Next Article in Journal
Ecofriendly, Simple, Fast and Sensitive UPLC-MS/MS Method for Determination of Erdafitinib, a Novel Tyrosine Kinase Inhibitor, in Plasma and Its Application to Metabolic Stability
Next Article in Special Issue
Task Offloading Strategy of Vehicular Networks Based on Improved Bald Eagle Search Optimization Algorithm
Previous Article in Journal
Analysis of Acoustic Emission Energy from Reinforced Concrete Sewage Pipeline under Full-Scale Loading Test
Previous Article in Special Issue
Intelligent Task Offloading in Fog Computing Based Vehicular Networks
 
 
Font Type:
Arial Georgia Verdana
Font Size:
Aa Aa Aa
Line Spacing:
Column Width:
Background:
Article

Coordinated Multi-Platooning Planning for Resolving Sudden Congestion on Multi-Lane Freeways

1
Computer Science and Information Engineering Department, National Chung Cheng University, Chiayi 621301, Taiwan
2
College of Artificial Intelligence, National Yang Ming Chiao Tung University, Tainan 71150, Taiwan
*
Author to whom correspondence should be addressed.
Appl. Sci. 2022, 12(17), 8622; https://doi.org/10.3390/app12178622
Submission received: 19 July 2022 / Revised: 22 August 2022 / Accepted: 25 August 2022 / Published: 28 August 2022
(This article belongs to the Special Issue Vehicular Edge Computing and Networking)

Abstract

:
Resolving traffic congestion caused by sudden events (e.g., an accident, lane closed due to construction) on the freeway has always been a problem that is challenging to address perfectly. The congestion resolution can take hours if the congestion is severe, and the vehicles must voluntarily line up to exit the congestion spots. Most state-of-the-art traffic scheduling schemes often rely on traffic signal controllers to mitigate traffic congestion in fixed areas (e.g., intersection, blocked areas). Unlike the existing studies, in this work, we introduce a novel decentralized coordinated platooning planning method, namely Coordinated Platooning Planning (CPP), for quickly resolving temporary traffic congestion in any place on multi-lane freeways heuristically. First, based on warning notifications about traffic congestion, we propose a maneuver control protocol that enables the vehicles to negotiate with surrounding vehicles to determine a consensus plan for forming platoons (who is platoon leader, the value of the distance gap, vehicle velocity, platoon size) in sequential areas. After creating the platoons, each platoon leader commands their platoon members through the maneuver protocol to urge the vehicles to move close to or merge into the same lane. Finally, the chains of platooning vehicles can safely exit the congestion using scheduled orders. The simulation results demonstrate that the proposed heuristic approach can reduce up to 22% of the delay for the last few vehicles driving through the congestion area in typical traffic density cases with the best platoon size configuration, which is a significant enhancement compared to the existing schemes.

1. Introduction

Resolving bottlenecks on the freeways has been a challenge in modern society [1]. The goal is to quickly release the vehicles stuck in a congested area, maintain the safety for the approaching vehicles to pass through, and further improve the road usage efficiency. There are two approaches used to solve this congestion problem. The first one is to let vehicles voluntarily line up to drive through the congestion area. However, when many vehicles are stuck in chaos in the congestion area, drivers tend to adopt the “me-first” exit strategy, which often leads to the further deterioration of traffic. For example, the unpredictable behavior of an aggressive driver, who attempts to exit the blockage point arbitrarily, can worsen the congestion. Consequently, the vehicles may have a long wait before being able to leave the congestion area. In the second approach, the vehicles on the freeways must communicate with each other, e.g., through Dedicated Short-Range Communication (DSRC), to build a consensus movement plan. In the literature, there are several existing studies that adopt this approach [2,3,4,5]. For example, Rios-Torres et al. [2] summarized the methods for the coordination of connected and automated vehicles at the intersections and merging at highway on-ramps. The idea of forming platoons to improve traffic flow was first introduced in this study. The authors in [6] presented a method to reserve virtual slots, and the drivers pay the fee depending on their traveling needs. Generally, these models aim to coordinate traffic in intersections or known crowded areas. Cooperative Adaptive Cruise Control (CACC) is one of the promising protocols used to resolve potential conflicts [3,4]. However, the configuration for the protocol must be pre-defined. In the temporary traffic bottleneck cases, the vehicles must be grouped first before the control can be activated. This is because the vehicles are already in chaotic order and should be sorted before CACC can run smoothly. In addition, releasing congested traffic and handling approaching vehicles must be controlled simultaneously to avoid a worse situation, such as tailgating. The congestion resolution’s key point is finding an optimal plan for individual vehicles to exit the accident spot reasonably. In this case, maintaining two goals (traffic congestion resolution and vehicle safety movement) for reducing localized traffic disruptions is a critical issue but is yet to be well-explored. Recently, the 3rd Generation Partnership Project (3GPP) has proposed technical specifications for Vehicle-to-Everything (V2X) [7], particularly in the Fifth Generation (5G) networks [8], to enhance communications for connected vehicles. However, vehicle merging and lane-changing are among the dangerous maneuvers which are often complicated to control without proper coordination [9].
To address the challenge, we further explored previously published literature [10] to build a novel decentralized Coordinated Platooning Planning (CPP) method. In this model, the vehicles automatically exchange messages (via vehicle-to-vehicle communications) to form platoons and cooperate to move in order without communicating with core network infrastructure (e.g., a centralized server). In contrast to the decentralized model, the centralized model usually requires a central system to collect a large amount of information and high-performance hardware to assist platoon forming and vehicle control. Our decentralized approach is highly suitable for traffic coordination on highways in which cellular networks are not always reachable. In particular, inspired by the recent development of 5G Vehicle-to-Vehicle (V2V) communications [11], our method aims to maintain multiple goals (e.g., road capacity improvements, collision prevention, lane-changing coordination, and waiting for time reduction for the vehicles to exit the bottleneck spot) for alleviating traffic jams caused by lane closure or accident events on the freeways. Note that, in the literature, the ideas of forming vehicle platoons for traffic coordination are not new [12,13,14,15,16]. These techniques are useful for increasing the capacity of roads and reducing fuel consumption for long-distance transportation companies. However, maintaining multiple cooperative platoons effectively through a 5G V2V sidelink for resolving temporary bottlenecks of vehicles in emergency situations has not been well explored yet. Unlike the work in [5,10], this work aims to seek a decentralized coordinated planning solution for multiple platoons under high congested traffic contexts where vehicles automatically build a consensus plan for movement and collision avoidance to pass through the bottleneck areas safely. All of the negotiation procedures for the consensus plan are carried out through 5G V2V communications.
Specifically, in order to avoid hitting a roadblock created by accidents, lane-changing activities are inevitable. Nevertheless, inappropriate lane changes can threaten instability and cause a collision chain. Hence, controlling incoming traffic and maintaining smooth movements of multiple platoons simultaneously to resolve both traffic congestion and the fairness of exiting is critical. To deal with these challenges, we propose an aggressive platoon management scheme where platoons of vehicles are built based on the vehicle location, velocity, and distance to the accident spot to ensure that vehicles can safely pass through the bottleneck. For example, as illustrated in Figure 1, an accident spot in Lane 0 blocked all approaching vehicles in the same lane. If these vehicles are moving at a high velocity, without good coordination, the vehicles can get stuck in the congestion area or even drift and cause accidents (the shockwave area). As discussed above, we developed a traffic coordination model to build platoons of vehicles to pass the accident spot quickly and avoid potential collision. Generally, as shown in Figure 1, approaching vehicles in Lane 0, Lane 1, Lane 2, and Lane 3 are grouped into platoons in the order of their arrivals and have the same lane priority when passing the accident spot. The vehicles in different lanes (e.g., Lane 0, Lane 1) can be formed into a platoon and then ordered to change lanes (to Lane 1) and exit the blocked spot. Finally, in the last section, the vehicles of a platoon can go at the maximum velocity to pass the accident spot. To perform the maneuvers mentioned above, in this work, we assumed that every vehicle is equipped with an Advanced Driver Assistance System (ADAS) and V2X onboard units. In short, our contributions are summarized as follows.
  • We propose an efficient Coordinated Multi-platooning Planning (CPP) scheme where vehicles are grouped into the chain of platoons to pass through temporary bottlenecks safely.
  • We used CACC/ACC models to support joining platoon and lane-changing procedures and optimized the platoon-forming process in various traffic contexts.
  • The proposed model can support a macro-coordination scheme in small areas (in V2V communication range) or cooperation in handling the traffic control in large areas (via multi-hop communications). Our source code is available at https://tinyurl.com/etraco accessed on 24 August 2022 for further research.
The remainder of this paper is organized as follows. Section 2 describes the related work. Section 3 describes the system model and problem description. Section 4 describes the platoon-based coordination scheme of the dynamic vehicle model. Section 5 describes our implementation and experimental results. Finally, the conclusions and future works are summarized in Section 6. Table 1 summarizes the notations used in this article.

