A Voltammetric Sensor for the Determination of Hydroxylamine Using a Polypyrrole Nanotubes-Modified Electrode
Abstract
:1. Introduction
2. Experimental Procedure
2.1. Instrumentation
2.2. Materials
2.3. Synthesis of the PPy NTs
2.4. Modified Electrode Fabrication
2.5. Real Sample
3. Results and Discussion
3.1. Characterization of the PPy NTs
3.2. Electrochemical Behavior of Hydroxylamine on the PPy NTs/GSPE
3.3. Scan Rate Exploration
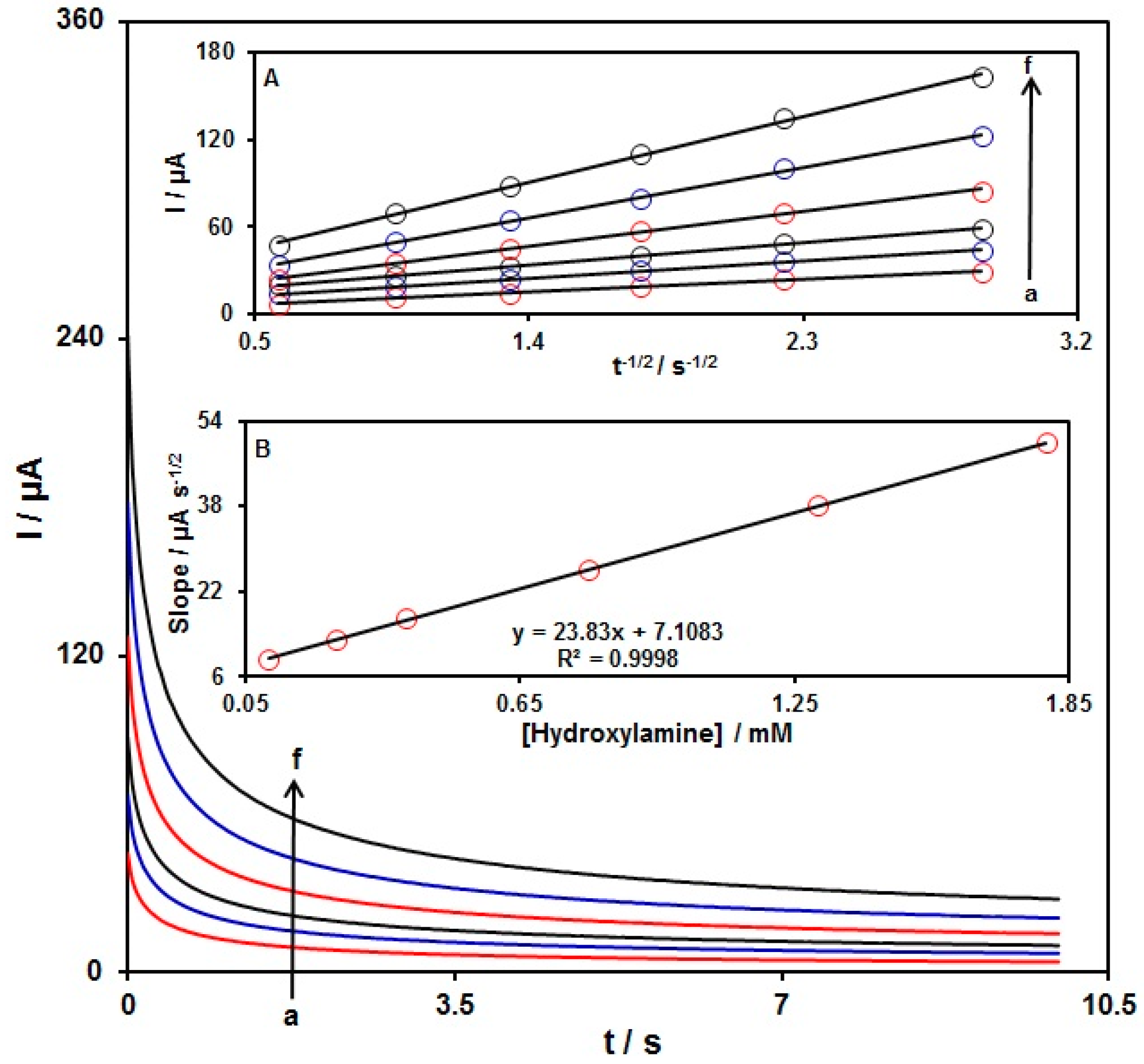
3.4. Chronoamperometry
3.5. Linear Dynamic Range and Limit of Detection
3.6. Stability, Repeatability, and Reproducibility
3.7. Real Sample Analysis
4. Conclusions
Author Contributions
Funding
Institutional Review Board Statement
Informed Consent Statement
Data Availability Statement
Conflicts of Interest
References
- Ensafi, A.A.; Heydari-Bafrooei, E.; Rezaei, B. Simultaneous detection of hydroxylamine and phenol using p-aminophenol-modified carbon nanotube paste electrode. Chin. J. Catal. 2013, 34, 1768–1775. [Google Scholar] [CrossRef]
- Tajik, S.; Beitollahi, H.; Ahmadi, S.A.; Askari, M.B.; Di Bartolomeo, A. Screen-printed electrode surface modification with NiCo2O4/RGO nanocomposite for hydroxylamine detection. Nanomaterials 2021, 11, 3208. [Google Scholar] [CrossRef]
- Premlatha, S.; Chandrasekaran, M.; Bapu, G.R. Preparation of cobalt-RuO2 nanocomposite modified electrode for highly sensitive and selective determination of hydroxylamine. Sens. Actuators B Chem. 2017, 252, 375–384. [Google Scholar] [CrossRef]
- Zhang, C.; Wang, G.; Liu, M.; Feng, Y.; Zhang, Z.; Fang, B. A hydroxylamine electrochemical sensor based on electrodeposition of porous ZnO nanofilms onto carbon nanotubes films modified electrode. Electrochim. Acta 2010, 55, 2835–2840. [Google Scholar] [CrossRef]
- Kannan, P.; John, S.A. Highly sensitive determination of hydroxylamine using fused gold nanoparticles immobilized on sol–gel film modified gold electrode. Anal. Chim. Acta 2010, 663, 158–164. [Google Scholar] [CrossRef] [PubMed]
- Frear, D.S.; Burrell, R.C. Spectrophotometric method for determining hydroxylamine reductase activity in higher plants. Anal. Chem. 1955, 27, 1664–1665. [Google Scholar] [CrossRef]
- Kumar, T.; Xavier, N.; Ramya, M. A High-Performance Liquid Chromatography Method for Determination of Genotoxic Impurity Hydroxylamine in Drug Substances. J. Chromatogr. Sci. 2019, 57, 63–70. [Google Scholar] [CrossRef]
- Butler, J.H.; Gordon, L.I. An improved gas chromatographic method for the measurement of hydroxylamine in marine and fresh waters. Mar. Chem. 1986, 19, 229–243. [Google Scholar] [CrossRef]
