Featured Application
Creating a vast amount of nuclear power to deliver low carbon energy for a future net-zero society.
Abstract
Nuclear technologies have the potential to play a unique role in delivering low carbon energy for a future net-zero society. However, for long-term success, nuclear technologies will need to deliver innovative solutions as proposed in iMAGINE. One of the key challenges for the envisaged highly integrated nuclear energy system is the need for a demand-driven salt clean-up system. The work described provides an insight into the interplay between a potential salt clean-up system and the reactor operation in a dynamic approach. The results provided will help to optimise the parameters for the salt clean-up process by delivering a dynamically calculated priority list, identifying the elements with great influence on reactor operation. The integrated model is used to investigate the ideal time for the initiation of the clean-up as well as the effect of different throughputs through the clean-up system on criticality as well as on the concentration of the elements in the reactor salt. Finally, a staggered approach is proposed with the idea to phase in the chemical clean-up processes step by step to keep the reactor critical. The results provide an essential step for the progress of iMAGINE as well as a basis for the interdisciplinary work required to bring iMAGINE into real operation.
1. Introduction
Nuclear energy has a very unique role in a sustainable energy future since it is the only currently available net-zero technology which can assure 24/7 availability and controllability while delivering massive amounts of low carbon energy on demand to support a net zero society. However, to deliver on a large-scale demand, as it would be required to have a substantial influence on future energy supply, it would be of high importance to improve the sustainability of the technology; see []. This step has already been envisaged several times in the past when aiming to close the fuel cycle to reduce the environmental impact and improve fuel utilisation []. To meet these challenges in a highly innovative, integrated approach, we have proposed the iMAGINE concept, which aims at using molten salt fast reactors in conjunction with an integrated salt clean-up system. The proposed system will operate on spent nuclear fuel and has the potential to deliver waste management [] and power production [] in one process much more efficiently than classical closed fuel cycle approaches []. In contrast to the historical approaches, this new, integrated approach offers the prospect of a single holistic solution, delivering an innovative energy production system as well as a highly sustainable waste management process [,], delivering on the negative aspects of nuclear []. This offers the prospect of delivering energy supply and waste management in a closed fuel cycle reactor system, avoiding the classical extensive fuel cycle as well as the double strata approach proposed for waste management []. However, to deliver on these ideas, the use of molten salt reactors is only one part; the other is to establish completely new thinking regarding the clean-up system, avoiding the separation of fissile material and replacing it with a strictly demand-driven approach for long-term reactor operation. Up to now, even in MSR technologies, the proposed processes are still based on separating fissile materials, as in MSRE []. This is still proposed in newer approaches [,] and even in the processes proposed for EVOL [,]. For iMAGINE, a completely different approach, which could be called “reverse” reprocessing, is envisaged and under development. The aim is to keep all actinides in the salt while separating selected elements that prevent the reactor from long-term operation. This avoids not only proliferation issues; it offers, in addition, new element-specific conditioning opportunities, which will help to reduce the final disposal challenge. Although we propose a completely different solution, it does not mean that all developments need to be new; separation approaches which exist and are relevant, e.g., those exploiting the nature of the hot molten salt medium to generate, release and separate gaseous and volatile fission products will still be utilised [,].
The first essential step is to be able to develop the required processes; and to do that, the relevant elements must be identified, which cause the largest decrease in criticality and thus worsen the required breeding after a certain time of operation. In the first step, the analysis was based on the criticality effect of the fission products in spent fuel from LWRs []. In a second step, the fission product accumulation in the MSFR operation and the related criticality effect were studied []. However, all these studies were based on static calculations of a certain burnup, and the MSFR study was based on a classical burnup study without considering the release of volatile fission products during operation.
The modelling and simulation are based on the lattice code system HELIOS combined with a script to handle the salt clean-up [,], which was developed for transmutation studies under the boundary conditions of the nuclear phase-out in Germany. A comparable approach is used in the SERPENT-2 system, a Monte-Carlo codes system able to deliver the transport and burnup simulation with an integrated opportunity to care for the salt clean-up []. A recent application is given in [] with the determination of the start-up liquid fuel composition required for criticality and long-life cycle for different fissile materials.
In this work, we now address these challenges through dynamic modelling of the molten salt reactor operation, which incorporates the release of gaseous and volatile fission products as well as the feeding of fertile material. The aim is to tackle the following questions as the basis for future optimisation of the salt clean-up system based on elementwise separation of fission products following the reverse reprocessing approach: Which elements should be removed first? How much separation is needed? When is the ideal time to start the salt clean-up? Is the effect of separating different elements cumulative? The study of these questions will give a robust starting point for the development and optimisation of the salt clean-up process as required to harvest the opportunities given by the iMAGINE approach. Each of the steps described will follow in the main part after the description of the modelling approach and the used code.
2. Codes, Models and Methods
For the simulations, the HELIOS code system version: HELIOS 2.03 with the internal 173 group library [] based on the ENDVB-VII.1 cross-section library. The code is a 2D spectral code with wide unstructured mesh capabilities and a transport solver based on the collision probability method [] and a newer extension based on the Method of Characteristics []. The general model is based on the EVOL benchmark configuration [], which is transferred to a volume-corrected 2D HELIOS model (see Figure 1). The model has been adopted for as close as possible reproduction of the 3D structure and the relations between the different materials. Furthermore, the benchmark model has been extended to represent the outer structures and the 16-heat exchanger pipe arrangement for a better representation of the real geometry. The leakage in the third dimension is introduced into the calculation through the insertion of a buckling correction available in HELIOS (BSQ: 0.00002). This value has been fixed by a comparison of 2D and 3D calculations within the EVOL benchmark exercises []. Using this setting, a k of ~1.005 is required for a pseudo-3D keff of 1.0. The leakage in radial direction is directly modelled through vacuum boundary conditions.