2. Background and Related Work

Vehicle platooning refers to a platoon formed by vehicles at close distance and the same velocity on specific road segments. Several models have been proposed for platoon members to perform the car-following maneuver. For example, Zong et al. [17] proposed an extended Intelligent Driver Model (IDM) to describe the car-following behavior. Instead of only considering the front vehicles’ position, relative velocity, and delay time, IDM receives the information from both front and rear vehicles to improve the operating efficiency. On the other hand, Wang et al. [18] proposed a Distributed Model Predictive Control (DMPC) method that considers the trajectory of the preceding vehicle to predict parameters such as vehicle velocity, acceleration, and distance for a limited future time to prevent collisions. Liu et al. [19] extended the Cooperative Adaptive Cruise Control (CACC) modeling framework for vehicle following, which prevents vehicles from making unrealistic lane changes. Furthermore, the authors simulated vehicles with CACC under different traffic penetrations scenarios and found that the throughput increases significantly when the CACC-enabled vehicles are above a certain level.
To support smooth control, V2X communication technology plays a vital role in vehicle platooning. The communication distance of V2X needs to be long enough to ensure traffic stability and flexibility, as specified in [20,21]. Secondly, vehicle status messages need to be exchanged efficiently and reliably. For example, Romeo et al. [22] proposed the Decentralized Environmental Notification Message (DENM) for delivering the sudden event information to the rear vehicle, which requires a highly reliable transmission. Thirdly, V2X needs to support groupcast, which is highly utilized in platoon communication. Safety messages such as DENM are typically delivered to nearby vehicles repeatedly via broadcast or groupcast. In particular, information of dangerous road conditions (e.g., lane blockage, vehicle collision) is prioritized in order to be exchanged among members in time. Table 2 summarizes related works on effective platoon management, maneuver protocol, and trajectory simulation [23,24,25,26,27,28,29,30,31]. We classify the related work into two categories based on their solution architecture: a centralized [23,24,25,26,27] and decentralized [28,29,30,31,32,33] approach.
As shown in Table 2, many previous works adopted the centralized architecture [23,24,25,26,27], which usually requires a central system to collect a large amount of information and high-performance hardware. On the contrary, the decentralized architecture [28,29,30,31,32,33] utilizes V2V communication to manage platoon maneuvers, such as velocity and distance, which can more effectively deal with temporary emergency road conditions. However, most previous works only focused on collision avoidance between platoon members and did not consider the conditions of surrounding vehicles. For example, the works in [23,25,29,31] just considered the scenario of how a vehicle could change lanes to join a platoon rather than the lane-changing of the entire platoon. In addition, most of the proposed protocols focused on platoon management rather than resolving traffic congestion and driving safety due to emergencies. Unlike previous works, we propose a heuristic decentralized traffic method for forming multiple platoons on multiple lanes, where the vehicle members can cooperate with their leaders to quickly exit the congestion spot in order. In order to realize the autonomous operation decision of the vehicle, we propose to control the vehicles through the CACC [19] mode. Furthermore, compared to the literature, we further consider the effect of different platoon sizes on resolving traffic congestion and several platoon lane-changing maneuver strategies on multi-lane freeways.
For centralized approaches, Firoozi et al. [23] proposed a multi-lane architecture for the autonomous driving of a platoon, which consists of an offline motion planner system and an online hierarchical controller system. In order to avoid collisions between vehicles in their platoon, the authors use an optimization-based scheme to plan smooth trajectories, and the operations can also be reconfigured to deal with temporary road conditions based on real-time traffic information. Graffione et al. [24] developed a longitudinal control Model Predictive Control (MPC) method to handle external vehicles joining or leaving the platoon. The authors proposed a centralized control algorithm to obtain detailed information from the platoon followers. According to the received information, the platoon leader regulates the acceleration and deceleration of the vehicle in the platoon to minimize squared deviations in position, velocity, and tractive force. Maiti et al. [25] simulated three different merge operations: front merge, middle merge, and tail merge. In order to minimize the merge completion time and total travel distance or maximize the merge success rate or average traffic velocity, the authors analyzed the efficiency of these operations, showing the merge completion time, total distance traveled, average traffic velocity, and merge success rate to verify the efficiency and correctness of the model. Amoozadeh et al. [26] developed a CACC platoon management protocol, based on a Vehicular Ad Hoc Network (VANET), using a Finite State Machine (FSM) for the description of vehicle-joining, leaving, and lane-changing maneuvers. When vehicle communication is lost, the controller and platoon management protocol can enable an individual follower in the platoon to downgrade to the Adaptive Cruise Control (ACC) mode. Heinovski et al. [27] also studied the platoon formation solution. Based on a cost function, a rear vehicle searches and selects a platoon to join among many platoon candidates. If there is no platoon available to join, the vehicle forms a new platoon by itself. Their goal is to optimize the travel time and reduce fuel consumption based on each platoon’s expected velocity and location.
For decentralized approaches, Sarker et al. [28] proposed a decentralized platoon maintenance strategy in which a platoon vehicle needs to know its distance from its preceding vehicle to adjust its velocity. When a platoon vehicle joins or leaves the platoon, the new pair of preceding-behind vehicles need to exchange status information to adjust their velocity and distance. To accelerate such a process, the authors proposed computing the velocity, acceleration, and distance information in advance and storing them in the velocity profile. As a result, a vehicle can immediately adjust its velocity to achieve the minimum platoon gap distance without recalculation when there is a join or leave maneuver. Hidalgo et al. [29] used Bézier curves combined with CACC to plan the trajectory of platoon merging and manage platoon maneuvers, such as lane-changing and adjusting the gap distance between neighboring vehicles. The proposed strategy controls longitudinal motion based on feedback and feedforward architecture, which can ensure the safety and smooth merging of platoons. Zhao et al. [30] proposed a decentralized optimization control framework to provide the vehicle with the best driving trajectory. The proposed framework considered internal boundary conditions to eliminate stop-and-go driving. By coordinating vehicles, the framework can significantly reduce fuel consumption and travel time. Renzler et al. [31] proposed a decentralized platoon management architecture to realize platooning maneuvers, such as forming a platoon, lane changing, and disbanding a platoon. The management protocol also considered road condition changes and allowed each vehicle to dynamically adjust its distance from its preceding vehicle to maintain safety. Liu et al. [32] restructured the vehicle queue based on the swarm algorithm, V2I, and V2V communication. The authors considered safety, passenger comfort, and fuel consumption to provide energy efficiency, a lower trip time, and passenger infotainment for a vehicle platoon. Meanwhile, the platoon vehicles can figure out the optimal cruise control by running a distributed Particle Swarm Optimization (PSO) algorithm. Sarker et al. [33] proposed an enhanced connectivity maintenance model for multiple platoons, where each vehicle shares its status information with neighboring vehicles. The vehicles must agree on the velocity and distance, which are collected by the radar sensors and then shared via V2V.
On the other hand, Zhou et al. [34] proposed a model of a mixed traffic platoon, which considered the maximum platoon and platoon stability of road capacity. The results show that a larger platoon length can increase the road capacity, and, conversely, the smaller the platoon length, the more stable the traffic flow. Bakibillah et al. [35] proposed a cloud-based four-legged roundabout optimized coordination algorithm. The authors developed a control system with a bi-level framework, where the higher level carries out the vehicle cluster control and the lower level carries out the vehicle control individually. The objective is to minimize the total crossing time. Ying et al. [36] propose two sub-systems: leader election and an incentive mechanism. Firstly, the elected leader constructs a reputation-based election scheme, where reputation is used for vehicle platoons. The trusted leaders are elected based on reputation. Secondly, the authors design an incentive mechanism to motivate platoon members to participate in the election.

3. System Model and Problem Description

We consider the scenario where an accident occurs at position x b t n on the road segment X of a freeway with k lanes. There is a set of S vehicles at the front of the accident segment before the accident is cleared, denoted by S = { 1 , 2 , . . . , | S | } . The notation α denotes the number of lanes blocked due to the accident. In Figure 1, a truck accident blocks one of the four lanes on the freeway. As a result, k α lanes remain available for the vehicles to pass through. The maximum allowed vehicle velocity on this road segment is v m a x . In our proposed approach, we assumed that every vehicle is equipped with an On-Board Unit (OBU) to support data sharing. The OBUs support vehicle-to-vehicle communications, which are specified in 3GPP standards [13]. The control protocols for vehicles in a platoon can be found in [14]. Further, each vehicle is also expected to be equipped with an Advanced Driver Assistance System (ADAS) to run the consensus plan negotiation procedure, which is generated by our traffic coordination scheme. Additionally, we assumed that all vehicles will voluntarily adopt our proposed algorithm when they pass the congestion x n t f spot.
Generally, this work aims to (i) manage S vehicles to exit the road segment X in the shortest time, (ii) maintain the maximum number of incoming vehicles that can drive through X at their maximum velocity, and (iii) prevent further congestion and accidents due to the shockwave phenomenon. The first two goals can be indirectly solved by sorting the vehicles by order and then maximizing the velocity of the vehicles on the segment. The objective is to minimize the delay of vehicles from chaotic movements. We proposed a decentralized algorithm to manage the maneuvers of vehicles in S in the congestion area (e.g., from 3.5 km behind the accident spot). The proposed decentralized traffic planning is based on a heuristic algorithm. Specifically, the platoon forming starts from the vehicles in a small area near the congestion/accident spot and then occurs repetitively to the ones in the further areas. Each small area can be defined as in the V2V communication range. This heuristic approach is based on the motivation that arranging vehicles into platoons could accelerate traffic flow. Generally, platoon-based planning can reduce the time taken to exit the congestion spot for all vehicles. In this way, every vehicle will benefit from such well-organized movement planning to pass the accident point. As a result, the final goal to reach the objective of the optimization problem can be partially gained. The waiting time of the vehicles can be minimized by solving the optimization problem as follows:
min S , v m a x , k , α i = 1 | S | ( t e x i t i t a r r i v a l i ) | S | s . t . 0 < α < k , 0 v i ( t ) v m a x , i S x i 1 d g a p x i , i S { 1 }
where
  • x i , v i are the position and velocity of the i th vehicle to exit the congestion area ( i S ).
  • t e x i t i is the exit time of the i th vehicle successfully exiting the accident spot; t a r r i v a l i is the arrival time of the the i th vehicle; d g a p is the safe distance between two vehicles (inter-vehicle distance).
Equation (1) means the goal of minimizing the congestion by cutting down the mean time taken of all of the vehicles to exit the accident spot. To achieve the goal, we must release the vehicles as fast as possible. Indeed, the problem of finding the fastest and fairest path for each vehicle to drive through the congestion area is a complicated issue. First, it will be unfair if the design always schedules the vehicles on the accident-free lanes to leave while making the vehicles on the blocked lanes wait indefinitely. For example, as illustrated in Figure 1, the vehicles in Lane 0 do not need to wait until all of the vehicles in Lanes 1, 2, and 3 have exited to change lanes. In this case, the system must efficiently schedule the vehicles to exit if there is a safe lane-changing distance.

