Physically Consistent Implementation of the Mixture Model for Modelling Nanofluid Conjugate Heat Transfer in Minichannel Heat Sinks
Abstract
:1. Introduction
2. Methodology
2.1. Mathematical Formulation
2.1.1. Single-Phase Approach
- The flow is three dimensional, laminar, Newtonian, steady, and incompressible.
- The flow is steady, temperature dependent, and the flow velocity is uniform at the inlet.
- The heat sink radiative heat transfer is negligible compared to that by conduction and convection.
2.1.2. Multiphase Mixture Model
- The flow is steady, laminar, incompressible, as well as three-dimensional.
- The second phase comprises spherical bubbles of prescribed uniform size [42].
- All of the phases share a single pressure [22].
- The working fluid thermal properties are volume fraction dependent [22].
- Gravitational effects are modelled, and radiative heat transfer is disregarded [14].
- The volume fraction of nanoparticles in the mixture is sufficiently low so that collision and heat conduction by contact between particles are negligible [42].
- The diameter of the nanoparticles is smaller than the diameter of the bubbles so that the nanoparticles are uniformly dispersed in the second phase [19], so that the volume fraction of the nanoparticles in the second phase has one average value and that the spherical shape of the bubbles is unaffected by the presence of the nanoparticles in it.
- The diameter of the bubbles is smaller than the minichannel hydraulic diameter so that a local equilibrium is established over short spatial length scales [42].
2.2. Nanofluid Model
2.3. Boundary Conditions
| 1. | Minichannel inlet first and second phases | ||
| 2. | Minichannel outlet first and second phases | ||
| 3. | The top wall | ||
| 4. | Right and left walls | (symmetry) | |
| 5. | Base wall | ||
| 6. | Inner walls (fluid/solid surface) |
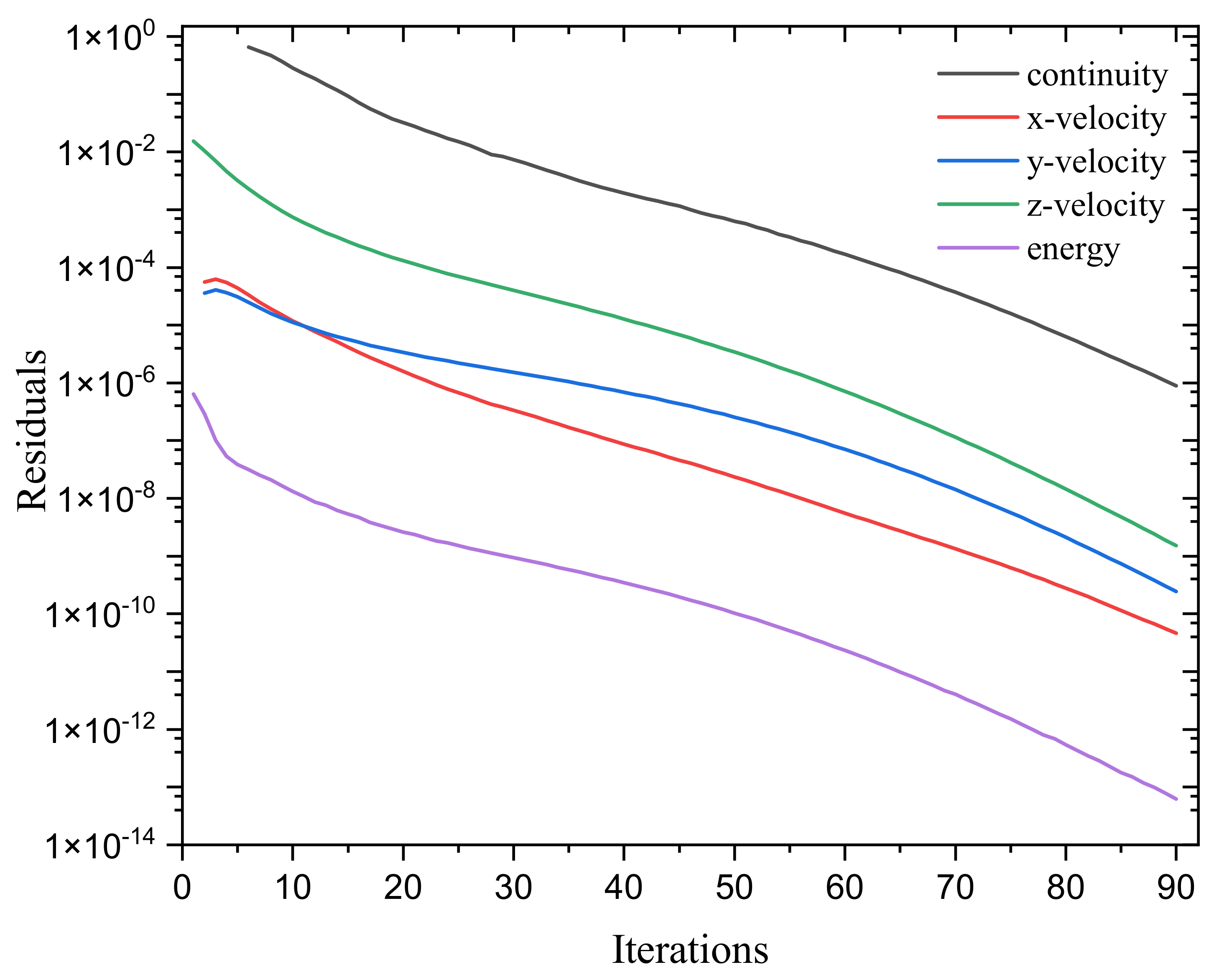
2.4. Numerical Solver
2.5. Geometry
2.6. Data Reduction
2.7. The Second Law Efficiency Analysis of the Minichannel Heat Sink Flow
2.8. Numerical Mesh
2.9. Validation
3. Results and Discussion
3.1. Effect of the Volume Fraction of the Second Phase on the Thermal Characteristics
3.2. Effect of the Volume Fraction of the Second Phase on the Hydraulic Characteristics
