection w . When the viscosity coefficient K 0 is lowered, the absolute values of the heat stress σ x x and bending moment M rise to a higher level. The amount of temperature change grows when there are higher values of the viscous damping coefficient K 0 and with the stability of other foundations. For this reason, this observation must be considered when manufacturing and designing small-sized devices.
It has been investigated that the reduction of the dimensionless thermophysical domains can be achieved by increasing the modulus of the viscoelastic structural damping of the beams. This is due to the fact that an increase in the structural damping factor causes the structure to be less rigid. The effect of the viscoelastic structural damping coefficient is amplified when the Winkler and Pasternak coefficients K 1 and K 2 are fixed.

5.3. The Influence of the Duration of the Laser Pulse

In recent years, investigations of laser applications have been necessary to gain knowledge of the internal structural properties of many materials. As a result, many contemporary applications of laser pulses have emerged in many fields, such as physical sciences, mechanical engineering, medicine, and others. When considering how extended thermoelastic concepts affect beams, the thermal influence of a non-Gaussian laser on a flexible material that is employed as a heat source is the most significant thing to consider.
This discussion subsection studies the phenomenon of small-scale heating beams using a pulsed laser. The microbeams in this study consist of aluminum material and are heated using a pulsed non-Gaussian laser for a few seconds t p . This allows the resonance to be damped by the thermal elasticity within the material. The basic energy dissipation process converts kinetic energy into stable thermal energy. This conversion occurs when temperature and pressure interact with each other within the microbeams.
Figure 3, Figure 4, Figure 5 and Figure 6 show the results of an investigation into the influence that the duration of the laser pulse t p has on the pattern of temperature change and deflection distribution as a function of the distance x . There is no variation in the values of the vital parameters K 0 , K 1 , K 2 , σ 0 ,   τ 0 , K * , or ω . The main purpose of this part of the discussion is to apply the proposed thermal elastic MGT model to investigate the heat source-induced heat elastic wave behavior to a study where a non-Gaussian laser beam was used to heat the surfaces of the microscale beams. With the lengthening of the laser pulse, the intermolecular distances lengthen, and the temperature of the medium increases, thus reducing the intermolecular pressure. As the microbial beams sit on a flexible Winkler foundation, a higher laser pulse coefficient t p results in lower temperature and deflection.
Figure 3. Variation of deflection w   against laser pulse duration t p .
Figure 3. Variation of deflection w   against laser pulse duration t p .
Applsci 12 09206 g003
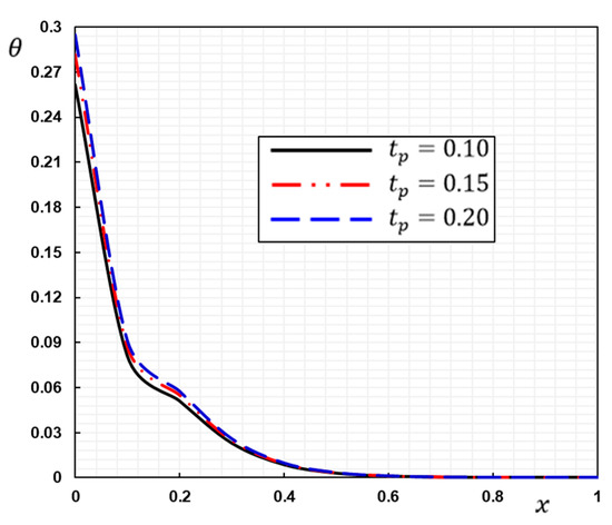
Figure 4. Variation of temperature θ against laser pulse duration t p .
Figure 4. Variation of temperature θ against laser pulse duration t p .
Applsci 12 09206 g004
Figure 5. Variation of displacement u   against laser pulse duration t p .
Figure 5. Variation of displacement u   against laser pulse duration t p .
Applsci 12 09206 g005
Figure 6. Variation of thermal stress σ x x against laser pulse duration t p .
Figure 6. Variation of thermal stress σ x x against laser pulse duration t p .
Applsci 12 09206 g006
Figure 3 shows how a variety of laser pulse properties can affect the amount of microbeam deflection w . According to this figure, the fine beam endpoints do not show any deflection, which is in contrast to the deflection that is observed elsewhere along the axial axis between the two ends. This result is consistent with the boundary conditions that have been considered for the problem. It is also shown that the deflection w drops sharply to its lowest value at point x 0.1 near the application of the heat source and the harmonic convection. After that, the deviation begins to rise gradually, making it close to zero at the point x 0.8 , before fading out completely. A significant increase in the aberration contrast w is shown, referring to the increase in the laser pulse length parameter t p , as shown in Figure 3. This is due to the fact that the ultrashort laser pulse leads to very fast movements in the structural elements of the material, which in turn lead to significantly large inertial forces and, as a result, an exceptionally high vibration and, thus, deflection w .
The influence that the length of the laser pulse t p has on the temperature distribution θ is seen in Figure 4. According to the results that have been shown, the temperature distributions become less extreme as the wave travels a given distance and continues to travel in the same direction as the wave travels. The thermoelastic beam is sent through the medium at a finite speed and does so in accordance with the temperature profiles. This discovery demonstrates that the experimental and theoretical predictions that are made by this novel model (MGTTE) correspond quite well with one another for metallic materials. The graphic demonstrates that an increase in the laser pulse duration t p that was applied to the elastic medium results in a temperature rise. Because of the quickly varying contraction and expansion, those materials that are susceptible to heat transmission through conduction might experience temperature fluctuations [46]. Because pulsed laser technologies are so prevalent in material processing, nondestructive testing, and characterization, this particular mechanism has garnered significant attention [47].
Figure 5 is a graphic that illustrates the influence that the parameter t p has on the displacement u sensitivity of an embedded microbeam that has been treated with an ultrafast laser. The information that is shown in this figure leads one to the conclusion that the impact of increasing the duration of the laser pulse results in an increase in the values of displacement u . The displacement begins with positive values and gradually decreases until it crosses the x -axis, at which point it begins to take positive values and eventually approaches zero in three different instances. Figure 6 illustrates how the fluctuation in the thermal stress is affected by the parameter t p . It is important to keep in mind that the amount of stress σ x x will rise in proportion to the length of the laser pulse. According to [48,49], the laser pulse parameter t p is an important variable to consider when analyzing the dispersed features of the microbeam. When the values of the t p laser pulse are increased, this increases the values of the studied fields, which can be observed at the locations where there is a peak of the curve.