4. Proposed Platoon-Based Coordination Scheme to Minimize Traffic Congestion

To obtain the goal of minimizing traffic congestion in Equation (1), reducing the unnecessary distance among the vehicles and then releasing the vehicles in well-organized groups at their maximum velocity (i.e., S , v m a x ) can be a promising approach. This heuristic model is similar to the coordination by police but performed automatically. By building well-ordered-movement platoons, the proposed platooning control algorithm aims to avoid arbitrary movements of unpredictable behaviors of vehicles and increase the chances of vehicles moving at their maximum velocity while still maintaining a safe distance (platoon safety distance setting). Generally, a vehicle’s exit strategy involves merging vehicles (forming platoons), line-up movement (following the platoon leader’s movement), and a lane-changing platoon. This section details the kinematic vehicle model and control parameters for addressing key operations of building a plan for the vehicles to exit the congestion area by ordered groups.

4.1. Setting up a General Kinematic Model for the Vehicles

The first task is to set up a general kinematic model for the vehicles [37]. The goal is to keep the vehicles moving by a consistent rule. When a vehicle moves on the road, it can involve two maneuvers: (i) straight-moving; (ii) lane-changing. A vehicle i at the position x i and velocity v i is in the straight-moving mode with a front vehicle i 1 if they satisfy the following condition:
v i = d x i d t = x ˙ i , a i = d v i d t = v ˙ i , ε i = x i x i 1 L i 1 d g a p ,
where a i denotes the vehicle i’s longitudinal acceleration. For the sake of safety, the vehicle i must maintain a safety distance, d g a p , with the vehicles that are immediately before or after it. ε i denotes the relative distance between two vehicles. L i 1 is the length of the preceding vehicle. In this case, ε i is bound by the constraint ε i T × v i . T is the time gap and can be measured by the time required for the vehicle i to react to the possible collision and brake to stop, e.g.,  ε i = t r e a c t + t b r a k e . For humans, t r e a c t is approximately 1 s. For autonomous driving, t r e a c t is negligible [38]. The time for braking is t b r a k e = v i a i ˙ . In practice, a vehicle moving at 20 m/s (72 km/h) does not often come to a stop in less than 5.0  s if a i ˙ = 4 m/s. In addition, as mentioned above, the velocity of every vehicle is limited by v m a x . Therefore, d g a p = ( t r e a c t + t b r a k e ) a i .
Note that, in the straight-moving maneuver mode, the vehicle i must first find a safe gap in the lane. However, if there is such a safe gap in the lane-changing maneuver mode, the vehicle may select a lane-changing action.

4.2. Grouping Vehicles into the Platoons

When the vehicles in the segment X receive a warning message about the accident ahead (e.g., through a decentralized environmental notification message), the adjacent vehicles immediately activate the control mode for platoon forming. To join a platoon, vehicles can use (i) a straight-moving action if they are in the same lane or (ii) a lane-changing action if the vehicles are in different lanes. To maintain both efficiency and safety, the vehicles in a platoon are required to maintain a platoon gap ( d p g a p ) in the same lane and move at the same velocity as the platoon leader. Since the platoon can synchronously maintain the movement of the members and the leader, d p g a p is supposed to be much smaller than ε i . In addition, after the platoon-forming procedure is completed, platoon members will follow the instructions from the platoon leader, either moving forward on the same lane or changing to a neighboring lane.
Suppose that j represents the index of platoon members in each platoon. Through vehicle status message exchange, each vehicle is able to obtain the position information of surrounding vehicles. When forming the platoon n at time t with L n ( t ) members, the front-most vehicle will become the platoon leader P n , 1 L . The position, velocity, and acceleration of the platoon leader P L can be expressed as follows:
P L = P n , j L , j = { 1 } v n , 1 = v p = t a r g e t p l a t o o n v e l o c i t y
The remaining vehicles are called platoon members  P M . If the distance between a member and its preceding one is greater than d p g a p , in order to reduce the distance between vehicles, the member P M needs to accelerate. Generally, the position, velocity, and acceleration of vehicle platoon member j can be expressed as follows:
P M = P n , j M , j = { 2 , 3 , . . . , L n ( t ) } , x n , j ¯ = x n , 1 + ( j 1 ) × d g a p , Δ d n , j = x n , j ¯ x n , j , t n , l 1 = v m a x v n , l a m a x , t n , l 3 = v m a x v p a d m a x , t n , l 2 = Δ d n , j v n , j + v m a x 2 × t n , l 1 v m a x + v p 2 × t n , l 3 v m a x ,
where Δ d n , j is the distance needed for the jth platoon member to catch up with the preceding platoon member. We assumed that it takes t n , l 1 time to reach its maximum velocity limit with the maximum acceleration limit, a m a x , t n , l 2 time to be maintained at the maximum velocity, and  t n , l 3 time to decelerate to the target platoon speed with the maximum deceleration limit, a d m a x .
In short, platoon members will need to accelerate when joining the platoon if the distance between a member and its preceding member is larger than the d p g a p . When the platoon members can match their distance gap as the platoon gap d p g a p , the velocity and acceleration of platoon members follow their leader as follows:
v n , j = v n , 1 , a n , j = a n , 1
Therefore, we can describe the safety constraints of the platoon at the time slot t as follows:
x n , j 1 ( t ) x n , j ( t ) L j = γ d p g a p v m a x v n , j ( t ) a m a x a n , j ( t )
where j 1 is the index of the preceding vehicle of the platoon, L j is the vehicle length, and γ is the distance between the vehicle j and the preceding vehicle j 1 .

4.3. Proposed Definition on Lane Restrictions for the Platoon Driving

When S vehicles successfully form into several platoons, the next action is to sort the order for each platoon to exit the accident spot. Note that the number of platoons is calculated by the number of approaching vehicles in the congestion area over a pre-defined platoon size. To maintain fairness, the platoons are sorted by their arrival. The velocity and acceleration of the platoons needed to move out of the accident spot can be expressed as follows:
v n , j l = d x n , j l d t = x ˙ n , j l , a n , j l = d v n , j l d t = v ˙ n , j l ,
where l is the lane number. However, if the platoon changes to the lane l + 1 (e.g., overtaking lane), the velocity and acceleration of the platoon are expressed as follows:
v n , j l + 1 = d x n , j l + 1 d t = x ˙ n , j l + 1 , a n , j l + 1 = d v n , j l + 1 d t = v ˙ n , j l + 1

4.4. Mechanisms for Platoon Control

Due to the constraints of the number of platoon members in a platoon (e.g., 20 vehicles [20]), S vehicles on the road segment X may split into multiple platoons. As a result, even after finishing platoon forming, the maneuvers of the vehicles on the freeways still need to follow two fundamental controls: (i) safe movement control for different platoons; (ii) safe movement control for the platoon members in each platoon. We used the ACC model to model the safe movement control for different platoons and the CACC for the safe movement control for the platoon members in each platoon. The details of the control parameters in the two models are presented as follows.

4.4.1. Adaptive Cruise Control (ACC)

In order to maintain the platoons’ safety movement, the platoon leaders are set to run the ACC model [39]. In the ACC model, a vehicle can obtain the distance information from the preceding vehicle through the onboard sensors, thereby controlling the distance between each vehicle by adjusting the velocity and acceleration. According to the ACC system, the velocity v j and acceleration a j of a vehicle at the position x j are defined as follows:
v j = d x j d t = x ˙ j , a j = 1 T ( ε ˙ j + λ δ j ) , δ j = x j x j 1 + L j 1 + v j T ε ˙ j = v j v j 1 ,
where ε ˙ j is the relative velocity between vehicle j and j 1 , j 1 is the tailing vehicle of the front platoon, T is the time gap, L j 1 is the length of the vehicle in front and δ j is the distance error between the actual distance x j x j 1 + L j 1 and the desired distance v j T . The distance v j T grows proportionally with velocity and, for both safety and stability reasons, T > 1 . λ is a design parameter (default set to 0.1).

4.4.2. Cooperative Adaptive Cruise Control (CACC)

Through CACC, each platoon member adjusts its velocity from its preceding vehicle. According to the study [40], vehicle j’s velocity ( v j ) and acceleration ( a j ) in the platoon p n can be given by
v j = d x j d t = x ˙ j a j = d v j d t = v ˙ j = k 1 a j 1 + k 2 a d + k 3 ε ˙ j + k 4 ( v j v d ) + k 5 ε j ε j = x j x j 1 + L j 1 + d p g a p ε ˙ j = v j v j 1 ,
where x j and a j are the current position and acceleration of the vehicle j; a d and v d are the acceleration and velocity of the platoon leader; a j 1 is the acceleration of the preceding vehicle; L j 1 is the length of the preceding vehicle; ε j is the distance error for d p g a p . In addition, the detailed definitions of k 1 , k 2 , k 3 , k 4 , k 5 can be found in [40].
k 1 = 1 C 1 ; k 2 = C 1 ; k 5 = ω 2 k 3 = ( 2 ξ C 1 ( ξ + ξ 2 1 ) ) ω k 4 = C 1 ( ξ + ξ 2 1 ) ,
where C 1 is a weighting factor between the accelerations of the leader and the preceding vehicle (default set to 0.5), ξ is the damping ratio (default set to 1), and  ω is the bandwidth of the controller (default set to 0.2 Hz).