3.3. Effect of the Diameter Size of the Second Phase Nanofluid Bubbles on Thermal and Hydraulic Characteristics
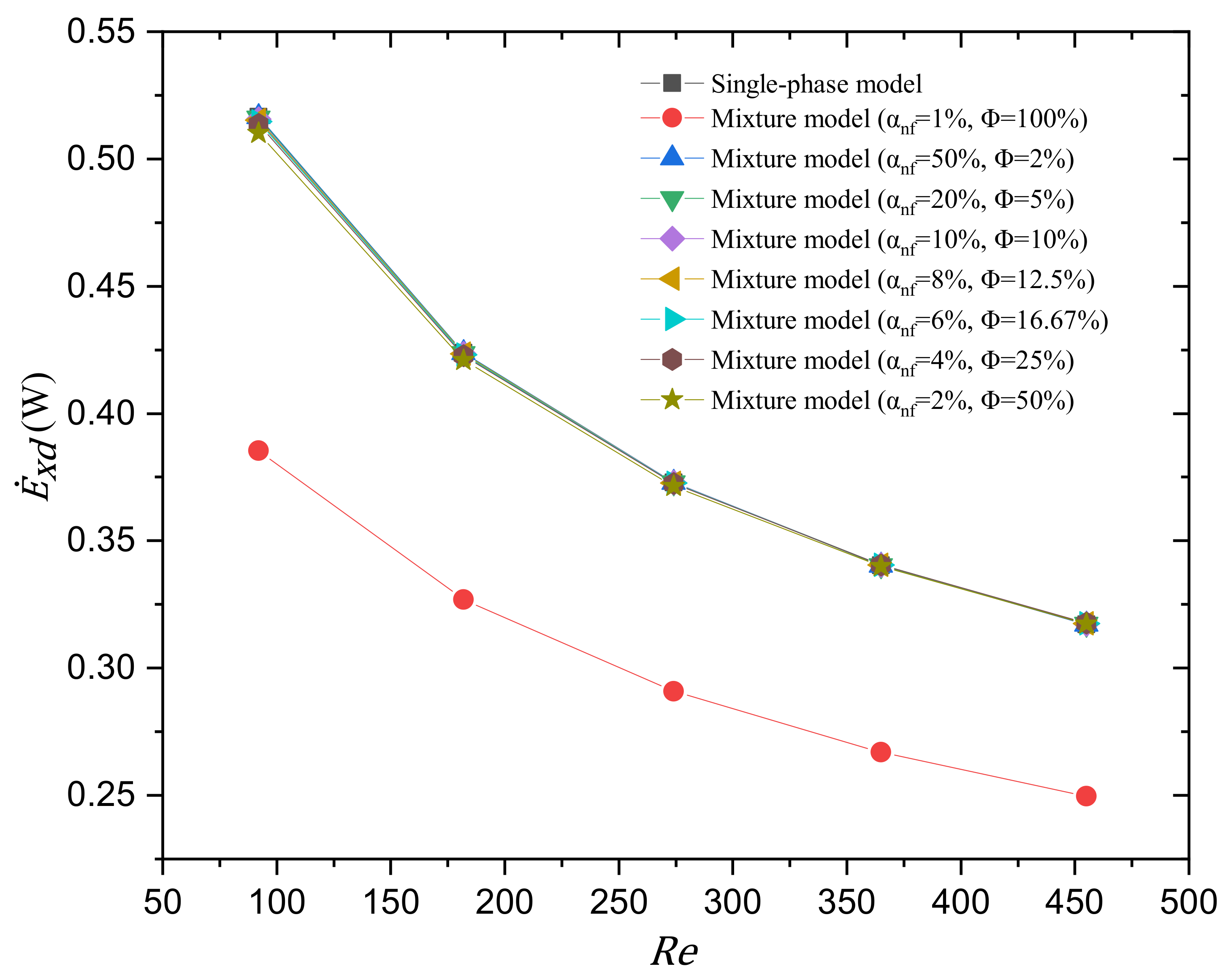
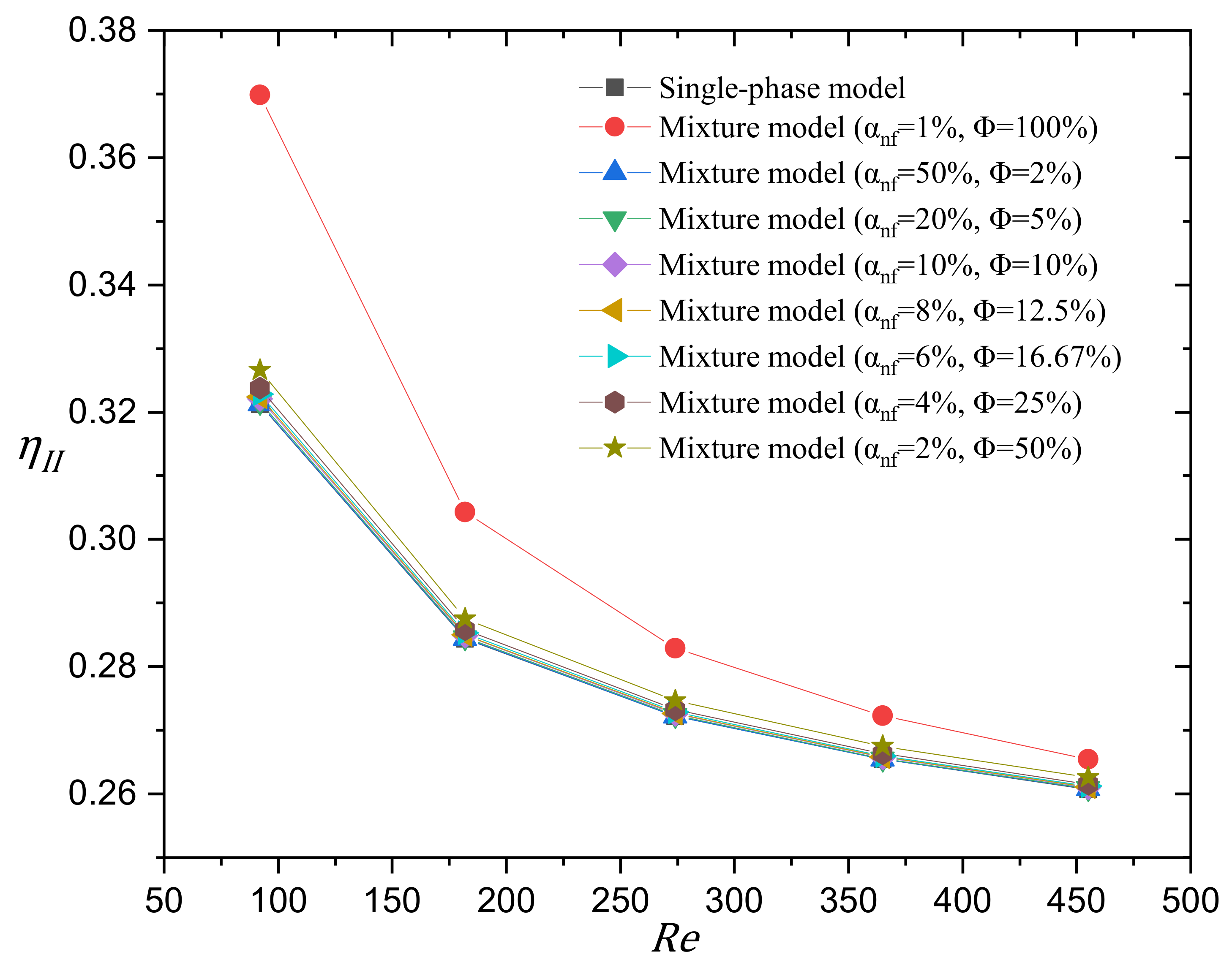
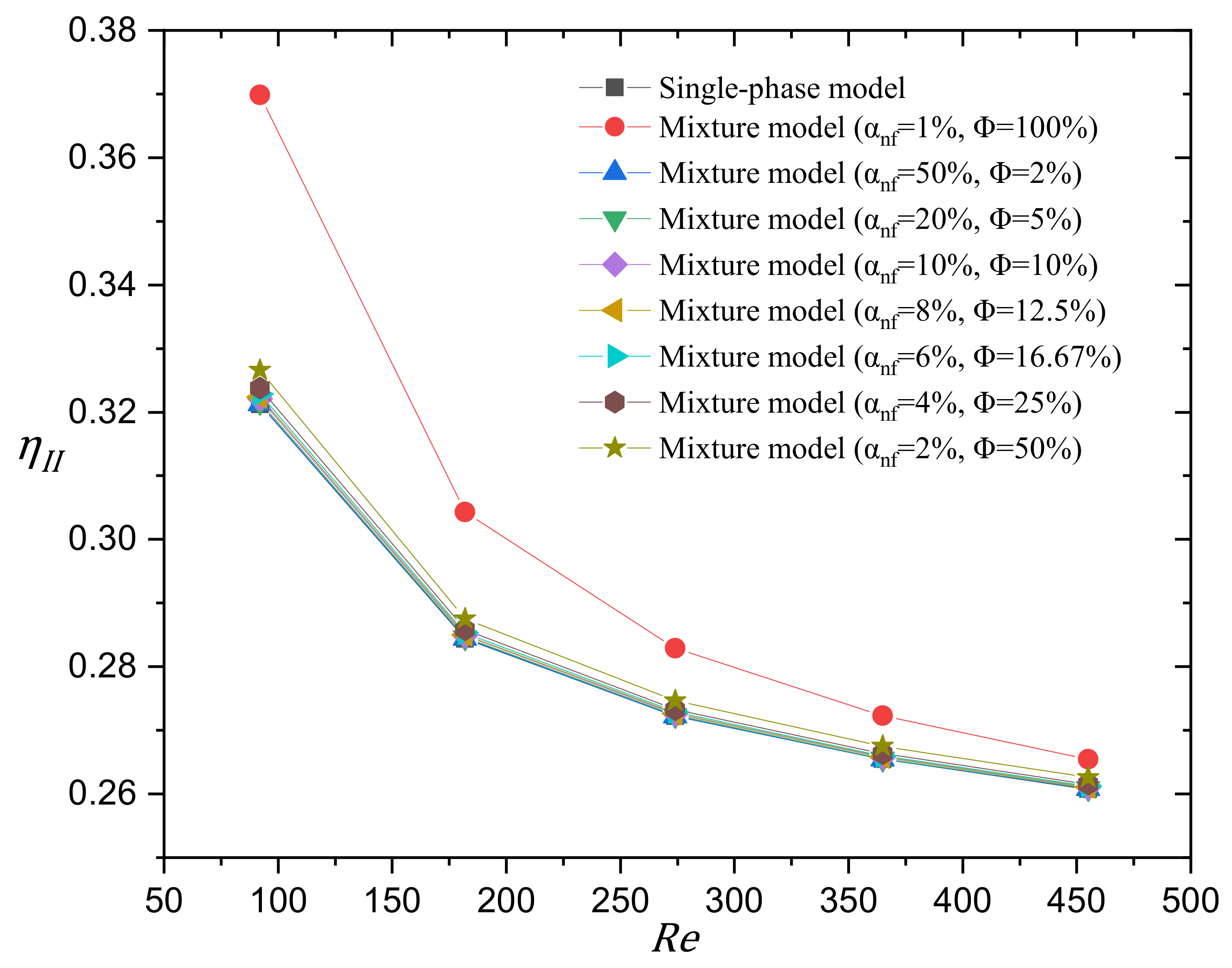
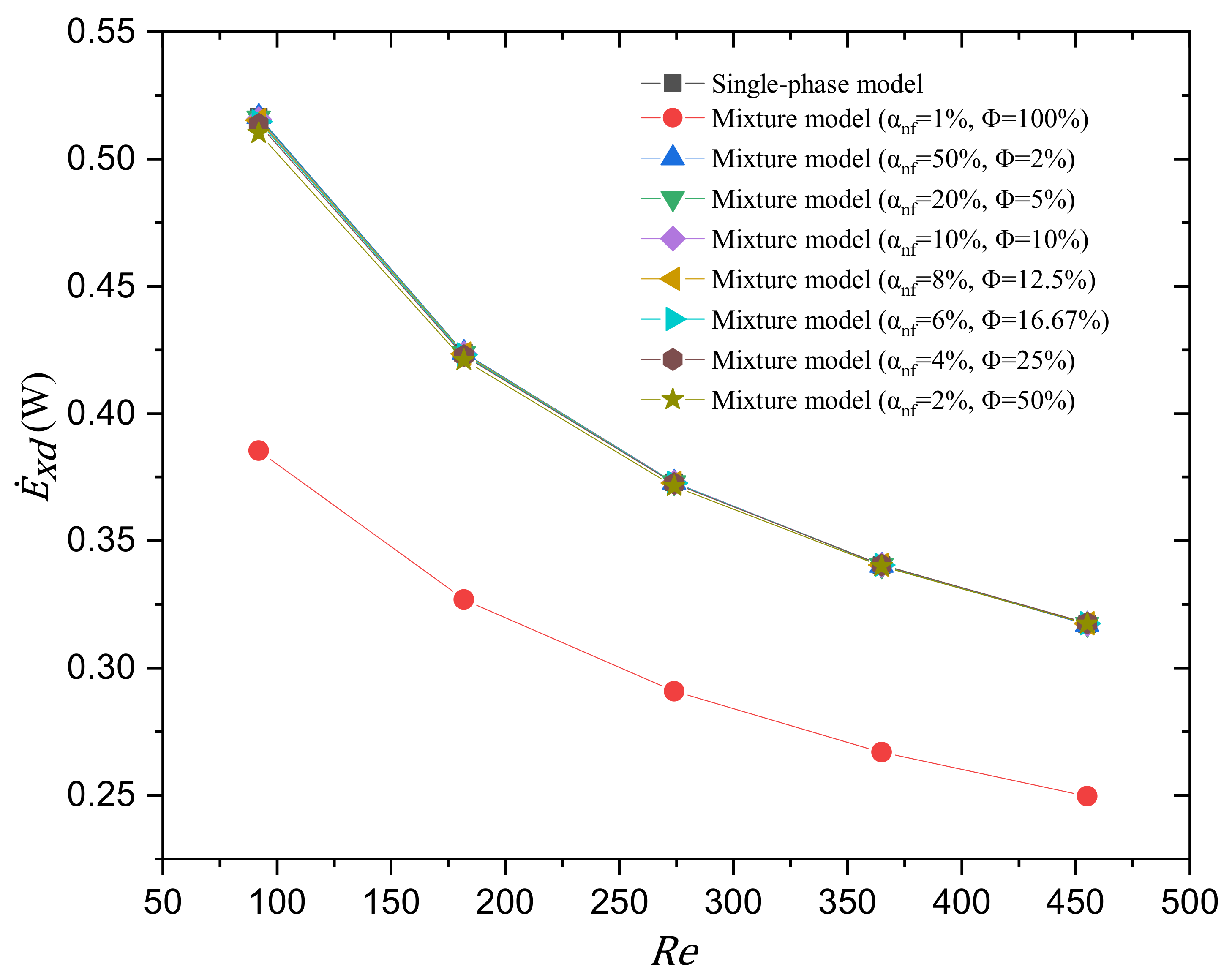
3.4. The Second Law Efficiency of the Minichannel Heat Sink
3.5. Thermal and Hydraulic Characteristics on a Horizontal Microscale Backward-Facing Step
4. Conclusions
Author Contributions
Funding
Institutional Review Board Statement
Informed Consent Statement
Data Availability Statement
Acknowledgments
Conflicts of Interest
Nomenclature
| Symbols | ||
| Channel cross-sectional area | m2 | |
| Constant pressure specific heat | J/(kg·K) | |
| Hydraulic diameter | m | |
| Exergy expenditure rate | W | |
| Exergy destruction rate | W | |
| Friction factor | ||
| g | gravity acceleration | m/s2 |
| Convection heat transfer coefficient | W/(m2·K) | |
| Thermal conductivity | W/(m·K) | |
| Channel length | m | |
| Local Nusselt Number | ||
| Pressure | Pa | |
| Heat flux | W/m2 | |
| Heat transfer rate | W | |
| Reynolds number | ||
| Temperature | K | |
| Fluid velocity | m/s | |
| Volume flow rate | m3/s | |
| Greek symbols | ||
| Pressure drop | Pa | |
| Second law thermodynamic efficiency | ||
| Viscosity | kg/(m·s) | |
| Density | kg/m3 | |
| Volume fraction of the nanoparticles | ||
| Second phase nanoparticle volume fraction | ||
| Exergy flow | J/kg | |
| Subscripts | ||
| base fluid | ||
| fluid | ||
| inlet | ||
| m | mixture | |
| nanofluid | ||
| nanoparticles | ||
| outlet | ||
| solid | ||
References
- Sidik, N.A.C.; Yazid, M.N.A.W.M.; Samion, S.; Musa, M.N.; Mamat, R. Latest development on computational approaches for nanofluid flow modeling: Navier–Stokes based multiphase models. Int. Commun. Heat Mass Transf. 2016, 74, 114–124. [Google Scholar] [CrossRef] [Green Version]
- Santra, A.K.; Sen, S.; Chakraborty, N. Study of heat transfer due to laminar flow of copper–water nanofluid through two isothermally heated parallel plates. Int. J. Therm. Sci. 2009, 48, 391–400. [Google Scholar] [CrossRef]
- Koo, J.; Kleinstreuer, C. Laminar nanofluid flow in microheat-sinks. Int. J. Heat Mass Transf. 2005, 48, 2652–2661. [Google Scholar] [CrossRef]
