The Analysis of WJ Distribution as an Extended Gaussian Function: Case Study
Abstract
1. Introduction
1.1. Backgrounds
1.2. Important Application of WJ Distribution to KWW Relaxation
1.3. More Non-Gaussian Distributions
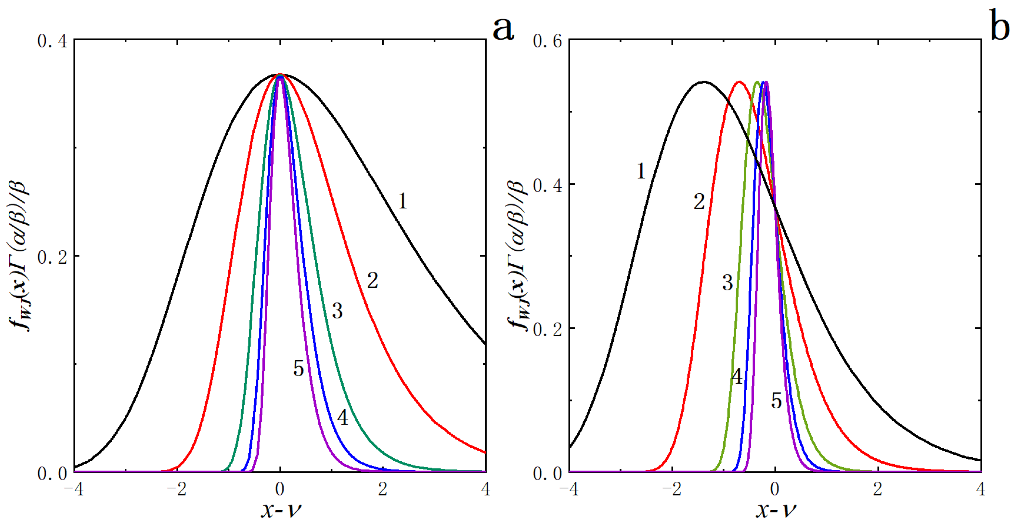
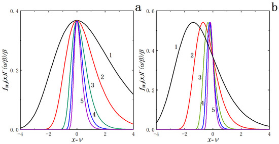
1.4. Some Initial Considerations of the WJ Distribution
1.5. Content of This Work
1.6. Contribution of This Work
2. Methods
2.1. Theoretical Considerations
2.2. Methodological Considerations
3. Results and Discussion
3.1. Method I
3.1.1. Development of the Method
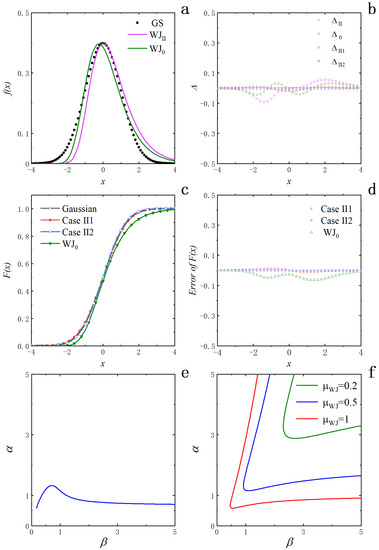
3.1.2. Numerical Appraisal: As an Accurate, Self-Consistent Method
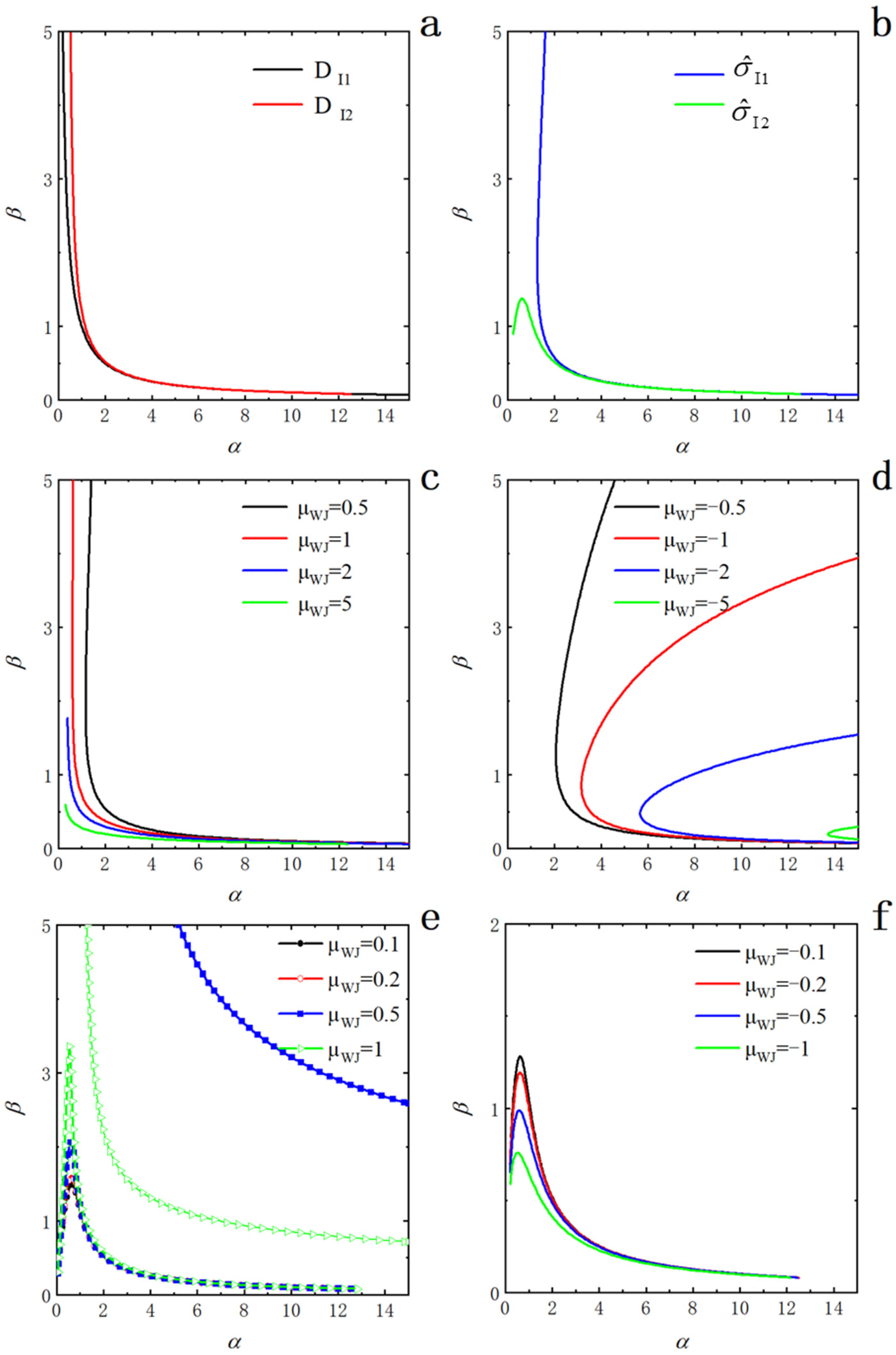
3.1.3. Parameter Scaling Relations: Generalization
3.1.4. Investigation of Parameter Solution Spaces of the WJ Distribution
3.2. Method II
3.2.1. Development of the Method
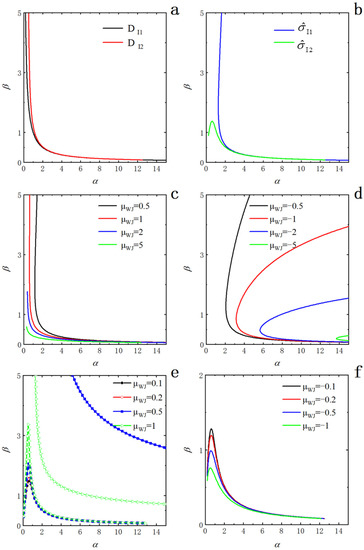
3.2.2. Numerical Assessment
3.2.3. An Account of the Differences between Methods I and II
3.3. Method III
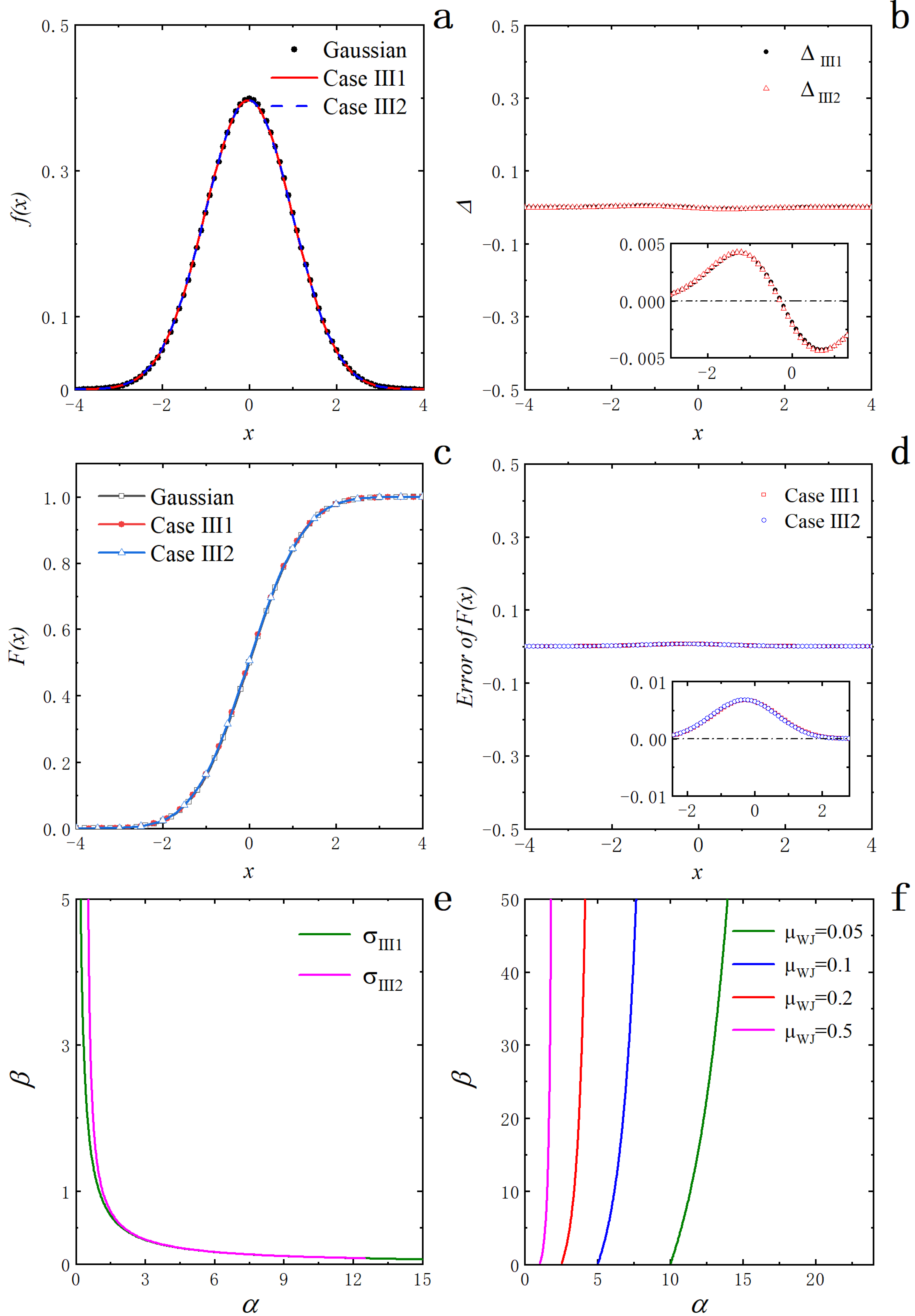
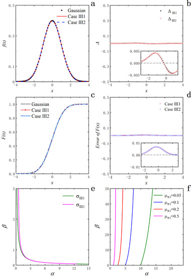
3.3.1. Development of the Method
3.3.2. Numerical Verifications: As an Accurate, Self-Consistent Approach
3.4. On the Relationship of the Three Methods
3.5. On Mutual Fitting of WJ Distributions and Arbitrary Gaussian Functions
3.6. Analyses of Typical Cases
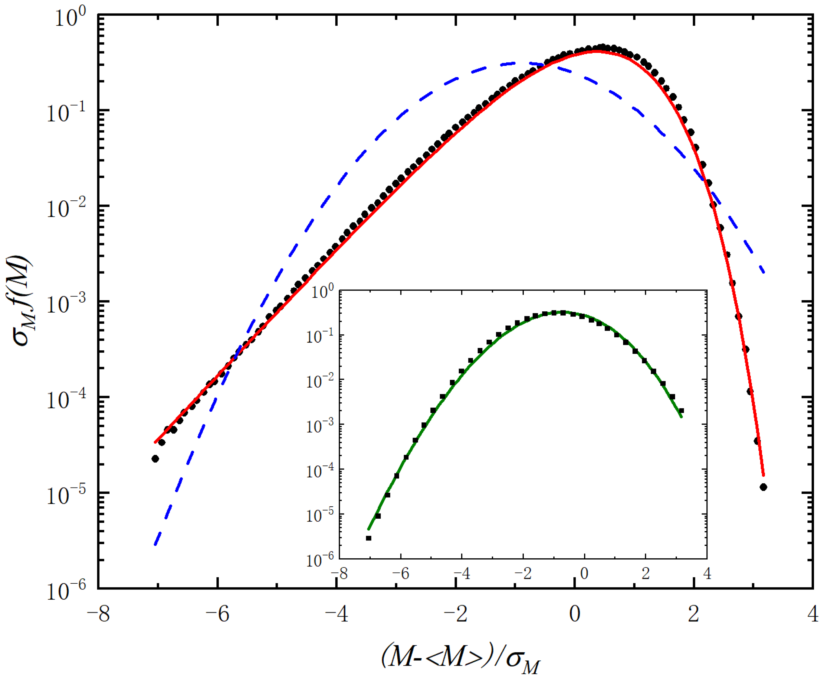
3.6.1. Application to Advanced Magnetism
3.6.2. Application to Topical Medical Imaging Analyses
4. Conclusions and Future Research
Author Contributions
Funding
Institutional Review Board Statement
Informed Consent Statement
Data Availability Statement
Acknowledgments
