Experimental Investigation of Steam Conformance Evolution in Vertical-CSS and Optimization of Profile Improvement Agents
Abstract
:1. Introduction
2. Materials and Methods
2.1. Materials
2.1.1. Brine
2.1.2. Oil
2.1.3. Sandcore
2.2. Three-Tube Coreflooding Experiments
2.2.1. Apparatus
2.2.2. Procedures
- (1)
- Preparation. Three coreholders were installed integrally in the experiment. Then, permeability tests for each sandpack were measured. As the core samples were different from the man-made Berea core, no steps were needed to saturate oil and water. The porosity and oil saturation were measured after coreflooding experiments according to the oil output, which was also different from the conventional coreflooding experiments.
- (2)
- Oil displacement. The backpressure of the sandpacks was maintained at the target bottomhole condition of 0.5 MPa during all experiments. The steam injected had a temperature of 273 °C and maximal injection pressure of 10 MPa, which was the same with field steam injection pressure of CSS process. The steam injection rate ranged from 0–1.5 mL/min, which is affected by injection pressure control and the injection capacity of the cores. The coreflooding did not stop until the outlet watercut reached 98%.
- (3)
- Data analysis. The injection pressure, temperature, volume, etc., were gathered using software, and the produced liquid was gathered using the HTHP gathering and metering module. During experiments, the produced liquid was gathered every 10–30 min, and the water and oil production were obtained accordingly after analysis.
2.3. Plugging Agent Optimization Experiments
2.3.1. Apparatus
2.3.2. Procedures
- (1)
- Mixing the plugging agent and the quartz with the mesh size of 20–40 (weight proportion is 3:7).
- (2)
- Packing the mixture into the glass tube with 30 mm in diameter and 40 mm in length, and placing it into the high-temperature aging oven.
- (3)
- Adding water into the glass tube and closing the oven under a specified temperature for one week.
- (4)
- Taking the glass tube out and checking the consolidation status, and cutting and grinding it into regular cylinders.
- (5)
- Placing it on a universal pressure machine to test the compressive strength.
- (1)
- Packing the sand with the mesh size of 80–120 into the sandpack model.
- (2)
- Vacuuming the sandpack and testing the water-based permeability Kw1.
- (3)
- Injecting the HTHP plugging agent, in which the injected volume equals the pore volume of the sandpack; after injection, closing the inlet and outlet.
- (4)
- Keeping the sandpack in the oven with steam injection temperature 273 °C for 8 h.
- (5)
- Testing the water-based permeability Kw2 And gathering the pressures at the inlets and outlets.
- (6)
- Calculating the plugging ratio and pressure gradient of water breakthrough.
3. Results
3.1. Three-Tube Coreflooding Experiment Performance