- Combeau, S.; Legeai, S.; Chatelut, M.; Vittori, O.; Devisme, F. Simultaneous determination of hydrogen peroxide, hydroxylamine and iodate in basic media by differential pulse polarography. J. Nuclear Sci. Technol. 2005, 42, 82–89. [Google Scholar] [CrossRef]
- Sudha, V.; Annadurai, K.; Kumar, S.M.S.; Thangamuthu, R. CuCo2O4 nanobricks as electrode for enhanced electrochemical determination of hydroxylamine. Ionics 2019, 25, 5023–5034. [Google Scholar] [CrossRef]
- Karimi-Maleh, H.; Beitollahi, H.; Kumar, P.S.; Tajik, S.; Jahani, P.M.; Karimi, F.; Zare, N. Recent advances in carbon nanomaterials-based electrochemical sensors for food azo dyes detection. Food Chem. Toxicol. 2022, 164, 112961. [Google Scholar] [CrossRef]
- Ahmed, A.; Hayat, A.; John, P.; Nawaz, M.H.; Nasir, M. Coral-shaped tin oxide incorporated graphitic carbon nitride nanosheets as peroxidase mimic for sensitive colorimetric and fluorescence quenching based detection of hydrogen peroxide. J. Nanostruct. Chem. 2021, 11, 675–691. [Google Scholar]
- Moghaddam, A.; Zamani, H.; Karimi-Maleh, H. A New Sensing Strategy for Determination of Tamoxifen Using Fe3O4/Graphene-Ionic Liquid Nanocomposite Amplified Paste Electrode. Chem. Methodol. 2021, 5, 373–380. [Google Scholar]
- Dourandish, Z.; Tajik, S.; Beitollahi, H.; Jahani, P.M.; Nejad, F.G.; Sheikhshoaie, I.; Di Bartolomeo, A. A Comprehensive Review of Metal–Organic Framework: Synthesis, Characterization, and Investigation of Their Application in Electrochemical Biosensors for Biomedical Analysis. Sensors 2022, 22, 2238. [Google Scholar] [CrossRef]
- Montazarolmahdi, M.; Masrournia, M.; Nezhadali, A. A New Electrochemical Approach for the Determination of Phenylhydrazine in Water and Wastewater Samples using Amplified Carbon Paste Electrode. Chem. Methodol. 2020, 4, 732–742. [Google Scholar]
- Karimi-Maleh, H.; Karimi, F.; Orooji, Y.; Mansouri, G.; Razmjou, A.; Aygun, A.; Sen, F. A new nickel-based co-crystal complex electrocatalyst amplified by NiO dope Pt nanostructure hybrid; a highly sensitive approach for determination of cysteamine in the presence of serotonin. Sci. Rep. 2020, 10, 11699. [Google Scholar] [CrossRef]
- Shi, L.; Wu, T.; He, P.; Li, D.; Sun, C.; Li, J. Amperometric Sensor for Hydroxylamine Based on Hybrid Nickel-Cobalt Hexacyanoferrate Modified Electrode. Electroanalysis 2005, 7, 2190–2194. [Google Scholar] [CrossRef]
- Fajardo, L.C.; Tamayo, A.I.B.; Guas, A.M.E. Characterization of graphite-epoxy composite electrodes for free electrochemical detection of adenine and guanine in DNA. J. Electrochem. Sci. Eng. 2021, 11, 247–261. [Google Scholar]
- Mohanraj, J.; Durgalakshmi, D.; Rakkesh, R.A.; Balakumar, S.; Rajendran, S.; Karimi-Maleh, H. Facile synthesis of paper based graphene electrodes for point of care devices: A double stranded DNA (dsDNA) biosensor. J. Colloid Interface Sci. 2020, 566, 463–472. [Google Scholar] [CrossRef]