Conflicts of Interest
References
- Krishnamoorthy, K. Handbook of Statistical Distributions with Applications; Chapman & Hall/CRC: New York, NY, USA, 2006. [Google Scholar]
- Ross, S.M. Introduction to Probability Models, 10th ed.; Elsevier: San Diego, CA, USA, 2010. [Google Scholar]
- Agresti, A.; Hitchcock, D.B. Bayesian inference for categorical data analysis. Statist. Meth. Appl. 2005, 14, 297–330. [Google Scholar] [CrossRef]
- Bryc, W. The Normal Distribution: Characterizations with Applications; Springer: New York, NY, USA, 1995. [Google Scholar]
- Deano, A.; Simm, N. Characteristic polynomials of complex random matrices and Painlev´e transcendents. Intern. Math. Res. Not. 2022, 2022, 210–264. [Google Scholar] [CrossRef]
- Gorban, A.N.; Tyukin, I.Y. Blessing of dimensionality: Mathematical foundations of the statistical physics of data. Phil. Trans. R. Soc. A 2018, 376, 20170237. [Google Scholar] [CrossRef] [PubMed]
- Listewnik, M.H.; Piwowarska-Bilska, H.; Safranow, K.; Iwanowski, J.; Laszczynska, M.; Chosia, M.; Ostrowski, M.; Birkenfeld, B.; Oszutowska-Mazurek, D.; Mazurek, P. Estimation of Parameters of Parathyroid Glands Using Particle Swarm Optimization and Multivariate Generalized Gaussian Function Mixture. Appl. Sci. 2019, 9, 4511. [Google Scholar] [CrossRef]
- Fan, S.K.S.; Lin, Y. A fast estimation method for the generalized Gaussian mixture distribution on complex images. Comput. Vis. Image Underst. 2009, 113, 839–853. [Google Scholar] [CrossRef]
- Shalliker, R.A.; Stevenson, P.G.; Shock, D.; Mnatsakanyan, M.; Dasgupta, P.K.; Guiochon, G. Application of power functions to chromatographic data for the enhancement of signal to noise ratios and separation resolution. J. Chromatogr. A 2010, 1217, 5693–5699. [Google Scholar] [CrossRef]
