Broadband Tunable Passively Q-Switched Erbium-Doped ZBLAN Fiber Laser Using Fe3O4-Nanoparticle Saturable Absorber
Abstract
:Featured Application
Abstract
1. Introduction
2. Experiment
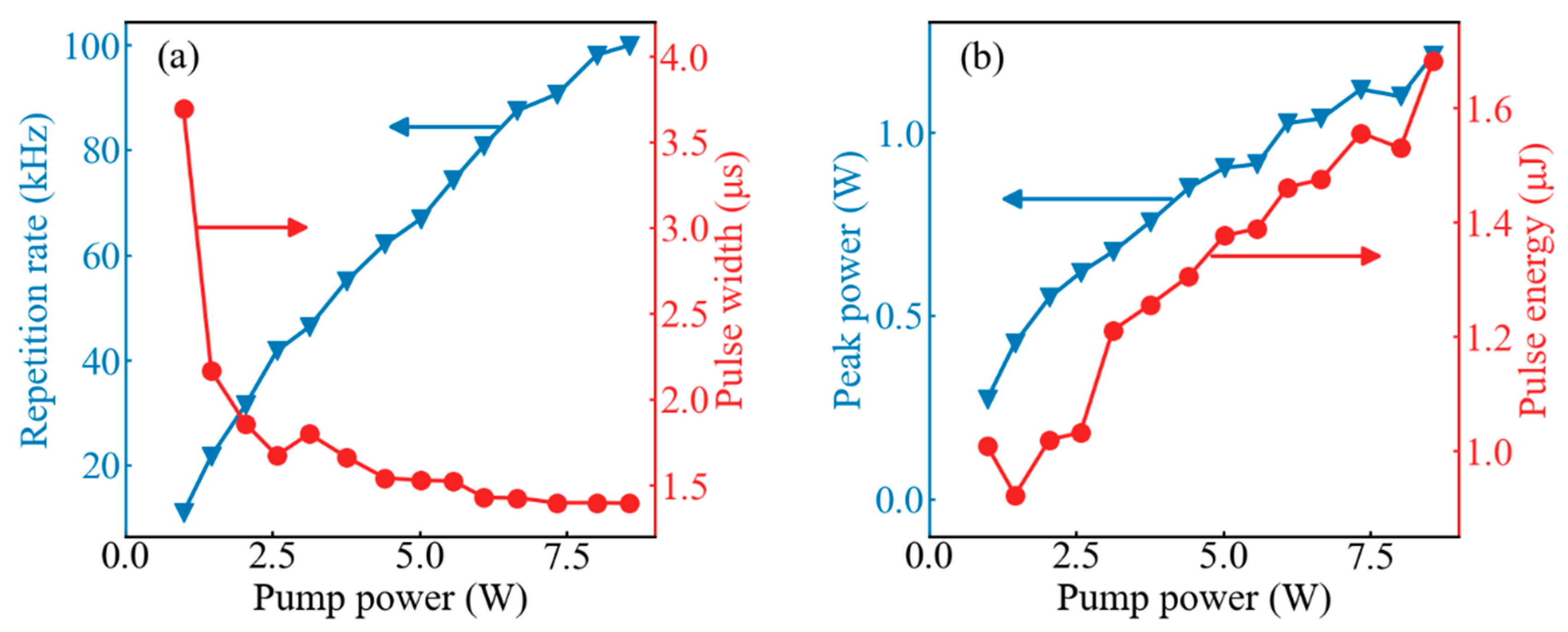
3. Results and Discussions
4. Conclusions
Author Contributions
Funding
Institutional Review Board Statement
Informed Consent Statement
Data Availability Statement
Acknowledgments
Conflicts of Interest
Appendix A

References
- Jackson, S.D. Towards high-power mid-infrared emission from a fibre laser. Nature Photon. 2012, 6, 423–431. [Google Scholar] [CrossRef]
- Jackson, S.D.; Jain, R.K. Fiber-based sources of coherent MIR radiation: Key advances and future prospects (invited). Opt. Express 2020, 28, 30964–31019. [Google Scholar] [CrossRef] [PubMed]
- Walsh, B.M.; Lee, H.R.; Barnes, N.P. Mid infrared lasers for remote sensing applications. J. Lumin. 2016, 169, 400–405. [Google Scholar] [CrossRef]
- Kottmann, J.; Grob, U.; Rey, J.M.; Sigrist, M.W. Mid-Infrared Fiber-Coupled Photoacoustic Sensor for Biomedical Applications. Sensors 2013, 13, 535–549. [Google Scholar] [CrossRef] [PubMed]
- Ebrahim-Zadeh, M.; Vodopyanov, K. Mid-infrared coherent sources and applications: Introduction. J. Opt. Soc. Am. B 2016, 33, MIC1. [Google Scholar] [CrossRef]
- You, Z.; Li, J.; Wang, Y.; Chen, H.; Zhu, Z.; Tu, C. Spectroscopic and laser properties of Er: LuGG crystal at ~2.8 μm. Appl. Phys. Express 2019, 12, 052019. [Google Scholar] [CrossRef]
- Tokita, S.; Murakami, M.; Shimizu, S.; Hashida, M.; Sakabe, S. Liquid-cooled 24 W mid-infrared Er: ZBLAN fiber laser. Opt. Lett. 2009, 34, 3062. [Google Scholar] [CrossRef]
- Fortin, V.; Bernier, M.; Bah, S.T.; Vallée, R. 30 W fluoride glass all-fiber laser at 2.94 μm. Opt. Lett. 2015, 40, 2882. [Google Scholar] [CrossRef]
- Aydin, Y.O.; Fortin, V.; Vallée, R.; Bernier, M. Towards power scaling of 2.8 μm fiber lasers. Opt. Lett. 2018, 43, 4542. [Google Scholar] [CrossRef]
- Wang, W.C.; Zhou, B.; Xu, S.H.; Yang, Z.M.; Zhang, Q.Y. Recent advances in soft optical glass fiber and fiber lasers. Prog. Mater. Sci. 2019, 101, 90–171. [Google Scholar] [CrossRef]
- Li, K.H.; Ma, Z.; Choi, H.W. Single-mode whispering gallery lasing from metal-clad GaN nanopillars. Opt. Lett. 2012, 37, 374–376. [Google Scholar] [CrossRef] [PubMed]
- Li, J.; Hudson, D.D.; Liu, Y.; Jackson, S.D. Efficient 2.87 μm fiber laser passively switched using a semiconductor saturable absorber mirror. Opt. Lett. 2012, 37, 3747–3749. [Google Scholar] [CrossRef] [PubMed]
- Haboucha, A.; Fortin, V.; Bernier, M.; Genest, J.; Messaddeq, Y.; Vallée, R. Fiber Bragg grating stabilization of a passively mode-locked 2.8 μm Er3+: Fluoride glass fiber laser. Opt. Lett. 2014, 39, 3294–3297. [Google Scholar] [CrossRef] [PubMed]