- Tajik, S.; Beitollahi, H.; Shahsavari, S.; Nejad, F.G. Simultaneous and selective electrochemical sensing of methotrexate and folic acid in biological fluids and pharmaceutical samples using Fe3O4/PPy/Pd nanocomposite modified screen printed graphite electrode. Chemosphere 2022, 291, 132736. [Google Scholar] [CrossRef]
- Ibáñez-Redín, G.; Wilson, D.; Gonçalves, D.; Oliveira, J. Low-cost screen-printed electrodes based on electrochemically reduced graphene oxide-carbon black nanocomposites for dopamine, epinephrine and paracetamol detection. J. Colloid Interface Sci. 2018, 515, 101–108. [Google Scholar] [CrossRef] [PubMed]
- Shaikh, M.O.; Srikanth, B.; Zhu, P.Y.; Chuang, C.H. Impedimetric immunosensor utilizing polyaniline/gold nanocomposite-modified screen-printed electrodes for early detection of chronic kidney disease. Sensors 2019, 19, 3990. [Google Scholar] [CrossRef] [PubMed] [Green Version]
- Tajik, S.; Dourandish, Z.; Nejad, F.G.; Aghaei Afshar, A.; Beitollahi, H. Voltammetric determination of isoniazid in the presence of acetaminophen utilizing MoS2-nanosheet-modified screen-printed electrode. Micromachines 2022, 13, 369. [Google Scholar] [CrossRef] [PubMed]
- Lee, S.; Lee, Y.J.; Kim, J.H.; Lee, G.J. Electrochemical Detection of H2O2 Released from Prostate Cancer Cells Using Pt Nanoparticle-Decorated rGO–CNT Nanocomposite-Modified Screen-Printed Carbon Electrodes. Chemosensors 2020, 8, 63. [Google Scholar] [CrossRef]
- Tajik, S.; Askari, M.B.; Ahmadi, S.A.; Nejad, F.G.; Dourandish, Z.; Razavi, R.; Di Bartolomeo, A. Electrochemical sensor based on ZnFe2O4/RGO nanocomposite for ultrasensitive detection of hydrazine in real samples. Nanomaterials 2022, 12, 491. [Google Scholar] [CrossRef] [PubMed]
- Geng, Y.; Ko, E.; Tran, V.K.; Chung, W.S.; Park, C.H.; Kim, M.K.; Seong, G.H. Electrochemical detection of hydroxylamine via Au-Pt alloy nanoparticle-modified single-walled carbon nanotube electrodes. Anal. Sci. 2017, 33, 993–998. [Google Scholar] [CrossRef] [Green Version]
- Karimi-Maleh, H.; Sheikhshoaie, M.; Sheikhshoaie, I.; Ranjbar, M.; Alizadeh, J.; Maxakato, N.W.; Abbaspourrad, A. A novel electrochemical epinine sensor using amplified CuO nanoparticles and an-hexyl-3-methylimidazolium hexafluorophosphate electrode. New J. Chem. 2019, 43, 2362–2367. [Google Scholar] [CrossRef]
- Pushpanjali, P.A.; Manjunatha, J.G.; Hareesha, N. An overview of recent developments of carbon-based sensors for the analysis of drug molecules Review. J. Electrochem. Sci. Eng. 2021, 11, 161–177. [Google Scholar]