- Xuan, Y.; Roetzel, W. Conceptions for heat transfer correlation of nanofluids. Int. J. Heat Mass Transf. 2000, 43, 3701–3707. [Google Scholar] [CrossRef]
- Bhattacharya, P.; Samanta, A.; Chakraborty, S. Numerical study of conjugate heat transfer in rectangular microchannel heat sink with Al2O3/H2O nanofluid. Heat Mass Transf. 2009, 45, 1323–1333. [Google Scholar] [CrossRef]
- Nebbati, R.; Kadja, M. Study of forced convection of a nanofluid used as a heat carrier in a microchannel heat sink. Energy Procedia 2015, 74, 633–642. [Google Scholar] [CrossRef] [Green Version]
- Ali, A.M.; Angelino, M.; Rona, A. Numerical analysis on the thermal performance of microchannel heat sinks with Al2O3 nanofluid and various fins. Appl. Therm. Eng. 2021, 198, 117458. [Google Scholar] [CrossRef]
- Ali, A.M.; Rona, A.; Kadhim, H.T.; Angelino, M.; Gao, S. Thermo-hydraulic performance of a circular microchannel heat sink using swirl flow and nanofluid. Appl. Therm. Eng. 2021, 191, 116817. [Google Scholar] [CrossRef]
- Rashidi, S.; Akar, S.; Bovand, M.; Ellahi, R. Volume of fluid model to simulate the nanofluid flow and entropy generation in a single slope solar still. Renew. Energy 2018, 115, 400–410. [Google Scholar] [CrossRef]
- Hussien, A.A.; Abdullah, M.Z.; Al-Nimr, M.d.A. Single-phase heat transfer enhancement in micro/minichannels using nanofluids: Theory and applications. Appl. Energy 2016, 164, 733–755. [Google Scholar] [CrossRef]
- Akbari, M.; Galanis, N.; Behzadmehr, A. Comparative analysis of single and two-phase models for CFD studies of nanofluid heat transfer. Int. J. Therm. Sci. 2011, 50, 1343–1354. [Google Scholar] [CrossRef]
- Ambreen, T.; Kim, M.-H. Effects of variable particle sizes on hydrothermal characteristics of nanofluids in a microchannel. Int. J. Heat Mass Transf. 2018, 120, 490–498. [Google Scholar] [CrossRef]
- Lotfi, R.; Saboohi, Y.; Rashidi, A.M. Numerical study of forced convective heat transfer of nanofluids: Comparison of different approaches. Int. Commun. Heat Mass Transf. 2010, 37, 74–78. [Google Scholar] [CrossRef]
- ANSYS. 18.0 ANSYS Fluent Theory Guide; ANSYS: Canonsburg, PA, USA, 2017. [Google Scholar]
- Yang, Y.-T.; Tang, H.-W.; Ding, W.-P. Optimization design of micro-channel heat sink using nanofluid by numerical simulation coupled with genetic algorithm. Int. Commun. Heat Mass Transf. 2016, 72, 29–38. [Google Scholar] [CrossRef]