4.5. Special Platoon Lane Change Procedure

The platoon leader can automatically detect the behavior of platoons on other lanes through V2V communications, and then adjust the velocity of its platoon for the sake of safety. On the freeway, several platoons in a certain area of the road segment can be depicted in Figure 2, which shows the Current Lane (CU) platoon, the Front Left Lane (FL) platoon, and the Rear Left Lane (RL) platoon. We denoted the velocity and the position of platoon P C U as v C U and x C U , respectively.
Since the platoon leader is the command vehicle, the platoon leader is responsible for the entire traffic condition detection and lane-changing decision. Platoon members only follow the leader’s commands. In this work, we assumed that the l + 1 lane, the left lane as shown in Figure 2, is the overtaking lane. The platoon leader constantly evaluates the safety distance of the P R L and P F L through V2V communications and decides when to change the entire platoon to the left lane.
We assumed that at least one vehicle ( | P n | 1 ) is driving in the lane in each platoon. For example, when platoon P C U executes a lane change operation, it should not cause P R L to emergency brake and there should not be a collision. In other words, P C U is completely in front of P R L , and  P C U is completely behind P F L . Accordingly, the safety distance between them is s a f e C U , R L and s a f e C U , F L . The platoon leader calculates the safety condition using the following equations:
x C U x R L s a f e C U , R L s a f e C U , R L = L C U + ( v R L v C U ) · T + d p g a p L C U = | P C U | · ( L j + d p g a p ) d p g a p
x F L x C U s a f e C U , F L s a f e C U , F L = L F L ( v F L v C U ) · T + d p g a p L F L = | P F L | · ( L j + d p g a p ) d p g a p
where x C U , x R L , and  x F L are the position of the platoon (platoon leader), L C U and L F L are the platoon length, L j is the vehicle length, v R L , v C U , and  v F L are the velocity of the platoon, T is a time gap, and d p g a p is the platoon inter-distance.
Note that the vehicles are equipped with a safe movement control model (e.g., ACC model and CACC model) and V2V communications. This feature will allow the vehicles to obtain necessary information, such as the position and velocity change in neighboring vehicles, to dynamically determine road conditions. However, if the situation of performing lane-changing is unsafe, the platoon P C U will stay in the original lane in order to wait for the vehicles of P R L or P F L to pass through, and then initiate the lane-changing procedure again to seek the safety condition that allows for lane-changing.

4.6. The Overall Platoon Protocol and Algorithm

This subsection introduces detailed protocols for the basic platooning maneuvers, such as the vehicle-joining maneuver and lane-changing maneuver. Generally, the platoon leader is the member who mainly controls the platoon and sends information at all times. The following shows how each platoon leader sends messages to other vehicles or members.

4.6.1. Join Maneuver

Recall that the front-most vehicle in a platoon is the platoon leader. In the join maneuver, a vehicle requests to join an existing platoon, and the platoon leader will decide whether to allow the vehicle to join. The join maneuver is illustrated as follows:
  • Platoon Status: Each platoon leader maintains the timely status of its platoon and periodically groupcasts status messages to its platoon members or non-member vehicles. In particular, the platoon size has an upper bound that determines whether the platoon can accept more members or not. The platoon status includes platoon member information, such as the number of members, each member’s information, and whether the platoon can accept more members.
  • Join Request: If the platoon status message indicates that the platoon is open for joining, the platoon leader will wait to receive join requests from non-member vehicles. The join request will include information such as the requesting vehicle ID and its position.
  • Join Response: Upon receiving a join request, the platoon leader examines its platoon status, such as whether the platoon size is less than the limitation, and decides whether to accept the request. If the request is accepted, the platoon leader will send an acceptance response message to the requester. Otherwise, a rejection response is sent.
  • Join Execution: Upon receiving an acceptance response from the platoon leader, the requesting vehicle will join the platoon following the platoon-joining protocol described in Section 4.2. After becoming a platoon member, the vehicle will follow the driving instructions from the platoon leader groupcast.

4.6.2. Lane-Changing Maneuver

Lane changing is a challenge for platoon control. Accurate control for each platoon member is critical as the inter-vehicle distance is very short and vehicles are moving at a very high velocity. The proposed lane-changing control is described as follows:
  • Lane Change Condition: The platoon leader is responsible for evaluating the safety condition for lane-changing maneuvers for the entire platoon. To perform the evaluation, the platoon leader verifies Equations (12) and (13) based on the platoon status information and status information of neighboring platoons. If the conditions in these two equations are met, the platoon leader will decide to perform a platoon lane change and executes the operation described in the next step.
  • Lane Change Execution: To perform platoon lane change for the entire platoon, the platoon leader sends messages to its platoon members and leads them to complete lane changing. Simultaneously, each platoon member follows the received instructions from the platoon leader and its preceding vehicle to perform the lane changing.
  • Lane Change Completion: The platoon leader is able to calculate the completion time of the platoon lane changing. When the lane changing is completed, it will groupcast a platoon status message as a completion and confirm the message to its platoon members.

4.6.3. Coordinated Platooning Control Algorithm

Algorithm 1 shows the pseudo-code of the proposed algorithm. This decentralized algorithm runs in each vehicle. If the vehicle is a platoon leader, it has the responsibility of sending moving instructions (either moving forward or changing lanes) to platoon members periodically. If the vehicle is a platoon member, it merely follows instructions from its platoon leader. These operations follow the message exchange and motion models as CACC models [1,18,19]. If a vehicle has not yet joined a platoon, it runs ACC models and can consider joining a platoon (to run CACC models). The decision-making process of each vehicle is then handled by motion models (CACC/ACC). In practice, the algorithm is triggered by receiving messages, such as the emergency notification message, the join platoon message, the lane change message, etc. Upon receiving a message, each vehicle can decide based on its location and platoon-joining status. Accordingly, vehicle i can obey Equation (2), regardless of being a platoon leader or a platoon member. Otherwise, it should also obey Equations (3) to (6). The lane restrictions from Equations (7) and (8) are to ensure safe driving.
Algorithm 1 Coordinated Platooning Planning (CPP) algorithm
Input: vehicle iS
1:
Loop
2:
ifi is a platoon leader ( P L ) then
3:
   if platoon_size < platoon_size_limit then
4:
     Platoon_Status.AllowJoin = True
5:
   else
6:
     Platoon_Status.AllowJoin = False
7:
   end if
8:
   Periodically broadcast Platoon_Status messages
9:
   Upon receiving a Join_Request
10:
   if platoon_size < platoon_size_limit then
11:
     Reply Join_Response.Permit message
12:
   else
13:
     Reply Join_Response.Deny message
14:
   end if
15:
   Check Lane_Change safety condition
16:
   if Lane_Change_Condition is satisfied then
17:
     Send Lane_Change_Execution message to platoon members
18:
     Execute Lane_Change
19:
     Upon completing Lane_Change
20:
     if Lane_Change is completed then
21:
        Send Lane_Change_Completion message to platoon members
22:
     end if
23:
   else
24:
     Maintain at the same Lane
25:
   end if
26:
else ifi is a platoon member ( P M ) then
27:
   Follow the Platoon_Status messages
28:
   if received a Join_Execution message or Lane_Change_Completion message then
29:
     Follow the driving instruction from P L
30:
   end if
31:
   if received a Lane_Change_Execution message then
32:
     Follow P L to perform Lane_Change
33:
   end if
34:
else { # i is not in a platoon }
35:
   if received a Platoon_Status message and Platoon_Status.AllowJoin == True then
36:
     Send Join_Request to the P L
37:
     if received Join_Response.Permit message then
38:
        i joins the platoon and becomes a platoon member ( P M )
39:
     else
40:
        i becomes a platoon leader ( P L )
41:
     end if
42:
   else
43:
     i becomes a platoon leader ( P L )
44:
   end if
45:
end if
46:
Until i passes the accident spot
Figure 3 illustrates the workflow of the proposed algorithms and key process. In the first free-driving section, vehicle i uses the ACC model to obey the safe distance description and avoid causing the freeway shockwave. When vehicle i drives into the second transition section, it uses the CACC model and follows the platoon maneuver commands (as described in Section 4.2, Section 4.3, Section 4.4 and Section 4.5). Platoon-joining and lane-changing actions are integrated into the platoon leader’s function. Finally, in the moving-in-order section, vehicle i passes the accident spot with the maximum velocity and minimum inter-vehicle gap according to the safety constraint of the proposed CACC platoon management. Therefore, depending on whether vehicle i uses the ACC mode (leader) or CACC mode (member), it will adjust its velocity based on the velocity and distance of the preceding vehicle. Note that the leader/members can decide whether they want to dissolve it or not after gaining its goal (to exit the congestion area successfully).