- Tajik, S.; Beitollahi, H.; Torkzadeh-Mahani, M. Electrochemical immunosensor for the detection of anti-thyroid peroxidase antibody by gold nanoparticles and ionic liquid-modified carbon paste electrode. J. Nanostruct. Chem. 2022. [Google Scholar] [CrossRef]
- Shahraki, S.; Masrournia, M.; Karimi-Maleh, H. Fabrication of Sulfapyridine Electrochemical Sensor Amplified with CuO/SWCNTs as High Performance Electroanalytical Tool in Real Sample Analysis. Chem. Methodol. 2020, 4, 720–731. [Google Scholar]
- Li, J.; Xie, H.; Li, Y. Fabrication of gold nanoparticles/polypyrrole composite-modified electrode for sensitive hydroxylamine sensor design. J. Solid State Electrochem. 2012, 16, 795–802. [Google Scholar] [CrossRef]
- Miraki, M.; Karimi-Maleh, H.; Taher, M.A.; Cheraghi, S.; Karimi, F.; Agarwal, S.; Gupta, V.K. Voltammetric amplified platform based on ionic liquid/NiO nanocomposite for determination of benserazide and levodopa. J. Mol. Liq. 2019, 278, 672–676. [Google Scholar] [CrossRef]
- Moallem, Q.A.; Beitollahi, H. Electrochemical sensor for simultaneous detection of dopamine and uric acid based on a carbon paste electrode modified with nanostructured Cu-based metal-organic frameworks. Microchem. J. 2022, 177, 107261. [Google Scholar] [CrossRef]
- Li, S.; Fan, J.; Li, S.; Ma, Y.; Wu, J.; Jin, H.; Guo, Z. In situ-grown Co3O4 nanorods on carbon cloth for efficient electrocatalytic oxidation of urea. J. Nanostruct. Chem. 2021, 11, 735–749. [Google Scholar]
- Alavi-Tabari, S.A.; Khalilzadeh, M.A.; Karimi-Maleh, H. Simultaneous determination of doxorubicin and dasatinib as two breast anticancer drugs uses an amplified sensor with ionic liquid and ZnO nanoparticle. J. Electroanal. Chem. 2018, 811, 84–88. [Google Scholar] [CrossRef]
- Haridas, V.; Yaakob, Z.; Sugunan, S.; Narayanan, B.N. Selective electrochemical determination of paracetamol using hematite/graphene nanocomposite modified electrode prepared in a green chemical route. Mater. Chem. Phys. 2021, 263, 124379. [Google Scholar] [CrossRef]
- Baghernejad, B.; Rostami Harzevili, M. Nano-cerium Oxide/Aluminum Oxide: An Efficient and Useful Catalyst for the Synthesis of Tetrahydro[a]xanthenes-11-one Derivatives. Chem. Methodol. 2021, 5, 90–95. [Google Scholar]
- Karimi-Maleh, H.; Karaman, C.; Karaman, O.; Karimi, F.; Vasseghian, Y.; Fu, L.; Mirabi, A. Nanochemistry approach for the fabrication of Fe and N co-decorated biomass-derived activated carbon frameworks: A promising oxygen reduction reaction electrocatalyst in neutral media. J. Nanostruct. Chem. 2022, 12, 429–439. [Google Scholar] [CrossRef]
- Beitollahi, H.; Tajik, S.; Di Bartolomeo, A. Application of MnO2 Nanorod–Ionic Liquid Modified Carbon Paste Electrode for the Voltammetric Determination of Sulfanilamide. Micromachines 2022, 13, 598. [Google Scholar] [CrossRef]