Figure 1.
Volume corrected 2D HELIOS model of the molten salt reactor.
The salt system chosen for iMAGINE is based on NaCl-UCl3-UCl4 with the eutectic composition 42.5%–17.0%–40.5%; more detailed discussion of the data of the salt system and the ratio behind the choice is given in [], the blanket area is filled with sodium, while the protector is based on B4C. The core size of model has been adopted to a radius of 287.5 cm and a U-235 enrichment of 11.06%, which is slightly different to POLARIS due to the consideration of the axial leakage, see discussion above. This is required to take the different salt compositions into account while keeping the system critical. The used data are based on the results of two earlier studies [,] based on SCALE/POLARIS [].
The HELIOS code is an industrial standard software which is designed to perform the neutron transport calculation, the burnup calculation, and, if requested, the cross-section preparation in the whole system or in defined calculation areas under the consideration of the boundary conditions set for the unit cell. Originally, the HELIOS code was written for the simulation of solid structured fuel assemblies; thus, the possibility of online refuelling and online reprocessing is not foreseen. To deal with these special features required for the simulation of molten salt reactors, a PYTHON script has been developed [], which is based on the special features of the HELIOS package. All input data, which does not change during the whole reactor operation, is stored in a so-called expert input. The changing material configuration is fed into the system through a user input which is re-written in every cycle using a PYTHON script. Within each of the cycles, 5 burnup steps are calculated through HELIOS. The expert input and the updated user input are merged in the pre-processor AURORA [], which creates the updated input for the HELIOS run used for the determination of the neutron flux distribution and the burnup of the materials. The results are finally evaluated at the end of each cycle in the post-processor ZENITH []. On the one hand, here, it is decided which elements are reduced or increased to which extent. On the other hand, isotopes will be fed back into the next new user input, which is created with the help of the PYTHON script (see Figure 2). Theoretically, it would be possible to simulate a molten salt reactor precisely by using small time steps in this calculation loop. In a real MSR, two different time scales for the salt clean-up can be observed based on two different processes, the helium bubbling for gaseous and volatile fission products with a comparably short acting time and the online salt clean-up for the dissolved fission products with a significantly longer-acting time. To improve the modelling of both procedures, a new strategy has been developed, based on the use of a reduced burnup per cycle (5 GWd/tHM and 10 GWd/tHM using five burnup steps in HELIOS), coinciding with full removal of gaseous and volatile fission products the elements 18, 35, 36, 53, 54, 85 are not carried forward through ZENITH), while the dissolved fission products can be removed, based on a cleaning efficiency providing the opportunity to set this efficiency elementwise for all considered elements.

Figure 2.
Description of the calculation cycle for the simulation of an MSR, based on the HELIOS package.
The use of the described process has already been validated and used in several peer-reviewed publications [,]. However, the modelling and simulation quality will be significantly improved due to the new code version and the increased computational power, which allow now the use of the 173 energy group cross-section set instead of the 47 group set in the earlier publications.
However, due to the characteristics of HELIOS, some approximations still have to be accepted. There is no fuel salt movement; thus, an undesired burnup distribution arises during each of the calculation cycles, while the materials are only redistributed when new user input is defined. HELIOS is an LWR code, and an LWR spectrum is used for the weighting of the master libraries inside each energy group. However, this error will be significantly reduced compared to earlier publications since the number of energy groups is tripled; thus, the width of each energy group has significantly reduced. Comparisons with other codes in the EVOL benchmark [], in a fast reactor isotope accumulation test for SFR against SERPENT [], as well as comparisons with SCALE/POLARIS [,], have shown good agreement. During the work on the transmutation studies under the boundary conditions of the nuclear phase-out in Germany, see, e.g., [,], the script has been extensively validated against analytic models for the operation of fertile free cores. This is what is currently available in terms of modelling techniques and solvers; therefore, to judge the reliability of the results, a real reactor physics experiment for molten salt reactors would be required, as discussed in [].
The approximations and the use of the HELIOS code package seem to be adequate for the approximation level required for this kind of long-term investigation of isotope accumulation to support the development of a clean-up system. The results of the influence of different elements on the system criticality have been evaluated against earlier publications [,].
The accumulation of isotopes is evaluated through a row of calculations of the system using the described dynamic calculation, which incorporates the effect of the removal of the gaseous and volatile fission products as given above. All other fission products are left in the system, and the accumulation is observed in 10 GWd/tHM steps.
This is followed by a more sophisticated evaluation of the effect of the partial removal of different fission product elements to observe the potential increase in criticality compared to the reference case, as well as the increase in the final burnup achievable through the removal of a specific element. The same approach is used to investigate the effect of the initiation of the fission product clean-up and the effect of different separation efficiencies, representing a different throughput of salt through the clean-up system. In the next step, this approach is used to investigate the effect of the separation of different fission product elements in parallel. In a final approach, the fission product removal is applied in a staggered way, where the clean-up of one additional fission product is initiated every time the criticality of the test system is approaching k = 1. For all cases, the fission product accumulation of specific elements will be analysed in addition to obtaining a deeper insight into the influence of the clean-up system on the fission product accumulation and a potential asymptotic limit of accumulation.
3. Results and Discussion
Criticality Effect of Fission Products
Generally, the criticality of a molten salt reactor is characterised by two different effects, the number of fissile materials, which can be changed through burning and breeding effects or feeding, and the number of neutron absorbers—fission products, which will accumulate due to burnup and can be reduced through salt clean-up. Figure 3 indicates the difference in the opportunities given through the use of a molten salt system. The red curve indicates the criticality behaviour, as would be the case in a classical, solid-fuelled reactor. In this calculation, all fission products are kept in the system; the calculation ran as one normal continuous calculation over the whole burnup period. In contrast, the blue curve is calculated using the above-described script with a cycle length of 10 GWd/tHM. After each cycle, the gaseous and volatile fission products, the elements 18, 35, 36, 53, 54, 85, are eliminated from the system, and the fuel is uniformly redistributed in the core. This first comparison already demonstrates the role of dynamic simulation in the investigation of long-term operations. While the continuous run, including all fission products produced and no redistribution of the materials, leads to improved breeding of materials at the beginning as well as a sharp drop in the criticality caused by the fission products (red curve), the dynamic simulation behaves much more stably. This difference is caused by the use of all fissile material in a comprehensive way (fuel does not stay in outer areas where it does not receive sufficient neutron flux) as well as due to the removal of the gaseous and volatile fission products through the script (blue curve). In the blue curve, each result of each HELIOS burnup step is shown, indicated by the increase in criticality through the five steps in one cycle and the followed drop in criticality caused through the redistribution of the material when the new input is generated through the PYTHON script.

