Improvement of Arsenic Phytoextraction Using Indigenous Bacteria and Mobilizing Agents
Abstract
:1. Introduction
2. Materials and Methods
2.1. Site Description, Soil Characterization and Evaluation of As Bioavailability
2.2. Phytotoxicity Tests
2.3. Preparation of the Bacterial Consortium
2.4. Characterization of Bacterial Isolates
2.5. Preparation of the Bacterial Consortium
2.6. Preparation of Microcosms
- Plant species: C. sativa (10 seeds) and Z. mays (6 seeds); the seeds were germinated on cotton and then subsequently transplanted;
- Four different treatments for each type of plant, i.e., a control (CT) and treatments with 0.1 M KHC2O4 + 0.01 M C6H8O6, 0.2 M KHC2O4 + 0.01 M C6H8O6 and 0.2 M KHC2O4 + 0.02 M C6H8O6;
- Administration of mobilizing agents: 5 mL of solution for 5 days + irrigation according to the needs of the plants;
- PGPR: added to all microcosms (except CTs);
- Fertilization: a few days after transplanting the plants, 12 mL of a 0.06% urea solution was added to the microcosms.
2.7. Preparation of Mesocosms
- Soil: 4 kg of mixed soil + 1 kg of inert gravel per test; gravel was placed at the base of the pot to facilitate drainage;
- Plant species: C. sativa (20 seeds) and Z. mays (10 seeds); the seeds were germinated on cotton and then subsequently transplanted;
- Two different treatments (about 10 days after the transplant) for each type of plant, i.e., a control (CT) and a treatment with 0.2 M KHC2O4 + 0.01 M C6H8O6 (hereinafter referred to as Ox 0.2/AA 0.01);
- Administration of mobilizing agents: 50 mL of solution for 5 days + irrigation according to the needs of the plants;
- PGPR: added to all mesocosms (except CTs);
- Fertilization: a few days after plant transplantation, 10 + 10 mL of a 0.036% urea solution was added to the mesocosms in 2 days.
2.8. Arsenic Analysis
2.9. Quality Assurance and Quality Control
2.10. Statistical Analysis
3. Results and Discussion
3.1. Soil Analysis
- -
- The solubilization of As and Fe with oxalate is more effective at a pH of about 2;
- -
- At pH 7, the quantity of solubilized As tends to decrease;
- -
- At a very basic pH, unlike Fe, solubilized As tends to increase because a direct ion exchange mechanism can occur between the oxyanions of As and the hydroxyl groups of the iron oxy-hydroxides.
3.2. Phytotoxicity Test
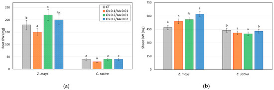
3.3. Microcosm Tests with Oxalate + Ascorbic Acid Mixtures
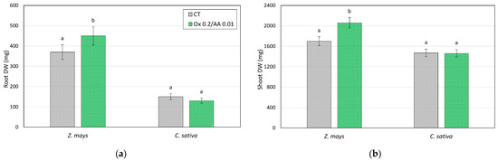
3.4. Mesocosms Tests with 0.2 M Oxalate + 0.01 M Ascorbic Acid
3.5. Evaluation of the Production of Leachates
3.6. Technical Specification Proposal for the Field Test
4. Conclusions
Author Contributions
Funding
Institutional Review Board Statement
Informed Consent Statement
Data Availability Statement
Acknowledgments
Conflicts of Interest
References
- Vocciante, M.; Meshalkin, V. An accurate inverse model for the detection of leaks in sealed landfills. Sustainability 2020, 12, 5598. [Google Scholar] [CrossRef]
- Cirrincione, L.; La Gennusa, M.; Peri, G.; Rizzo, G.; Scaccianoce, G. The landfilling of municipal solid waste and the sustainability of the related transportation activities. Sustainability 2022, 14, 5272. [Google Scholar] [CrossRef]
- Cachada, A.; Rocha-Santos, T.A.P.; Duarte, A.C. Soil and pollution: An introduction to the main issues. In Soil Pollution: From Monitoring to Remediation; Duarte, A.C., Cachada, A., Rocha-Santos, T.A.P., Eds.; Academic Press: Cambridge, MA, USA, 2018; pp. 1–28. [Google Scholar]
- Farhadian, M.; Vachelard, C.; Duchez, D.; Larroche, C. In situ bioremediation of monoaromatic pollutants in groundwater: A review. Biores. Technol. 2008, 99, 5296–5308. [Google Scholar] [CrossRef] [PubMed]
