Experimental Study on the Influence of Moisture and Clay Content on Stress Wave Attenuation Characteristics of Filled Joints
Abstract
:1. Introduction
2. Test Method and Test Materials
2.1. Experimental Setup
2.2. Dynamic Stress Equilibrium
2.3. Specimen Preparation and Test Process
3. Results
4. Discussion
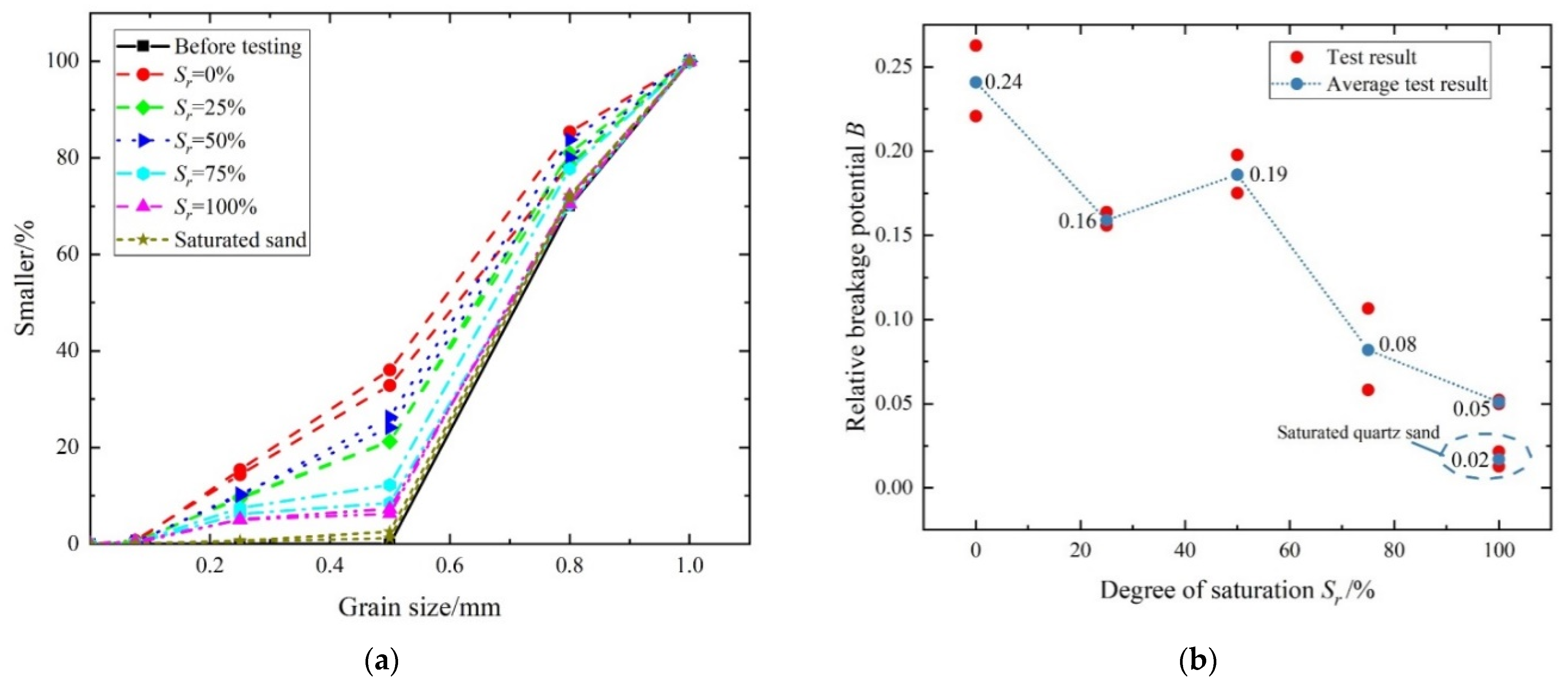
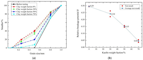
4.1. Particle Crushing Behavior
4.2. Energy Distribution
5. Conclusions
- With the increase of the clay weight fraction, the wave attenuation coefficient decreased first and then increased. When the weight fraction of Kaolin was 50%, the attenuation coefficient was 9.70, which is the minimum among the tested working conditions. As the saturation increased, the wave attenuation coefficient reached a maximum when the saturation was 25%, and then began to decrease as the saturation increased.