- Saravanan, R.; Chakraborty, A. Exact diffusion dynamics of a Gaussian distribution in one-dimensional two-state system. Chem. Phys. Lett. 2019, 731, 136567. [Google Scholar] [CrossRef]
- Souza, A.M.C.; Andrade, R.F.S.; Nobre, F.D.; Curado, E.M.F. Thermodynamic framework for compact q-Gaussian distributions. Phys. A 2018, 491, 153–166. [Google Scholar] [CrossRef]
- Stsepuro, N.; Nosov, P.; Galkin, M.; Krasin, G.; Kovalev, M.; Kudryashov, S. Generating Bessel-Gaussian Beams with Controlled Axial Intensity Distribution. Appl. Sci. 2020, 10, 7911. [Google Scholar] [CrossRef]
- Wu, J.H.; Jia, Q. A universal mechanism of extreme events and critical phenomena. Sci. Rep. 2016, 6, 21612. [Google Scholar] [CrossRef]
- Albeverio, S.; Jentsch, V.; Kantz, H. (Eds.) Extreme Events in Nature and Society; Springer: Berlin/Heidelberg, Germany, 2006. [Google Scholar]
- Fortin, J.Y.; Clusel, M. 2015 Applications of extreme value statistics in physics. J. Phys. A 2006, 48, 183001. [Google Scholar] [CrossRef]
- Bramwell, S.T. The distribution of spatially averaged critical properties. Nat. Phys. 2009, 5, 443–447. [Google Scholar] [CrossRef]
- Wu, J.H.; Jia, Q. The heterogeneous energy landscape expression of KWW relaxation. Sci. Rep. 2016, 6, 20506. [Google Scholar] [CrossRef]
- Liang, G.Y.; Xue, H.; Jia, Q.; Wu, J.H. Some Properties of the WJ Distribution and Implication in Information Theory. J. Phys. Conf. Ser. 2019, 1237, 022081. [Google Scholar] [CrossRef]