- Pietrelli, L.; Ferro, S.; Reverberi, A.P.; Vocciante, M. Removal of polyethylene glycols from wastewater: A comparison of different approaches. Chemosphere 2021, 273, 129725. [Google Scholar] [CrossRef] [PubMed]
- Vocciante, M.; De Folly D’Auris, A.; Reverberi, A.P. A novel graphene-based sorbent for oil spill cleanup. Materials 2022, 5, 609. [Google Scholar] [CrossRef]
- Reverberi, A.P.; Vocciante, M.; Salerno, M.; Soda, O.; Fabiano, B. A sustainable, top-down mechanosynthesis of carbohydrate-functionalized silver nanoparticles. React. Chem. Eng. 2022, 7, 888–897. [Google Scholar] [CrossRef]
- Khan, F.I.; Husain, T.; Hejazi, R. An overview and analysis of site remediation technologies. J. Environ. Manag. 2004, 71, 95–122. [Google Scholar] [CrossRef]
- Pavel, L.V.; Gavrilescu, M. Overview of ex situ decontamination techniques for soil cleanup. Environ. Eng. Manag. J. 2008, 7, 815–834. [Google Scholar] [CrossRef]
- Li, C.; Zhou, K.; Qin, W.; Tian, C.; Qi, M.; Yan, X.; Han, W. A review on heavy metals contamination in soil: Effects, sources, and remediation techniques. Soil Sediment Contam. 2019, 28, 380–394. [Google Scholar] [CrossRef]
- Song, P.; Xu, D.; Yue, J.; Ma, Y.; Dong, S.; Feng, J. Recent advances in soil remediation technology for heavy metal contaminated sites: A critical review. Sci. Total Environ. 2022, 838, 156417. [Google Scholar] [CrossRef]
- Pietrelli, L.; Ippolito, N.M.; Ferro, S.; Dovì, V.G.; Vocciante, M. Removal of Mn and As from drinking water by red mud and pyrolusite. J. Environ. Manag. 2019, 237, 526–533. [Google Scholar] [CrossRef] [PubMed]
- Garelick, H.; Jones, H.; Dybowska, A.; Valsami-Jones, E. Arsenic pollution sources. In Arsenic Pollution and Remediation: An International Perspective; Garelick, H., Jones, H., Eds.; Springer: New York, NY, USA, 2008; pp. 17–60. [Google Scholar]
- Duruibe, J.O.; Ogwuegbu, M.O.C.; Egwurugwu, J.N. Heavy metal pollution and human biotoxic effects. Int. J. Phys. Sci. 2007, 2, 112–118. [Google Scholar]
- Hughes, M.F.; Beck, B.D.; Chen, Y.; Lewis, A.S.; Thomas, D.J. Arsenic exposure and toxicology: A historical perspective. Toxicol. Sci. 2011, 123, 305–332. [Google Scholar] [CrossRef]
- Fernández, M.I.; López, J.F.; Vivaldi, B.; Coz, F. Long-term impact of arsenic in drinking water on bladder cancer health care and mortality rates 20 years after end of exposure. J. Urol. 2012, 187, 856–861. [Google Scholar] [CrossRef] [PubMed]
- Straif, K.; Benbrahim-Tallaa, L.; Baan, R.; Grosse, Y.; Secretan, B.; El Ghissassi, F.; Bouvard, V.; Guha, N.; Freeman, C.; Galichet, L. A review of human carcinogens—Part C: Metals, arsenic, dusts, and fibres. Lancet Oncol. 2009, 10, 453–454. [Google Scholar] [CrossRef]
- Bauer, M.; Blodau, C. Mobilization of arsenic by dissolved organic matter from iron oxides, soils and sediments. Sci. Total Environ. 2006, 354, 179–190. [Google Scholar] [CrossRef]
- Dixit, S.; Hering, J.G. Comparison of arsenic(V) and arsenic(III) sorption onto iron oxide minerals: Implications for arsenic mobility. Environ. Sci. Technol. 2003, 37, 4182–4189. [Google Scholar] [CrossRef]
- Rahaman, M.S.; Rahman, M.M.; Mise, N.; Sikder, T.; Ichihara, G.; Uddin, M.K.; Kurasaki, M.; Ichihara, S. Environmental arsenic exposure and its contribution to human diseases, toxicity mechanism and management. Environ. Pollut. 2021, 289, 117940. [Google Scholar] [CrossRef]
- CHeMyCAl. 2016. Available online: https://chemycal.com/news/a6321e58-dfbf-4e30-914d-62d270622b65/WHO_identifies_ten_chemicals_of_major_public_health_concern__International_Programme_on_Chemical_Safety (accessed on 1 September 2022).
