Influence of Refractive Index Differences on the Signal Strength for Raman-Spectroscopic Measurements of Double Emulsion Droplets
Abstract
:1. Introduction
2. Materials and Methods
2.1. Emulsions System
2.2. Raman Measurement
2.3. Emulsification
2.4. Set of Experiments
3. Results
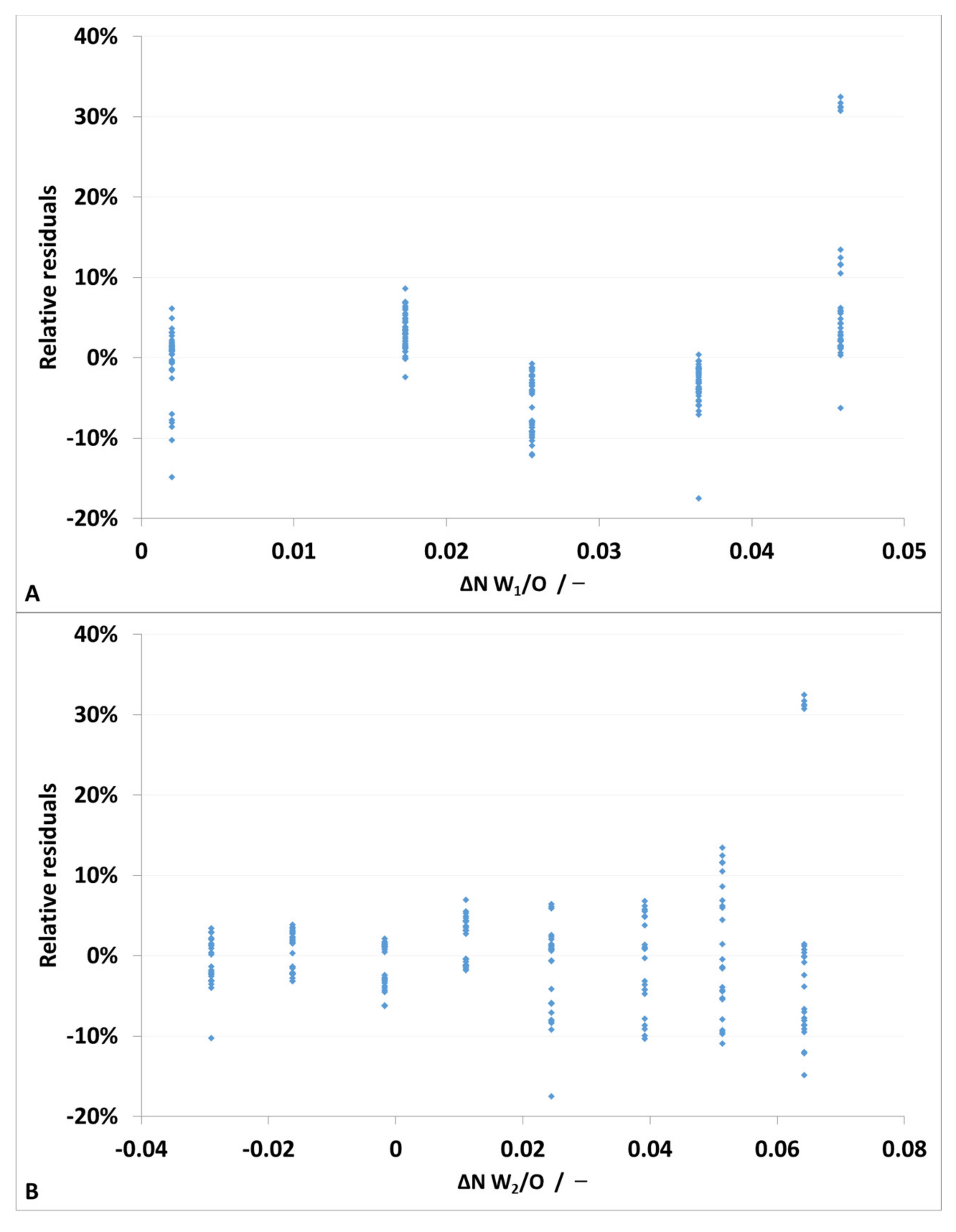
3.1. Influence of the Refractive Index Matching on the Raman Signal
3.2. Linear Multiple Regression
4. Discussion
5. Conclusions
Author Contributions
Funding
Institutional Review Board Statement
Informed Consent Statement
Data Availability Statement
Acknowledgments
Conflicts of Interest
References
- Vladisavljević, G.; Al Nuumani, R.; Nabavi, S. Microfluidic Production of Multiple Emulsions. Micromachines 2017, 8, 75. [Google Scholar] [CrossRef]
- Bai, L.; Huan, S.; Rojas, O.J.; McClements, D.J. Recent Innovations in Emulsion Science and Technology for Food Applications. J. Agric. Food Chem. 2021, 69, 8944–8963. [Google Scholar] [CrossRef] [PubMed]
- Schuster, S.; Bernewitz, R.; Guthausen, G.; Zapp, J.; Greiner, A.M.; Köhler, K.; Schuchmann, H.P. Analysis of W1/O/W2 double emulsions with CLSM: Statistical image processing for droplet size distribution. Chem. Eng. Sci. 2012, 81, 84–90. [Google Scholar] [CrossRef]
- Budwig, R. Refractive index matching methods for liquid flow investigations. Exp. Fluids 1994, 17, 350–355. [Google Scholar] [CrossRef]
- Wiederseiner, S.; Andreini, N.; Epely-Chauvin, G.; Ancey, C. Refractive-index and density matching in concentrated particle suspensions: A review. Exp. Fluids 2011, 50, 1183–1206. [Google Scholar] [CrossRef]
- Schalk, R.; Heintz, A.; Braun, F.; Iacono, G.; Rädle, M.; Gretz, N.; Methner, F.-J.; Beuermann, T. Comparison of Raman and Mid-Infrared Spectroscopy for Real-Time Monitoring of Yeast Fermentations: A Proof-of-Concept for Multi-Channel Photometric Sensors. Appl. Sci. 2019, 9, 2472. [Google Scholar] [CrossRef]
- Kudelski, A. Analytical applications of Raman spectroscopy. Talanta 2008, 76, 1–8. [Google Scholar] [CrossRef]
- Elizalde, O.; Leiza, J.R.; Asua, J.M. On-line monitoring of all-acrylic emulsion polymerization reactors by Raman spectroscopy. Macromol. Symp. 2004, 206, 135–148. [Google Scholar] [CrossRef]
- He, H.; Sun, D.-W.; Pu, H.; Chen, L.; Lin, L. Applications of Raman spectroscopic techniques for quality and safety evaluation of milk: A review of recent developments. Crit. Rev. Food Sci. Nutr. 2019, 59, 770–793. [Google Scholar] [CrossRef]