Figure 3.
Direct calculation without Uranium refill and all fission products in (typical lattice calc) versus MSR with scripted restart and deletion of volatile fission products (18, 35, 36, 53, 54, 85).
As a starting point for the dynamic analysis, a continuous run to a burnup of 300 GWd/tHM has been performed to obtain an overview of the accumulation of fission products during burnup, which is used to rank the fission products based on their concentration in ppm. The results have been produced on the full isotope set available in HELIOS, leading to the ranking given below, given in Table 1 and Table 2.

Table 1.
Fission product elements followed through the HELIOS simulation with the concentrations appearing after different accumulated burnup states of the salt without clean-up and comparison of the results to POLARIS results published in [].

Table 2.
Criticality gain, target burnup, and burnup gain achieved through removal of 5% of the specific fission product in after every 10 GWd/tHM burnup step.
The results of this calculation coincide well with earlier simulations based on the use of SCALE/Polaris [], leading to the same ranking of the concentrations, even when considering that the initial enrichment is slightly different and the POLARIS model itself is much more limited than the HELIOS model. However, the evaluation of the differences is only for some elements in very good agreement, while some elements show reasonably large differences of up to almost 30% in the worst case. Anyway, we should keep in mind that the results are for 100 GWd/tHM. This level of burnup is already almost double the standard LWR burnup, which is the normal level for the validation of such codes. The deviations show the clear demand for experimental investigation, essential for the validation of the codes for molten salt reactor application in the future when higher precision M&S results are required for detailed design considerations. For the current level of the study to support the development of separation technologies with the required basic data, the quality of the results and the coincidence of the ranking of the elements with the highest concentrations are very meaningful, even if the absolute number may deviate.
The criticality effect of the accumulation of each of the followed-up fission product elements of Table 1 is analysed in Table 2. For this analysis, a direct calculation has been performed without any fission product removal as well as a reference calculation has been performed using the script and the removal of the gaseous and the volatile fission products. The reference calculation has then been re-run, including the removal of 5% of the selected fission product element at the end of each 10 GWd/tHM cycle. The detailed analysis of the criticality effect and the criticality gain at the end of life of the reference case has been evaluated; see the second column. In addition, the cycle simulation was continued until the stopping criterion k < 0.995 was approached. Through interpolation, the achievable burnup for the specific case has been determined, and the third column and the result are compared to the reference solution to determine the burnup gain, which can be achieved compared to the reference case, column 4. The five leading, most influential fission product elements have been identified and marked in bold for the graphical analysis following in Figure 4. For comparison of the gained results with the earlier published static POLARIS calculations, the ranking of the elements of the earlier calculations is given in the last column. As observed before, the main elements coincide very well between both simulation results, but the ranking is slightly different with the main difference in the ranking of Pd, which achieves in the HELIOS calculation a higher concentration resulting in this second analysis step in a stronger influence on criticality.