- With the increase of the clay weight fraction, the relative breakage potential decreased continuously, and the proportion of dissipation energy to total incident energy also decreased. The variation trend of the transmitted energy ratio was the same as that of the wave attenuation coefficient. When the clay mass fraction was 25%, the proportion of transmitted energy to total incident energy reached the maximum.
- With the increase of saturation, when the saturation was 25%, the friction between particles decreased due to the lubrication of water, and the corresponding transmitted energy was the lowest. When the saturation reached 100%, the wave attenuation coefficient of sand–clay mixtures was the smallest, and the proportion of transmitted energy reached 42.1%. Compared with quartz sand and sand–clay mixture, the wave attenuation coefficient was similar. It could be considered that the wave transmission characteristics was independent of the filling materials under saturated conditions. However, due to the presence of bound water in clay, the particles crushed due to the presence of tiny bubbles during impact.
Author Contributions
Funding
Data Availability Statement
Conflicts of Interest
References
- Liu, X.; Xu, H.; Fan, P.; Geng, H.; Mo, J.; Wang, D. Experimental study on the stress wave attenuation effect of filled cracks in rocks under confining pressure. Rock Soil Mech. 2021, 42, 2099–2108+2119. [Google Scholar]
- Wang, M.Y.; Guo, S.B.; Zhao, Y.T.; Yan, H.J.; Zhao, Y. Progression of liquefaction investigation for saturated sand soil under dynamic loading. J. F PLA Univ. Sci. Technol. 2002, 1, 13–18. [Google Scholar]
- Wang, M.Y.; Qian, Q.H. Attenuation law of explosive wave propagation in cracks. Chin. J. Geotech. Eng. 1995, 17, 42–46. [Google Scholar]
- Bragov, A.M.; Lomunov, A.K.; Sergeichev, I.V.; Tsembelis, K.; Proud, W.G. Determination of physicomechanical properties of soft soils from medium to high strain rates. Int. J. Impact Eng. 2008, 35, 967–976. [Google Scholar] [CrossRef]
- Chen, H.; Zhang, C.; Wei, J.; Li, M.; Wang, Y. A modified method for estimating the stress state of granular materials in the passive confined pressure SHPB tests. Int. J. Impact Eng. 2022, 160, 104063. [Google Scholar] [CrossRef]
- Wang, S.; Shen, L.; Nguyen, G.D.; Maggi, F.; El-Zein, A.; Zheng, Y. An empirical approach for the quantification of uniaxial compressive stress-strain of partially saturated granular media under high strain rates. Soil Dyn. Earthq. Eng. 2019, 120, 245–256. [Google Scholar] [CrossRef]
- Luo, H.; Lu, H.; Cooper, W.L.; Komanduri, R. Effect of mass density on the compressive behavior of dry sand under confinement at high strain rates. Exp. Mech. 2011, 1, 1499–1510. [Google Scholar] [CrossRef]
- Luo, H.; Cooper, W.L.; Lu, H. Effect of moisture on the compressive behavior of dense Eglin sand under confinement at high strain rates. Int. J. Impact Eng. 2014, 65, 40–55. [Google Scholar] [CrossRef]
- Barr, A.D.; Clarke, S.D.; Tyas, A.; Warren, J.A. Effect of moisture content on high strain rate compressibility and particle breakage in loose sand. Exp. Mech. 2018, 58, 1331–1334. [Google Scholar] [CrossRef]