- Zhang, W.; Ma, J.; Sun, D.-W. Raman spectroscopic techniques for detecting structure and quality of frozen foods: Principles and applications. Crit. Rev. Food Sci. Nutr. 2021, 61, 2623–2639. [Google Scholar] [CrossRef]
- Löbenberg, R.; Bou-Chacra, N.A. Raman Spectroscopy for Quantitative Analysis in the Pharmaceutical Industry. J. Pharm. Pharm. Sci. 2020, 23, 24–46. [Google Scholar] [CrossRef]
- Petersen, M.; Yu, Z.; Lu, X. Application of Raman Spectroscopic Methods in Food Safety: A Review. Biosensors 2021, 11, 187. [Google Scholar] [CrossRef]
- Kollhoff, R.T.; Kelemen, K.; Schuchmann, H.P. Local Multiphase Flow Characterization with Micro Particle Image Velocimetry Using Refractive Index Matching. Chem. Eng. Technol. 2015, 38, 1774–1782. [Google Scholar] [CrossRef]
- Schalk, R.; Braun, F.; Frank, R.; Rädle, M.; Gretz, N.; Methner, F.-J.; Beuermann, T. Non-contact Raman spectroscopy for in-line monitoring of glucose and ethanol during yeast fermentations. Bioprocess. Biosyst. Eng. 2017, 40, 1519–1527. [Google Scholar] [CrossRef] [PubMed]
- Kortüm, G. Reflectance Spectroscopy: Principles, Methods, Applications; Springer International Publishing: Cham, Switzerland, 2020. [Google Scholar]
- Tan, C.; McClements, D.J. Application of Advanced Emulsion Technology in the Food Industry: A Review and Critical Evaluation. Foods 2021, 10, 812. [Google Scholar] [CrossRef]
- Khan, A.Y.; Talegaonkar, S.; Iqbal, Z.; Ahmed, F.J.; Khar, R.K. Multiple emulsions: An overview. Curr. Drug Deliv. 2006, 3, 429–443. [Google Scholar] [CrossRef]
- Muschiolik, G.; Dickinson, E. Double Emulsions Relevant to Food Systems: Preparation, Stability, and Applications. Compr. Rev. Food Sci. Food Saf. 2017, 16, 532–555. [Google Scholar] [CrossRef]
- Wang, W.; Zhang, M.-J.; Chu, L.-Y. Microfluidic approach for encapsulation via double emulsions. Curr. Opin. Pharmacol. 2014, 18, 35–41. [Google Scholar] [CrossRef]
- Datta, S.S.; Abbaspourrad, A.; Amstad, E.; Fan, J.; Kim, S.-H.; Romanowsky, M.; Shum, H.C.; Sun, B.; Utada, A.S.; Windbergs, M.; et al. 25th anniversary article: Double emulsion templated solid microcapsules: Mechanics and controlled release. Adv. Mater. 2014, 26, 2205–2218. [Google Scholar] [CrossRef]
- Iqbal, M.; Zafar, N.; Fessi, H.; Elaissari, A. Double emulsion solvent evaporation techniques used for drug encapsulation. Int. J. Pharm. 2015, 496, 173–190. [Google Scholar] [CrossRef]
- Muschiolik, G. Multiple emulsions for food use. Curr. Opin. Colloid Interface Sci. 2007, 12, 213–220. [Google Scholar] [CrossRef]