- Esmaeilnejad, A.; Aminfar, H.; Neistanak, M.S. Numerical investigation of forced convection heat transfer through microchannels with non-Newtonian nanofluids. Int. J. Therm. Sci. 2014, 75, 76–86. [Google Scholar] [CrossRef]
- Bianco, V.; Chiacchio, F.; Manca, O.; Nardini, S. Numerical investigation of nanofluids forced convection in circular tubes. Appl. Therm. Eng. 2009, 29, 3632–3642. [Google Scholar] [CrossRef] [Green Version]
- Narrein, K.; Sivasankaran, S.; Ganesan, P. Two-phase analysis of a helical microchannel heat sink using nanofluids. Numer. Heat Transf. Part A Appl. 2015, 68, 1266–1279. [Google Scholar] [CrossRef]
- Mirmasoumi, S.; Behzadmehr, A. Effect of nanoparticles mean diameter on mixed convection heat transfer of a nanofluid in a horizontal tube. Int. J. Heat Fluid Flow 2008, 29, 557–566. [Google Scholar] [CrossRef]
- Akbarinia, A.; Laur, R. Investigating the diameter of solid particles effects on a laminar nanofluid flow in a curved tube using a two phase approach. Int. J. Heat Fluid Flow 2009, 30, 706–714. [Google Scholar] [CrossRef]
- Akbari, M.; Galanis, N.; Behzadmehr, A. Comparative assessment of single and two-phase models for numerical studies of nanofluid turbulent forced convection. Int. J. Heat Fluid Flow 2012, 37, 136–146. [Google Scholar] [CrossRef]
- Sidik, N.A.C.; Muhamad, M.N.A.W.; Japar, W.M.A.A.; Rasid, Z.A. An overview of passive techniques for heat transfer augmentation in microchannel heat sink. Int. Commun. Heat Mass Transf. 2017, 88, 74–83. [Google Scholar] [CrossRef]
- Chein, R.; Chuang, J. Experimental microchannel heat sink performance studies using nanofluids. Int. J. Therm. Sci. 2007, 46, 57–66. [Google Scholar] [CrossRef]
- Ambreen, T.; Kim, M.-H. Comparative assessment of numerical models for nanofluids’ laminar forced convection in micro and mini channels. Int. J. Heat Mass Transf. 2017, 115, 513–523. [Google Scholar] [CrossRef]
- Kumar, V.; Sarkar, J. Numerical and experimental investigations on heat transfer and pressure drop characteristics of Al2O3-TiO2 hybrid nanofluid in minichannel heat sink with different mixture ratio. Powder Technol. 2019, 345, 717–727. [Google Scholar] [CrossRef]