Figure 4.
Effect on criticality caused by cleaning 5% of different fission product elements with the strongest influence on criticality, based on a simulation using 10 GWd/tHM steps for the scripted calculation.
In general, these results indicate that the major influence on criticality up to a burnup of 200 GWd/tHM is concentrated on a comparably small number of nine elements. The influence of the remaining other elements seems to be limited but could increase with a longer operation and a higher amount of energy produced.
The more detailed graphical analysis of the influence of the fission products on the long-term operation is given in Figure 4 with the analysis of the criticality curve and the potential criticality gain achievable through the cleaning out of 5% of specific fission products at the end of each of the 10 GWd/tHM cycle through the script. In contrast to Figure 3, in Figure 4, only the weighted average criticality of each burnup cycle is evaluated and shown as a dot to improve the readability. This approach leads to a much smoother curve compared to the presentation of all intermediate results within the cycles. The graphical analysis indicates that the influence of the fission product clean-up is very low at the beginning, which can be explained by the limited content of each of the fission product elements; thus, the reduction by 5% does not have a strong influence until a significant amount of fission product is produced. This observation leads to the next steps of the investigation; (a) what influence can we expect when the fission product clean-up is initiated at a point where a considerable amount of the specific element is allowed to accumulate? (b) will the effect of starting later maybe reduce to a kind of asymptotic limit, which would mean there will be no major penalty for starting the clean-up later in the operation of the reactor.
The investigation of the effect of initiation of the clean-up system at different stages of operation is given in Figure 5 with the comparison of a set of calculations with the clean-up system initiated from the beginning, as well as at a burnup of 50 GWd/tHM and at 100 GWd/tHM, while all calculation are compared to the reference case (blue curve). The observation of the very low influence of the clean-up in the early stage of the operation taken above is confirmed in Figure 5. There is a slight advantage in the maximum achieved criticality for the case of the initiation of the clean-up at the start of the system (red curve), but the difference in the final burnup and the criticality at the end of the observation period is very limited compared to the case with the initiation of the clean-up at 50 GWd/tHM (grey curve). The later imitation at 100 GWd/tHM yields a slightly smaller final burnup (yellow curve), but the gaps seem to close rapidly, which leads to the expectation that in the longer-term operation, the influence of the initiation of the clean-up has a limited influence and we will observe an asymptotical behaviour.

Figure 5.
Effect on criticality caused by different initiation of the clean-up system on the example of Ruthenium separation, based on a simulation using 10 GWd/tHM steps and a 5% reduction of the Ruthenium content at each step.
This observation is supported by the analysis of fission product concentration in the system, as analysed in Figure 6 for Ruthenium. The general Ruthenium concentration in the system increases in a slightly exponential manner in the reference case without any clean-up (blue curve). The reduction of the Ru content is very limited in the beginning, up to 50 GWd/tHM, since the overall amount of Ru is still very limited, even if clean-up is already initiated (red curve). The initiation of the clean-up in the step after 50 GWd/tHM (grey curve) leads to a stronger reduction in the first steps since the concentration has already grown to a certain level. At the end of the observation period, the results of the initiation at 0 and at 50 GWd/tHM have almost converged, with a red and grey curve. The later initiation (yellow curve) leads to a higher final concentration, but the difference between the other results reduces over time. This supports the conclusion that with a longer operation, the effect of the initiation of the clean-up system will anneal. Based on this observation, we can get to the conclusion that there should be an ideal time point to start the clean-up. This time point will be a result of the accumulation of the fission product, the criticality effect, the efficiency of the chemical process, dependent on the concentration, and maybe the design volume for the clean-up stream. The cleaning of 5% of the volume after each calculation cycle, here 10 GWd/tHM, is just to be seen as a model for a future continuous clean-up system. However, in the current case, the Ru concentration is still growing, even if the clean-up is initiated. It will possibly achieve some asymptotic value, but obviously after a much longer time than the observed one. Based on this observation, it seems logical to investigate the influence of the cleaning stream amount in the next step.

Figure 6.
Development of the Ruthenium concentration as produced in HELIOS during the reactor operation investigating the effect of the time of the start of salt clean-up withdrawing each time 5% of the elementary concentration.
The analysis of different clean-up volumes is given in Figure 7 (influence on criticality) and Figure 8 (influence on element concentration). Obviously, the clean-up volume has a clear influence on the criticality curve and as expected, increasing the clean-up volume leads to a higher criticality peak, but the effect seems to be far from linear. The gain from no clean-up to 5% volume being cleaned is ~40 GWd/tHM, and the gain between 5% and 10 % volume is ~25 GWd/tHM. Another doubling of the clean-up stream gives about 25 GWd/tHM; the step from 20% to 50% gives only ~20 GWd/tHM. Thus, we face another optimisation problem, again, especially in this case, where the gain is absolutely not linear with the salt clean-up stream. The detailed look into the development of the elementary concentrations of Ru resulting from the different clean-up streams (Figure 8) helps to obtain a deeper understanding of the criticality and burnup effect when correlating them with the development of the Ru concentrations. It seems the greatest reduction/change in the Ru content in one step is achieved through the step from no clean-up to the 5% volume case, which correlates to the achieved burnup increase compared to the last scheme. The reduction in the other cases seems to be slightly lower, e.g., for the step from 5 to 10% and from 10 to 20%, which deliver about the same reduction and the same burnup increase, while the last step, 20 to 50%, leads to the lowest absolute reduction and the lowest burnup increase. In general, all cases seem to tend to an asymptotic value for the Ru content with a lower amount for the higher volumes in the clean-up system, which seems to be logical. However, the asymptotic value could be correlated to the ideal point to start the clean-up process, with the view that a clean-up system with a lower volumetric capacity should be started later. This could maybe lead to another optimisation approach, using a slightly larger system with stronger breeding while accepting a higher fission product content in the core versus a smaller core with less breeding and a stronger clean-up system—this will be a question of balancing the economics of the process, the cost of the reactor and the source term in the core versus the cost of the clean-up system and the source term in the clean-up system.

Figure 7.
Effect on criticality caused by different reduction efficiencies of the clean-up on the example of Ruthenium separation, based on a simulation using 10 GWd/tHM steps and an initiation of the clean-up system after 50 GWd/tHM.