5.4. Comparative Analysis of Several Thermoelastic Theories

In these paragraphs, the outcomes of the mathematical modeling of the problem are presented, and some comparisons with previous research are made to verify the framework that is recommended in this article. Also, the most significant deductions that can be derived from the discussions are presented. If all other effective factors remain constant, then the studied fields along the x -axis of the beam that is generated on a viscoelastic basis can be investigated if several different thermoelastic theories are used.
As indicated in Section 2, some preceding theories of thermoelasticity can be obtained from the current model. First, if the thermal parameters vanish, i.e., τ 0 = K * = 0 , then the coupled theory of conventional thermoplastics (CTE) can be obtained, which predicts the infinite velocities of heat waves. Secondly, if the parameter K * = 0 is omitted, Lord Shulman’s theory (LS) can be obtained, including the relaxation time. Third, the type III GN-III model of Green and Naghdi is accessible when the relaxation time parameter τ 0 disappears, while the type II GN-II model is formed when the first term on the right side of the generalized heat equation is omitted (6). Finally, in the case of the thermoelastic model (MGTE), which includes the Moore–Gibson–Thomson equation, the thermal parameters are τ 0 , K * > 0 . In addition to Figure 5, Figure 6, Figure 7 and Figure 8, numerical results will also be shown in Table 1, Table 2, Table 3 and Table 4 so that researchers in this field can easily compare their results to them. It is shown how the laser pulse heating changes the thermomechanical behavior of the microbial beams with the change of the thermoelastic model that is used by taking various values of the thermal constants τ 0 and K * at the same values for time t = 0.12 . It is clear from the numerical outcomes that the constant thermal factors τ 0 and K * have a prominent effect on each field of physical journals.
After the beginning of the study of the thermoelastic microbeam, the numerical results in the case of the coupled model (CTE) and the generalized theories of thermoelasticity (LS, GNII, GNIII, and MGTE) are remarkably equivalent to one another. According to the CTE hypothesis, the reaction of the issues inside the elastic material may be very unalike. In the CTE model, thermal waves move at an unlimited speed, in contrast to the considered advanced models, which travel at a restricted rate. At the beginning points, such as for temperature θ and deformation u , as well as at the peak places, such as for heat stress σ x x and thermal deflection w , the differences between the models can be observed.
The numerical results in Table 2, Table 3, Table 4 and Table 5 and Figure 7, Figure 8, Figure 9 and Figure 10 show the differences between the predictions that were made by the new MGTE theory and those made by other thermoelastic models. According to the numerical analysis results, it is noted that the values of the physical fields that were predicted by the GN-III and CTE theories are much higher than the values that were predicted by the MGTE theory, as well as other generalized models of thermal elasticity. In addition, it is quite clear that the responses of the generalized thermoelastic model of type GN-III converge with the responses of the classical thermoelastic model (CTE), which does not decompose into heat as quickly as other generalized thermoelastic theories do. This shows the shortcomings of the GN-III model, which predicts the spread of thermal waves at unlimited speeds like the traditional model. When one is looking at the tables and figures, it can be seen that the effect of the relaxation coefficient in the MGTE and LS theories show a slight decrease in temperature change behavior. This displays the precision of the suggested MGTE model, which addresses the contradiction in the GN-III thermoelasticity model. The obtained results provide further evidence that the values of different physical domains will converge and behave similarly according to the LS, GN-II, and MGTE theories.
The positions and behaviors of viscoelastic materials in response to variations in temperature and other physical variables are illustrated in both the images and the table. These differences were examined in the MGTE and LS models of thermoelasticity. Although there are slight differences in magnitude, in most cases, both concepts predict roughly the same behavior patterns. These results are consistent with the results and concepts that are presented by the generalized thermoelastic theory. From the previous observations, it is clear that there is a great agreement with that which Abouelregal et al. [27,29,31] said about this behavior in the case of different models.
Figure 7. The thermal deflection w for various thermoelastic models.
Figure 7. The thermal deflection w for various thermoelastic models.
Applsci 12 09206 g007
Figure 8. The temperature change θ for various thermoelastic models.
Figure 8. The temperature change θ for various thermoelastic models.
Applsci 12 09206 g008
Figure 9. The displacement u for various thermoelastic models.
Figure 9. The displacement u for various thermoelastic models.
Applsci 12 09206 g009
Figure 10. The axial stress σ x x for various thermoelastic models.
Figure 10. The axial stress σ x x for various thermoelastic models.
Applsci 12 09206 g010

6. Conclusions

This research has investigated the microbeams’ thermoelastic response while they were resting on a visco-Pasternak foundation using a novel model that was composed of three parameters. The Moore–Gibson–Thompson equation served as the foundation for the improved thermoelastic theory that was taken into consideration. Lord Shulman’s thermoelastic model (LS) was the starting point for the derivation of the heat equation. We established the mathematical model of a microbeam that was simply supported and sitting on a visco-Pasternak substrate with three parameters after being subjected to an ultrafast laser pulse. Thermal deflection, temperature change, axial displacement, bending moment, and axial thermal stress of the considered microbeam were all measured and analyzed. It was also found that the laser pulse duration parameter affects how the structure responds to changes in temperature.
According to the results of our research, it was demonstrated that the basis parameters, in particular the viscosity basis parameter, had a substantial influence on the thermal behavior of microbeams. Also, an increase in the parameters of the Winkler or shear institution lead to a decrease in both the axial displacement towards the first edge of the microbeams and the amount of microbeam deflection. On the other hand, the deflection and displacement values tended to move higher as the viscosity parameter became more difficult. Foundations are essential to any structural component, as they prevent the failures that are caused by mechanical stress.
In addition, a rise in the visco-Pasternak basis modulus reduced the microbeam’s dynamic response, making the beam balancing process occur significantly faster. In addition, both the amplitude of the physical domains and the reaction time decreased dramatically when the viscous damping coefficient increased. This is because of how viscous damping works. Also, since the laser pulse duration increased the dynamic reaction, this influence is important and must be considered when studying micro- and nanostructures. Due to the effect of the relaxation variable, both the LS theory and the MGTE theory predicted that the temperature and other mechanical fields would decay at a more gradual rate. The physical data that are presented in this study can be useful in designing and developing applications using the vibrations of micro-sensors and microresonator systems. In conclusion, it should be noted that the results that are reported in this study are intended to be utilized as criteria for the confirming grades that are obtained by other mathematical approaches and to assist in designing MEMS machines.

