Differences in Rate of Force Development, Muscle Morphology and Maximum Strength between Weightlifters and Track and Field Throwers
Abstract
1. Introduction
2. Material and Methods
2.1. Participants
2.2. Experimental Procedure
2.3. Anthropometric Characteristics and Dual Energy X-ray Absorptiometry Measurement
2.4. Vastus Lateralis Muscle Architecture
2.5. Countermovement Jump and Rate of Force Development
2.6. 1-RM Strength
2.7. Statistical Analysis
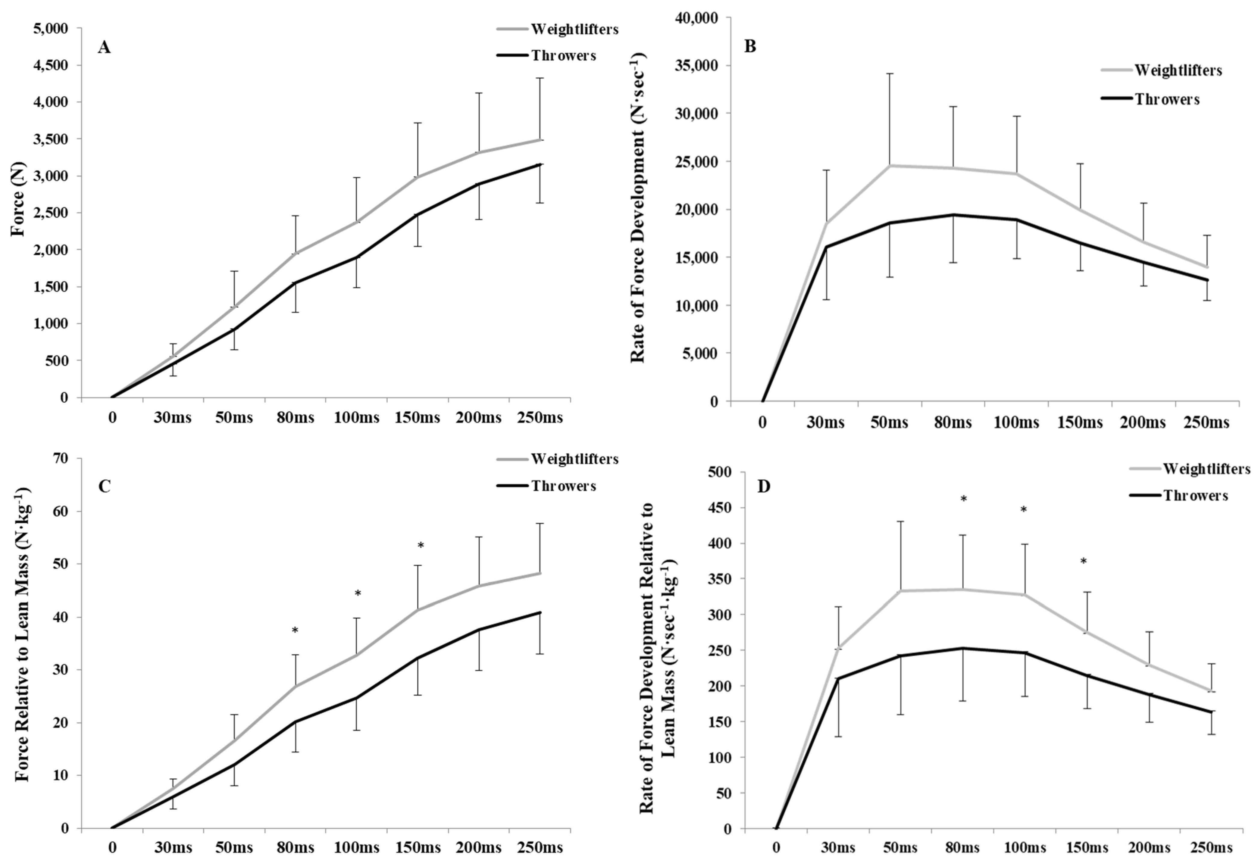
3. Results
4. Discussion
5. Concussions
Author Contributions
Funding
Institutional Review Board Statement
Informed Consent Statement
Data Availability Statement
Acknowledgments
Conflicts of Interest
References
- Neptune, R.R.; McGowan, C.P.; Fiandt, J.M. The influence of muscle physiology and advanced technology on sports performance. Annu. Rev. Biomed. Eng. 2009, 11, 81–107. [Google Scholar] [CrossRef] [PubMed][Green Version]
- Anousaki, E.; Zaras, N.; Stasinaki, A.-N.; Panidi, I.; Terzis, T.; Karampatsos, G. Effects of a 25-week periodized training macrocycle on muscle strength, power, muscle architecture, and performance in well-trained track and field throwers. J. Strength Cond. Res. 2021, 35, 2728–2736. [Google Scholar] [CrossRef] [PubMed]
- Hornsby, W.G.; Gentles, J.A.; MacDonald, C.J.; Mizuguchi, S.; Ramsey, M.W.; Stone, M.H. Maximum strength, rate of force development, jump height, and peak power alterations in weightlifters across five months of training. Sports 2017, 5, 78. [Google Scholar] [CrossRef] [PubMed]
- Suarez, D.G.; Mizuguchi, S.; Hornsby, W.G.; Cunanan, A.J.; Marsh, D.J.; Stone, M.H. Phase-specific changes in rate of force development and muscle morphology throughout a block periodized training cycle in weightlifters. Sports 2019, 7, 129. [Google Scholar] [CrossRef]
- Storey, A.; Smith, H.K. Unique aspects of competitive weightlifting: Performance, training and physiology. Sports Med. 2012, 42, 769–790. [Google Scholar] [CrossRef]
- Zaras, N.D.; Stasinaki, A.-N.; Methenitis, S.K.; Krase, A.A.; Karampatsos, G.P.; Georgiadis, G.V.; Spengos, K.M.; Terzis, G.D. Rate of force development, muscle architecture, and performance in young competitive track and field throwers. J. Strength Cond. Res. 2016, 30, 81–92. [Google Scholar] [CrossRef]
- Kyriazis, T.; Methenitis, S.; Zaras, N.; Stasinaki, A.-N.; Karampatsos, G.; Georgiadis, G.; Terzis, G. Effects of complex vs. compound training on competitive throwing performance. J. Strength Cond. Res. 2022, 36, 1866–1874. [Google Scholar] [CrossRef]
- Zaras, N.D.; Stasinaki, A.N.; Krase, A.A.; Methenitis, S.K.; Karampatsos, G.P.; Georgiadis, G.V.; Spengos, K.M.; Terzis, G.D. Effects of tapering with light vs heavy loads on track and field throwing performance. J. Strength Cond. Res. 2014, 28, 3484–3495. [Google Scholar] [CrossRef] [PubMed]