Figure 8.
Development of the Ruthenium concentration as produced in HELIOS during the reactor operation investigating the effect of different percentage of the concentration at each step of the calculation.
Following the optimisation of the separation on the hand of a single fission product element, the next is now to look into the effect of the separation of different elements as analysed in Table 2. The most interesting and important point here will be to investigate the additivity of the effect of the separation of different elements. For this, the reference case will be calculated several times, each time separating one element more, first Ru, then Ru and Mo, followed by Ru, Mo, and Pd, and finally, Ru, Mo, Pd, and Cs, see Figure 9. The results show not only that the effect is additive, and it seems even that the effect of cleaning out additional elements seems to be slightly self-amplifying since the burnup gain of the last steps is clearly larger than in one of the earlier steps, which is surprising since the elements which are separated first have the strongest criticality effect following Table 2. This effect should be investigated in more detail as soon as a clean-up strategy is developed in collaboration with specialists in nuclear chemistry. Currently, the case is still a bit artificial due to the comparably high keff which is achieved and would not be useful in a molten salt reactor which ideally should not rely on an active control system, e.g., by relying on control rods, since the system can be controlled through temperature feedbacks [] and through the feeding/clean-up stream. If this operational regime is achieved, there is another problem to be thought about using the current calculation approach; in the current mode of calculation relying on criticality normalisation, the breeding will be underestimated since the normalisation artificially reduces the neutron source. However, to be able to deal with all these inter-connected effects, a much more comprehensive neutronic/thermal-hydraulic coupled modelling and simulation approach will have to be developed for the operational simulation of a molten salt reactor which allows controlling the feeding streams, the consideration of the clean-up stream composition and the potential criticality control due the thermal feedback effects in a dynamic way.

Figure 9.
Development of the system criticality over burnup, considering the stepwise separation of different elements at 50 GWd/tHM with a 20% rate of salt being cleaned every step, based on a simulation using 10 GWd/tHM steps.
The consequences of the clean-up on the elementary concentrations of the observed fission products are given in Figure 10. A more detailed analysis shows that there is definitively still some optimisation potential which should be leveraged in collaboration with the nuclear chemists, e.g., when observing the concentrations which are built up due to burnup. Maybe it would be the easiest and the most efficient approach to work on the elements with the highest concentration first. Thus, in this case, Mo could be cleaned first instead of tackling Ru; thus, it is maybe too straightforward to think that only the criticality effect of an element should be used to make the decision on the sequence for the clean-up and the decision for the time to initiate the cleaning of a specific element. A deeper look into Figure 10 indicates that the separation of Pd should be started later due to the much lower concentration; otherwise, the chemical processes may be less efficient. There should some other variables be considered in the optimisation, e.g., which element can easiest be separated with the least technical effort or cost, which concentration should be accumulated before it is efficient to start the chemical processing to assure substantial separation rates. Thus, it becomes clear at this point again that there is extensive optimisation potential which has to be leveraged in close collaboration between reactor physics modelling and simulation and the nuclear chemists who develop the clean-up processes.

Figure 10.
Development of the fission product elementary content over burnup as produced in HELIOS, considering the stepwise separation of different elements at 50 GWd/tHM with a 20% rate of salt being cleaned every step, based on a simulation using 10 GWd/tHM steps.
One of the core challenges of the current calculation scheme is shown in Figure 11; it is with this scheme based on the script that it is almost impossible to keep the fissile and fertile material content constant in the core without applying an integration scheme which would slow down the whole process substantially. When operating the reactor core, which is initially based on pure Uranium fuel, the fissile component (U-235) will burn out after some time and will be replaced by Plutonium. This process will consume a part of the fertile U-238, which has to be replaced after each step. However, since the Uranium consumption is not constant, the refill can only be approximated as long as it is not iterated. The use of a constant amount of depleted Uranium makeup leads to a slight variation in the overall heavy metal content, see Figure 11, which seems to be acceptable for the current status of the work but still has to be seen as scoping the opportunities. To obtain a better representation would require the coupled reactor physics and chemical engineering modelling tool, which has already been mentioned above. In addition, it has to be kept in mind that all performed calculations are lattice calculations, which means the results will have to be normalised using a real reactor power which is not yet determined. Thus, there is no way to determine at this point the real physical volume which will be demanded for the salt clean-up.

Figure 11.
Change in the elementary content of heavy metals over burnup for the simulation based on using 10 GWd/tHM steps and an initiation of the clean-up system after 50 GWd/tHM as shown above.
Concluding from the too high rise of the criticality in the approach shown in Figure 9, a more reasonable and maybe promising approach for the development is given in Figure 12 and Figure 13, a stepwise start-up of the cleaning system for different elements. The idea of this approach is to operate the reactor until the criticality falls below unity; every time this happens, an additional element will be added to the list of elements to be cleaned out of the fuel by 20% at the end of each cycle. Thus, the calculation now operates on the reference case without clean-up as a start. After 180 GWd/tHM, the Ru clean-up is initiated, at 240 GWd/tHM, the Mo clean-up is initiated, at 350 GWd/tHM, the Pd clean-up is initiated, at 540 GWd/tHM, the Cs clean-up is imitated, and at 700 GWd/tHM the Tc clean-up is initiated, leading to the final burnup of ~890 GWd/tHM. This staggered approach helps to limit the excess reactivity, which has to be compensated through material exchange through the feeding system otherwise.

