Research on the Distribution Characteristics of Transformer Axial Vibration under Short-Circuit Conditions Considering Damping Parameters
Abstract
:Featured Application
Abstract
1. Introduction
2. Axial Vibration Model of Transformer Winding
2.1. Equivalent Model of Axial Vibration of the Transformer
2.2. Parameter Matrix Acquisition
3. Model Calculation Based on Actual Parameters of True Transformer
3.1. Model-Specific Parameters
3.2. Natural Frequencies and Mode Shapes
3.3. Displacement and Acceleration Variation Law of Disks at Different Frequencies
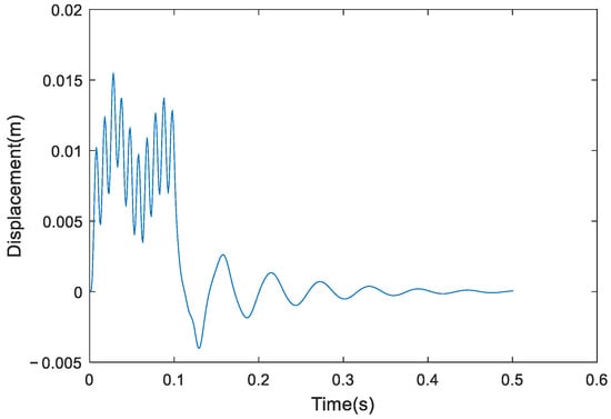
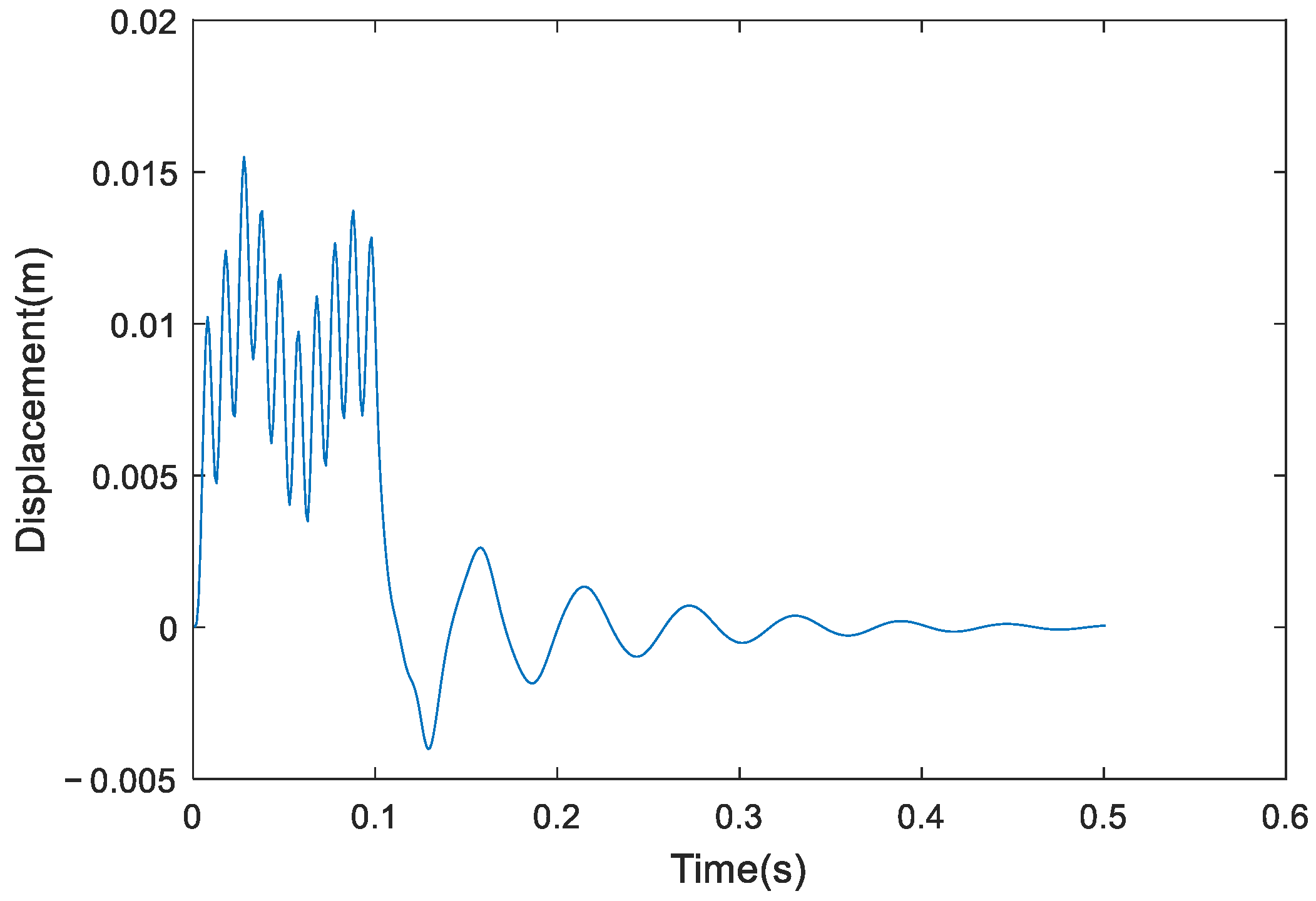
3.4. Displacement and Acceleration Variation Law of Disks at Power Frequency
4. Results
- (1)
- In this paper, an axial vibration model of the transformer winding, considering the system damping parameters, is built. Compared with the previous V-type and M-type mode shapes, the mode shape structure calculated in this paper is more detailed and refined. At the same time, the displacement and acceleration distributions of the model at different frequencies are illustrated by sweeping the frequency.
- (2)
- Under short-circuit conditions, the acceleration and displacement of the winding are distributed in a “VMV” type, and the displacement and acceleration reach peak values at 1/8 of the upper end and 1/8 of the lower end at the same time, and the displacement and acceleration at both ends of the winding are approaching to zero; in addition, the numerical distribution of displacement and acceleration in the middle of the winding is relatively flat. With the increase of the damping ratio, the vibration amplitude shows a decaying trend.
- (3)
- According to the calculation model, suggestions for the operation and maintenance of the transformer can be put forward. The positions of the sensors for measuring the vibration acceleration can be located at the two ends, the middle, one quarter, and one-eighth of the winding. In actual operation, attention should be paid to the vibration of the upper and lower ends of the winding and the deformation of the winding. When designing the structure of the transformer winding, it is especially necessary to improve the anti-deformation and stretching ability near both ends of the winding.
- (1)
- Comparative analysis with the actual transformer short-circuit test to verify whether the theory of axial vibration of transformer windings is insufficient.
- (2)
- Further analyze the influence of different short-circuit conditions or transformer overload on the axial vibration.
- (3)
- Considering the response of transformer winding radial vibration under short-circuit conditions, comprehensive axial vibration transformer winding vibration characteristics reflect the transformer winding vibration characteristics more comprehensively.