- Maffiuletti, N.A.; Aagaard, P.; Blazevich, A.J.; Folland, J.; Tillin, N.; Duchateau, J. Rate of force development: Physiological and methodological considerations. Eur. J. Appl. Physiol. 2016, 116, 1091–1116. [Google Scholar] [CrossRef] [PubMed]
- Aagaard, P.; Simonsen, E.B.; Andersen, J.L.; Magnusson, P.; Dyhre-Poulsen, P. Increased rate of force development and neural drive of human skeletal muscle following resistance training. J. Appl. Physiol. 2002, 93, 1318–1326. [Google Scholar] [CrossRef]
- Del Vecchio, A.; Negro, F.; Holobar, A.; Casolo, A.; Folland, J.P.; Felici, F.; Farina, D. You are as fast as your motor neurons: Speed of recruitment and maximal discharge of motor neurons determine the maximal rate of force development in humans. J. Physiol. 2019, 597, 2445–2456. [Google Scholar] [CrossRef] [PubMed]
- Methenitis, S.; Spengos, K.; Zaras, N.; Stasinaki, A.-N.; Papadimas, G.; Karampatsos, G.; Arnaoutis, G.; Terzis, G. Fiber type composition and rate of force development in endurance- and resistance-trained individuals. J. Strength Cond. Res. 2019, 33, 2388–2397. [Google Scholar] [CrossRef] [PubMed]
- Zaras, N.; Spengos, K.; Methenitis, S.; Papadopoulos, C.; Karampatsos, G.; Georgiadis, G.; Stasinaki, A.; Manta, P.; Terzis, G. Effects of strength vs. Ballistic-power training on throwing performance. J. Sports Sci. Med. 2013, 12, 130–137. [Google Scholar] [PubMed]
- Terzis, G.; Spengos, K.; Kavouras, S.; Manta, P.; Georgiadis, G. Muscle fiber type composition in hammer throwers. J. Sports Sci. Med. 2010, 9, 104–109. [Google Scholar] [PubMed]
- Costill, L.D.; Daniels, J.; Evans, W.; Fink, W.; Krahenbuhl, G.; Saltin, B. Skeletal muscle enzymes and fiber type composition in male and female track athletes. Eur. J. Appl. Phys. 1975, 40, 149–154. [Google Scholar] [CrossRef]
- Fry, A.C.; Schilling, B.K.; Staron, R.S.; Hagerman, F.C.; Hikida, R.S.; Thrush, J.T. Muscle fiber characteristics and performance correlates of male Olympic-style weightlifters. J. Strength Cond. Res. 2003, 17, 746–754. [Google Scholar] [CrossRef] [PubMed]
- Serrano, N.; Colenso-Semple, L.M.; Lazauskus, K.K.; Siu, J.W.; Bagley, J.R.; Lockie, R.G.; Costa, P.B.; Galpin, A.J. Extraordinary fast-twitch fiber abundance in elite weightlifters. PLoS ONE 2019, 14, 3. [Google Scholar] [CrossRef]
- Campos, J.; Poletaev, P.; Cuesta, A.; Pablos, C.; Carratalà, V. Kinematical analysis of the snatch in elite male junior weightlifters of different weight categories. J. Strength Cond. Res. 2006, 20, 843–850. [Google Scholar] [CrossRef]
- Isaka, T.; Okada, J.; Funato, K. Kinematic analysis of the barbell during the snatch movement of elite Asian weight lifters. J. Appl. Biomech. 1996, 12, 508–516. [Google Scholar] [CrossRef]
- Bartlett, R.M. The biomechanics of the discus throw: A review. J. Sports Sci. 1992, 10, 467–510. [Google Scholar] [CrossRef]