Author Contributions

Conceptualization, I.D.; Data curation, A.E.A. and I.D.; Formal analysis, A.E.A., I.D. and O.M.; Funding acquisition, I.D.; Investigation, A.E.A. and O.M.; Methodology, A.E.A.; Project administration, O.M.; Supervision, I.D. All authors have read and agreed to the published version of the manuscript.

Funding

This work was supported by Sustainable Energy Authority of Ireland (SEAI), by funding Ioannis Dassios under Grant No. RDD/00681.

Institutional Review Board Statement

Not applicable.

Informed Consent Statement

Not applicable.

Data Availability Statement

Not applicable.

Acknowledgments

The authors would like to thank Sustainable Energy Authority of Ireland (SEAI) for the financial support. The authors also thank the reviewers and editors who helped to improve the quality of this paper.

Conflicts of Interest

The authors declared no potential conflict of interest with respect to the research, authorship, and publication of this article.

References

  1. Sun, Y.; Ma, J.; Yang, X.; Liu, S.; Yang, J. Thermoelastic response of a simply supported beam irradiated by a movable laser pulse. Can. J. Phys. 2017, 95, 1012–1022. [Google Scholar] [CrossRef]
  2. Pocorni, J.; Powell, J.; Frostevarg, J.; Kaplan, A.F. Investigation of the piercing process in laser cutting of stainless steel. J. Laser Appl. 2017, 29, 022201. [Google Scholar] [CrossRef]
  3. Li, X.F.; Peng, X.L. Theoretical analysis of surface stress for a microcantilever with varying widths. J. Phys. D Appl. Phys. 2008, 41, 3142–3147. [Google Scholar] [CrossRef]
  4. Zhao, B.; Liu, T.; Chen, J.; Peng, X.; Song, Z. A new Bernoulli–Euler beam model based on modified gradient elasticity. Arch. Appl. Mech. 2019, 89, 277–289. [Google Scholar] [CrossRef]
  5. Chen, W.Q.; Lü, C.F.; Bian, Z.G. A mixed method for bending and free vibration of beams resting on a Pasternak elastic foundation. Appl. Math. Model. 2004, 28, 877–890. [Google Scholar] [CrossRef]
  6. Tanahashi, H. Pasternak Model Formulation of Elastic Displacements in the Case of a Rigid Circular Foundation. J. Asian Archit. Build. Eng. 2007, 6, 167–173. [Google Scholar] [CrossRef][Green Version]
  7. Farhatnia, F.; Ghanbari-Mobarakeh, M.; Rasouli-Jazi, S.; Oveissi, S. Thermal buckling analysis of functionally graded circular plate resting on the pasternak elastic foundation via the differential transform method. Facta Univ. Ser. Mech. Eng. 2017, 15, 545–563. [Google Scholar] [CrossRef]
  8. Le, N.; Nguyen, T.; Vu, H.; Nguyen, T.; Vu, M. An Analytical Approach of Nonlinear Thermo-mechanical Buckling of Functionally Graded Graphene-reinforced Composite Laminated Cylindrical Shells under Compressive Axial Load Surrounded by Elastic Foundation. J. Appl. Comput. Mech. 2020, 6, 357–372. [Google Scholar]
  9. Lyukshin, P.A.; Lyukshin, B.A.; Matolygina, N.Y.; Panin, S.V. Stability Loss and Delamination of a Thermal Barrier Coating from the Substrate under Heat Loads. Phys. Mesomech. 2021, 24, 269–281. [Google Scholar] [CrossRef]