- Zhang, X.; Yang, P.; Jiang, S.P. Horizontally growth of WS2/WO3 heterostructures on crystalline g-C3N4 nanosheets towards enhanced photo/electrochemical performance. J. Nanostruct. Chem. 2021, 11, 367–380. [Google Scholar] [CrossRef]
- Karimi-Maleh, H.; Darabi, R.; Shabani-Nooshabadi, M.; Baghayeri, M.; Karimi, F.; Rouhi, J.; Karaman, C. Determination of D&C Red 33 and Patent Blue V Azo dyes using an impressive electrochemical sensor based on carbon paste electrode modified with ZIF-8/g-C3N4/Co and ionic liquid in mouthwash and toothpaste as real samples. Food Chem. Toxicol. 2022, 162, 112907. [Google Scholar]
- Zhang, H.; Zheng, J. Sensitive detection of hydroxylamine at a simple baicalin carbon nanotubes modified electrode. Talanta 2012, 93, 67–71. [Google Scholar] [CrossRef]
- Nejad, F.G.; Sheikhshoaie, I.; Beitollahi, H. Simultaneous detection of carmoisine and tartrazine in food samples using GO-Fe3O4-PAMAM and ionic liquid based electrochemical sensor. Food Chem. Toxicol. 2022, 162, 112864. [Google Scholar] [CrossRef]
- Eren, T.; Atar, N.; Yola, M.L.; Karimi-Maleh, H. A sensitive molecularly imprinted polymer based quartz crystal microbalance nanosensor for selective determination of lovastatin in red yeast rice. Food Chem. 2015, 185, 430–436. [Google Scholar] [CrossRef]
- Payehghadr, M.; Taherkhani, Y.; Maleki, A.; Nourifard, F. Selective and sensitive voltammetric sensor for methocarbamol determination by molecularly imprinted polymer modified carbon paste electrode. Eurasian Chem. Commun. 2020, 2, 982–990. [Google Scholar]
- Lin, M.; Hu, X.; Ma, Z.; Chen, L. Functionalized polypyrrole nanotube arrays as electrochemical biosensor for the determination of copper ions. Anal. Chim. Acta 2012, 746, 63–69. [Google Scholar] [CrossRef] [PubMed]
- Velhal, N.; Kulkarni, G.; Patil, N.D.; Puri, V. Structural, electrical and microwave properties of conducting polypyrrole thin films: Effect of oxidant. Mater. Res. Express 2018, 5, 106407. [Google Scholar] [CrossRef]
- Lin, M. A dopamine electrochemical sensor based on gold nanoparticles/over-oxidized polypyrrole nanotube composite arrays. RSC Adv. 2015, 5, 9848–9851. [Google Scholar] [CrossRef]
- Ding, S.; Lyu, Z.; Li, S.; Ruan, X.; Fei, M.; Zhou, Y.; Lin, Y. Molecularly imprinted polypyrrole nanotubes based electrochemical sensor for glyphosate detection. Biosens. Bioelectron. 2021, 191, 113434. [Google Scholar] [CrossRef] [PubMed]
- Kannan, A.; Radhakrishnan, S. Fabrication of an electrochemical sensor based on gold nanoparticles functionalized polypyrrole nanotubes for the highly sensitive detection of l-dopa. Mater. Today Commun. 2020, 25, 101330. [Google Scholar] [CrossRef]