- Moraveji, M.K.; Ardehali, R.M. CFD modeling (comparing single and two-phase approaches) on thermal performance of Al2O3/water nanofluid in mini-channel heat sink. Int. Commun. Heat Mass Transf. 2013, 44, 157–164. [Google Scholar] [CrossRef]
- Naphon, P.; Nakharintr, L. Numerical investigation of laminar heat transfer of nanofluid-cooled mini-rectangular fin heat sinks. J. Eng. Phys. Thermophys. 2015, 88, 666–675. [Google Scholar] [CrossRef]
- Kurowski, L.; Chmiel-Kurowska, K.; Thulliea, J. Numerical simulation of heat transfer in nanofluids. In Computer Aided Chemical Engineering; Jeżowski, J., Thullie, J., Eds.; Elsevier: Amsterdam, The Netherlands, 2009; pp. 967–972. [Google Scholar]
- Fard, M.H.; Esfahany, M.N.; Talaie, M.R. Numerical study of convective heat transfer of nanofluids in a circular tube two-phase model versus single-phase model. Int. Commun. Heat Mass Transf. 2010, 37, 91–97. [Google Scholar] [CrossRef]
- Kamyar, A.; Saidur, R.; Hasanuzzaman, M. Application of Computational Fluid Dynamics (CFD) for nanofluids. Int. J. Heat Mass Transf. 2012, 55, 4104–4115. [Google Scholar] [CrossRef]
- Mojarrad, M.S.; Keshavarz, A.; Shokouhi, A. Nanofluids thermal behavior analysis using a new dispersion model along with single-phase. Heat Mass Transf. 2013, 49, 1333–1343. [Google Scholar] [CrossRef]
- Bejan, A. Entropy Generation Minimization: The Method of Thermodynamic Optimization of Finite-Size Systems and Finite-Time Processes; CRC Press: Boca Raton, FL, USA, 2013. [Google Scholar]
- Bejan, A. Entropy generation minimization: The new thermodynamics of finite-size devices and finite-time processes. J. Appl. Phys. 1996, 79, 1191–1218. [Google Scholar] [CrossRef] [Green Version]
- Balaji, C.; Hölling, M.; Herwig, H. Entropy generation minimization in turbulent mixed convection flows. Int. Commun. Heat Mass Transf. 2007, 34, 544–552. [Google Scholar] [CrossRef]
- Liu, W.; Liu, P.; Wang, J.B.; Zheng, N.B.; Liu, Z.C. Exergy destruction minimization: A principle to convective heat transfer enhancement. Int. J. Heat Mass Transf. 2018, 122, 11–21. [Google Scholar] [CrossRef]
- Ibrahim, M.; Saleem, S.; Chu, Y.-M.; Ullah, M.; Heidarshenas, B. An investigation of the exergy and first and second laws by two-phase numerical simulation of various nanopowders with different diameter on the performance of zigzag-wall micro-heat sink (ZZW-MHS). J. Therm. Anal. Calorim. 2021, 145, 1611–1621. [Google Scholar] [CrossRef]