Author Contributions
Funding
Institutional Review Board Statement
Informed Consent Statement
Data Availability Statement
Conflicts of Interest
References
- Secic, A.; Krpan, M.; Kuzle, I. Vibro-Acoustic Methods in the Condition Assessment of Power Transformers: A Survey. IEEE Access 2019, 7, 83915–83931. [Google Scholar] [CrossRef]
- Yun, Z.; Shaoyi, L.; Xiaobo, H. Analysis of a 220kV transformer sudden short-circuit fault. Electr. Technol. 2018, 19, 94–98. [Google Scholar]
- Zhu, Y.; Ji, S.; Zhang, F.; Liu, Y.; Dong, H.; Cui, Z.; Wu, W. Vibration mechanism and influence factors in power transformers. J. Xi’an Jiaotong Univ. 2015, 49, 115–125. [Google Scholar]
- Mengyun, W. Fault statistics and analysis of transformers with 110 kV or higher voltage in 2004. Electr. Equip. 2005, 6, 35–41. [Google Scholar]
- Tenbohlen, S.; Vahidi, F.; Jagers, J.; Gebauer, J. A Worldwide Transformer Reliability Survey. In Proceedings of the VDE High Voltage Technology 2016; ETG-Symposium, Berlin, Germany, 14–16 November 2016; pp. 1–6. [Google Scholar]
- Bagheri, M.; Zollanvari, A.; Nezhivenko, S. Transformer fault condition prognosis using vibration signals over cloud environment. IEEE Access 2018, 6, 9862–9874. [Google Scholar] [CrossRef]
- Yichun, L. Calculation and Stability Analysis of Transformer Winding Short-Circuit Electrodynamic Force. Master’s Thesis, Harbin University of Science and Technology, Harbin, China, 2016. [Google Scholar]
- Xue, W.; Tao, W. Research on dynamic analysis of transformer winding deformation based on magnetic-structural direct coupling. Power Syst. Prot. Control 2017, 45, 24–30. [Google Scholar]
- Paoletti, G.J.; Herman, G. Monitoring of electrical equipment failure indicators and zero-planned outages: Past, present and future maintenance practices. In Proceedings of the Pulp and Paper Industry Conference, Charlotte, NC, USA, 23–27 June 2013; pp. 1–10. [Google Scholar]
- Wenbo, B.; Quan, B.; Haiyan, L. Vibration Mechanics Foundation and MATLAB Application; Tsinghua University Press: Beijing, China, 2015; pp. 1–2. [Google Scholar]
- Brincker, R.; Ventura, C. Introduction to Operational Modal Analysis, 1st ed.; Wiley: West Sussex, UK, 2015. [Google Scholar]
- Zhou, H.; Hong, K.; Huang, H.; Zhou, J. Transformer winding fault detection by vibration analysis methods. Appl. Acoust. 2016, 114, 136–146. [Google Scholar] [CrossRef]
- Zhenguang, L.; Chuncheng, W. Research on radial stability of transformer low-voltage windings using large-displacement geometric nonlinear theory. Transformer 2008, 39, 1–5. [Google Scholar]
- Ahn, H.M.; Oh, Y.H.; Kim, J.K.; Song, J.S.; Hahn, S.C. Experimental verification and finite element analysis of short-circuit electromagnetic force for dry-type transformer. IEEE Trans. Magn. 2012, 48, 819–822. [Google Scholar] [CrossRef]
- Yiwei, H. Research on Transformer Winding Fault Diagnosis Method Based on Spatial Vibration Distribution and Working Condition Modal Analysis. Master’s Thesis, Zhejiang University, Hangzhou, China, 2020. [Google Scholar]
- Yongming, X.; Rong, G.; Hongda, Z. Calculation of short-circuit electrodynamic force of power transformer windings. J. Electr. Mach. Control. 2014, 18, 36–42. [Google Scholar]
- Xiwen, W.; Yongteng, J.; Yongchao, Z.; Yan, L.; Dongxue, L.; Qiang, M. Calculation and Analysis of Dynamic Process of Short-Circuit Winding Deformation in Transformer. Transformers 2021, 58, 1–6+77. [Google Scholar]
- Allan, D.; Sharpley, W. The short circuit performance of trans-formers-a contribution to the alternative to direct testing. In Proceedings of the International Conference on Large High Voltage Electric Systems, Paris, France, 27 August–4 September 1980. [Google Scholar]