- Gutierrez, M.; Soto, M.V.; Rojas, J.F. A biomechanical analysis of the individual techniques of hammer throw finalists in the Seville Athletics World Championship 1999. New Stud. Athl. 2002, 17, 15–26. [Google Scholar]
- Zaras, N.; Stasinaki, A.-N.; Terzis, G. Biological Determinants of Track and Field Throwing Performance. J. Funct. Morphol. Kinesiol. 2021, 6, 40. [Google Scholar] [CrossRef] [PubMed]
- Siahkouhian, M.; Hedayatneja, M. Correlations of anthropometric and body composition variables with the performance of young elite weightlifters. J. Hum. Kin. 2010, 25, 125–131. [Google Scholar] [CrossRef]
- Zaras, N.; Stasinaki, A.-N.; Spiliopoulou, P.; Arnaoutis, G.; Hadjicharalambous, M.; Terzis, G. Rate of force development, muscle architecture, and performance in elite weightlifters. Int. J. Sports Physiol. Perform. 2020, 16, 216–223. [Google Scholar] [CrossRef] [PubMed]
- Zaras, N.; Stasinaki, A.-N.; Spiliopoulou, P.; Hadjicharalambous, M.; Terzis, G. Lean body mass, muscle architecture, and performance in well-trained female weightlifters. Sports 2020, 8, 67. [Google Scholar] [CrossRef]
- Ruiz-Cárdenasa, J.D.; Rodríguez-Juana, J.J.; Ríos-Díaza, J. Relationship between jumping abilities and skeletal muscle architecture of lower limbs in humans: Systematic review and meta-analysis. Hum. Mov. Sci. 2018, 58, 10–20. [Google Scholar] [CrossRef]
- Cormie, P.; McGuigan, M.R.; Newton, R.U. Adaptations in athletic performance after ballistic power versus strength training. Med. Sci. Sports Exerc. 2010, 42, 1582–1598. [Google Scholar] [CrossRef]
- Abe, T.; Fukashiro, S.; Harada, Y.; Kawamoto, K. Relationship between sprint performance and muscle fascicle length in female sprinters. J. Physiol. Anthropol. Appl. Hum. Sci. 2001, 20, 141–147. [Google Scholar] [CrossRef]
- Kumagai, K.; Abe, T.; Brechue, F.W.; Ryushi, T.; Takano, S.; Mizuno, M. Sprint performance is related to muscle fascicle length in male 100-m sprinters. J. Appl. Physiol. 2000, 88, 811–816. [Google Scholar] [CrossRef]
- Noorkoiv, M.; Stavnsbo, A.; Aagaard, P.; Blazevich, A.J. In vivo assessment of muscle fascicle length by extended field-of-view ultrasonography. J. Appl. Physiol. 2010, 109, 1974–1979. [Google Scholar] [CrossRef]
- Stasinaki, A.-N.; Zaras, N.; Methenitis, S.; Bogdanis, G.; Terzis, G. Rate of force, development and muscle architecture after fast and slow velocity eccentric training. Sports 2019, 7, 41. [Google Scholar] [CrossRef] [PubMed]
- Sayers, S.P.; Harackiewicz, D.V.; Harman, E.A.; Frykman, P.N.; Rosenstein, M.T. Cross-validation of three jump power equations. Med. Sci. Sports Exerc. 1999, 31, 572–577. [Google Scholar] [CrossRef] [PubMed]
- Zaras, N.; Stasinaki, A.; Spiliopoulou, P.; Mpampoulis, T.; Hadjicharalambous, M.; Terzis, G. Effect of Inter-Repetition Rest vs. Traditional Strength Training on Lower Body Strength, Rate of Force Development, and Muscle Architecture. Appl. Sci. 2021, 11, 45. [Google Scholar] [CrossRef]