- Bahiraei, M.; Mazaheri, N. A comprehensive analysis for second law attributes of spiral heat exchanger operating with nanofluid using two-phase mixture model: Exergy destruction minimization attitude. Adv. Powder Technol. 2021, 32, 211–224. [Google Scholar] [CrossRef]
- Khaleduzzaman, S.S.; Sohel, M.R.; Mahbubul, I.M.; Saidur, R.; Selvaraj, J. Exergy and entropy generation analysis of TiO2–water nanofluid flow through the water block as an electronics device. Int. J. Heat Mass Transf. 2016, 101, 104–111. [Google Scholar] [CrossRef]
- Zhai, Y.L.; Xia, G.D.; Liu, X.F.; Li, Y.F. Exergy analysis and performance evaluation of flow and heat transfer in different micro heat sinks with complex structure. Int. J. Heat Mass Transf. 2015, 84, 293–303. [Google Scholar] [CrossRef]
- Bahiraei, M.; Heshmatian, S.; Keshavarzi, M. A decision-making based method to optimize energy efficiency of ecofriendly nanofluid flow inside a new heat sink enhanced with flow distributor. Powder Technol. 2019, 342, 85–98. [Google Scholar] [CrossRef]
- Manjrekar, O.N.; Dudukovic, M.P. Identification of flow regime in a bubble column reactor with a combination of optical probe data and machine learning technique. Chem. Eng. Sci. X 2019, 2, 100023. [Google Scholar] [CrossRef]
- Silva, R.; Garcia, F.A.P.; Faia, P.M.; Rasteiro, M.G. Evaluating the performance of the mixture model coupled with high and low reynolds turbulence closures in the numerical description of concentrated solid-liquid flows of settling particles. J. Comput. Multiph. Flows 2015, 7, 241–257. [Google Scholar] [CrossRef] [Green Version]
- Naumann, Z.; Schiller, L. A drag coefficient correlation. Z. Des Ver. Dtsch. Ing. 1935, 77, 393. [Google Scholar]
- Buongiorno, J. Convective Transport in Nanofluids. J. Heat Transf. 2005, 128, 240–250. [Google Scholar] [CrossRef]
- Rogers, G.F.C.; Mayhew, Y.R. Thermodynamic and Transport Properties of Fluids; John Wiley & Sons: Hoboken, NJ, USA, 1995. [Google Scholar]
- Saba, F.; Ahmed, N.; Khan, U.; Waheed, A.; Rafiq, M.; Mohyud-Din, S.T. Thermophysical analysis of water based (Cu–AL2O3) hybrid nanofluid in an asymmetric channel with dilating/squeezing walls considering different shapes of nanoparticles. Appl. Sci. 2018, 8, 1549. [Google Scholar] [CrossRef] [Green Version]