- Shen, Y.; Wang, Y.; Luan, K.; Huang, K.; Tao, M.; Chen, H.; Yi, A.; Feng, G.; Si, J. Watt-level passively Q-switched heavily Er3+-doped ZBLAN fiber laser with a semiconductor saturable absorber mirror. Sci. Rep. 2016, 6, 26659. [Google Scholar] [CrossRef]
- Wei, C.; Zhu, X.; Norwood, R.A.; Peyghambari, N. Passively continuous-wave mode-locked Er3+-doped ZBLAN fiber laser at 2.8 μm. Opt. Lett. 2012, 37, 3849–3851. [Google Scholar] [CrossRef]
- Wei, C.; Zhu, X.; Wang, F.; Xu, Y.; Balakrishnan, K.; Song, F.; Norwood, R.A.; Peyghambarian, N. Graphene Q-switched 2.78 μm Er3+-doped fluoride fiber laser. Opt. Lett. 2013, 38, 3233–3236. [Google Scholar] [CrossRef]
- Tokita, S.; Murakami, M.; Shimizu, S.; Hashida, M.; Sakabe, S. Graphene Q-switching of a 3 μm Er: ZBLAN fiber laser. In Proceedings of the Advanced Solid-State Lasers Congress, Paris, France, 27 October 2013. [Google Scholar] [CrossRef]
- Qin, Z.; Xie, G.; Zhang, H.; Zhao, C.; Yuan, P.; Wen, S.; Qian, L. Black phosphorus as saturable absorber for the Q-switched Er:ZBLAN fiber laser at 2.8 μm. Opt. Express 2015, 23, 24713–24718. [Google Scholar] [CrossRef]
- Li, J.; Luo, H.; Wang, L.; Zhao, C.; Zhang, H.; Li, H.; Liu, Y. 3-μm mid-infrared pulse generation using topological insulator as the saturable absorber. Opt. Lett. 2015, 40, 3659–3662. [Google Scholar] [CrossRef]
- Tang, P.; Wu, M.; Wang, Q.; Miao, L.; Huang, B.; Liu, J.; Zhao, C.; Wen, S. 2.8 μm pulsed Er3+:ZBLAN fiber laser modulated by topological insulator. IEEE Photon. Technol. Lett. 2016, 28, 1573–1576. [Google Scholar] [CrossRef]
- Bai, X.; Mou, C.; Xu, L.; Wang, S.; Pu, S.; Zeng, X. Passively Q-switched erbium-doped fiber laser using Fe3O4-nanoparticle saturable absorber. Appl. Phys. Express 2016, 9, 042701. [Google Scholar] [CrossRef]
- Yang, J.; Hu, J.; Luo, H.; Li, J.; Liu, J.; Li, X.; Liu, Y. Fe3O4 nanoparticles as a saturable absorber for a tunable Q-switched dysprosium laser around 3 μm. Photon. Res. 2020, 8, 70–77. [Google Scholar] [CrossRef]
- Luo, H.; Tian, X.; Gao, Y.; Wei, R.; Li, J.; Qiu, J.; Liu, Y. Antimonene: A long-term stable two-dimensional saturable absorption material under ambient conditions for the mid-infrared spectral region. Photon. Res. 2018, 6, 900–907. [Google Scholar] [CrossRef]
- Wei, C.; Luo, H.; Zhang, H.; Li, C.; Xie, J.; Li, J.; Liu, Y. Passively Q-switched mid-infrared fluoride fiber laser around 3 μm using a tungsten disulfide (WS2) saturable absorber. Laser Phys. Lett. 2016, 13, 105108. [Google Scholar] [CrossRef]
- Wang, S.; Tang, Y.; Yang, J.; Zhong, H.; Fan, D. MoS2 Q-switched 2.8 µm Er:ZBLAN fiber laser. Laser Phys. 2019, 29, 025101. [Google Scholar] [CrossRef]
- Luo, H.; Kang, Z.; Gao, Y.; Peng, H.; Li, J.; Qin, G.; Liu, Y. Large aspect ratio gold nanorods (LAR-GNRs) for mid-infrared pulse generation with a tunable wavelength near 3 μm. Opt. Express 2019, 27, 4886–4896. [Google Scholar] [CrossRef]
- Majewski, M.R.; Woodward, R.I.; Jackson, S.D. Dysprosium-doped ZBLAN fiber laser tunable from 2.8 μm to 3.4 μm, pumped at 1.7 μm. Opt. Lett. 2018, 43, 971–974. [Google Scholar] [CrossRef] [PubMed]