- Schuch, A.; Wrenger, J.; Schuchmann, H.P. Production of W/O/W double emulsions. Part II: Influence of emulsification device on release of water by coalescence. Colloids Surf. A Physicochem. Eng. Asp. 2014, 461, 344–351. [Google Scholar] [CrossRef]
- Schuch, A.; Tonay, A.N.; Köhler, K.; Schuchmann, H.P. Influence of the second emulsification step during production of W/O/W multiple emulsions: Comparison of different methods to determine encapsulation efficiency in W/O/W emulsions. Can. J. Chem. Eng. 2014, 92, 203–209. [Google Scholar] [CrossRef]
- Leister, N.; Vladisavljević, G.T.; Karbstein, H.P. Novel glass capillary microfluidic devices for the flexible and simple production of multi-cored double emulsions. J. Colloid Interface Sci. 2022, 611, 451–461. [Google Scholar] [CrossRef] [PubMed]
- Theberge, A.B.; Courtois, F.; Schaerli, Y.; Fischlechner, M.; Abell, C.; Hollfelder, F.; Huck, W.T.S. Microdroplets in microfluidics: An evolving platform for discoveries in chemistry and biology. Angew. Chem. Int. Ed. Engl. 2010, 49, 5846–5868. [Google Scholar] [CrossRef]
- Teh, S.-Y.; Lin, R.; Hung, L.-H.; Lee, A.P. Droplet microfluidics. Lab Chip 2008, 8, 198–220. [Google Scholar] [CrossRef]
- Utada, A.S.; Lorenceau, E.; Link, D.R.; Kaplan, P.D.; Stone, H.A.; Weitz, D.A. Monodisperse double emulsions generated from a microcapillary device. Science 2005, 308, 537–541. [Google Scholar] [CrossRef]
- Nabavi, S.A.; Vladisavljević, G.T.; Gu, S.; Ekanem, E.E. Double emulsion production in glass capillary microfluidic device: Parametric investigation of droplet generation behaviour. Chem. Eng. Sci. 2015, 130, 183–196. [Google Scholar] [CrossRef]
- Bandulasena, M.V.; Vladisavljević, G.T.; Benyahia, B. Versatile reconfigurable glass capillary microfluidic devices with Lego® inspired blocks for drop generation and micromixing. J. Colloid Interface Sci. 2019, 542, 23–32. [Google Scholar] [CrossRef]
- Nabavi, S.A.; Vladisavljević, G.T.; Bandulasena, M.V.; Arjmandi-Tash, O.; Manović, V. Prediction and control of drop formation modes in microfluidic generation of double emulsions by single-step emulsification. J. Colloid Interface Sci. 2017, 505, 315–324. [Google Scholar] [CrossRef] [Green Version]
- Leister, N.; Karbstein, H.P. Evaluating the Stability of Double Emulsions—A Review of the Measurement Techniques for the Systematic Investigation of Instability Mechanisms. Colloids Interfaces 2020, 4, 8. [Google Scholar] [CrossRef]