- Li, P.; Guo, D.; Huang, X. Heat transfer enhancement, entropy generation and temperature uniformity analyses of shark-skin bionic modified microchannel heat sink. Int. J. Heat Mass Transf. 2020, 146, 118846. [Google Scholar] [CrossRef]
- Ghani, I.A.; Sidik, N.A.C.; Mamat, R.; Najafi, G.; Ken, T.L.; Asako, Y.; Japar, W.M.A.A. Heat transfer enhancement in microchannel heat sink using hybrid technique of ribs and secondary channels. Int. J. Heat Mass Transf. 2017, 114, 640–655. [Google Scholar] [CrossRef]
- Thomas, J.; Srivatsa, P.V.S.S.; Krishnan, S.R.; Baby, R. Thermal Performance Evaluation of a Phase Change Material Based Heat Sink: A Numerical Study. Procedia Technol. 2016, 25, 1182–1190. [Google Scholar] [CrossRef] [Green Version]
- Ahmed, H.E.; Kherbeet, A.S.; Ahmed, M.I.; Salman, B.H. Heat transfer enhancement of micro-scale backward-facing step channel by using turbulators. Int. J. Heat Mass Transf. 2018, 126, 963–973. [Google Scholar] [CrossRef]
- Kherbeet, A.S.; Mohammed, H.A.; Salman, B.H.; Ahmed, H.E.; Alawi, O.A. Experimental and numerical study of nanofluid flow and heat transfer over microscale backward-facing step. Int. J. Heat Mass Transf. 2014, 79, 858–867. [Google Scholar] [CrossRef]
- Klazly, M.; Bognar, G. Heat transfer enhancement for nanofluid flows over a microscale backward-facing step. Alex. Eng. J. 2022, 61, 8161–8176. [Google Scholar] [CrossRef]
- Ghasemi, S.E.; Ranjbar, A.; Hosseini, M. Numerical study on effect of CuO-water nanofluid on cooling performance of two different cross-sectional heat sinks. Adv. Powder Technol. 2017, 28, 1495–1504. [Google Scholar] [CrossRef]
- Bahiraei, M.; Jamshidmofid, M.; Goodarzi, M. Efficacy of a hybrid nanofluid in a new microchannel heat sink equipped with both secondary channels and ribs. J. Mol. Liq. 2019, 273, 88–98. [Google Scholar] [CrossRef]
- Cengel, Y.A. Fluid Mechanics; Tata McGraw-Hill Education: Chennai, India, 2010. [Google Scholar]
- Viceconti, M.; Bellingeri, L.; Cristofolini, L.; Toni, A. A comparative study on different methods of automatic mesh generation of human femurs. Med. Eng. Phys. 1998, 20, 1–10. [Google Scholar] [CrossRef]