- Pisarchik, A.N.; Grubov, V.V.; Maksimenko, V.A.; Lüttjohann, A.; Frolov, N.S.; Marqués-Pascual, C.; Gonzalez-Nieto, D.; Khramova, M.V.; Hramov, A.E. Extreme events in epileptic EEG of rodents after ischemic stroke. Eur. Phys. J. 2018, 227, 921–932. [Google Scholar] [CrossRef]
- Vincze, T.; Micjan, M.; Nevrela, J.; Donoval, M.; Weis, M. Photoresponse Dimensionality of Organic Field-Effect Transistor. Materials 2021, 14, 7465. [Google Scholar] [CrossRef]
- Katsarou, A.F.; Tsamopoulos, A.J.; Tsalikis, D.G.; Mavrantzas, V.G. Dynamic Heterogeneity in Ring-Linear Polymer Blends. Polymers 2020, 12, 752. [Google Scholar] [CrossRef]
- Phillips, J.C. Stretched exponential relaxation in molecular and electronic glasses. Rep. Prog. Phys. 1996, 59, 1133–1207. [Google Scholar] [CrossRef]
- Morshedifard, A.; Masoumi, S.; Qomi, M.J.A. Nanoscale origins of creep in calcium silicate hydrates. Nat. Commun. 2018, 9, 1785. [Google Scholar] [CrossRef]
- Medina, J.S.; Arismendi-Arrieta, D.J.; Aleman, J.V.; Prosmiti, R. Developing time to frequency-domain descriptors for relaxation processes: Local trends. J. Mol. Liq. 2017, 245, 62–70. [Google Scholar] [CrossRef][Green Version]
- Qiao, J.C.; Chen, Y.X.; Pelletier, J.M.; Kato, H.; Crespo, D.; Yao, Y.; Khonik, V.A. Viscoelasticity of Cu- and La-based bulk metallic glasses: Interpretation based on the quasi-point defects theory. Mat. Sci. Eng. A-Struct. Mater. Prop. Microstruct. Proc. 2018, 719, 164–170. [Google Scholar] [CrossRef]
- Abe, H.; Yamada, T.; Shibata, K. Dynamic properties of nano-confined water in an ionic liquid. J. Mol. Liq. 2018, 264, 54–57. [Google Scholar] [CrossRef]
- Crisanto-Neto, J.C.; da Luz, M.G.E.; Raposo, E.P.; Viswanathan, G.M. An efficient series approximation for the Levy alpha-stable symmetric distribution. Phys. Lett. A 2018, 382, 2408–2413. [Google Scholar] [CrossRef]