- De Cola, F.; Pellegrino, A.; Glößner, C.; Penumadu, D.; Petrinic, N. Effect of particle morphology, compaction, and confinement on the high strain rate behavior of sand. Exp. Mech. 2018, 58, 223–242. [Google Scholar] [CrossRef]
- Meyers, M.A. Dynamic Behavior of Materials; John Wiley and Sons: New York, NY, USA, 1994; pp. 179–201. [Google Scholar]
- Lak, M.; Marji, M.F.; Bafghi, A.Y.; Abdollahipour, A. Analytical and numerical modeling of rock blasting operations using a two-dimensional elasto-dynamic Green’s function. Int. J. Rock Mech. Min. Sci. 2019, 114, 208–217. [Google Scholar] [CrossRef]
- Lak, M.; Marji, M.F.; Bafghi, A.Y.; Abdollahipour, A. A Coupled Finite Difference-Boundary Element Method for modeling the propagation of explosion-induced radial cracks around a wellbore. J. Nat. Gas Sci. Eng. 2019, 64, 41–51. [Google Scholar] [CrossRef]
- Li, J.C.; Wu, W.; Li, H.B.; Zhu, J.B.; Zhao, J. A thin-layer interface model for wave propagation through filled rock joints. J. Appl. Geophys. 2013, 91, 31–38. [Google Scholar] [CrossRef] [Green Version]
- Li, J.C.; Ma, G.W.; Huang, X. Analysis of Wave Propagation Through a Filled Rock Joint. Rock Mech. Rock Eng. 2010, 43, 789–798. [Google Scholar] [CrossRef]
- Wang, H.; Chai, S.B.; Yu, L.Y.; Jin, Y.L.; Zhou, T.L. P-wave propagation across a viscous-elastic rock mass with a structural plane. Chin. J. Rock Mech. Eng. 2020, 39 (Suppl. S1), 2763–2770. [Google Scholar]
- Luo, H.; Hu, Z.; Xu, T.; Guo, L.; Lu, H. High-strain rate compressive behavior of a “natural soil” under uniaxial strain state. In Dynamic Behavior of Materials; Kimberley, J., Lamberson, L., Mates, S., Eds.; Springer: Cham, Switzerland, 2018; Volume 1, pp. 87–92. [Google Scholar] [CrossRef]
- Wu, W.; Li, J.C.; Zhao, J. Role of filling materials in a P-wave interaction with a rock fracture. Eng. Geol. 2014, 172, 77–84. [Google Scholar] [CrossRef]
- Gray, G. Classic Split-Hopkinson Pressure Bar Testing. In Mechanical Testing and Evaluation, Metals Handbook; American Society for Metals: Material Park, OH, USA, 2000; Volume 8, pp. 462–476. [Google Scholar]
- Huang, X.; Qi, S.; Yao, W.; Xia, K. Effect of filling humidity on the propagation of high-amplitude stress waves through an artificial joint. Geotech. Test. J. 2019, 42, 30–42. [Google Scholar] [CrossRef]
- Li, J.C.; Li, N.N.; Li, H.B.; Zhao, J. An SHPB test study on wave propagation across rock masses with different contact area ratios of joint. Int. J. Impact Eng. 2017, 105, 109–116. [Google Scholar] [CrossRef]
- Lv, Y.R.; Ng, C.W.W.; Wang, Y.A. Evaluation of wave dissipation in sand under impact loading. J. Geotech. Geoenviron. Eng. 2019, 145, 06019007. [Google Scholar] [CrossRef]
- Martin, B.E.; Chen, W.; Song, B.; Akers, S.A. Moisture effects on the high strain-rate behavior of sand. Mech. Mater. 2009, 41, 786–798. [Google Scholar] [CrossRef]
- Wang, J.; Fan, P.; Wang, M.; Dong, L.; Ma, L.; Gao, L. Experimental study of one-dimensional compression creep in crushed dry coral sand. Can. Geotech. J. 2020, 57, 1854–1869. [Google Scholar] [CrossRef]
- Ma, L.; Li, Z.; Wang, M.; Wei, H.; Fan, P. Effects of size and loading rate on the mechanical properties of single coral particles. Powder Technol. 2018, 342, 961–971. [Google Scholar] [CrossRef]
- Huang, J.; Xu, S.; Hu, S. Effects of grain size and gradation on the dynamic responses of quartz sands. Int. J. Impact Eng. 2013, 59, 1–10. [Google Scholar] [CrossRef]