5. Implementation and Experimental Results

We used Simulation of Urban Mobility (SUMO) and Veins (PLEXE) [41], open-source simulation frameworks used in many famous studies, to simulate the vehicle behavior and evaluate the proposed scheme’s performance. We simulated a 4 km freeway with k = 4 and v m a x = 40 m/s (see Figure 1. Members need to accelerate when joining the platoon because the leader keeps the original velocity. Thus, we set 40 m/s (144 km/h) for the vehicles farther away from the leader to quickly catch up to its front platoon members (avoid slow merging).) In addition, we also set vehicle motions to run with the ACC model and CACC model (see Equations (9) to (11)), which can be found in the LuST dataset—including patterns for real traffic in Luxembourg, Europe (https://github.com/lcodeca/LuSTScenario, accessed on 24 August 2022). In our simulation, the vehicle appearances followed the following stochastic process. For each lane, a time interval for generating vehicles is set to an uniform random variable. Specifically, the timer interval for each lane is set as follows (in unit of seconds): t L a n e 3 = r a n d o m . r a n d i n t ( 40 , 70 ) ; t L a n e 2 = r a n d o m . r a n d i n t ( 24 , 50 ) ; t L a n e 1 = r a n d o m . r a n d i n t ( 30 , 60 ) ; t L a n e 0 = r a n d o m . r a n d i n t ( 20 , 50 ) . Furthermore, the number of vehicles generated during a time interval is also set to a uniform random variable with a range between 1 and 20, i.e., r a n d o m . r a n d i n t ( 1 , 20 ) . Note that the parameters of these random variables could be set to fit the desired simulation scenario.
The velocity is set according to the standard highways’ maximum (110 km/h) and minimum (80 km/h) velocity limits. In the real-world scenario, the inside lane is usually for the high-velocity vehicles to pass low-velocity vehicles. Thus, in our simulation, we set different velocity limits for different lanes. Since the traffic patterns may vary in different countries worldwide (which often vary due to local laws, driving style, and community awareness), the researchers can tweak this velocity limit setting to simulate the traffic models fitting their local environment. The occurrence rate of vehicles in each lane was randomized. The rest of the parameters are shown in Table 3. We also simulated three cases of the distance where a vehicle can receive notifications about the accident: 3500, 2500, and 1500 m ahead. Moreover, we also analyzed the impact of different platoon size settings on the scheme’s efficiency performance. In this work, the maximum platoon size was 20 [20,26].
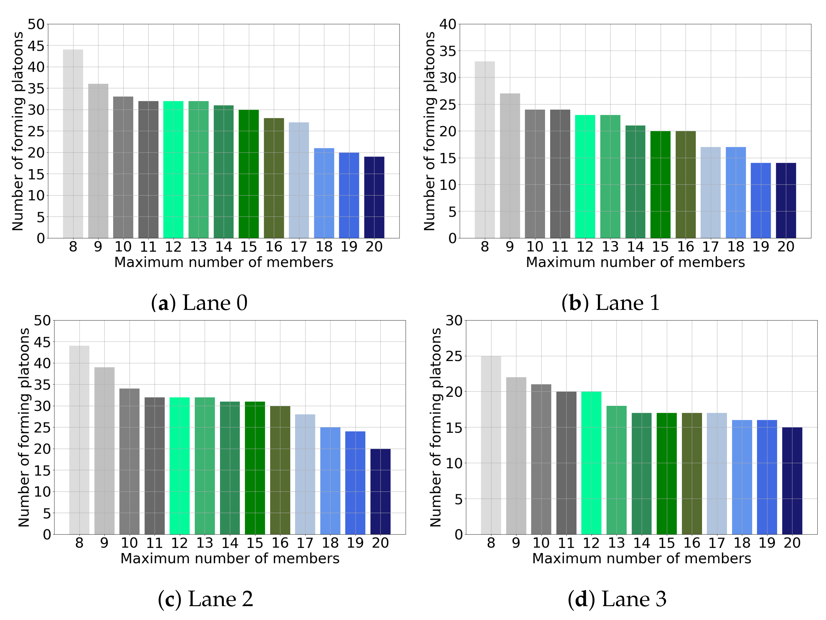
In this simulation, an accident blocks Lane 0. Figure 4 and Figure 5 show the average number of platoon members when using the adaptive configuration of the platoon size in Lane 0 to Lane 3. The number of vehicles in the platoon is limited by the maximum platoon size. When the platoon forms, it will not reach the maximum platoon size every time. This means that there will be many vehicles with different platoon members passing the accident spot before the accident is cleared. When adding up the number of vehicles in these platoons, it corresponds to the number of vehicles observed in Figure 6, Figure 7, Figure 8 and Figure 9. However, the platoon length of each platoon can be dynamically adjusted when vehicles enter and exit the platoon. We found that the largest platoon size was less than 14 in our simulations.
Through simulations, Figure 6, Figure 7 and Figure 8 show the mean time taken for the vehicles to exit the congestion spot if they receive an accident warning 3500, 2500, and 1500 m ahead of the accident spot. The mean time represents the average duration of an observed vehicle from receiving the warning message until passing the accident point. We observed that traffic congestion due to the accident needed around 900 to 1000 s to clear out; therefore, we compared the delay of vehicles driving through the congestion area around this time. Specifically, in Lane 0, Figure 6a, Figure 7a and Figure 8a show that the average delay of the vehicle i ranges from 100 to 250 when it uses and does not use the proposed planning scheme. In Lane 1, Figure 6b, Figure 7b and Figure 8b show that the average delay of the vehicle i ranges from 90 to 190. In Lane 2 (Figure 6c, Figure 7c and Figure 8c), vehicle i is shown to range from 90 to 230. In Lane 3 (Figure 6d, Figure 7d and Figure 8d), vehicle i is shown to range from 40 to 120. The last number represents the last vehicle in the lane to pass the accident spot before the accident is cleared. Therefore, we observed that there were 790 vehicles in total from when the first vehicle receives the warning notification until the accident is cleared.
In the first scenario (Figure 6), the vehicles receive an accident warning 3500 m ahead of the accident spot. With a substantial distance for platoon forming, the proposed system can smoothly schedule the vehicles into platoons to exit the congestion area. By contrast, as shown in Lane 0 (Figure 6a), the delay of the 250th vehicle in the case without the proposed scheduling scheme (red line) is approximately 14.64 s longer than the case using the proposed scheduling scheme. In other words, the proposed system reduces approximately 22% of the congestion delay on average. In addition, in Lane 1 (Figure 6b), Lane 2 (Figure 6c), and Lane 3 (Figure 6d), the delay reduction in its last vehicle is 11.22 s, 9.89 s, and 5.43 s, respectively. We observed the delay reduction for all vehicles in the exit lane and compared them to their respective red lines. The oscillating curve behavior occurs when a vehicle joins the platoon and accelerates to catch up with the preceding vehicle. The downward swing is normal. However, if the platoon-based vehicles oscillate less, it means that the platoons do not interfere with incoming vehicles in the exit lane when making lane changes. As a result, regardless of the platoon size, the platoon-based vehicles can leave the accident spot quickly.
In the second scenario (Figure 7), the vehicles receive the accident warning 2500 m ahead of the accident spot. We reduced the warning distance by 1 km, equal to approximately 33 s to 45 s shorter than the first scenario, in receiving the notification. Nonetheless, the proposed algorithm is still effective for the vehicles to pass the accident spot. As shown in Lane 0 (Figure 7a), the congestion delay of the 250th vehicle is reduced by approximately 10.73 s by using the proposed CPP algorithm. In addition, in Lane 1 (Figure 7b), Lane 2 (Figure 7c), and Lane 3 (Figure 7d), the delay reductions in the last vehicle are approximately 6.24 s, 5.01 s, and 3.96 s only, respectively. The result means that the distance when receiving the warning notification is still great enough to allow vehicles to form the platoons and follow their platoon leader to maintain a safe inter-vehicle gap and successfully execute smooth lane-changing actions.
In the third scenario (Figure 8), the warning distance is reduced to 1500 m. As shown in Lane 0 (Figure 8a), the congestion delay of the 250th vehicle is reduced by up to 7.4 s if using the proposed CPP algorithm. In addition, in Lane 1 (Figure 8b), Lane 2 (Figure 8c), and Lane 3 (Figure 8d), the delay reductions in the last vehicle are 4.31 s, 3.94 s, and 3.2 s, respectively. Although the vehicles in Lane 0 leave the accident spot 7.24 s later than in the first scenario, the proposed platooning-based control still shows effectiveness in cutting down the waiting time significantly. In short, the vehicle-forming platoon can effectively extenuate the traffic congestion of sudden accidents. In addition, from Figure 6, Figure 7 and Figure 8, we can observe that the platoon size affects the performance of the proposed CPP algorithm significantly. In our experiments, the best platoon size usually falls between 10 and 14. This observation aligns with consensus with the common setting of the platoon size in several empirical tests [20].
Figure 9 shows the comparison of congestion delays of the last vehicle in each lane with the best platoon size setting under the three scenarios. We found that the congestion time could be reduced significantly if the vehicles received the accident warning at around a 3 km distance. Due to diverting the vehicles in Lane 1 and Lane 2 to the overtaking lane early, the vehicles in Lane 0 will have more safety conditions when leaving the blocked lane. According to the result, by increasing the distance by 1 km, the congestion time could be reduced by 5% on average.
When the vehicle does not join any platoon, the vehicle can only receive an accident warning message at the warning spot. However, if a vehicle becomes a member of a platoon, it can receive the warning message earlier. Table 4 shows, on average, how far away and how early a vehicle can receive the warning message. The mean distance represents the average distance between the ith vehicle of the platoon and the platoon leader. The mean time indicates how early, on average, the ith vehicle of the platoon can receive the warning message. For example, the warning message is sent to vehicles within 1500 m. Table 4 shows that the 19th vehicle (index 20) is, on average, 893.4 m behind the platoon leader (i.e., it is 2393.4 m away from the accident spot) and can receive the warning message, on average, 32.8 s earlier than vehicles that do not join a platoon. This distance complies with the transmission range of 5G V2V and Dedicated Short Range Communication (DSRC). Therefore, with an earlier warning, the vehicles will have more distance when seeking a safe lane-changing space without approaching the accident spot and slowing down.
Since the accident only occurs in Lane 0, the vehicles in this lane are required for lane changing to exit the accident spot. In other words, even if the vehicles in Lane 1 and Lane 2 do not perform lane changing without a safe distance, they can pass through the accident spot successfully. Table 5 compares the average number of vehicles in Lane 1 and Lane 2 that do not perform lane changing under different distances of receiving the accident warning ahead of the accident spot. According to the results, we found that the earlier the warning to the vehicles approaching the accident spot fires, the faster the vehicle can finish platoon forming and exit the congestion area.
Based on the above results, although a platoon with 20 vehicles [20,26] is theoretically possible, it is very challenging to form such a long setting. First, maintaining the platoon becomes complicated if the vehicles are moving at a high velocity. Secondly, a small mistake or disorder in the lane change can cause a severe accident. We believe that there is a trade-off in the length of the platoon and the feasibility of the coordination schedule. We found that the average number of vehicles in a platoon for common traffic density is approximately 10 to 14 (see Figure 5) in order to commit a good balance for the scheduling efficiency, control complexity, and safety.

