Study on Dynamic Splitting Properties of S-PP Hybrid Fiber Concrete after High Temperatures
Abstract
:1. Introduction
2. Test Materials and Methods
2.1. Specimen Processing Process
2.2. Dynamic Splitting Test
2.3. Calculation of Dissipated Energy
3. Experimental Results and Analysis
3.1. Experimental Results
3.2. Dynamic Splitting Strength
3.3. Analysis of Damage Variables Based on Dissipative Energy
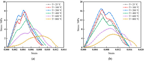
3.4. Characteristics of Stress–Strain Curve
3.5. Splitting Failure Form
4. Numerical Simulation
4.1. Establishment of Numerical Model
4.2. HJC Model Parameters of High Temperature Concrete
4.3. Simulation Curve Verification
4.4. Simulating Splitting Failure Process
5. Conclusions
Author Contributions
Funding
Institutional Review Board Statement
Informed Consent Statement
Data Availability Statement
Conflicts of Interest
References
- Shang, H.-S.; Song, Y.-P. Experimental study of strength and deformation of plain concrete under biaxial compression after freezing and thawing cycles. Cem. Concr. Res. 2006, 36, 1857–1864. [Google Scholar] [CrossRef]
- Ju, L.-Y.; Zhang, X. Effects of hybrid fiber on high performance concrete properties under high temperature. J. Tongji Univ. (Nat. Sci.) 2006, 34, 89–92, 101. [Google Scholar]
- Peng, G.-F.; Niu, X.-Q.; Cheng, K. Research on fire resistance of ultra-high performance concrete: A review. Mater. Rep. 2017, 31, 17–23. [Google Scholar]
- Du, Y.; Yan, A.-Y.; Qi, H.-H. Spalling prevention of fibre reinforced ultra-high strength concrete (FRUHSC) subject to high temperature. J. Build. Mater. 2021, 24, 216–223. [Google Scholar]
- Cui, G.-Y.; Song, B.-H.; Wang, D.-Y.; Xiao, J. Model test study on seismic performance of fiber reinforced concrete lining applied at the interface section of soft and hard surrounding rock of tunnel. Chin. J. Rock Mech. Eng. 2021, 40, 2653–2661. [Google Scholar]
- Yu, J.-Q.; Qiao, H.-X.; Zhu, F.-F.; Wang, X.-K. Effect of salt spray corrosion on fatigue performance of fiber concrete based on GM(1,1) -markov model. J. Build. Mater. 2022, 11, 1–11. [Google Scholar]
- Li, L.; Tao, J.-C.; Cao, M.-L.; Li, Z.-L. Constitutive relation of uniaxial compression of hybrid fiber reinforced mortar after high temperature. Acta Mater. Compos. Sin. 2021, 39, 1–12. [Google Scholar]
- Chi, Y.; Yin, C.-R.; Xu, L.-H.; Wang, S.-N.; Chen, Z.-J. Compressive Mechanical Properties of Steel-polypropylene Hybrid Fiber Reinforced Ultrahigh-Perfromance Concrete under Cyclic Compression. J. Chin. Ceram. Soc. 2021, 49, 2331–2345. [Google Scholar]
- Heo, Y.-S.; Sanjayan, J.-G.; Han, C.-G. Relationship between inter-aggregate spacing and the optimum fiber length for spalling protection of concrete in fire. Cem. Concr. Res. 2012, 42, 549–557. [Google Scholar] [CrossRef]