- D.Lgs. 152/06 (Parte IV—Titolo V Allegato 5, Tabella 1). Available online: https://www.arpa.veneto.it/temi-ambientali/siti-contaminati/file-e-allegati/normativa/procedura-di-bonifica/Dlgs_152_2006_Parte%20IV_Titolo%20V_allegati.pdf/view (accessed on 3 September 2022).
- Vocciante, M.; Bagatin, R.; Ferro, S. Enhancements in electrokinetic remediation technology: Focus on water management and wastewater recovery. Chem. Eng. J. 2017, 309, 708–716. [Google Scholar] [CrossRef]
- Vocciante, M.; Dovì, V.G.; Ferro, S. Sustainability in ElectroKinetic Remediation processes: A critical analysis. Sustainability 2021, 13, 770. [Google Scholar] [CrossRef]
- Pietrelli, L.; Ferro, S.; Reverberi, A.; Pietro; Vocciante, M. Removal and recovery of heavy metals from tannery sludge subjected to plasma pyro-gasification process. J. Clean. Prod. 2020, 273, 123166. [Google Scholar] [CrossRef]
- Song, Y.; Kirkwood, N.; Maksimović, Č.; Zhen, X.; O’Connor, D.; Jin, Y.; Hou, D. Nature based solutions for contaminated land remediation and brownfield redevelopment in cities: A review. Sci. Total Environ. 2019, 663, 568–579. [Google Scholar] [CrossRef] [PubMed]
- Grifoni, M.; Franchi, E.; Fusini, D.; Vocciante, M.; Barbafieri, M.; Pedron, F.; Rosellini, I.; Petruzzelli, G. Soil remediation: Towards a resilient and adaptive approach to deal with the ever-changing environmental challenges. Environments 2022, 9, 18. [Google Scholar] [CrossRef]
- Franchi, E.; Cardaci, A.; Pietrini, I.; Fusini, D.; Conte, A.; De Folly D’Auris, A.; Grifoni, M.; Pedron, F.; Barbafieri, M.; Petruzzelli, G.; et al. Nature-based solutions for restoring an agricultural area contaminated by an oil spill. Plants 2022, 11, 2250. [Google Scholar] [CrossRef]
- Hou, D.; Bolan, N.S.; Tsang, D.C.W.; Kirkham, M.B.; O’Connor, D. Sustainable soil use and management: An interdisciplinary and systematic approach. Sci. Total Environ. 2020, 729, 138961. [Google Scholar] [CrossRef]
- O’Connor, D.; Zheng, X.; Hou, D.; Shen, Z.; Li, G.; Miao, G.; O’Connell, S.; Guo, M. Phytoremediation: Climate change resilience and sustainability assessment at a coastal brownfield redevelopment. Environ. Int. 2019, 130, 104945. [Google Scholar] [CrossRef]
- Vocciante, M.; Caretta, A.; Bua, L.; Bagatin, R.; Franchi, E.; Petruzzelli, G.; Ferro, S. Enhancements in phytoremediation technology: Environmental assessment including different options of biomass disposal and comparison with a consolidated approach. J. Environ. Manag. 2019, 237, 560–568. [Google Scholar] [CrossRef]
- Vocciante, M.; De Follis D’Auris, A.; Franchi, E.; Petruzzelli, G.; Ferro, S. CO2 footprint analysis of consolidated and innovative technologies in remediation activities. J. Clean. Prod. 2021, 297, 126723. [Google Scholar] [CrossRef]
- Pedron, F.; Grifoni, M.; Barbafieri, M.; Petruzzelli, G.; Franchi, E.; Samà, C.; Gila, L.; Zanardi, S.; Palmery, S.; Proto, A.; et al. New light on phytoremediation: The use of luminescent solar concentrators. Appl. Sci. 2021, 11, 1923. [Google Scholar] [CrossRef]
- Conte, A.; Chiaberge, S.; Pedron, F.; Barbafieri, M.; Petruzzelli, G.; Vocciante, M.; Franchi, E.; Pietrini, I. Dealing with complex contamination: A novel approach with a combined bio-phytoremediation strategy and effective analytical techniques. J. Environ. Manage. 2021, 288, 112381. [Google Scholar] [CrossRef]