- Schuch, A.; Köhler, K.; Schuchmann, H.P. Differential scanning calorimetry (DSC) in multiple W/O/W emulsions. J. Therm. Anal. Calorim. 2013, 111, 1881–1890. [Google Scholar] [CrossRef]
- Bernewitz, R.; Dalitz, F.; Köhler, K.; Schuchmann, H.P.; Guthausen, G. Characterisation of multiple emulsions by NMR spectroscopy and diffusometry. Microporous Mesoporous Mater. 2013, 178, 69–73. [Google Scholar] [CrossRef]
- Goldrick, S.; Lovett, D.; Montague, G.; Lennox, B. Influence of Incident Wavelength and Detector Material Selection on Fluorescence in the Application of Raman Spectroscopy to a Fungal Fermentation Process. Bioengineering 2018, 5, 79. [Google Scholar] [CrossRef] [PubMed]
- Nachtmann, M.; Deuerling, J.; Rädle, M. Molecule Sensitive Optical Imaging and Monitoring Techniques-A Review of Applications in Micro-Process Engineering. Micromachines 2020, 11, 353. [Google Scholar] [CrossRef] [PubMed]
- Meyer, T.; Akimov, D.; Tarcea, N.; Chatzipapadopoulos, S.; Muschiolik, G.; Kobow, J.; Schmitt, M.; Popp, J. Three-dimensional molecular mapping of a multiple emulsion by means of CARS microscopy. J. Phys. Chem. B 2008, 112, 1420–1426. [Google Scholar] [CrossRef]
- Saletnik, A.; Saletnik, B.; Puchalski, C. Overview of Popular Techniques of Raman Spectroscopy and Their Potential in the Study of Plant Tissues. Molecules 2021, 26, 1537. [Google Scholar] [CrossRef]
- Diaz, D.; Hahn, D.W. Raman spectroscopy for detection of ammonium nitrate as an explosive precursor used in improvised explosive devices. Spectrochim. Acta A Mol. Biomol. Spectrosc. 2020, 233, 118204. [Google Scholar] [CrossRef]
- Erckens, R.J.; Hosseini, K.; March, W.F.; Jongsma, F.H.M.; Wicksted, J.P.; Li, H.K.; Hendrikse, F. Raman spectroscopy: Noninvasive determination of silicone oil in the eye: Potential applications for intraocular determination of biomaterials. Retina 2002, 22, 796–799. [Google Scholar] [CrossRef]
- Mendelovici, E.; Frost, R.L.; Kloprogge, T. Cryogenic Raman spectroscopy of glycerol. J. Raman Spectrosc. 2000, 31, 1121–1126. [Google Scholar] [CrossRef]







| Phase | Mean Value | ΔN | |
|---|---|---|---|
| W2 | 00.00% Glycerin | 1.3385 | 0.0642 |
| 10.00% Glycerin | 1.3513 | 0.0514 | |
| 20.01% Glycerin | 1.3635 | 0.0392 | |
| 30.01% Glycerin | 1.3782 | 00245 | |
| 40.00% Glycerin | 1.3917 | 0.0110 | |
| 49.04% Glycerin | 1.4044 | −0.0017 | |
| 60.00% Glycerin | 1.4189 | −0.0162 | |
| 70.00% Glycerin | 1.4317 | −0.0290 | |
| O | 2.02% Dowsil Resin XR 0497 | 1.4027 | |
| W1 | 16.33% Ammonium nitrate | 1.3569 | 0.0458 |