- Tang, W.; Zhang, G.-T.; Dong, H.-J.; Li, M.; Wen, Y. Review on durability of fiber concrete. Mater. Rep. 2014, 28, 123–127. [Google Scholar]
- Xu, L.-H.; Huang, L.; Chi, Y.; Mei, G.-D. Tensile behavior of steel-polypropylene hybrid fiber-reinforced concrete. Mater. J. 2016, 113, 219–229. [Google Scholar] [CrossRef]
- Wu, T.; Yang, X.; Liu, X. Properties of Self-compacting Lightweight Concrete Reinforced with Hybrid Steel and Polypropylene Fibers. J. Build. Mater. 2021, 24, 268–275, 282. [Google Scholar]
- Aref, A.; Husain, A.; Tarek, A. Mechanical properties of hybrid fibre-reinforced concrete—Analytical modelling and experimental behavior. Mag. Concr. Res. 2016, 68, 823–843. [Google Scholar]
- Ding, Y.-N.; Zhang, C.; Cao, M.-L. Influence of different fibers on the change of pore pressure of self-consolidating concrete exposed to fire. Constr. Build. Mater. 2016, 113, 456–469. [Google Scholar] [CrossRef]
- International Society for Rock Mechanics (ISRM). Suggested methods for determining tensile strength of rock materials. Int. J. Rock Mech. Min. Sci. 1978, 15, 124. [Google Scholar] [CrossRef]
- Wang, Q.-Z.; Li, W.; Xie, H.-P. Dynamic split tensile test of flattened Brazilian disc of rock with SHPB setup. Mech. Mater. 2009, 41, 252–260. [Google Scholar] [CrossRef]
- Hu, J.; Ding, K.-W.; Wei, L. Compressive and splitting behavior of EPS concrete under static loading. J. Build. Mater. 2015, 18, 737–741. [Google Scholar]
- Xu, L.-H.; Li, B.; Chi, Y. Experimental investigation on stress-strain relation of steel-polypropylene hybrid fiber reinforced concrete subjected to uniaxial cyclic compression. J. Build. Struct. 2018, 39, 140–152. [Google Scholar]
- Li, T.; Zhang, X.-D.; Liu, H.-X.; Fan, J.-Z.; Chen, J. Experimental research on mechanical properties of hybrid fiber concrete after high temperature. J. Railw. Sci. Eng. 2020, 17, 1171–1177. [Google Scholar]
- Wang, Z.-H.; Xu, J.-Y.; Wang, T.-J.; Meng, B.-X.; Liu, G.-J. Research on biaxial dynamic mechanical properties of concrete after high temperature under combined static and dynamic loads. J. Civ. Environ. Eng. 2021, 43, 94–101. [Google Scholar]
- Wang, Q.-Z.; Xing, L. Determination of fracture toughness KIC by using the flattened Brazilian disk specimen for rocks. Eng. Fract. Mech. 1999, 64, 193–201. [Google Scholar] [CrossRef]
- Wang, Q.-Z.; Jia, X.-M. Determination of elastic modulus, tensile strength and fracture toughness of brittle rocks by using flattened Brazilian disk specimen—Part1: Analytical and numerical results. Chin. J. Rock Mech. Eng. 2002, 21, 1285–1289. [Google Scholar]
- Wu, X.-T.; Hu, J.; Xie, S.-F. Dynamic splitting-tensile strength and energy dissipation property of EPS concrete. Explos. Shock. Waves 2013, 33, 369–374. [Google Scholar]
- Wu, X.-T.; Dai, R.-Q.; Chen, D.-X.; Yu, Z.-Q. Energy Dissipation Analysis on Dynamic Splitting-Tensile Test of Steel Fiber Reinforced Concrete. Chin. J. Appl. Mech. 2009, 26, 151–154, 218. [Google Scholar]