- Jackson, S.D.; Lancaster, D.G. Fibre lasers that bridge the shortwave to midwave regions of the infrared spectrum. In Fiber Lasers; Editor, O.G., Ed.; Okhotnikov; Wiley-VCH Verlag GmbH & Co. KGaA: Weinheim, Germany, 2012; pp. 233–267. [Google Scholar] [CrossRef]
- Huang, Y.; Luo, Z.; Li, Y.; Zhong, M.; Xu, B.; Che, K.; Xu, H.; Cai, Z.; Peng, J.; Weng, J. Widely-tunable, passively Q-switched erbium-doped fiber laser with few-layer MoS2 saturable absorber. Opt. Express 2014, 22, 25258–25266. [Google Scholar] [CrossRef]
- Ahmad, H.; Ismail, M.A.; Suthaskumar, M.; Tiu, Z.C.; Harun, S.W.; Zulkifli, M.Z.; Samikannu, S.; Sivaraj, S. S-band Q-switched fiber laser using molybdenum disulfide (MoS2) saturable absorber. Laser Phys. Lett. 2016, 13, 035103. [Google Scholar] [CrossRef]
- Song, H.; Wang, Q.; Wang, D.; Li, L. Passively Q-switched wavelength-tunable 1-μm fiber lasers with tapered-fiber-based black phosphorus saturable absorbers. Results Phys. 2018, 8, 276–280. [Google Scholar] [CrossRef]






| SA | Dopant | Wavelength (nm) | Average Power (mW) | Pulse Energy (nJ) | Ref. |
|---|---|---|---|---|---|
| Graphene | Er3+ | 1547–1557 | 4 | 160 | [16] |
| MoS2 | Er3+ | 1519–1567 | 5.91 | 160 | [29] |
| MoS2 | Er3+ | 1484–1492 | 0.8 | 1.2 | [30] |
| Black phosphorus | Yb3+ | 1040–1045 | 8.9 | 141.27 | [31] |
| Fe3O4 | Dy3+ | 2812–3032 | 111 | 900 | [22] |
| Fe3O4 | Er3+ | 2710–2810 | 188 | 1680 | This work |
Publisher’s Note: MDPI stays neutral with regard to jurisdictional claims in published maps and institutional affiliations. |
© 2022 by the authors. Licensee MDPI, Basel, Switzerland. This article is an open access article distributed under the terms and conditions of the Creative Commons Attribution (CC BY) license (https://creativecommons.org/licenses/by/4.0/).
Share and Cite
Cai, K.; Zhang, X.; Wang, X.; Tong, C.; Wang, L. Broadband Tunable Passively Q-Switched Erbium-Doped ZBLAN Fiber Laser Using Fe3O4-Nanoparticle Saturable Absorber. Appl. Sci. 2022, 12, 9168. https://doi.org/10.3390/app12189168
Cai K, Zhang X, Wang X, Tong C, Wang L. Broadband Tunable Passively Q-Switched Erbium-Doped ZBLAN Fiber Laser Using Fe3O4-Nanoparticle Saturable Absorber. Applied Sciences. 2022; 12(18):9168. https://doi.org/10.3390/app12189168
Chicago/Turabian StyleCai, Kaidi, Xin Zhang, Xi Wang, Cunzhu Tong, and Lijun Wang. 2022. "Broadband Tunable Passively Q-Switched Erbium-Doped ZBLAN Fiber Laser Using Fe3O4-Nanoparticle Saturable Absorber" Applied Sciences 12, no. 18: 9168. https://doi.org/10.3390/app12189168
APA StyleCai, K., Zhang, X., Wang, X., Tong, C., & Wang, L. (2022). Broadband Tunable Passively Q-Switched Erbium-Doped ZBLAN Fiber Laser Using Fe3O4-Nanoparticle Saturable Absorber. Applied Sciences, 12(18), 9168. https://doi.org/10.3390/app12189168