- Yashas, S.R.; Sandeep, S.; Shivakumar, B.P.; Swamy, N.K. A matrix of perovskite micro-seeds and polypyrrole nanotubes tethered laccase/graphite biosensor for sensitive quantification of 2,4-dichlorophenol in wastewater. Anal. Methods 2019, 11, 4511–4519. [Google Scholar] [CrossRef]
- Ye, S.; Feng, J. Self-assembled three-dimensional hierarchical graphene/polypyrrole nanotube hybrid aerogel and its application for supercapacitors. ACS Appl. Mater. Interfaces 2014, 6, 9671–9679. [Google Scholar] [CrossRef]
- Liu, J.; An, J.; Ma, Y.; Li, M.; Ma, R. Synthesis of a graphene-polypyrrole nanotube composite and its application in supercapacitor electrode. J. Electrochem. Soc. 2012, 159, A828. [Google Scholar] [CrossRef]
- Zhang, D.; Zhang, X.; Chen, Y.; Yu, P.; Wang, C.; Ma, Y. Enhanced capacitance and rate capability of graphene/polypyrrole composite as electrode material for supercapacitors. J. Power Sources 2011, 196, 5990–5996. [Google Scholar] [CrossRef]
- Yussuf, A.; Al-Saleh, M.; Al-Enezi, S.; Abraham, G. Synthesis and characterization of conductive polypyrrole: The influence of the oxidants and monomer on the electrical, thermal, and morphological properties. Int. J. Polym. Sci. 2018, 2018, 4191747. [Google Scholar] [CrossRef]
- Malakootian, M.; Gholami, Z.; Mahmoudi-Moghaddam, H. Electrochemical determination of hydroxylamine in water samples using modified screen-printed electrode with TiO2/GO. Int. J. Environ. Anal. Chem. 2021, 101, 35–47. [Google Scholar] [CrossRef]
- Zheng, L.; Song, J.F. Electrocatalytic oxidation of hydroxylamine at Ni (II)-morin complex modified carbon nanotube paste electrode. J. Appl. Electrochem. 2011, 41, 63–70. [Google Scholar] [CrossRef]
- Li, J.; Lin, X. Electrocatalytic oxidation of hydrazine and hydroxylamine at gold nanoparticle—polypyrrole nanowire modified glassy carbon electrode. Sens. Actuators B Chem. 2007, 126, 527–535. [Google Scholar] [CrossRef]
- Wang, Y.; Wang, L.; Chen, H.; Hu, X.; Ma, S. Fabrication of highly sensitive and stable hydroxylamine electrochemical sensor based on gold nanoparticles and metal–metalloporphyrin framework modified electrode. ACS Appl. Mater. Interfaces 2016, 8, 18173–18181. [Google Scholar] [CrossRef]
- Benvidi, A.; Kakoolaki, P.; Gorji, A.R.; Mazloum-Ardakani, M.; Zare, H.R.; Vafazadeh, R. Application of Co (II) complex multi-wall carbon nanotube modified carbon paste electrodes for electrocatalytic determination of hydroxylamine. Anal. Methods 2013, 5, 6649–6655. [Google Scholar] [CrossRef]
- Nazari, M.; Asadollahzadeh, H.; Shahidi, M.; Rastakhiz, N.; Mohammadi, S.Z. Sensitive determination of hydroxylamine by using modified electrode by La2O3–Co3O4 nanocomposite and ionic liquid. Mater. Chem. Phys. 2022, 286, 126209. [Google Scholar] [CrossRef]