Figure 12.
Development of the system criticality over burnup, considering the staggered separation of elements every time the system falls below criticality, based on a simulation using 10 GWd/tHM steps and a clean-up of 20% of the salt after each cycle.

Figure 13.
Development of the fission product elementary content over burnup, considering the stepwise separation of different elements, based on a simulation using 10 GWd/tHM steps and an initiation of the clean-up system after 50 GWd/tHM.
Analysing the elementary contents in Figure 13 indicates the stepwise initiation of the different element clean-up approaches. The concentration of the specific elements grows almost linearly until the initiation of the clean-up and falls then rapidly following the initiation of the clean-up system. The final asymptotic value achieved using this approximation model will finally only depend on the production rate. A more realistic, sophisticated simulation, including a chemical process model, would maybe allow producing a closer-to-reality result, where the chemical separation rate and maybe different flow rates through the clean-up system will be possible and allow a different level of optimisation. One of the optimisation parameters which comes to mind first would be to have in all cases a reasonably high content of the element to be separated, but the amount which would be ideal will depend on the chemical process and the efficiency of the separation; thus, even this amount could be element specific and should thus be subject of a discussion and optimisation between reactor physics, nuclear chemistry, and process engineering.
The most important outcome of this simulation is it will be possible to start the reactor without having the salt clean-up operating from the first criticality since the elements have first to accumulate to a reasonably high concentration before a real chemistry-based clean-up should be initiated. Finally, there will be a strong demand for close interaction between the specialists to leverage the optimisation potential, which will be essential to obtaining a cost-optimised solution for this challenging problem.
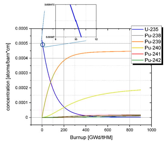
Closing the study with a final reactor physical view into the problem is given by the analysis of the evolution of the fissile material content of the reactor system, Figure 14, the figure clearly demonstrates the change of the leading fissile material from U-235 to Pu. The very tiny feed of U-235 through the depleted Uranium in the U-235 curve is only visible in the inserted detail. However, this tiny feed is responsible such that the U-235 content will never achieve an asymptotic level of 0. In contrast, the Pu curves are completely smooth, which reflects that there is no change in the Pu production and consumption inserted via the script, only through the internal breeding processes. The Pu production is, in the beginning, almost completely dominated by Pu-239; with an increasing operational time, the production of the higher Pu isotopes becomes significant, leading to a Pu vector with 2% Pu-238, 66% Pu-239, 27% Pu-240, 3% Pu-241, 2% Pu-242 at the end of the observation period. However, only Pu-239 has achieved the asymptotic value at the end of the period, which means with longer operational time, the Pu-239 share will be reduced.