- Cirrincione, L.; La Gennusa, M.; Marino, C.; Nucara, A.; Marvuglia, A.; Peri, G. Passive components for reducing environmental impacts of buildings: Analysis of an experimental green roof. In Proceedings of the 2020 IEEE 20th Mediterranean Electrotechnical Conference, Palermo, Italy, 16–18 June 2020; pp. 494–499. [Google Scholar] [CrossRef]
- Pandey, V.C.; Gajic, G.; Sharma, P.; Roy, M. Adaptive phytoremediation practices for sustaining ecosystem services. In Adaptive Phytoremediation Practices: Resilience to Climate Change; Elsevier: Amsterdam, The Netherlands, 2022; pp. 181–225. [Google Scholar] [CrossRef]
- Cirrincione, L.; Di Dio, S.; Peri, G.; Scaccianoce, G.; Schillaci, D.; Rizzo, G. A win-win scheme for improving the environmental sustainability of university commuters’ mobility and getting environmental credits. Energies 2022, 15, 396. [Google Scholar] [CrossRef]
- Cirrincione, L.; Marvuglia, A.; Scaccianoce, G. Assessing the effectiveness of green roofs in enhancing the energy and indoor comfort resilience of urban buildings to climate change: Methodology proposal and application. Build. Environ. 2021, 205, 108198. [Google Scholar] [CrossRef]
- Ashraf, S.S.; Ali, Q.; Zahir, Z.A.; Ashraf, S.S.; Asghar, H.N. Phytoremediation: Environmentally sustainable way for reclamation of heavy metal polluted soils. Ecotoxicol. Environ. Saf. 2019, 174, 714–727. [Google Scholar] [CrossRef] [PubMed]
- Shah, V.; Daverey, A. Phytoremediation: A multidisciplinary approach to clean up heavy metal contaminated soil. Environ. Technol. Innov. 2020, 18, 100774. [Google Scholar] [CrossRef]
- Sheoran, V.; Singh Sheoran, A.; Poonia, P. Factors affecting phytoextraction: A review. Pedosphere 2016, 26, 148–166. [Google Scholar] [CrossRef]
- Barbafieri, M.; Pedron, F.; Petruzzelli, G.; Rosellini, I.; Franchi, E.; Bagatin, R.; Vocciante, M. Assisted phytoremediation of a multi-contaminated soil: Investigation on arsenic and lead combined mobilization and removal. J. Environ. Manag. 2017, 203, 316–329. [Google Scholar] [CrossRef]
- Evangelou, M.W.H.; Ebel, M.; Schaeffer, A. Chelate assisted phytoextraction of heavy metals from soil. Effect, mechanism, toxicity, and fate of chelating agents. Chemosphere 2007, 68, 989–1003. [Google Scholar] [CrossRef]
- Pedron, F.; Grifoni, M.; Barbafieri, M.; Petruzzelli, G.; Rosellini, I.; Franchi, E.; Bagatin, R.; Vocciante, M. Applicability of a Freundlich-like model for plant uptake at an industrial contaminated site with a high variable arsenic concentration. Environments 2017, 4, 67. [Google Scholar] [CrossRef]
- Petruzzelli, G.; Grifoni, M.; Barbafieri, M.; Rosellini, I.; Pedron, F. Sorption: Release processes in soil-the basis of phytoremediation efficiency. In Phytoremediation; Ansari, A.A., Gill, S.S., Gill, R., Lanza, G.R., Newman, L., Eds.; Springer: Cham, Switzerland, 2018; pp. 91–112. [Google Scholar] [CrossRef]
- Manoj, S.R.; Karthik, C.; Kadirvelu, K.; Arulselvi, P.I.; Shanmugasundaram, T.; Bruno, B.; Rajkumar, M. Understanding the molecular mechanisms for the enhanced phytoremediation of heavy metals through plant growth promoting rhizobacteria: A review. J. Environ. Manag. 2020, 254, 109779. [Google Scholar] [CrossRef]