| 24.50% Ammonium nitrate | 1.3662 | 0.0365 | |
| 32.46% Ammonium nitrate | 1.3771 | 0.0256 | |
| 48.91% Ammonium nitrate | 1.4007 | 0.0020 | |
| 61.25% Ammonium nitrate | 1.4200 | −0.0173 | |
| Set of Experiment | |||||
|---|---|---|---|---|---|
| #1 | #2 | #3 | #4 | #5 | |
| Filling degree/w-% | 8.17 | 10.21 | 15.31 | 20.40 | 30.61 |
| Ammonium nitrate concentration/w-% | 61.25 | 48.91 | 32.46 | 24.50 | 16.33 |
| Amount W1/g | 36.731 | 24.482 | 18.366 | 12.257 | 9.811 |
| Amount ammonium nitrate/g | 6.01 | 6.00 | 5.96 | 6.00 | 6.00 |
| Glycerol/w-% | Single Interface Transition | Multiple Scattering | ||
|---|---|---|---|---|
| 0° | 45° | 0° | 45° | |
| 0% | 0.05% | 0.12% | ||
| 10% | 0.03% | 0.08% | ||
| 20% | 0.02% | 0.04% | ||
| 30% | 0.01% | 0.02% | ||
| 40% | 0.00% | 0.00% | ||
| 50% | 0.00% | 0.00% | ||
| 60% | 0.00% | 0.01% | ||
| 70% | 0.01% | 0.02% | ||
| Ammonium nitrate/w-% | ||||
| 16% | 0.03% | 0.06% | 24.08% | 44.64% |
| 24% | 0.02% | 0.04% | 15.95% | 30.74% |
| 32% | 0.01% | 0.02% | 8.13% | 16.16% |
| 49% | 0.00% | 0.00% | 0.09% | 0.10% |
| 61% | 0.00% | 0.01% | 3.69% | 7.07% |
Publisher’s Note: MDPI stays neutral with regard to jurisdictional claims in published maps and institutional affiliations. |
© 2022 by the authors. Licensee MDPI, Basel, Switzerland. This article is an open access article distributed under the terms and conditions of the Creative Commons Attribution (CC BY) license (https://creativecommons.org/licenses/by/4.0/).
Share and Cite
Hufnagel, T.; Rädle, M.; Karbstein, H.P. Influence of Refractive Index Differences on the Signal Strength for Raman-Spectroscopic Measurements of Double Emulsion Droplets. Appl. Sci. 2022, 12, 9056. https://doi.org/10.3390/app12189056
Hufnagel T, Rädle M, Karbstein HP. Influence of Refractive Index Differences on the Signal Strength for Raman-Spectroscopic Measurements of Double Emulsion Droplets. Applied Sciences. 2022; 12(18):9056. https://doi.org/10.3390/app12189056
Chicago/Turabian StyleHufnagel, Thomas, Matthias Rädle, and Heike P. Karbstein. 2022. "Influence of Refractive Index Differences on the Signal Strength for Raman-Spectroscopic Measurements of Double Emulsion Droplets" Applied Sciences 12, no. 18: 9056. https://doi.org/10.3390/app12189056
APA StyleHufnagel, T., Rädle, M., & Karbstein, H. P. (2022). Influence of Refractive Index Differences on the Signal Strength for Raman-Spectroscopic Measurements of Double Emulsion Droplets. Applied Sciences, 12(18), 9056. https://doi.org/10.3390/app12189056