6. Conclusions

This work introduces an efficient multi-platooning traffic coordination method to resolve temporary bottlenecks on multi-lane freeways. The proposed decentralized heuristic approach allows multiple vehicles to form platoons and perform lane-changing actions to exit the congestion areas by well-organized orders, thus improving the road capacity and reducing the exiting delay. The experimental results show that the heuristic scheme can reduce delay for the vehicles to exit the congestion area, particularly by up to 22% in typical cases of traffic density. We also perform extensive evaluations on various platoon size configurations to determine the best setting. We found that there is a trade-off between the expected length of the platoon and the feasibility of the coordination schedule. The average number of vehicles in a platoon for typical traffic density is approximately 10 to 14 in order to commit a good balance for the scheduling efficiency, control complexity, and safety.
Several other findings are as follows. First, the platoon strategy can reduce accidents caused by human error and enable precise vehicle trajectory control by moving in well-organized orders. This work also highlights the importance of issuing warning notifications early. When the warning is sent farther away from the congestion spot, the vehicles will have more opportunities to execute lane-changing actions and build suitable shapes of platoons. This is because forming the platoons from the vehicles on different lanes requires time. Finally, we found that the platooning model can significantly help to optimize traffic capacity and leave the accident spot smoothly, as long as all of the vehicles voluntarily obey the constraints of the maneuver protocol. The model is susceptible to quick changes in road conditions, e.g., unexpected behaviors of rebel drivers, that can lead to many lane-changing actions, which is a costly procedure.
In this work, we considered the vehicle type to be homogeneous. However, the presence of heavy vehicles is a critical factor to the traffic coordination. For example, heavy vehicles may not be able to keep up with the velocity of the platoon of vehicles because of their large weight (long trucks often have slow acceleration and velocity). As a result, it may take a longer time to schedule these heavy vehicles into the platoons than with small vehicles. A straightforward solution is to consider each heavy vehicle as an independent platoon. We believe that the platoon-based coordination models for mixed traffic can be an interesting topic for future work. Another research direction can be to support the fuel consumption factor in traffic coordination to optimize fuel efficiency [42] and investigate the effect of heavy traffic.

Author Contributions

Conceptualization, R.-H.H. and C.-C.T.; methodology, R.-H.H., V.-L.N., J.-Y.L. and C.-C.T.; software, J.-Y.L. and C.-C.T.; validation, R.-H.H. and V.-L.N.; formal analysis, J.-Y.L. and C.-C.T.; investigation, V.-L.N., J.-Y.L., and C.-C.T.; resources, R.-H.H.; data curation, J.-Y.L. and C.-C.T.; writing—original draft preparation, J.-Y.L. and C.-C.T.; writing—review and editing, R.-H.H. and V.-L.N.; visualization, J.-Y.L. and V.-L.N.; supervision, R.-H.H.; project administration, R.-H.H.; funding acquisition, R.-H.H. All authors have read and agreed to the published version of the manuscript.

Funding

This work was supported in part by the Ministry of Science and Technology (MOST) of Taiwan under Grant No 110-2811-E-194-501-MY2 and Grant No 108-2221-E-194-019-MY3 and in part by the Advanced Institute of Manufacturing with High-Tech Innovations (AIM-HI) through the Featured Areas Research Center Program within the framework of the Higher Education Sprout Project by the Ministry of Education (MOE) in Taiwan.

Conflicts of Interest

The authors declare no conflict of interest. The founders had no role in the design of the study; in the collection, analyses, or interpretation of data; in the writing of the manuscript, or in the decision to publish the results.

Abbreviations

The following abbreviations are used in this manuscript:
V2XVehicle-to-Everything
V2VVehicle-to-Vehicle
5GFifth Generation
CACC Cooperative Adaptive Cruise Control
ACCAdaptive Cruise Control
3GPP3rd Generation Partnership Project
ADASAdvanced Driver Assistance System
IDMIntelligent Driver Model
MPCModel Predictive Control
DMPCDistributed Model Predictive Control
DSRCDedicated Short Range Communication
DENMDecentralized Environmental Notification Message
VANETVehicular Ad Hoc Network
FSMFinite State Machine
CUCurrent Lane
FLFront Left Lane
RLRear Left Lane
CPPCoordinated Platooning Planning
PLPlatoon Leader
PMPlatoon Member
SUMOSimulation of Urban Mobility
PLEXEPlatooning Extension for Veins