  10. Gholami, Y.; Ansari, R.; Gholami, R.; Sadeghi, F. Size-dependent free vibration and buckling analysis of magneto-electro-thermo-elastic nanoplates based on the third-order shear deformable nonlocal plate model. Proc. Inst. Mech. Eng. Part C J. Mech. Eng. Sci. 2022, 2022, 09544062221079179. [Google Scholar] [CrossRef]
  11. Paital, S.R.; He, W.; Dahotre, N.B. Laser pulse dependent micro textured calcium phosphate coatings for improved wettability and cell compatibility. J. Mater. Sci. Mater. Med. 2010, 21, 2187–2200. [Google Scholar] [CrossRef]
  12. Velayutham, K.; Venkadeshwaran, K.; Selvakumar, G. Optimisation of laser cutting of SS 430 plate using advanced Taguchi entropy weighted-based GRA methodology. Int. J. Mechatron. Manuf. Syst. 2018, 11, 148. [Google Scholar]
  13. Lord, H.W.; Shulman, Y.H. A generalized dynamical theory of thermoelasticity. J. Mech. Phys. Solids 1967, 15, 299–309. [Google Scholar] [CrossRef]
  14. Green, A.E.; Naghdi, P.M. A Re-examination of the Basic Postulates of Thermomechanics. Proc. R. Soc. Lond. A 1991, 432, 171–194. [Google Scholar]
  15. Green, A.E.; Naghdi, P.M. Thermoelasticity Without Energy Dissipation. J. Elast. 1993, 31, 189–208. [Google Scholar] [CrossRef]
  16. Green, A.E.; Naghdi, P.M. On Undamped Heat Waves in an Elastic Solid. J. Therm. Stresses 1992, 15, 253–264. [Google Scholar] [CrossRef]
  17. Lingling, L.; Ruonan, M.; Koochakianfard, O. Size-dependent vibrational behavior of embedded spinning tubes under gravitational load in hygro-thermo-magnetic fields. Proc. Inst. Mech. Eng. Part C J. Mech. Eng. Sci. 2022, 2022, 09544062211068730. [Google Scholar] [CrossRef]
  18. Hashemi, S.; Shahri, P.K.; Beigzadeh, S.; Zamani, F.; Eratbeni, M.G.; Mahdavi, M.; Heidari, A.; Khaledi, H.; Abadi, M.R. Nonlinear free vibration analysis of In-plane Bi-directional functionally graded plate with porosities resting on elastic foundations. Int. J. Appl. Mech. 2022, 14, 2150131. [Google Scholar] [CrossRef]
  19. Bagheri, H.; Kiani, Y.; Eslami, M.R. Geometrically Nonlinear Response of FGM Beams on Elastic Foundation Subjected to Thermal Shock. Iran. J. Sci. Technol. Trans. Mech. Eng. 2022. [CrossRef]
  20. Avey, M.; Sofiyev, A.H.; Kuruoglu, N. Influences of elastic foundations and thermal environments on the thermoelastic buckling of nanocomposite truncated conical shells. Acta Mech. 2022, 233, 685–700. [Google Scholar] [CrossRef]
  21. Abbaspour, F.; Arvin, H.; Kiani, Y. Mechanical buckling analysis of functionally graded composite laminated plates reinforced with temperature dependent graphene sheets resting on elastic foundation. Z. Angew. Math. Mech. 2022, 102, e202100097. [Google Scholar] [CrossRef]
  22. Tzou, D.Y. A unified field approach for heat conduction from micro to macroscales. ASME J. Heat Trans. 1995, 117, 8–16. [Google Scholar] [CrossRef]
  23. Roychoudhari, S.K. On a thermoelastic three-phase-lag model. J. Therm. Stresses 2007, 30, 231–238. [Google Scholar]
  24. Kaltenbacher, B.; Lasiecka, I.; Marchand, R. Wellposedness and exponential decay rates for the Moore–Gibson–Thompson equation arising in high intensity ultrasound. Control. Cybernet 2011, 40, 971–988. [Google Scholar]
  25. Quintanilla, R. Moore-Gibson-Thompson thermoelasticity. Math. Mech. Solids 2019, 24, 4020–4031. [Google Scholar] [CrossRef]