- Haff, G.G.; Carlock, J.M.; Hartman, M.J.; Kilgore, J.L. Force-time curve characteristics of dynamic and isometric muscle actions of elite women Olympic weightlifters. J. Strength Cond. Res. 2005, 19, 741–748. [Google Scholar] [CrossRef] [PubMed]
- Häkkinen, K.; Komi, P.V.; Alén, M.; Kauhanen, H. EMG, muscle fibre and force production characteristics during a 1 year training period in elite weight-lifters. Eur. J. Appl. Physiol. Occup. Physiol. 1987, 56, 419–427. [Google Scholar] [CrossRef]
- Kyriazis, T.A.; Terzis, G.; Boudolos, K.; Georgiadis, G. Muscular power, neuromuscular activation, and performance in shot put athletes at preseason and at competition period. J. Strength Cond. Res. 2009, 23, 1773–1779. [Google Scholar] [CrossRef] [PubMed]
- Kavvoura, A.; Zaras, N.; Stasinaki, A.-N.; Arnaoutis, G.; Methenitis, S.; Terzis, G. The importance of lean body mass for the rate of force development in taekwondo athletes and track and field throwers. J. Funct. Morphol. Kinesiol. 2018, 3, 43. [Google Scholar] [CrossRef]
- Carlock, M.J.; Smith, S.L.; Hartman, M.J.; Morris, R.T.; Ciroslan, D.A.; Pierce, K.C.; Newton, R.U.; Harman, E.A.; Sands, W.A.; Stone, M.H. The relationship between vertical jump power estimates and weightlifting ability: A field-test approach. J. Strength Cond. Res. 2004, 18, 534–539. [Google Scholar] [CrossRef]
- Lieber, R.L.; Fridén, J. Functional and clinical significance of skeletal muscle architecture. Muscle Nerve Off. J. Am. Assoc. Electrodiagn. Med. 2000, 23, 1647–1666. [Google Scholar] [CrossRef]
- Brechue, W.F.; Abe, T. The role of FFM accumulation and skeletal muscle architecture in powerlifting performance. Eur. J. Appl. Physiol. 2002, 86, 327–336. [Google Scholar] [CrossRef]
- Garhammer, J. A comparison of maximal power outputs between elite male and female weightlifters in competition. Int. J. Sport Biomech. 1991, 7, 3–11. [Google Scholar] [CrossRef]
- Blazevich, A.J.; Wilson, C.J.; Alcaraz, P.E.; Rubio-Arias, J.A. Effects of Resistance Training Movement Pattern and Velocity on Isometric Muscular Rate of Force Development: A Systematic Review with Meta-analysis and Meta-regression. Sports Med. 2020, 50, 943–963. [Google Scholar] [CrossRef] [PubMed]


| Variable | Weightlifters | Throwers | p | Cohen’s d |
|---|---|---|---|---|
| Body Composition | ||||
| Body mass (kg) | 91.9 ± 11.4 | 98.4 ± 5.3 | 0.164 | 0.734 |
| Body height (m) | 1.78 ± 0.06 | 1.83 ± 0.06 * | 0.039 | 1.136 |
| Fat (%) | 16.9 ± 2.9 | 18.3 ± 4.4 | 0.483 | 0.360 |
| BMD (gr·cm−2) | 1.475 ± 0.09 | 1.441 ± 0.04 | 0.342 | 0.495 |
| LMI (kg·m−2) | 23.1 ± 1.9 | 23.1 ± 1.2 | 0.988 | 0.006 |
| Total lean mass (kg) | 72.2 ± 8.2 | 77.5 ± 4.7 | 0.132 | 0.799 |
| Legs lean mass (kg) | 26.4 ± 2.8 | 25.3 ± 3.7 | 0.497 | 0.348 |
| Trunk Lean Mass (kg) | 32.2 ± 4.9 | 38.9 ± 3.4 * | 0.007 | 1.588 |
| Arms lean mass (kg) | 9.1 ± 1.1 | 8.3 ± 1.0 | 0.164 | 0.736 |
| Trunk and arms lean mass (kg) | 41.3 ± 5.9 | 47.2 ± 3.1 * | 0.025 | 1.252 |