- Hardin, B.O. Crushing of soil particles. J. Geotech. Eng. Div. 1985, 111, 1177–1192. [Google Scholar] [CrossRef]










| Test Number | Clay Weight Fraction | Saturation | Incident Wave Amplitude/MPa | Transmitted Wave Amplitude/MPa | Attenuation Coefficient | Incident Energy | Reflected Energy | Transmitted Energy | Dissipated Energy |
|---|---|---|---|---|---|---|---|---|---|
| T-1 | 0% | 0% | 155.2 | 28.7 | 14.07 | 165.7 | 120.2 | 4.7 | 40.8 |
| T-2 | 0% | 0% | 149.3 | 31.6 | 12.94 | 158.8 | 98.2 | 6.8 | 53.8 |
| T-3 | 30% | 0% | 150.2 | 32.5 | 12.76 | 168.9 | 138.5 | 6.1 | 24.3 |
| T-4 | 30% | 0% | 153.8 | 33.6 | 12.68 | 167.0 | 126.9 | 6.4 | 33.7 |
| T-5 | 50% | 0% | 164.3 | 55.1 | 9.10 | 169.4 | 134.2 | 14.0 | 21.2 |
| T-6 | 50% | 0% | 167.9 | 48.8 | 10.30 | 170.5 | 113.8 | 18.6 | 38.1 |
| T-7 | 70% | 0% | 154.8 | 29.4 | 13.84 | 160.9 | 127.9 | 4.6 | 28.4 |
| T-8 | 70% | 0% | 164.3 | 30.1 | 14.14 | 168.5 | 130.1 | 5.1 | 33.3 |
| T-9 | 100% | 0% | 164.8 | 13.1 | 21.10 | 169.6 | 139.7 | 0.7 | 29.2 |
| T-10 | 100% | 0% | 159.4 | 10.4 | 22.75 | 169.0 | 139.4 | 0.8 | 28.8 |
| T-11 | 30% | 25% | 162.9 | 15.5 | 19.60 | 163.2 | 140.8 | 0.8 | 21.6 |
| T-12 | 30% | 25% | 165.9 | 16.0 | 19.49 | 163.1 | 135.5 | 1.9 | 25.7 |
| T-13 | 30% | 50% | 162.7 | 73.0 | 6.68 | 159.0 | 92.1 | 24.2 | 42.7 |
| T-14 | 30% | 50% | 163.5 | 72.8 | 6.74 | 152.1 | 86.0 | 20.4 | 45.7 |
| T-15 | 30% | 75% | 156.9 | 90.1 | 4.62 | 165.6 | 69.7 | 41.1 | 54.8 |
| T-16 | 30% | 75% | 167.7 | 99.6 | 4.34 | 153.8 | 51.8 | 49.1 | 52.9 |
| T-17 | 30% | 100% | 169.2 | 110.7 | 3.54 | 159.2 | 46.5 | 68.3 | 44.4 |
| T-18 | 30% | 100% | 168.0 | 117.0 | 3.01 | 155.2 | 42.6 | 64.0 | 48.6 |
| T-19 | 0% | 100% | 157.3 | 118.8 | 2.34 | 165.8 | 37.1 | 95.1 | 33.6 |
| T-20 | 0% | 100% | 151.5 | 102.2 | 3.28 | 159.9 | 35.4 | 90.2 | 34.3 |
Publisher’s Note: MDPI stays neutral with regard to jurisdictional claims in published maps and institutional affiliations. |
© 2022 by the authors. Licensee MDPI, Basel, Switzerland. This article is an open access article distributed under the terms and conditions of the Creative Commons Attribution (CC BY) license (https://creativecommons.org/licenses/by/4.0/).
Share and Cite
Li, S.; Xiong, Z.; Fan, P.; Xie, K. Experimental Study on the Influence of Moisture and Clay Content on Stress Wave Attenuation Characteristics of Filled Joints. Appl. Sci. 2022, 12, 9140. https://doi.org/10.3390/app12189140
Li S, Xiong Z, Fan P, Xie K. Experimental Study on the Influence of Moisture and Clay Content on Stress Wave Attenuation Characteristics of Filled Joints. Applied Sciences. 2022; 12(18):9140. https://doi.org/10.3390/app12189140
Chicago/Turabian StyleLi, Sheng, Ziming Xiong, Pengxian Fan, and Kaidi Xie. 2022. "Experimental Study on the Influence of Moisture and Clay Content on Stress Wave Attenuation Characteristics of Filled Joints" Applied Sciences 12, no. 18: 9140. https://doi.org/10.3390/app12189140
APA StyleLi, S., Xiong, Z., Fan, P., & Xie, K. (2022). Experimental Study on the Influence of Moisture and Clay Content on Stress Wave Attenuation Characteristics of Filled Joints. Applied Sciences, 12(18), 9140. https://doi.org/10.3390/app12189140