  26. Quintanilla, R. Moore-Gibson-Thompson thermoelasticity with two temperatures. Appl. Eng. Sci. 2020, 1, 100006. [Google Scholar] [CrossRef]
  27. Abouelregal, A.E.; Ahmed, I.-E.; Nasr, M.E.; Khalil, K.M.; Zakria, A.; Mohammed, F.A. Thermoelastic processes by a continuous heat source line in an infinite solid via Moore–Gibson–Thompson thermoelasticity. Materials 2020, 13, 4463. [Google Scholar] [CrossRef]
  28. Bazarra, N.; Fernández, J.R.; Quintanilla, R. Analysis of a Moore-Gibson-Thompson thermoelastic problem. J. Comput. Appl. Math. 2021, 382, 113058. [Google Scholar] [CrossRef]
  29. Aboueregal, A.E.; Sedighi, H.M.; Shirazi, A.H.; Malikan, M.; Eremeyev, V.A. Computational analysis of an infinite magneto-thermoelastic solid periodically dispersed with varying heat flow based on non-local Moore–Gibson–Thompson approach. Continuum Mech. Thermodyn. 2022, 34, 1067. [Google Scholar] [CrossRef]
  30. Pellicer, M.; Quintanilla, R. On uniqueness and instability for some thermomechanical problems involving the Moore–Gibson–Thompson equation. Z. Angew. Math. Phys. 2020, 71, 84. [Google Scholar] [CrossRef]
  31. Abouelregal, A.E.; Ersoy, H.; Civalek, Ö. Solution of Moore–Gibson–Thompson equation of an unbounded medium with a cylindrical hole. Mathematics 2021, 9, 1536. [Google Scholar] [CrossRef]
  32. Abouelregal, A.E.; Sedighi, H.M. A new insight into the interaction of thermoelasticity with mass diffusion for a half-space in the context of Moore–Gibson–Thompson thermodiffusion theory. Appl. Phys. A 2021, 127, 582. [Google Scholar] [CrossRef]
  33. Fernández, J.R.; Quintanilla, R. On a mixture of an MGT viscous material and an elastic solid. Acta Mech. 2022, 233, 291–297. [Google Scholar] [CrossRef]
  34. Aboueregal, E.; Sedighi, H.M. The effect of variable properties and rotation in a visco-thermoelastic orthotropic annular cylinder under the Moore Gibson Thompson heat conduction model. Proc. Inst. Mech. Eng. Part L J. Mater. Des. Appl. 2021, 235, 1004–1020. [Google Scholar] [CrossRef]
  35. Mirparizi, M.; Fotuhi, A.R.; Shariyat, M. Nonlinear coupled thermoelastic analysis of thermal wave propagation in a functionally graded finite solid undergoing finite strain. J. Therm. Anal. Calorim. 2020, 139, 2309–2320. [Google Scholar] [CrossRef]
  36. Shakeriaski, F.; Ghodrat, M. Nonlinear response for a general form of thermoelasticity equation in mediums under the effect of temperature-dependent properties and short-pulse heating. J. Therm. Anal. Calorim. 2020, 147, 843–854. [Google Scholar] [CrossRef]
  37. Youssef, H.M.; Al-Lehaibi, E.A.N. The vibration of a viscothermoelastic nanobeam of silicon nitride with variable thermal conductivity induced by ramp-type thermal loading. J. Therm. Anal. Calorim. 2021, 146, 2387–2402. [Google Scholar] [CrossRef]
  38. Anssari-Benam, A.; Viola, G.; Korakianitis, T. Thermodynamic effects of linear dissipative small deformations. J. Therm. Anal. Calorim. 2010, 100, 941–947. [Google Scholar] [CrossRef]
  39. Piekarska, W.; Kubiak, M. Theoretical investigations into heat transfer in laser-welded steel sheets. J. Therm. Anal. Calorim. 2012, 110, 159–166. [Google Scholar] [CrossRef]