- Vocciante, M.; Grifoni, M.; Fusini, D.; Petruzzelli, G.; Franchi, E. The role of plant growth-promoting rhizobacteria (PGPR) in mitigating plant’s environmental stresses. Appl. Sci. 2022, 12, 1231. [Google Scholar] [CrossRef]
- Abbaszadeh-Dahaji, P.; Omidvari, M.; Ghorbanpour, M. Increasing phytoremediation efficiency of heavy metal-contaminated soil using PGPR for sustainable agriculture. In Plant-Microbe Interaction: An Approach to Sustainable Agriculture; Choudhary, D.K., Varma, A., Narendra, T., Eds.; Springer: Singapore, 2017; pp. 187–204. [Google Scholar] [CrossRef]
- Pietrini, I.; Grifoni, M.; Franchi, E.; Cardaci, A.; Pedron, F.; Barbafieri, M.; Petruzzelli, G.; Vocciante, M. Enhanced lead phytoextraction by endophytes from indigenous plants. Soil Syst. 2021, 5, 55. [Google Scholar] [CrossRef]
- Franchi, E.; Barbafieri, M.; Petruzzelli, G.; Ferro, S.; Vocciante, M. Screening of plants and indigenous bacteria to improve arsenic phytoextraction. Appl. Sci. 2022, 12, 7267. [Google Scholar] [CrossRef]
- ISO 18763; 2016 Soil Quality—Determination of the Toxic Effects of Pollutants on Germination and Early Growth of Higher Plants. International Organization for Standardization: Geneva, Switzerland, 2016.
- Picchi, C.; Giorgetti, L.; Morelli, E.; Landi, M.; Rosellini, I.; Grifoni, M.; Franchi, E.; Petruzzelli, G.; Barbafieri, M. Cannabis sativa L. and Brassica juncea L. grown on arsenic-contaminated industrial soil: Potentiality and limitation for phytoremediation. Environ. Sci. Pollut. Res. Int. 2022, 29, 15983–15998. [Google Scholar] [CrossRef] [PubMed]
- Franchi, E.; Cosmina, P.; Pedron, F.; Rosellini, I.; Barbafieri, M.; Petruzzelli, G.; Vocciante, M. Improved arsenic phytoextraction by combined use of mobilizing chemicals and autochthonous soil bacteria. Sci. Total Environ. 2019, 655, 328. [Google Scholar] [CrossRef] [PubMed]
- Sparks, D.L. Methods of soil analysis, Part 3. Chemical Methods. In Soil Science Society of America Book Series; Soil Science Society of America: Madison, WI, USA, 1998. [Google Scholar]
- Haynes, W. Tukey’s Test. In Encyclopedia of Systems Biology; Dubitzky, W., Wolkenhauer, O., Cho, K.H., Yokota, H., Eds.; Springer: New York, NY, USA, 2013. [Google Scholar] [CrossRef]
- Violante, A.; Pigna, M.; Del Gaudio, S. Adsorption-desorption processes of arsenate in soil environments. In Soil Abiotic & Biotic Interactions and the Impact on the Ecosystem & Human Welfare; Huang, P.M., Bollag, J.-M., Violante, A., Vityakon, P., Eds.; Science Publishers: Enfield, NH, USA, 2005; pp. 269–299. [Google Scholar]
- Dehner, C.A.; Awaya, J.D.; Maurice, P.A.; DuBois, J.L. Roles of siderophores, oxalate, and ascorbate in mobilization of iron from hematite by the aerobic bacterium Pseudomonas mendocina. Appl. Environ. Microbiol. 2010, 76, 2041–2048. [Google Scholar] [CrossRef] [PubMed]
- Yuan, Z.; Zhang, G.; Lin, J.; Zeng, X.; Ma, X.; Wang, X.; Wang, S.; Jia, Y. The stability of Fe(III)-As(V) co-precipitate in the presence of ascorbic acid: Effect of pH and Fe/As molar ratio. Chemosphere 2019, 218, 670–679. [Google Scholar] [CrossRef]