Figure 14.
Isotopic inventories over burnup, considering the staggered separation of elements every time the system falls below criticality, based on a simulation using 10 GWd/tHM steps and a clean-up of 20% of the salt after each cycle.
4. Conclusions
Nuclear energy has a very unique role in a sustainable energy future since it is the only currently available net-zero technology which can assure 24/7 availability and controllability while delivering massive amounts of low carbon energy on demand to support a net zero society. However, to deliver on a large-scale demand, substantial innovation would be required, not only in the reactor development but also in the handling of the fuel within the fuel cycle. The iMAGINE concept delivers on these challenges. Apart from the use of a molten salt fast reactor operating in self-sustained breeding, the other key challenge is the development of a strictly demand-driven salt clean-up process based on reverse reprocessing. To develop this process, a substantial input from reactor physics is required, which has been delivered in this work through the dynamic simulation of the molten salt fast reactor operation with a consideration of the salt clean-up process.
The major poisoning elements have been identified as Ru, Mo, Pd, Cs, Nd, and Tc, which almost coincide with the concentrations of fission product element, apart from Zr, which appears in large concentrations without having a strong influence on criticality. The concentrations and criticality effects calculated in a dynamic manner using HELIOS coincide to a large extent with earlier results gained with POLARIS, which gives some confidence in the results, especially when considering the slightly different models. The evaluation of different starting times for the clean-up system has shown that the final result is only marginally dependent on the initiation time, which leads to the conclusion that it will be worth waiting until a sufficient concentration of the specific element has been accumulated to allow a more efficient separation process. The investigation of different clean-up amounts has shown that there will finally be an asymptotic amount achieved, which is dependent on the amount of salt which is cleaned at a specific time and that thus the clean-up stream and the initiation of the clean-up could be optimised to work always on a comparable concentration for the clean-up. In the next step, it has been shown that the effect of cleaning out different elements is cumulative and can achieve a significant effect on criticality, even more than the criticality that can easily be compensated through the feedback effect due to temperature changes. This led to the final investigation, which demonstrated that a staggering initiation of the separation of different elements could be a promising approach which could even be very helpful when designing a first small-scale demonstrator since it would allow extending the chemical processes required for the salt clean-up step by step while still holding the reactor critical. In addition, the analysis of the fission product content has shown that it is maybe promising to optimise the sequence of the separation of different materials on the concentrations and not only on the criticality effect—this could support the efficiency of the chemical separation processes.
In general, the work has shown the requirement for the dynamic simulation of the interaction between the clean-up system and the reactor operation. Only in this interconnected modelling and simulation approach is it possible to investigate the detailed effects of the clean-up on the reactor operation to get to an optimal solution. A follow-up study should evaluate the start-up of the reactor using Pu as fissile material, as it is available in the UK [], to allow a deeper insight into potential differences and the effects on the demand for the clean-up. For the longer term, it would be essential to develop a toolset for the coupled operational analysis, which would allow investigating the role of the feedback effect on the operation of a molten salt reactor with integrated salt clean-up, ideally with an automatic determination of the feeding streams.
Author Contributions
Conceptualisation, B.M.; methodology, B.M.; software, A.D. and D.L.; validation, A.D., D.L. and G.C.-G.; investigation, B.M. and G.C.-G.; data curation, A.D.; writing—original draft preparation, B.M.; writing—review and editing, O.N.-K. and G.C.-G.; visualisation, O.N.-K.; supervision, B.M. All authors have read and agreed to the published version of the manuscript.
Funding
This research was funded by The Royal Academy of Engineering through their Chair in Emerging Technology scheme, grant number CiET2021\161.
Institutional Review Board Statement
Not applicable.
Informed Consent Statement
Not applicable.
Acknowledgments
We thank the Royal Academy of Engineering for providing funding through their Chair in Emerging Technology scheme which gives the main author the freedom to think about new solutions to long term challenges.
Conflicts of Interest
The authors declare no conflict of interest.
References and Notes
- Profiling the Top Nuclear Power Pros and Cons, NS-Energy Business. Available online: https://www.nsenergybusiness.com/features/newstop-nuclear-power-pros-and-cons-5760814/ (accessed on 6 July 2022).
- Merk, B.; Stanculescu, A.; Chellapandi, P.; Hill, R. Progress in reliability of fast reactor operation and new trends to increased inherent safety. Appl. Energy 2015, 147, 104–106. [Google Scholar]
- Merk, B.; Litskevich, D.; Bankhead, M.; Taylor, R.J. An innovative way of thinking nuclear waste management—Neutron physics of a reactor directly operating on SNF. PLoS ONE 2017, 12, e0180703. [Google Scholar] [CrossRef]
- Merk, B.; Litskevich, D.; Whittle, K.R.; Bankhead, M.; Taylor, R.J.; Mathers, D. On a Long Term Strategy for the Success of Nuclear Power. Energies 2017, 8, 12557–12572. [Google Scholar] [CrossRef]
- Merk, B.; Litskevich, D.; Peakman, A.; Bankhead, M. The Current Status of Partitioning & Transmutation and How to Develop an Innovative Approach to Nuclear Waste Management. ATW-Int. J. Nucl. Power 2019, 64, 261–266. [Google Scholar]
- Merk, B.; Litskevich, D.; Peakman, A.; Bankhead, M. iMAGINE—A disruptive change to nuclear or how can we make more out of the existing spent nuclear fuel and what has to be done to make it possible in the UK? ATW-Int. J. Nucl. Power 2019, 64, 353–359. [Google Scholar]