3.1.1. Production Dynamics
3.1.2. Pressure Dynamics
3.1.3. Oil Displacement Profile
3.2. Plugging Agent Optimization Results
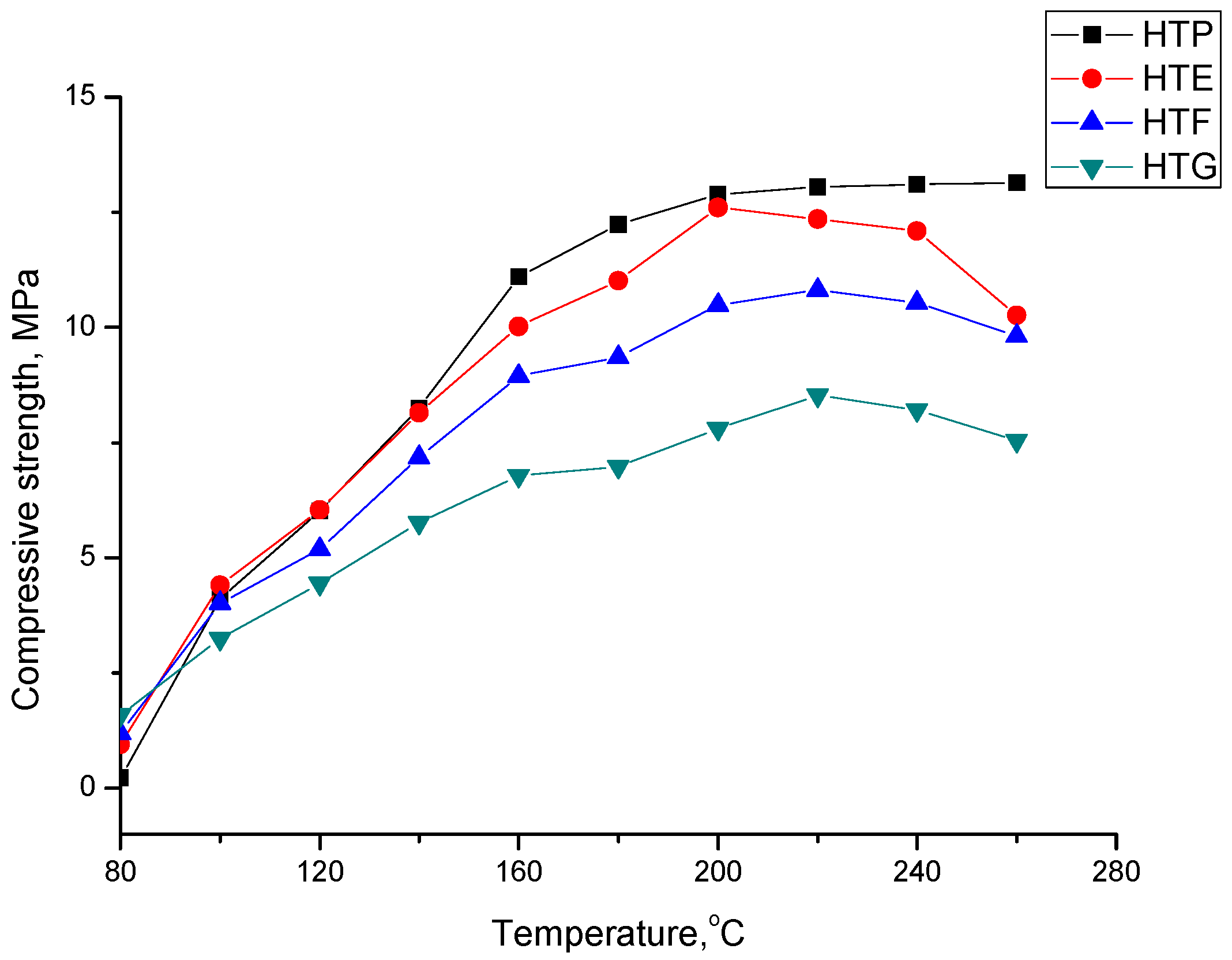
3.2.1. High-Temperature Consolidation Performance
3.2.2. High-Temperature Stability Performance
3.2.3. High-Temperature Plugging Performance
3.3. Field Application Performance
4. Conclusions
Author Contributions
Funding
Institutional Review Board Statement
Informed Consent Statement
Data Availability Statement
Acknowledgments
Conflicts of Interest
Nomenclature
| CSS | Cyclic steam stimulation |
| CWE | Cold water equivalent |
| O/W | Oil/water |
| FCD/ICD | Flow control device/Inflow control device |
| TDS | Total dissolved solids |
| HTHP | High-temperature–high-pressure |
| HT | High-temperature |
| HTP, HTE, HTF, and HTG | Names of the plugging agents |
References
- Dong, X.; Liu, H.; Zhai, Y.; Wang, C.; Chen, Z.; Liu, D. Experimental investigation on the steam injection profile along horizontal wellbore. Energy Rep. 2020, 6, 264–271. [Google Scholar] [CrossRef]
- Alwazeer, A.; Belghache, A.; Aulaqi, T.; Choudhury, S.; Shaqsi, K.; Busaidi, A.; Rojas, L.V.; Marin, A.A.; Salhi, K.; Bulushi, B.; et al. Steam Breakthrough Mitigation in Cyclic Steam Stimulation Operations, An East Field, Sultanate of Oman. In Proceedings of the SPE EOR Conference at Oil and Gas West Asia, Muscat, Oman, 26 March 2018. [Google Scholar]
- Xie, Z.; Feng, Q.; Zhang, J.; Shao, X.; Zhang, X.; Wang, Z. Prediction of Conformance Control Performance for Cyclic-Steam-Stimulated Horizontal Well Using the XGBoost: A Case Study in the Chunfeng Heavy Oil Reservoir. Energy 2021, 14, 8161. [Google Scholar] [CrossRef]
- Dong, X.; Liu, H.; Lu, N.; Wu, K.; Wang, K.; Chen, Z. Steam Conformance along Horizontal Well with Different Well Configurations: An Experimental and Numerical Investigation. In Proceedings of the SPE Annual Technical Conference and Exhibition, Calgary, AB, Canada, 23 September 2019. [Google Scholar]
- AlAbbasi, L.; AlMatrook, M.; AlRubah, A.; Rawnsley-Bettembourg, S. Improvement and Learnings from Reservoir Performance Analysis in a Large Scale Thermal Pilot in North Kuwait. In Proceedings of the SPE International Heavy Oil Conference and Exhibition, Kuwait City, Kuwait, 10 December 2018. [Google Scholar]
- Cokar, M.; Kallos, M.S.; Gates, I.D. Reservoir simulation of steam fracturing in early-cycle cyclic steam stimulation. SPE Reserv. Eval. Eng. 2012, 15, 676–687. [Google Scholar] [CrossRef]
- Yuan, Y. Hydraulic dilation stimulation to improve steam injectivity and conformance in thermal heavy oil production. In Proceedings of the SPE International Heavy Oil Conference and Exhibition, Kuwait City, Kuwait, 10 December 2018. [Google Scholar]
- Perez, R.; Rodriguez, H.; Barbosa, C.; Manrique, E.; Garcia, L.; Rendon, G. Improving CSS Performance with Preformed Foam: Teca-Cocorna Field Case. In Proceedings of the SPE Latin American and Caribbean Petroleum Engineering Conference, Virtual Conference, 20 July 2020. [Google Scholar]