- Shengchang, J.; Fan, Z.; Guochao, Q.; Yeye, Z.; Hongkui, D.; Dexu, Z. Axial vibration characteristics and influencing factors of transformer windings under steady-state conditions. High Volt. Technol. 2016, 42, 3178–3187. [Google Scholar]
- Hong, K.; Huang, H.; Zhou, J. Winding condition assessment of power transformers based on vibration correlation. IEEE Trans. Power Del. 2017, 32, 1031–1038. [Google Scholar] [CrossRef]











| Elements | Definition |
|---|---|
| mn | the quality of the n-th layer of disk |
| kt and kb | equivalent stiffness between clamping rings and winding end |
| kn | equivalent stiffness between the n-th disk and the (n + 1)-th disk |
| ct and cb | equivalent viscous damping factors between clamping rings and winding end |
| cn | equivalent viscous damping factors between the n-th disk and the (n + 1)-th disk |
| xn(t) | displacement of n-th disk |
| n(t) | the speed of the n-th disk |
| n(t) | acceleration of the n-th disk |
| qn(t) | displacement of n-th disk in canonical modal coordinates |
| n(t) | the speed of n-th disk in canonical modal coordinates |
| n(t) | acceleration of n-th disk in canonical modal coordinates |
| ζr | r-th order damping ratio |
| Qr | the magnitude of the electric power received by each disk |
| ωnr | the r-order component of the natural frequency of the n-th mode shape |
| Ω | the frequency of the electric power received by each disk |
| φr | phase angle of electric power received by each disk |
| Parameters | Value | Unit |
|---|---|---|
| Conductor density | 8.9 | ρ/[g/cm3] |
| Turns of high voltage winding NH | 647 | [-] |
| Turns of medium voltage winding NM | 226 | [-] |
| Turns of low voltage winding NL | 107 | [-] |
| Cross-sectional area of high voltage winding SH | 61.44 | [mm2] |
| Cross-sectional area of medium voltage winding SM | 182.75 | [mm2] |
| Cross-sectional area of low voltage winding SL | 296.64 | [mm2] |
| Total length of high voltage winding LH | 2594 | [m] |
| Total length of medium voltage winding LM | 700 | [-] |
| Total length of low voltage winding LL | 245.5 | [m] |
| Elastic modulus E | 50 | [MPa] |
| Cushion block width aH | 50 | [mm] |
| Cushion block width aM | 40 | [mm] |
| Cushion block width aL | 30 | [mm] |
| Axial height of conductor bH | 11.8 | [mm] |
| Axial height of conductor bM | 14 | [mm] |
| Axial height of conductor bL | 6 | [mm] |
Publisher’s Note: MDPI stays neutral with regard to jurisdictional claims in published maps and institutional affiliations. |
© 2022 by the authors. Licensee MDPI, Basel, Switzerland. This article is an open access article distributed under the terms and conditions of the Creative Commons Attribution (CC BY) license (https://creativecommons.org/licenses/by/4.0/).
Share and Cite
Gao, S.; Sun, L.; Tian, Y.; Liu, H. Research on the Distribution Characteristics of Transformer Axial Vibration under Short-Circuit Conditions Considering Damping Parameters. Appl. Sci. 2022, 12, 8443. https://doi.org/10.3390/app12178443
Gao S, Sun L, Tian Y, Liu H. Research on the Distribution Characteristics of Transformer Axial Vibration under Short-Circuit Conditions Considering Damping Parameters. Applied Sciences. 2022; 12(17):8443. https://doi.org/10.3390/app12178443
Chicago/Turabian StyleGao, Shuguo, Lu Sun, Yuan Tian, and Hongliang Liu. 2022. "Research on the Distribution Characteristics of Transformer Axial Vibration under Short-Circuit Conditions Considering Damping Parameters" Applied Sciences 12, no. 17: 8443. https://doi.org/10.3390/app12178443
APA StyleGao, S., Sun, L., Tian, Y., & Liu, H. (2022). Research on the Distribution Characteristics of Transformer Axial Vibration under Short-Circuit Conditions Considering Damping Parameters. Applied Sciences, 12(17), 8443. https://doi.org/10.3390/app12178443