- Aydiner, E. A Simple Model for Stretched Exponential Relaxation in Three-Level Jumping Process. Phys. Stat. Sol. B-Basic Sol. Stat. Phys. 2019, 256, 1900103. [Google Scholar] [CrossRef]
- Choi, S.; Moon, S.; Park, Y. Spectroscopic Investigation of Entropic Canopy-Canopy Interactions of Nanoparticle Organic Hybrid Materials. Langmuir 2020, 36, 9626–9633. [Google Scholar] [CrossRef]
- Aydiner, E. Memory effects and KWW relaxation of the interacting magnetic nano-particles. Phys. A 2021, 572, 125895. [Google Scholar] [CrossRef]
- Malik, A.; Kashyap, H.K. Multiple evidences of dynamic heterogeneity in hydrophobic deep eutectic solvents. J. Chem. Phys. 2021, 155, 044502. [Google Scholar] [CrossRef] [PubMed]
- Araki, T.; Gomez-Solano, J.R.; Maciolek, A. Relaxation to steady states of a binary liquid mixture around an optically heated colloid. Phys. Rev. E 2022, 105, 014123. [Google Scholar] [CrossRef]
- McKenzie, I.; Fujimoto, D.; Karner, V.L.; Li, R.H.; MacFarlane, W.A.; McFadden, R.M.L.; Morris, G.D.; Pearson, M.R.; Raegen, A.N.; Stachura, M.; et al. A beta-NMR study of the depth, temperature, and molecular-weight dependence of secondary dynamics in polystyrene: Entropy-enthalpy compensation and dynamic gradients near the free surface. J. Chem. Phys. 2022, 156, 084903. [Google Scholar] [CrossRef]
- Borelli, A.N.; Young, M.W.; Kirkpatrick, B.E.; Jaeschke, M.W.; Mellett, S.; Porter, S.; Blatchley, M.R.; Rao, V.V.; Sridhar, B.V.; Anseth, K.S. Stress Relaxation and Composition of Hydrazone-Crosslinked Hybrid Biopolymer-Synthetic Hydrogels Determine Spreading and Secretory Properties of MSCs. Adv. Healthc. Mater. 2022, 11, 2200393. [Google Scholar] [CrossRef]