  40. Achenbach, J.D. The influence of heat conduction on propagating stress jumps. J. Mech. Phys. Solids 1968, 16, 273–282. [Google Scholar] [CrossRef]
  41. Tzou, D.Y.; Chen, J.K.; Beraun, J.E. Recent development of ultrafast thermoelasticity. J. Therm. Stresses 2005, 28, 563–594. [Google Scholar] [CrossRef]
  42. Khadrawi, F.; Al-Nimr, M.A. Unsteady natural convection fluid flow in a vertical microchannel under the effect of the Dual-phase-Lag heat conduction model. Int. J. Thermophys. 2007, 28, 1387–1400. [Google Scholar] [CrossRef]
  43. Tzou, D.Y. Macro to Microscale Heat Transfer: The Lagging Behaviour; Taylor and Francis: Washington, DC, USA, 1997. [Google Scholar]
  44. Abouelregal, A.E. Response of thermoelastic microbeams to a periodic external transverse excitation based on MCS theory. Microsyst. Technol. 2018, 24, 1925–1933. [Google Scholar] [CrossRef]
  45. Wattanasakulpong, N.; Chaikittiratana, A. Exact solutions for static and dynamic analyses of carbon nanotube-reinforced composite plates with Pasternak elastic foundation. Appl. Math. Model. 2015, 39, 5459–5472. [Google Scholar] [CrossRef]
  46. Trajkovski, D.; Čukić, R. A coupled problem of thermoelastic vibrations of a circular plate with exact boundary conditions. Mech. Res. Commun. 1999, 26, 217–224. [Google Scholar] [CrossRef]
  47. Wang, X.; Xu, X. Thermoelastic wave in metal induced by ultrafast laser pulses. J. Therm. Stresses 2002, 25, 457–473. [Google Scholar] [CrossRef]
  48. Allam, M.N.M.; Abouelregal, A.E. The thermoelastic waves induced by pulsed laser and varying heat of inhomogeneous microscale beam resonators. J. Therm. Stresses 2014, 37, 455–470. [Google Scholar] [CrossRef]
  49. Soh, A.K.; Sun, Y.; Fang, D. Vibration of microscale beam induced by laser pulse. J. Sound Vib. 2008, 311, 243–253. [Google Scholar] [CrossRef]
Figure 2. Thin, flexible beam resting on visco-Pasternak’s foundation that is induced by an ultrafast laser pulse.
Figure 2. Thin, flexible beam resting on visco-Pasternak’s foundation that is induced by an ultrafast laser pulse.
Applsci 12 09206 g002
Table 1. Dimensionless physical field variables with Winkler basis ( K 1 ), Pasternak foundation ( K 2 ), and viscous damping coefficient ( K 0 ).
Table 1. Dimensionless physical field variables with Winkler basis ( K 1 ), Pasternak foundation ( K 2 ), and viscous damping coefficient ( K 0 ).
K 0 K 1 K 2 Studied Field Variables
w θ u σ x x M
0.30.00.0−0.4302830.0508297−0.05281640.01061820.0796363
0.050.1−0.3872550.0451819−0.04753480.01128180.0836181
0.10.2−0.3657410.0423581−0.0448940.01194540.0875999
0.20.3−0.3442270.0395342−0.04225310.01260910.0915817
0.50.00.0−0.4738090.0548417−0.05350520.00963830.0578298
0.050.1−0.4195090.0482245−0.05097860.01249990.0749994
0.10.2−0.3939980.0451462−0.04918430.01353310.0811986
0.20.3−0.3742980.0426381−0.04672510.01420970.0852585
0.70.00.0−0.5211050.0598587−0.05467910.006506550.0371803
0.050.1−0.4689900.0532077−0.05143080.006816390.0408983
0.10.2−0.4168840.0465567−0.04872400.007436060.0446164
0.20.3−0.3908280.0432313−0.04601710.008055730.0464754
1.00.00.0−0.6301290.0751540−0.05558530.0004038410.0025442