- Zhao, Y.-X.; Gong, S.; Huang, Y.-Q. Experimental study on energy dissipation characteristics of coal samples under impact loading. J. China Coal Soc. 2015, 40, 2320–2326. [Google Scholar]
- Jin, F.-N.; Jiang, M.-R.; Gao, X.-L. Defining damage variable based on energy dissipation. Chin. J. Rock Mech. Eng. 2004, 23, 1976–1980. [Google Scholar]
- Li, L.-Y.; Xu, Z.-Q.; Xie, H.-P.; Ju, Y.; Ma, X.; Han, Z.-C. Failure experimental study on energy laws of rock under differential dynamic impact velocities. J. China Coal Soc. 2011, 36, 2007–2011. [Google Scholar]
- Zhao, J.; Miu, C.-G.; Yao, R.-S. Brazilian Disc Dynamic Split Test of High Strength Concrete. J. Henan Univ. Sci. Technol. (Nat. Sci.) 2017, 38, 7, 56–60. [Google Scholar]
- Yuan, L.-Z.; Miao, C.-H.; Shan, J.-F.; Wang, P.-F.; Xu, S.-L. On strain-rate and inertia effects of concrete samples under impact. Explos. Shock. Waves 2022, 42, 18–30. [Google Scholar]
- Li, R.; Liu, L.; Zhang, Z.-H.; Wang, Y. Numerical simulation of marble damaged by high temperature in SHPB experiment based on HJC model. Eng. Blasting 2022, 28, 37–44. [Google Scholar]
- Ren, G.-M.; Wu, H.; Fang, Q.; Zhou, J.-W.; Gong, Z.-M. Determinations of HJC constitutive model parameters for normal strength concrete. J. Vib. Shock. 2016, 35, 9–16. [Google Scholar]
- Wu, S.; Zhao, J.-H.; Wang, J.; Li, N.; Li, Y. Study on parameters of HJC constitutive model based on numerical simulation of concrete SHPB test. Chin. J. Comput. Mech. 2015, 32, 789–795. [Google Scholar]















| Material Type | Density (kg/m3) | SiO2 (%) | Al2O3 (%) | CaO (%) | MgO (%) | Fe2O3 (%) | SO3 (%) | LOI (%) |
|---|---|---|---|---|---|---|---|---|
| Cement | 2930 | 7.21 | — | 30.5 | 3.13 | 2.21 | 1.93 | 2.96 |
| Fly ash | 2550 | 45.1 | 24.2 | 5.6 | 1.72 | 3.58 | 2.1 | 4.7 |
| Fiber Type | Diameter | Length (mm) | Density (kg/m3) | Elastic Modulus (GPa) | Tensile Strength (MPa) | Ultimate Elongation (%) |
|---|---|---|---|---|---|---|
| Steel fiber | 1000 | 35 | 7850 | 202 | 1000 | 2.6 |
| Polypropylene fiber | 48 | 12 | 910 | 4.8 | 500 | 15 |
| Cement (kg/m3) | Water (kg/m3) | Sand (kg/m3) | Stone (kg/m3) | Fly Ash (kg/m3) | Water Reducer (kg/m3) |
|---|---|---|---|---|---|
| 463 | 185 | 541 | 1261 | 93 | 2.25 |
| Temperature (°C) | Fiber Content (%) | (MPa) | Temperature (°C) | Fiber Content (%) | (MPa) |
|---|---|---|---|---|---|
| 25 | PC | 7.20 | 100 | PC | 7.77 |
| S0.5PP0.2 | 12.13 | S0.5PP0.2 | 14.05 | ||
| S1PP0.2 | 14.89 | S1PP0.2 | 16.38 | ||
| S1.5PP0.2 | 13.52 | S1.5PP0.2 | 14.55 | ||
| S0.5PP0.4 | 11.42 | S0.5PP0.4 | 12.53 | ||
| S1PP0.4 | 10.81 | S1PP0.4 | 11.37 | ||
| S1.5PP0.4 | 10.17 | S1.5PP0.4 | 10.41 | ||
| 200 | PC | 8.16 | 400 | PC | 6.05 |
| S0.5PP0.2 | 14.52 | S0.5PP0.2 | 11.81 | ||