- Evans, M.; Hastings, N.; Peacock, B. Statistical Distributions; John Wiley & Sons, Inc.: New York, NY, USA, 2000. [Google Scholar]
- Sabino, T.S.; Carneiro, A.M.C.; Carvalho, R.P.; Pires, F.M.A. The impact of non-Gaussian height distributions on the statistics of isotropic random rough surfaces. Trib. Inter. 2022, 173, 107578. [Google Scholar] [CrossRef]
- Azzalini, A. A class of distributions which includes the normal ones. Scand. J. Statist. 1985, 12, 171–178. [Google Scholar]
- Azzalini, A.; Capitanio, A. The Skew-Normal and Related Families; Cambridge University Press: New York, NY, USA, 2014. [Google Scholar] [CrossRef]
- Ashour, S.K.; Abdel-Hameed, M.A. Approximate skew normal distribution. J. Adv. Res. 2010, 1, 341–350. [Google Scholar] [CrossRef]
- Mudholkar, G.S.; Hutson, A.D. The epsilon–skew–normal distribution for analyzing near-normal data. J. Statist. Plan. Infer. 2000, 83, 291–309. [Google Scholar] [CrossRef]
- Kendal, W.S.; Jørgensen, B. Tweedie convergence: A mathematical basis for Taylor’s power law, 1/ f noise, and multifractality. Phys. Rev. E 2011, 84, 066120. [Google Scholar] [CrossRef] [PubMed]
- Dyre, J.C. Hidden Scale Invariance in Condensed Matter. J. Phys. Chem. B 2014, 118, 10002–10024. [Google Scholar] [CrossRef] [PubMed]
- Arnold, V.I.; Afrajmovich, V.S.; Ilyashenko, Y.S.; Shilnikov, L.P. Bifurcation Theory and Catastrophe Theory; Springer: Berlin/Heidelberg, Germany, 1994. [Google Scholar]
- Guardia, M.; Seara, T.M.; Teixeira, M.A. Generic bifurcations of low codimension of planar Filippov systems. J. Diff. Eq. 2011, 250, 1967–2023. [Google Scholar] [CrossRef]