0.050.1−0.5737740.0681880−0.05398350.003575010.0214501
0.10.2−0.5163970.0606115−0.04858510.003575010.0224715
0.20.3−0.4877080.0530351−0.04588590.003745250.0234929
Table 2. The thermal deflection w versus thermoelastic models.
Table 2. The thermal deflection w versus thermoelastic models.
x CTELSGN-IIGN-IIIMGTE
000000
0.1−0.729737−0.597058−0.663397−0.796077−0.563888
0.2−0.46146−0.377558−0.419509−0.503411−0.356583
0.3−0.195013−0.159556−0.177285−0.212742−0.150692
0.4−0.070272−0.0574953−0.0638836−0.0766603−0.0543011
0.5−0.0233697−0.0191207−0.0212452−0.0254942−0.0180584
0.6−0.00743441−0.0060827−0.00675855−0.00811026−0.00574477
0.7−0.00232871−0.00190531−0.00211701−0.00254042−0.00179946
0.8−0.000781542−0.000639443−0.000710493−0.000852591−0.000603919
0.9−0.000336485−0.000275306−0.000305896−0.000367075−0.000260011
100000
Table 3. The temperature change θ versus thermoelastic models.
Table 3. The temperature change θ versus thermoelastic models.
x CTELSGN-IIGN-IIIMGTE
00.3026570.2476280.2751420.3301710.220114
0.10.09364660.07661990.08513320.102160.0681066
0.20.0589410.04822450.05358280.06429930.0428662
0.30.02645140.0216420.02404670.0288560.0192374
0.40.009884560.008087370.008985970.01078320.00718877
0.50.00335810.002747540.003052820.003663390.00244226
0.60.001082230.0008854650.000983850.001180620.00078708
0.70.0003414080.0002793340.0003103710.0003724450.000248297
0.80.0001135350.00009289220.0001032140.0001238560.0000825709
0.90.00004713190.00003856250.00004284720.00005141670.0000342778
10.00006428820.00005259940.00005844380.00007013260.0000467551
Table 4. The values of displacement u for various thermoelastic theories.
Table 4. The values of displacement u for various thermoelastic theories.
x CTELSGN-IIGN-IIIMGTE
000000
0.1 0.729737 0.597058 0.663397 0.796077 0.563888
0.2 0.46146 0.377558 0.419509 0.503411 0.356583
0.3 0.195013 0.159556 0.177285 0.212742 0.150692
0.4 0.070272 0.0574953 0.0638836 0.0766603 0.0543011
0.5 0.0233697 0.0191207 0.0212452 0.0254942 0.0180584
0.6 0.00743441 0.0060827 0.00675855 0.00811026 0.00574477
0.7 0.00232871 0.00190531 0.00211701 0.00254042 0.00179946
0.8 0.000781542 0.000639443 0.000710493 0.000852591 0.000603919
0.9 0.000336485 0.000275306 0.000305896 0.000367075 0.000260011
100000
Table 5. The axial thermal stress σ x x versus thermoelastic models.
Table 5. The axial thermal stress σ x x versus thermoelastic models.
x CTELSGN-IIGN-IIIMGTE
000000
0.1 0.163439 0.133723 0.148581 0.178298 0.118865
0.2 0.0137499 0.0112499 0.0124999 0.0149999 0.00999991
0.3 0.0251336 0.0205638 0.0228487 0.0274185 0.018279
0.4 0.0124763 0.0102079 0.0113421 0.0136105 0.00907365
0.5 0.0047815 0.00391214 0.00434682 0.00521619 0.00347746
0.6 0.00164161 0.00134313 0.00149237 0.00179085 0.0011939
0.7 0.000534513 0.000437329 0.000485921 0.000583105 0.000388737
0.8 0.000166905 0.000136559 0.000151732 0.000182078 0.000121386
0.9 0.0000144164 0.0000117952 0.0000131058 0.000015727 0.0000104847
1 0.0000122468 0.0000100201 0.0000111335 0.0000133602 0.00000891
Publisher’s Note: MDPI stays neutral with regard to jurisdictional claims in published maps and institutional affiliations.