- Kalteh, M.; Abbassi, A.; Saffar-Avval, M.; Frijns, A.; Darhuber, A.; Harting, J. Experimental and numerical investigation of nanofluid forced convection inside a wide microchannel heat sink. Appl. Therm. Eng. 2012, 36, 260–268. [Google Scholar] [CrossRef]
- Kumar, N.; Puranik, B.P. Numerical study of convective heat transfer with nanofluids in turbulent flow using a Lagrangian-Eulerian approach. Appl. Therm. Eng. 2017, 111, 1674–1681. [Google Scholar] [CrossRef]
- Joshi, Y.; Vinoth, B.R. Entry Lengths of Laminar Pipe and Channel Flows. J. Fluids Eng. 2018, 140, 061203. [Google Scholar] [CrossRef]
















| Diameter of Nanoparticles (nm) | |||||
|---|---|---|---|---|---|
| Water | 998.2 | 4183 | 0.603 | 0.001002 | - |
| Al2O3 | 3970 | 765 | 40 | - | 15 |
| Second phase | 0.5 | 0.2 | 0.1 | 0.08 | 0.06 | 0.04 | 0.02 |
| Second phase Al2O3 nanoparticle | 0.02 | 0.05 | 0.1 | 0.125 | 0.1667 | 0.25 | 0.5 |
| Aluminum | 2719 | 871 | 202.4 |
Publisher’s Note: MDPI stays neutral with regard to jurisdictional claims in published maps and institutional affiliations. |
© 2022 by the authors. Licensee MDPI, Basel, Switzerland. This article is an open access article distributed under the terms and conditions of the Creative Commons Attribution (CC BY) license (https://creativecommons.org/licenses/by/4.0/).
Share and Cite
Ali, A.M.; Angelino, M.; Rona, A. Physically Consistent Implementation of the Mixture Model for Modelling Nanofluid Conjugate Heat Transfer in Minichannel Heat Sinks. Appl. Sci. 2022, 12, 7011. https://doi.org/10.3390/app12147011
Ali AM, Angelino M, Rona A. Physically Consistent Implementation of the Mixture Model for Modelling Nanofluid Conjugate Heat Transfer in Minichannel Heat Sinks. Applied Sciences. 2022; 12(14):7011. https://doi.org/10.3390/app12147011
Chicago/Turabian StyleAli, Abdullah Masoud, Matteo Angelino, and Aldo Rona. 2022. "Physically Consistent Implementation of the Mixture Model for Modelling Nanofluid Conjugate Heat Transfer in Minichannel Heat Sinks" Applied Sciences 12, no. 14: 7011. https://doi.org/10.3390/app12147011
APA StyleAli, A. M., Angelino, M., & Rona, A. (2022). Physically Consistent Implementation of the Mixture Model for Modelling Nanofluid Conjugate Heat Transfer in Minichannel Heat Sinks. Applied Sciences, 12(14), 7011. https://doi.org/10.3390/app12147011