| Countermovement Jump Performance | ||||
| CMJ height (cm) | 49.3 ± 6.1 | 38.9 ± 5.7 * | 0.003 | 1.770 |
| CMJ power (W) | 4897.2 ± 625.9 | 4821.4 ± 434.9 | 0.783 | 0.140 |
| CMJ relative to body mass (W·kg−1) | 53.3 ± 3.1 | 48.9 ± 3.1 * | 0.013 | 1.415 |
| Vastus Lateralis Muscle Architecture | ||||
| VL muscle thickness (cm) | 2.96 ± 0.16 | 2.86 ± 0.35 | 0.495 | 0.356 |
| VL fascicle angle (°) | 20.6 ± 3.6 | 22.7 ± 4.4 | 0.314 | 0.522 |
| VL fascicle length (cm) | 9.31 ± 1.45 | 8.02 ± 0.86 * | 0.035 | 1.084 |
| VL fascicle length relative to body height (cm·m−1) | 5.28 ± 0.88 | 4.38 ± 0.52 * | 0.018 | 1.249 |
| LMI | CMJ Height | CMJ Power | CMJ Power per BM | |
|---|---|---|---|---|
| Snatch | 0.498 * | 0.685 ** | 0.528 * | 0.558 * |
| Back Squat | 0.667 * | 0.553 * | 0.522 * | 0.342 |
| RFD30 ms | RFD50 ms | RFD80 ms | RFD100 ms | RFD150 ms | RFD200 ms | RFD250 ms | |
|---|---|---|---|---|---|---|---|
| Snatch | 0.550 * | 0.593 * | 0.608 * | 0.627 ** | 0.637 ** | 0.610 * | 0.605 * |
| Back Squat | 0.521 * | 0.534 * | 0.502 * | 0.527 * | 0.539 * | 0.521 * | 0.515 * |
Publisher’s Note: MDPI stays neutral with regard to jurisdictional claims in published maps and institutional affiliations. |
© 2022 by the authors. Licensee MDPI, Basel, Switzerland. This article is an open access article distributed under the terms and conditions of the Creative Commons Attribution (CC BY) license (https://creativecommons.org/licenses/by/4.0/).
Share and Cite
Zaras, N.; Methenitis, S.; Stasinaki, A.-N.; Spiliopoulou, P.; Anousaki, E.; Karampatsos, G.; Hadjicharalambous, M.; Terzis, G. Differences in Rate of Force Development, Muscle Morphology and Maximum Strength between Weightlifters and Track and Field Throwers. Appl. Sci. 2022, 12, 8031. https://doi.org/10.3390/app12168031
Zaras N, Methenitis S, Stasinaki A-N, Spiliopoulou P, Anousaki E, Karampatsos G, Hadjicharalambous M, Terzis G. Differences in Rate of Force Development, Muscle Morphology and Maximum Strength between Weightlifters and Track and Field Throwers. Applied Sciences. 2022; 12(16):8031. https://doi.org/10.3390/app12168031
Chicago/Turabian StyleZaras, Nikolaos, Spyridon Methenitis, Angeliki-Nikoletta Stasinaki, Polyxeni Spiliopoulou, Eleni Anousaki, Giorgos Karampatsos, Marios Hadjicharalambous, and Gerasimos Terzis. 2022. "Differences in Rate of Force Development, Muscle Morphology and Maximum Strength between Weightlifters and Track and Field Throwers" Applied Sciences 12, no. 16: 8031. https://doi.org/10.3390/app12168031
APA StyleZaras, N., Methenitis, S., Stasinaki, A.-N., Spiliopoulou, P., Anousaki, E., Karampatsos, G., Hadjicharalambous, M., & Terzis, G. (2022). Differences in Rate of Force Development, Muscle Morphology and Maximum Strength between Weightlifters and Track and Field Throwers. Applied Sciences, 12(16), 8031. https://doi.org/10.3390/app12168031