- Salvatores, M. Advanced Options for Transmutation Strategies. Available online: https://core.ac.uk/reader/21748160 (accessed on 6 July 2022).
- Haubenreich, P.N.; Engel, J.R. Experience with the Molten-Salt Reactor Experiment. Nucl. Appl. Technol. 1970, 8, 118–136. Available online: http://www.thmfgrcs.com/NAT_MSREexperience.pdf (accessed on 23 May 2017). [CrossRef]
- Taube, M. Fast Reactors Using Molten Chloride Salts as Fuel Final Report (1972–1977). Available online: https://inis.iaea.org/collection/NCLCollectionStore/_Public/13/648/13648304.pdf (accessed on 8 March 2022).
- Uhlíř, J. Chemistry and technology of Molten Salt Reactors—History and perspectives. J. Nucl. Mater. 2007, 360, 6–11. [Google Scholar] [CrossRef]
- Rodrigues, D.; Durán-Klie, G.; Delpech, S. Pyrochemical reprocessing of molten salt fast reactor fuel: Focus on the reductive extraction step. Nukleonika 2015, 60, 907–914. [Google Scholar] [CrossRef]
- Evol (Project n. 249696) Final Report. Available online: https://cordis.europa.eu/docs/results/249/249696/final1-final-report-f.pdf (accessed on 8 March 2022).
- Mcfarlane, J.; Ezell, N.D.B.; Del Cul, G.; Holcomb, D.; Myhre, K.; Lines, A.; Bryan, S.; Felmy, H.M.; Riley, B.; Chapel, A. Fission Product Volatility and Off-Gas Systems for Molten Salt Reactors, ORNL/TM-2019/1266. Available online: https://info.ornl.gov/sites/publications/Files/Pub129748.pdf (accessed on 8 March 2022).
- Andrews, H.B.; McFarlane, J.; Chapel, A.S.; Ezell, N.D.B.; Holcomb, D.E.; de Wet, D.; Greenwood, M.S.; Myhre, K.G.; Bryan, S.A.; Lines, A.; et al. Review of molten salt reactor off-gas management considerations. Nucl. Eng. Des. 2021, 385, 111529. [Google Scholar] [CrossRef]
- Merk, B.; Litskevich, D.; Gregg, R.; Mount, A.R. Demand driven salt clean-up in a molten salt fast reactor–Defining a priority list. PLoS ONE 2018, 13, e0192020. [Google Scholar] [CrossRef]
- Merk, B.; Detkina, A.; Litskevich, D.; Drury, M.; Noori-kalkhoran, O.; Cartland-Glover, G.; Petit, L.; Rolfo, S.; Elliott, J.P.; Mount, A.R. Defining the Challenges—Identifying the Key Poisoning Elements to Be Separated in a Future Integrated Molten Salt Fast Reactor Clean-Up System for iMAGINE. Appl. Sci. 2022, 12, 4124. [Google Scholar] [CrossRef]
- Merk, B.; Litskevich, D. Transmutation of All German Transuranium under Nuclear Phase out Conditions-Is This Feasible from Neutronic Point of View? PLoS ONE 2015, 10, e0145652. [Google Scholar] [CrossRef] [PubMed]
- Merk, B.; Rohde, U.; Glivici-Cotruta, V.; Litskevich, D.; Scholl, S. On the Use of a Molten Salt Fast Reactor to Apply an Idealized Transmutation Scenario for the Nuclear Phase Out. PLoS ONE 2014, 9, e92776. [Google Scholar] [CrossRef] [PubMed] [Green Version]
- Aufiero, M.; Cammi, A.; Fiorina, C.; Leppänen, J.; Luzzi, L.; Ricotti, M.E. An extended version of the SERPENT-2 code to investigate fuel burn-up and core material evolution of the Molten Salt Fast Reactor. J. Nucl. Mater. 2013, 441, 473–486. [Google Scholar] [CrossRef]
- Ashraf, O.; Smirnov, A.D.; Tikhomirov, G.V. Modeling and criticality calculation of the Molten Salt Fast Reactor using Serpent code. J. Phys. Conf. Ser. 2019, 1189, 012007. [Google Scholar] [CrossRef]
- HELIOS2 Methods Manual (version 2.03.01), Studsvik, SSP-11/452 revised 6, 12 January 2021.
- Villarino, E.A.; Stammler, R.J.J.; Ferri, A.; Casal, J.J. HELIOS: Angularly dependent collision probabilities. Nuclear Sci. Eng. 1992, 112, 16–31. [Google Scholar] [CrossRef]
- Wemple, C.A.; Gheorghiu, H.-N.M.; Stamm’ler, R.J.J.; Villarino, E.A. Recent Advances in the HELIOS-2 Lattice Physics Code. In Proceedings of the International Conference on the Physics of Reactors “Nuclear Power: A Sustainable Resource”, Interlaken, Switzerland, 14–19 September 2008. [Google Scholar]
- Evaluation and Viability of Liquid Fuel Fast Reactor System EVOL, DELIVERABLE D2.1, Design parameters definition for most stable salt flux, rev 3 30/04/2012. Available online: https://cordis.europa.eu/project/id/249696/results (accessed on 30 July 2022).
- Brovchenko, M.; Kloosterman, J.-K.; Luzzi, L.; Merle, E.; Heuer, D.; Laureau, A.; Feynberg, O.; Ignatiev, V.; Aufiero, M.; Cammi, A.; et al. Neutronic benchmark of the molten salt fast reactor in the frame of the EVOL and MARS collaborative projects. EPJ Nuclear Sci. Technol. 2019, 5, 2. [Google Scholar] [CrossRef]
- Merk, B.; Detkina, A.; Atkinson, S.; Litskevich, D.; Catland-Glover, G. Evaluation of the Breeding Performance of a NaCl-UCl-Based Reactor System. Energies 2019, 12, 3853. [Google Scholar] [CrossRef]
- Merk, B.; Detkina, A.; Litskevich, D.; Atkinson, S.; Cartland-Glover, G. The Interplay between Breeding and Thermal Feedback in a Molten Chlorine Fast Reactor. Energies 2020, 13, 1609. [Google Scholar] [CrossRef]
- Jessee, M.A.; Jarrell, J.J.; Wieselquist, W.A.; Williams, M.L.; Kim, K.S.; Evans, T.M.; Hamilton, S.P.; Gentry, C.A. POLARIS-2D light water reactor lattice physics module. In SCALE Code System; Rearden, B.T., Jessee, M.A., Eds.; National Laboratory: Oak Ridge, TN, USA, 2017. [Google Scholar]
- AURORA USER MANUAL, Studsvik, SSP-11/451 Rev 8, 12 January 2021.
- ZENITH USER MANUAL, Studsvik, SSP-11/460 Rev. 5, 8 December 2020.
- Rachamin, R.; Wemple, C.; Fridman, E. Neutronic analysis of SFR core with HELIOS-2, Serpent, and DYN3D codes. Ann. Nucl. Energy 2013, 55, 194–204. [Google Scholar] [CrossRef]
- Detkina, A.; Litskevich, D.; Drury, M.; Merk, B. Zero Power Experiment for Molten Salt Reactor—Code Verification and Validation Request. In Proceedings of the International Conference on Physics of Reactors, Pittsburgh, PA, USA, 15–20 May 2022. [Google Scholar]
- A Decision on the Fate of UK’s Plutonium Stockpile Remains Years Away. Available online: http://corecumbria.co.uk/briefings/a-decision-on-the-fate-of-uks-plutonium-stockpile-remains-years-away/ (accessed on 26 July 2022).
Publisher’s Note: MDPI stays neutral with regard to jurisdictional claims in published maps and institutional affiliations. |
© 2022 by the authors. Licensee MDPI, Basel, Switzerland. This article is an open access article distributed under the terms and conditions of the Creative Commons Attribution (CC BY) license (https://creativecommons.org/licenses/by/4.0/).