- Larsen, O.; Postma, D.; Jakobsen, R. The reactivity of iron oxides towards reductive dissolution with ascorbic acid in a shallow sandy aquifer (Rømø, Denmark). Geochim. Cosmochim. Acta 2006, 70, 4827–4835. [Google Scholar] [CrossRef]
- Müller, H.; Bourcet, L.; Hanfland, M. Iron(II) oxalate dehydrate—Humboldtine: Synthesis, spectroscopic and structural properties of a versatile precursor for high pressure research. Minerals 2021, 11, 113. [Google Scholar] [CrossRef]






| As | Fe | |
|---|---|---|
| Total | 37.5 ± 1.9 | 17102 ± 210 |
| 0.1 M KH2PO4 | 0.72 ± 0.06 | 1.32 ± 0.07 |
| 0.01 M C6H8O6 | 0.05 ± 0.01 | 16.7 ± 0.8 |
| 0.05 M KHC2O4 + 0.01 M C6H8O6 | (0.77 ± 0.05) 0.87 ± 0.05 | (0.15 ± 0.01) 154 ± 8 |
| 0.1 M KHC2O4 + 0.01 M C6H8O6 | (1.35 ± 0.08) 1.5 ± 0.1 | (2.97 ± 0.15) 2284 ± 91 |
| 0.2 M KHC2O4 + 0.01 M C6H8O6 | (2.45 ± 0.12) 3.6 ± 0.1 | (369 ± 17) 4711 ± 141 |
| Treatment | Z. mays | C. sativa | ||
|---|---|---|---|---|
| Roots | Shoots | Roots | Shoots | |
| CT | 0.15 ± 0.02 a | 0.06 ± 0.01 a | 0.07 ± 0.01 a | 0.03 ± 0.01 a |
| Ox 0.1/AA 0.01 | 3.30 ± 0.36 b | 0.90 ± 0.07 b | 1.28 ± 0.15 b | 1.61 ± 0.11 b |
| Ox 0.2/AA 0.01 | 17.70 ± 1.86 d | 8.32 ± 0.50 d | 8.20 ± 0.90 d | 6.35 ± 0.44 c |
| Ox 0.2/AA 0.02 | 8.60 ± 0.77 c | 3.80 ± 0.23 c | 4.60 ± 0.46 c | 5.80 ± 0.29 c |
| Treatment | Z. mays | C. sativa | ||
|---|---|---|---|---|
| Root | Shoot | Root | Shoot | |
| CT | 2.48 ± 0.30 a | 1.23 ± 0.10 a | 2.15 ± 0.26 a | 1.05 ± 0.08 a |
| Ox 0.2/AA 0.01 | 15.8 ± 1.42 b | 10.41 ± 0.52 b | 10.1 ± 1.06 b | 8.12 ± 0.49 b |
| Treatment | Z. mays | C. sativa | ||
|---|---|---|---|---|
| Volume | As | Volume | As | |
| CT | 770 ± 59 b | 0.26 ± 0.03 a | 640 ± 70 a | 0.12 ± 0.01 a |
| Ox 0.2/AA 0.01 | 553 ± 50 a | 0.25 ± 0.02 a | 648 ± 45 a | 0.09 ± 0.01 a |
Publisher’s Note: MDPI stays neutral with regard to jurisdictional claims in published maps and institutional affiliations. |
© 2022 by the authors. Licensee MDPI, Basel, Switzerland. This article is an open access article distributed under the terms and conditions of the Creative Commons Attribution (CC BY) license (https://creativecommons.org/licenses/by/4.0/).
Share and Cite
Franchi, E.; Barbafieri, M.; Petruzzelli, G.; Ferro, S.; Vocciante, M. Improvement of Arsenic Phytoextraction Using Indigenous Bacteria and Mobilizing Agents. Appl. Sci. 2022, 12, 9059. https://doi.org/10.3390/app12189059
Franchi E, Barbafieri M, Petruzzelli G, Ferro S, Vocciante M. Improvement of Arsenic Phytoextraction Using Indigenous Bacteria and Mobilizing Agents. Applied Sciences. 2022; 12(18):9059. https://doi.org/10.3390/app12189059
Chicago/Turabian StyleFranchi, Elisabetta, Meri Barbafieri, Gianniantonio Petruzzelli, Sergio Ferro, and Marco Vocciante. 2022. "Improvement of Arsenic Phytoextraction Using Indigenous Bacteria and Mobilizing Agents" Applied Sciences 12, no. 18: 9059. https://doi.org/10.3390/app12189059
APA StyleFranchi, E., Barbafieri, M., Petruzzelli, G., Ferro, S., & Vocciante, M. (2022). Improvement of Arsenic Phytoextraction Using Indigenous Bacteria and Mobilizing Agents. Applied Sciences, 12(18), 9059. https://doi.org/10.3390/app12189059