| S1PP0.2 | 16.93 | S1PP0.2 | 12.95 | ||
| S1.5PP0.2 | 15.13 | S1.5PP0.2 | 12.44 | ||
| S0.5PP0.4 | 13.32 | S0.5PP0.4 | 10.51 | ||
| S1PP0.4 | 8.52 | S1PP0.4 | 5.73 | ||
| S1.5PP0.4 | 8.20 | S1.5PP0.4 | 5.41 | ||
| 600 | PC | 4.14 | 800 | PC | 2.55 |
| S0.5PP0.2 | 7.73 | S0.5PP0.2 | 5.12 | ||
| S1PP0.2 | 8.39 | S1PP0.2 | 5.82 | ||
| S1.5PP0.2 | 8.06 | S1.5PP0.2 | 5.51 | ||
| S0.5PP0.4 | 7.28 | S0.5PP0.4 | 4.60 | ||
| S1PP0.4 | 4.33 | S1PP0.4 | 2.20 | ||
| S1.5PP0.4 | 3.87 | S1.5PP0.4 | 1.84 |
| Material Type | T (°C) | (MJ/s) | (J) | (104 J/m3) | (104 J/m3) | (–) |
|---|---|---|---|---|---|---|
| PC | 25 | 0.64 | 37.23 | 47.43 | 319.60 | 0.1484 |
| 100 | 0.63 | 39.22 | 49.96 | 335.77 | 0.1488 | |
| 200 | 0.67 | 42.33 | 53.92 | 366.81 | 0.1470 | |
| 400 | 0.61 | 36.01 | 45.87 | 307.91 | 0.1490 | |
| 600 | 0.62 | 30.46 | 38.80 | 245.10 | 0.1583 | |
| 800 | 0.59 | 23.48 | 29.91 | 174.71 | 0.1712 | |
| S1PP0.2 | 25 | 0.62 | 45.91 | 58.49 | 1160.43 | 0.0504 |
| 100 | 0.65 | 50.19 | 63.94 | 1329.36 | 0.0481 | |
| 200 | 0.61 | 54.05 | 68.85 | 1509.83 | 0.0456 | |
| 400 | 0.66 | 45.11 | 57.46 | 1134.41 | 0.0507 | |
| 600 | 0.58 | 37.76 | 48.10 | 837.98 | 0.0574 | |
| 800 | 0.63 | 30.91 | 39.38 | 576.52 | 0.0683 |
| Number | T (°C) | (kg/m3) | |||||||
|---|---|---|---|---|---|---|---|---|---|
| PC | 25 | 2310 | 13.5 | 41.6 | 3.99 | 13.89 | 0.000760 | 0.81 | 0.100 |
| 800 | 2181 | 2.75 | 14.8 | 2.38 | 4.93 | 0.000675 | 0.81 | 0.121 | |
| S1PP0.2 | 25 | 2430 | 21.3 | 53.2 | 4.52 | 17.73 | 0.000894 | 0.81 | 0.100 |
| 800 | 2317 | 4.28 | 27 | 3.22 | 9 | 0.000812 | 0.81 | 0.116 |
Publisher’s Note: MDPI stays neutral with regard to jurisdictional claims in published maps and institutional affiliations. |
© 2022 by the authors. Licensee MDPI, Basel, Switzerland. This article is an open access article distributed under the terms and conditions of the Creative Commons Attribution (CC BY) license (https://creativecommons.org/licenses/by/4.0/).
Share and Cite
Xu, Z.; He, T.; Liu, Y.; Chen, X.; Liu, L. Study on Dynamic Splitting Properties of S-PP Hybrid Fiber Concrete after High Temperatures. Appl. Sci. 2022, 12, 8437. https://doi.org/10.3390/app12178437
Xu Z, He T, Liu Y, Chen X, Liu L. Study on Dynamic Splitting Properties of S-PP Hybrid Fiber Concrete after High Temperatures. Applied Sciences. 2022; 12(17):8437. https://doi.org/10.3390/app12178437
Chicago/Turabian StyleXu, Zehui, Tong He, Yongwang Liu, Xinzuo Chen, and Lei Liu. 2022. "Study on Dynamic Splitting Properties of S-PP Hybrid Fiber Concrete after High Temperatures" Applied Sciences 12, no. 17: 8437. https://doi.org/10.3390/app12178437
APA StyleXu, Z., He, T., Liu, Y., Chen, X., & Liu, L. (2022). Study on Dynamic Splitting Properties of S-PP Hybrid Fiber Concrete after High Temperatures. Applied Sciences, 12(17), 8437. https://doi.org/10.3390/app12178437