References

  1. Paden, B.; Čáp, M.; Yong, S.Z.; Yershov, D.; Frazzoli, E. A Survey of Motion Planning and Control Techniques for Self-Driving Urban Vehicles. IEEE Trans. Intell. Veh. 2016, 1, 33–55. [Google Scholar]
  2. Rios-Torres, J.; Malikopoulos, A.A. A Survey on the Coordination of Connected and Automated Vehicles at Intersections and Merging at Highway On-Ramps IEEE Trans. Intell. Transp. Syst. 2017, 18, 1066–1077. [Google Scholar]
  3. Čičić, M.; Xiong, X.; Jin, L.; Johansson, K.H. Coordinating Vehicle Platoons for Highway Bottleneck Decongestion and Throughput Improvement. IEEE Trans. Intell. Transp. Syst. 2021, 23, 8959–8971. [Google Scholar]
  4. Nguyen, T.T.; Calvert, S.C.; Vu, H.L.; Lint, H.V. An Automated Detection Framework for Multiple Highway Bottleneck Activations. IEEE Trans. Intell. Transp. Syst. 2022, 23, 5678–5692. [Google Scholar]
  5. Hwang, R.-H.; Nguyen, V.-L.; Tsai, C.-C.; Lin, P.-C. Platoon-based Vehicle Coordination Scheme for Resolving Sudden Traffic Jam in the IoV Era. In Proceedings of the 2021 IEEE 94th Vehicular Technology Conference (VTC2021-Fall), Norman, OK, USA, 27–30 September 2021. [Google Scholar]
  6. Dobre, C.; Cristea, V.; Iftode, L. ILRSH: Intelligent Lane Reservation System for Highway(s). In Proceedings of the 2012 Sixth International Conference on Complex, Intelligent, and Software Intensive Systems, Palermo, Italy, 4–6 July 2012. [Google Scholar]
  7. Molina-Masegosa, R.; Gozalvez, J. LTE-V for Sidelink 5G V2X Vehicular Communications: A New 5G Technology for Short-Range Vehicle-to-Everything Communications. IEEE Veh. Technol. Mag. 2017, 12, 30–39. [Google Scholar]
  8. 38.214 V16.2.0, Technical Specification Group Radio Access Network, NR, Physical Layer Procedures for Data, Release 16. 2020. Available online: https://portal.3gpp.org/desktopmodules/Specifications/SpecificationDetails.aspx?specificationId=3216 (accessed on 9 June 2022).
  9. Bevly, D.; Cao, X.; Gordon, M.; Ozbilgin, G.; Kari, D.; Nelson, B.; Woodruff, J.; Barth, M.; Murray, C.; Kurt, A.; et al. Lane Change and Merge Maneuvers for Connected and Automated Vehicles: A Survey. IEEE Trans. Intell. Veh. 2016, 1, 105–120. [Google Scholar]
  10. Tsai, C.-C.; Lin, C.-Y.; Nguyen, V.-L.; Hwang, R.-H. Efficient Traffic Coordination for Resolving Temporary Bottlenecks on the Multi-lane Freeways. In Proceedings of the 2022 IEEE International Conference on Communications (ICC2022), Seoul, South Korea, 16–20 May 2022. [Google Scholar]
  11. Ashraf, S.A.; Blasco, R.; Do, H.; Fodor, G.; Zhang, C.; Sun, W. Supporting Vehicle-to-Everything Services by 5G New Radio Release-16 Systems. IEEE Commun. Stand. Mag. 2020, 4, 26–32. [Google Scholar]
  12. Bian, Y.; Zheng, Y.; Ren, W.; Li, S.E.; Wang, J.; Li, K. Reducing time headway for platooning of connected vehicles via v2v communication. Transp. Res. Part C Emerg. Technol. 2019, 102, 87–105. [Google Scholar]
  13. Vukadinovic, V.; Bakowski, K.; Marsch, P.; Garcia, I.D.; Xu, H.; Sybis, M.; Sroka, P.; Wesolowski, K.; Lister, D.; Thibault, I. 3GPP C-V2X and IEEE 802.11p for Vehicle-to-Vehicle Communications in Highway Platooning Scenarios. Ad Hoc Netw. 2018, 74, 17–29. [Google Scholar]
  14. Ma, J.; Li, X.; Zhou, F.; Hao, W. Designing Optimal Autonomous Vehicle Sharing and Reservation Systems: A Linear Programming Approach Transp. Res. Part C Emerg. Technol. 2017, 84, 124–141. [Google Scholar]
  15. Hu, J.; Bhowmick, P.; Arvin, F.; Lanzon, A.; Lennox, B. Cooperative Control of Heterogeneous Connected Vehicle Platoons: An Adaptive Leader-Following Approach. IEEE Robot. Autom. Lett. 2020, 5, 977–984. [Google Scholar]
  16. Li, Y.; Chen, W.; Peeta, S.; Wang, Y. Platoon Control of Connected Multi-Vehicle Systems Under V2X Communications: Design and Experiments. IEEE Trans. Intell. Transp. Syst. 2020, 21, 1891–1902. [Google Scholar]
  17. Zong, F.; Wang, M.; Tang, M.; Li, X.; Zeng, M. An Improved Intelligent Driver Model Considering the Information of Multiple Front and Rear Vehicles. IEEE Access 2021, 9, 66241–66252. [Google Scholar] [CrossRef]
  18. Wang, P.; Deng, H.; Zhang, J.; Wang, L.; Zhang, M.; Li, Y. Model Predictive Control for Connected Vehicle Platoon Under Switching Communication Topology. IEEE Trans. Intell. Transp. Syst. 2021, 23, 7817–7830. [Google Scholar]
  19. Liu, H.; Kan, X.D.; Shladover, S.E.; Lu, X.-Y.; Ferlis, R.E. Modeling Impacts of Cooperative Adaptive Cruise Control on Mixed Traffic Flow in Multi-lane Freeway Facilities. Transp. Res. Part C Emerg. Technol. 2018, 95, 261–279. [Google Scholar]
  20. 886 V16.2.0, Technical Specification Group Services and System Aspects, Study on Enhancement of 3GPP Support for 5G V2X Services, Release 16. 2018. Available online: https://portal.3gpp.org/desktopmodules/Specifications/SpecificationDetails.aspx?specificationId=3108 (accessed on 10 June 2022).
  21. Demba, A.; Möller, D.P.F. Vehicle-to-Vehicle Communication Technology. In Proceedings of the 2018 IEEE International Conference on Electro/Information Technology (EIT), Rochester, MI, USA, 3–5 May 2018. [Google Scholar]
  22. Romeo, F.; Campolo, C.; Molinaro, A.; Berthet, A.O. DENM Repetitions to Enhance Reliability of the Autonomous Mode in NR V2X Sidelink. In Proceedings of the 2020 IEEE 91st Vehicular Technology Conference (VTC2020-Spring), Antwerp, Belgium, 25–28 May 2020. [Google Scholar]
  23. Firoozi, R.; Zhang, X.; Borrelli, F. Formation and Reconfiguration of Tight Multi-lane Platoons. Control Eng. Pract. 2021, 108, 104714. [Google Scholar]
  24. Graffione, S.; Bersani, C.; Sacile, R.; Zero, E. Model Predictive Control for Cooperative Insertion or Exit of a Vehicle in a Platoon. In Proceedings of the 17th International Conference on Informatics in Control, Automation and Robotics, Paris, France, 7–9 July 2020. [Google Scholar]
  25. Maiti, S.; Winter, S.; Kulik, L.; Sarkar, S. The Impact of Flexible Platoon Formation Operations. IEEE Trans. Intell. Veh. 2020, 5, 229–239. [Google Scholar]
  26. Amoozadeh, M.; Deng, H.; Chuah, C.-N.; Zhang, H.M.; Ghosal, D. Platoon Management with Cooperative Adaptive Cruise Control Enabled by VANET. Veh. Commun. 2015, 2, 110–123. [Google Scholar]
  27. Heinovski, J.; Dressler, F. Platoon Formation: Optimized Car to Platoon Assignment Strategies and Protocols. In Proceedings of the 2018 IEEE Vehicular Networking Conference (VNC), Taipei, Taiwan, 5–7 December 2018. [Google Scholar]
  28. Sarker, A.; Qiu, C.; Shen, H. Quick and Autonomous Platoon Maintenance in Vehicle Dynamics For Distributed Vehicle Platoon Networks. In Proceedings of the 2017 IEEE/ACM Second International Conference on Internet-of-Things Design and Implementation (IoTDI), Pittsburgh, PA, USA, 18–21 April 2017. [Google Scholar]
  29. Hidalgo, C.; Lattarulo, R.; Flores, C.; Pérez Rastelli, J. Platoon Merging Approach Based on Hybrid Trajectory Planning and CACC Strategies. Sensors 2021, 21, 2626. [Google Scholar] [CrossRef]
  30. Zhao, L.; Malikopoulos, A.A. Decentralized Optimal Control of Connected and Automated Vehicles in a Corridor. In Proceedings of the 2018 21st International Conference on Intelligent Transportation Systems (ITSC), Maui, HI, USA, 4–7 November 2018. [Google Scholar]
  31. Renzler, T.; Stolz, M.; Watzenig, D. Decentralized Dynamic Platooning Architecture with V2V Communication Tested in Omnet++. In Proceedings of the 2019 IEEE International Conference on Connected Vehicles and Expo (ICCVE), Graz, Austria, 4–8 November 2019. [Google Scholar]
  32. Liu, B.; El Kamel, A. V2X-Based Decentralized Cooperative Adaptive Cruise Control in the Vicinity of Intersections. IEEE Trans. Intell. Transp. Syst. 2016, 17, 644–658. [Google Scholar]
  33. Sarker, A.; Qiu, C.; Shen, H.S. Connectivity Maintenance for Next-Generation Decentralized Vehicle Platoon Networks. IEEE/ACM Trans. Netw. 2020, 28, 1449–1462. [Google Scholar] [CrossRef]
  34. Zhou, J.; Zhu, F. Analytical analysis of the effect of maximum platoon size of connected and automated vehicles. Transp. Res. Part C Emerg. Technol. 2021, 122, 102882. [Google Scholar] [CrossRef]
  35. Bakibillah, A.S.M.; Kamal, M.A.S.; Tan, C.-P.; Susilawati, S.; Hayakawa, T.; Imura, J. Bi-Level Coordinated Merging of Connected and Automated Vehicles at Roundabouts. Sensors 2021, 21, 6533. [Google Scholar] [CrossRef] [PubMed]
  36. Ying, Z.; Ma, M.; Zhao, Z.; Liu, X.; Ma, J. A Reputation-Based Leader Election Scheme for Opportunistic Autonomous Vehicle Platoon. IEEE Trans. Veh. Technol. 2022, 71, 3519–3532. [Google Scholar] [CrossRef]
  37. Antonelli, G.; Chiaverini, S. Kinematic control of a platoon of autonomous vehicles. In Proceedings of the 2003 IEEE International Conference on Robotics and Automation (Cat. No.03CH37422), Taipei, Taiwan, 14–19 September 2003. [Google Scholar]
  38. Nguyen, L.-H.; Nguyen, V.-L.; Kuo, J.-J. Risk-Based Transmission Control for Mitigating Network Congestion in Vehicle-to-Everything Communications. IEEE Access 2021, 9, 144469–144480. [Google Scholar] [CrossRef]
  39. Rajamani, R. Adaptive Cruise Control. In Vehicle Dynamics and Control; Springer: Boston, MA, USA, 2012; pp. 141–170. [Google Scholar]
  40. Milanés, V.; Shladover, S.E.; Spring, J.; Nowakowski, C.; Kawazoe, H.; Nakamura, M. Cooperative Adaptive Cruise Control in Real Traffic Situations. IEEE Trans. Intell. Transp. Syst. 2014, 15, 296–305. [Google Scholar] [CrossRef] [Green Version]
  41. Segata, M.; Joerer, S.; Bloessl, B.; Sommer, C.; Dressler, F.; Cigno, R.L. PLEXE: A Platooning Extension for Veins. In Proceedings of the 2014 IEEE Vehicular Networking Conference (VNC), Paderborn, Germany, 3–5 December 2014. [Google Scholar]
  42. Rango, F.D.; Raimondo, P.; Amendola, D. Extending SUMO and PLEXE Simulator Modules to Consider Energy Consumption in Platooning Management in VANET. In Proceedings of the 2019 IEEE/ACM 23rd International Symposium on Distributed Simulation and Real Time Applications (DS-RT), Cosenza, Italy, 1–9 October 2019. [Google Scholar]
Figure 1. The illustration of traffic congestion caused by a vehicle accident on a multi-lane freeway, where there are many approaching vehicles (behind the accident spot). These vehicles need to negotiate to form platoons (bounded by lines) via 5G V2V communications. The grouped vehicles then move, in order, through the accident spot on the exit lanes (Lane 1 to Lane 3).
Figure 1. The illustration of traffic congestion caused by a vehicle accident on a multi-lane freeway, where there are many approaching vehicles (behind the accident spot). These vehicles need to negotiate to form platoons (bounded by lines) via 5G V2V communications. The grouped vehicles then move, in order, through the accident spot on the exit lanes (Lane 1 to Lane 3).
Applsci 12 08622 g001
Figure 2. Illustration of forming a platoon in each lane and lane-change operations to maintain safety conditions if a platoon is changing its moving direction from the blocked lane to the free lane.
Figure 2. Illustration of forming a platoon in each lane and lane-change operations to maintain safety conditions if a platoon is changing its moving direction from the blocked lane to the free lane.
Applsci 12 08622 g002
Figure 3. The workflow for the proposed decentralized Coordinated Platooning Planning (CPP) control. The vehicles maintain a safe inter-vehicle distance (safe distance).
Figure 3. The workflow for the proposed decentralized Coordinated Platooning Planning (CPP) control. The vehicles maintain a safe inter-vehicle distance (safe distance).
Applsci 12 08622 g003
Figure 4. The number of forming platoons in Lane 0 to Lane 3 in three scenarios of simulations.
Figure 4. The number of forming platoons in Lane 0 to Lane 3 in three scenarios of simulations.
Applsci 12 08622 g004
Figure 5. The average platoon size in Lane 0 to Lane 3 in three scenarios of simulations.
Figure 5. The average platoon size in Lane 0 to Lane 3 in three scenarios of simulations.
Applsci 12 08622 g005
Figure 6. The mean time taken for the vehicles to exit the congestion spot if they receive an accident warning 3500 m ahead of the accident spot.
Figure 6. The mean time taken for the vehicles to exit the congestion spot if they receive an accident warning 3500 m ahead of the accident spot.
Applsci 12 08622 g006aApplsci 12 08622 g006b
Figure 7. The mean time taken for the vehicles to exit the congestion spot if they receive an accident warning 2500 m ahead of the accident spot.
Figure 7. The mean time taken for the vehicles to exit the congestion spot if they receive an accident warning 2500 m ahead of the accident spot.
Applsci 12 08622 g007aApplsci 12 08622 g007b
Figure 8. The mean time taken for the vehicles to exit the congestion spot if they receive an accident warning 1500 m ahead of the accident spot.
Figure 8. The mean time taken for the vehicles to exit the congestion spot if they receive an accident warning 1500 m ahead of the accident spot.
Applsci 12 08622 g008aApplsci 12 08622 g008b
Figure 9. Comparison of the average reduction congestion delay when the vehicles receive the warning message at 3500 m, 2500 m, and 1500 m ahead.
Figure 9. Comparison of the average reduction congestion delay when the vehicles receive the warning message at 3500 m, 2500 m, and 1500 m ahead.
Applsci 12 08622 g009aApplsci 12 08622 g009b
Table 1. Notation used in this work.
Table 1. Notation used in this work.
SymbolDescriptionSymbolDescription
kThe number of lanes v j The longitudinal velocity of vehicle j in the platoon
α The number of lanes blocked due to the accident v j T The desired distance
XThe road segment a j The longitudinal acceleration of vehicle j in the platoon
SThe set of incoming vehicles in the segment before the accident is cleared, S = { 1 , 2 , , | S | } a j 1 The acceleration of the preceding vehicle j 1 in the platoon
iThe index of the vehicle ε j The relative velocity between vehicle j and j 1 in the platoon
x i The position of vehicle i δ j The distance error between the actual distance x j x j 1 + L j 1 and the desired distance v j T
v i The longitudinal velocity of vehicle i L j 1 The length of the preceding vehicle j 1 in the platoon
v m a x The maximum allowed vehicle velocity on this road segment v d The velocity of the platoon leader
a c o n The acceleration a d The acceleration of the platoon leader
a i The longitudinal acceleration of vehicle i P n , j The vehicle index j of platoon P n
a m a x The maximum allowed vehicle acceleration on this road segment P L The set of platoon leader, P L = { P 1 , 1 L , P 2 , 1 L , , P n , 1 L }
lThe number of lanes P M The set of platoon members, P M = { P n , 2 M , P n , 3 M , , P n , L n ( t ) M }
LThe vehicle length L n ( t ) At time t, the number of P n platoon maximum member is L n ( t ) vehicles
L i 1 The length of the preceding vehicle i 1 d p g a p The inter-vehicle gap of two platoon members
ε i The relative distance between two vehicles γ The distance between the vehicle j and the preceding vehicle j 1 in the platoon
TThe time gap, which can be measured by the time required for the vehicle i to react to the possible collision and brake to stop λ Design constant for ACC
t r e a c t The time required for the vehicle i to react to the possible collision k 1 , k 2 , k 3 , k 4 , k 5 The static gain of CACC
t b r a k e The time required for the vehicle i to stop C 1 A weighting factor between the accelerations of the leader and the preceding vehicle
t e x i t i The exit time of the i th vehicle successfully exits the accident spot ξ The damping ratio
t a r r i v a l i The arrival time of the the i th vehicle ω The bandwidth of the controller
d g a p The safe distance between two vehicles (inter-vehicle distance) P C U , P R L , P F L Current/rear left/front left lane platoon
x b t n The position of the bottleneck v C U , v R L , v F L The velocity of platoon P C U / P R L / P F L
x n t f The position of the vehicle that gets notified from the bottleneck x C U , x R L , x F L The position of platoon P C U / P R L / P F L leader
PThe set of platoon, P = { P 1 , P 2 , . . . , P n } L C U , L F L The length of platoon P C U / P F L
jThe index of the vehicle in the platoon s a f e C U , R L The safety distance of the platoon P C U and P R L leader
x j The position of vehicle j in the platoon s a f e C U , F L The safety distance of the platoon P C U and P F L leader
v p The target platoon velocity t n , l 1 The time taken to reach its maximum velocity limit with the maximum acceleration limit
Δ d n , j The distance for the jth platoon member to catch up with the preceding platoon member t n , l 2 The time taken to maintain at the maximum velocity
a m a x The maximum acceleration limit t n , l 3 The time taken to decelerate to the target platoon speed with the maximum deceleration limit
a d m a x The maximum deceleration limit
Table 2. Comparison of related works.
Table 2. Comparison of related works.
Lit.System
Architecture
Control
Model
MergeLane
Change
CoordinationMethodology and AdvantageLimitation
[23]CentralizedACC
MPC
  •  Uses a mathematical-based scheme
  •  Fast execution
  •  Not applied for resolving temporary traffic bottleneck events
[24]CentralizedMPC   •  MPC longitudinal control
  •  Supports multiple control operations
  •  Supports collision avoidance
  •  Use for a platoon control only
[25]CentralizedIDM   •  Supports inter-platooning control
  •  Supports safe platoon merging
  •  Assumes perfect communications
[26]CentralizedCACC  •  DSRC-based platoon management
  •  Supports multi-platoon controls
  •  Not applied for resolving temporary traffic bottleneck events
[27]CentralizedCACC   •  Heuristic platoon control model
  •  Supports legacy networks
  •  No traffic scheduling for congested areas
[28]DecentralizedCACC   •  Multi-platoon control scheme
  •  Supports quick recovery connectivity
  •  Not applied for resolving temporary traffic bottleneck events
[29]DecentralizedCACC   •  Hybrid platoon control protocols
  •  Highly efficient planning
  •  Assumes perfect connection among vehicles
[30]DecentralizedWiedemann   •  Closed-form analytical solution
  •  Supports fuel saving
  •  Decentralized platoon control
  •  Not applied for resolving temporary traffic bottleneck events
[31]DecentralizedCACC   •  Decentralized platoon control model
  •  Use for legacy vehicular networks
  •  Not applied for resolving temporary traffic bottleneck events
ProposedDecentralizedACC
CACC
  •  Coordinates multi-platooning system
  •  Supports dynamic platoon size setting
  •  Decentralized platoon control model
  •  Traffic type is homogeneous
  •  Every vehicle must adopt the proposed algorithm to pass through the congestion spot
  •  Every vehicle must be equipped with an Advanced Driver Assistance System (ADAS) and V2X onboard units
Table 3. Parameters of the system model.
Table 3. Parameters of the system model.
ParameterSymbolValue
Vehicle length L i , L j 4 m
Acceleration of vehicles 3   m / s 2
Deceleration of vehicles 5   m / s 2
Velocity limit of Lane 3 vehicles30.55 m/s
Velocity limit of Lane 2 vehicles27.77 m/s
Velocity limit of Lane 1 vehicles25.00 m/s
Velocity limit of Lane 0 vehicles22.22 m/s
Inter-vehicle gap of platoon d p g a p 20 m
Platoon size{8, 9,…, 20}
Time gapT0.5 s
Control gain of signal feedback C 1 0.5
Damping ratio ξ 1
Controller bandwidth ω 0.2
Design constant for ACC λ 0.1
Table 4. The mean distance and mean time of the vehicles if all platoon members receive warning early.
Table 4. The mean distance and mean time of the vehicles if all platoon members receive warning early.
IndexMean DistanceMean Time
247.2 m1.7 s
394.4 m3.5 s
4141.5 m5.2 s
5188.7 m6.9 s
6235.8 m8.6 s
7282.9 m10.4 s
8330.0 m12.1 s
9377.1 m13.8 s
10424.2 m15.5 s
11471.3 m17.3 s
12518.4 m19.0 s
13565.4 m20.7 s
14612.4 m22.4 s
15659.4 m24.2 s
16706.3 m25.9 s
17753.2 m27.6 s
18800.0 m29.3 s
19846.8 m31.0 s
20893.4 m32.8 s
Table 5. The mean of remaining vehicles that did not execute lane-changing in Lane 1 and Lane 2.
Table 5. The mean of remaining vehicles that did not execute lane-changing in Lane 1 and Lane 2.
1500 m Ahead2500 m Ahead3500 m Ahead
MeanOverallMeanOverallMeanOverall
Lane 117.7 vehicle9.3%5.4 vehicle2.6%1.5 vehicle0.79%
Lane 239.4 vehicle16.7%21.6 vehicle8.6%4 vehicle1%
Publisher’s Note: MDPI stays neutral with regard to jurisdictional claims in published maps and institutional affiliations.