| Electrochemical Sensor | Method | Linear Range | Limit of Detection | Refs. |
|---|---|---|---|---|
| Graphene oxide/TiO2/screen-printed electrode | Differential pulse voltammetry | 0.1–300.0 μM | 0.065 μM | [56] |
| Nickel(II)-morin complex modified multi-wall carbon nanotube paste electrode | Amperometry | 2.5–400.0 μM | 0.8 μM | [57] |
| Gold nanoparticle-polypyrrole nanowire/glassy carbon electrode | Differential pulse voltammetry | 1.0–500.0 μM | 0.21 μM | [58] |
| Gold nanoparticle-metal-metalloporphyrin frameworks/glassy carbon electrode | Differential pulse voltammetry | 0.01–20.0 μM | 0.004 μM | [59] |
| Cobalt(II) bis (benzoylacetone) ethylenediimino multi-wall carbon nanotube/carbon paste electrode | Square wave voltammetry | 5.0–50.0 μM | 12 μM | [60] |
| La2O3/Co3O4 nanocomposite/onic liquid/carbon paste electrode | Differential pulse voltammetry | 0.06–240.0 μM | 3.0 nM | [61] |
| Polypyrrole nanotubes/graphite screen-printed electrode | Differential pulse voltammetry | 0.005–290.0 μM | 0.001 μM | This Work |
| Sample | Spiked Concentration | Found Concentration | Recovery (%) | R.S.D. (%) |
|---|---|---|---|---|
| River water | 0 | - | - | - |
| 5.0 | 5.1 | 102.0 | 2.2 | |
| 7.5 | 7.3 | 104.3 | 3.0 | |
| Well water | 0 | - | - | - |
| 6.0 | 5.8 | 96.7 | 3.1 | |
| 7.0 | 7.1 | 101.4 | 2.0 |
Publisher’s Note: MDPI stays neutral with regard to jurisdictional claims in published maps and institutional affiliations. |
© 2022 by the authors. Licensee MDPI, Basel, Switzerland. This article is an open access article distributed under the terms and conditions of the Creative Commons Attribution (CC BY) license (https://creativecommons.org/licenses/by/4.0/).
Share and Cite
Mohammadzadeh Jahani, P.; Beitollahi, H.; Di Bartolomeo, A. A Voltammetric Sensor for the Determination of Hydroxylamine Using a Polypyrrole Nanotubes-Modified Electrode. Appl. Sci. 2022, 12, 7485. https://doi.org/10.3390/app12157485
Mohammadzadeh Jahani P, Beitollahi H, Di Bartolomeo A. A Voltammetric Sensor for the Determination of Hydroxylamine Using a Polypyrrole Nanotubes-Modified Electrode. Applied Sciences. 2022; 12(15):7485. https://doi.org/10.3390/app12157485
Chicago/Turabian StyleMohammadzadeh Jahani, Peyman, Hadi Beitollahi, and Antonio Di Bartolomeo. 2022. "A Voltammetric Sensor for the Determination of Hydroxylamine Using a Polypyrrole Nanotubes-Modified Electrode" Applied Sciences 12, no. 15: 7485. https://doi.org/10.3390/app12157485
APA StyleMohammadzadeh Jahani, P., Beitollahi, H., & Di Bartolomeo, A. (2022). A Voltammetric Sensor for the Determination of Hydroxylamine Using a Polypyrrole Nanotubes-Modified Electrode. Applied Sciences, 12(15), 7485. https://doi.org/10.3390/app12157485