Share and Cite

MDPI and ACS Style

Abouelregal, A.E.; Dassios, I.; Moaaz, O. Moore–Gibson–Thompson Thermoelastic Model Effect of Laser-Induced Microstructures of a Microbeam Sitting on Visco-Pasternak Foundations. Appl. Sci. 2022, 12, 9206. https://doi.org/10.3390/app12189206

AMA Style

Abouelregal AE, Dassios I, Moaaz O. Moore–Gibson–Thompson Thermoelastic Model Effect of Laser-Induced Microstructures of a Microbeam Sitting on Visco-Pasternak Foundations. Applied Sciences. 2022; 12(18):9206. https://doi.org/10.3390/app12189206

Chicago/Turabian Style

Abouelregal, Ahmed E., Ioannis Dassios, and Osama Moaaz. 2022. "Moore–Gibson–Thompson Thermoelastic Model Effect of Laser-Induced Microstructures of a Microbeam Sitting on Visco-Pasternak Foundations" Applied Sciences 12, no. 18: 9206. https://doi.org/10.3390/app12189206

APA Style

Abouelregal, A. E., Dassios, I., & Moaaz, O. (2022). Moore–Gibson–Thompson Thermoelastic Model Effect of Laser-Induced Microstructures of a Microbeam Sitting on Visco-Pasternak Foundations. Applied Sciences, 12(18), 9206. https://doi.org/10.3390/app12189206

Note that from the first issue of 2016, this journal uses article numbers instead of page numbers. See further details here.

Article Metrics

Back to TopTop