Share and Cite

MDPI and ACS Style

Lin, J.-Y.; Tsai, C.-C.; Nguyen, V.-L.; Hwang, R.-H. Coordinated Multi-Platooning Planning for Resolving Sudden Congestion on Multi-Lane Freeways. Appl. Sci. 2022, 12, 8622. https://doi.org/10.3390/app12178622

AMA Style

Lin J-Y, Tsai C-C, Nguyen V-L, Hwang R-H. Coordinated Multi-Platooning Planning for Resolving Sudden Congestion on Multi-Lane Freeways. Applied Sciences. 2022; 12(17):8622. https://doi.org/10.3390/app12178622

Chicago/Turabian Style

Lin, Jia-You, Chia-Che Tsai, Van-Linh Nguyen, and Ren-Hung Hwang. 2022. "Coordinated Multi-Platooning Planning for Resolving Sudden Congestion on Multi-Lane Freeways" Applied Sciences 12, no. 17: 8622. https://doi.org/10.3390/app12178622

APA Style

Lin, J.-Y., Tsai, C.-C., Nguyen, V.-L., & Hwang, R.-H. (2022). Coordinated Multi-Platooning Planning for Resolving Sudden Congestion on Multi-Lane Freeways. Applied Sciences, 12(17), 8622. https://doi.org/10.3390/app12178622

Note that from the first issue of 2016, this journal uses article numbers instead of page numbers. See further details here.

Article Metrics

Back to TopTop