- Bramwell, S.T.; Holdsworth, P.C.W.; Pinton, J.F. Universality of rare fluctuations in turbulence and critical phenomena. Nature 1998, 396, 552–554. [Google Scholar] [CrossRef]









| WJ fitting GS | 0 | 1 | 12.52 | 0.07915 | 63.96 | 0.9997 |
| −1 | 0.5 | 25.01 | 0.1575 | 31.17 | 0.9998 | |
| 1 | 2 | 6.251 | 0.0399 | 127.6 | 0.9998 | |
| 2 | 5 | 2.526 | 0.01584 | 322.1 | 0.9997 | |
| GS fitting WJ | 12.52 | 0.07915 | 63.96 | 0 | 1 | 0.9997 |
| 1 | 2 | 3 | 3.632 | 0.8439 | 0.9500 | |
| 2 | 20 | 5 | 5.305 | 0.3055 | 0.8588 | |
| 1 | 15 | 10 | 10.59 | 0.5974 | 0.8347 |
Publisher’s Note: MDPI stays neutral with regard to jurisdictional claims in published maps and institutional affiliations. |
© 2022 by the authors. Licensee MDPI, Basel, Switzerland. This article is an open access article distributed under the terms and conditions of the Creative Commons Attribution (CC BY) license (https://creativecommons.org/licenses/by/4.0/).
Share and Cite
Ge, S.; Wu, J. The Analysis of WJ Distribution as an Extended Gaussian Function: Case Study. Appl. Sci. 2022, 12, 7773. https://doi.org/10.3390/app12157773
Ge S, Wu J. The Analysis of WJ Distribution as an Extended Gaussian Function: Case Study. Applied Sciences. 2022; 12(15):7773. https://doi.org/10.3390/app12157773
Chicago/Turabian StyleGe, Shurong, and Junhua Wu. 2022. "The Analysis of WJ Distribution as an Extended Gaussian Function: Case Study" Applied Sciences 12, no. 15: 7773. https://doi.org/10.3390/app12157773
APA StyleGe, S., & Wu, J. (2022). The Analysis of WJ Distribution as an Extended Gaussian Function: Case Study. Applied Sciences, 12(15), 7773. https://doi.org/10.3390/app12157773