- Liu, P.; Li, W.; Shen, D. Experimental study and pilot test of urea-and urea-and-foam-assisted steam flooding in heavy oil reservoirs. J. Pet. Sci. Eng. 2015, 135, 291–298. [Google Scholar] [CrossRef]
- Wu, Z.; Huiqing, L.; Wang, X.; Zhang, Z. Emulsification and improved oil recovery with viscosity reducer during steam injection process for heavy oil. J. Ind. Eng. Chem. 2018, 61, 348–355. [Google Scholar] [CrossRef]
- Lastovka, V.; Hooijkaas, T.; van Dorp, J.; Verlaan, M. Experimental Investigation of Solvent Addition to Vertical Steam Drive (VSD) as an Improved Method for Thermal Recovery of Extra-heavy Oil/bitumen. In Proceedings of the IOR 18th European Symposium on Improved Oil Recovery, Dresden, Germany, 14–16 April 2015. [Google Scholar]
- Zhang, X.; Zhang, Y.; Yue, Q.; Gao, Y.; Shen, D. Conformance control of CSS and steam drive process with a carbamide surfactant. J. Can. Pet. Technol. 2009, 48, 16–18. [Google Scholar] [CrossRef]
- He, H.; Wang, Y.; Zhao, M.; Cheng, L.; Liu, P. Laboratory evaluation of thermoreversible gel for in-depth conformance control in steam-stimulated wells. In Proceedings of the SPE Heavy Oil Conference Canada, Calgary, AB, Canada, 12 June 2012. [Google Scholar]
- Wu, H.; Ge, J.; Yang, L.; Yang, Y.; Zhang, T.; Guo, H. Developments of polymer gel plug for temporary blocking in SAGD wells. J. Pet. Sci. Eng. 2022, 208, 109650. [Google Scholar] [CrossRef]
- Kang, W.; Kang, X.; Lashari, Z.A.; Li, Z.; Zhou, B.; Yang, H.; Sarsenbekuly, B.; Aidarova, S. Progress of polymer gels for conformance control in oilfield. Adv. Colloid Interface Sci. 2021, 289, 102363. [Google Scholar] [CrossRef] [PubMed]
- Ding, B.; Yu, L.; Dong, M.; Gates, I. Study of conformance control in oil sands by oil-in-water emulsion injection using heterogeneous parallel-sandpack models. Fuel 2019, 244, 335–351. [Google Scholar] [CrossRef]
- Zhu, D. A Dual-Directional Flow Control Device for Cyclic Steam Stimulation Applications. SPE Prod. Oper. 2022, 37, 151–158. [Google Scholar] [CrossRef]
- Zhu, D.; Uzcategui, A. Flow Control Devices in Steam Assisted Thermal Applications: A Way to Optimize Both Steam Injection and Fluids Production. In Proceedings of the SPE Western Regional Meeting, Virtual Conference, 10 April 2021. [Google Scholar]
- Abzaletdinov, G.A.; Ajayi, T.; Elnoamany, Y.A.; Durkin, S.; Gupta, I. A fishtail well design for cyclic steam injection—A case study from Yarega heavy oil field in Russia. Energy Sci. Eng. 2019, 7, 2437–2455. [Google Scholar] [CrossRef]
- Brissenden, S.J. Steaming Uphill: Using J-Wells for CSS at Peace River. In Proceedings of the Canadian International Petroleum Conference, Calgary, AB, Canada, 7 June 2005. [Google Scholar]
- Aldood, S.A.H.; Dut, A.R.M.; Ali, A.Y.A.; Abdelnabi, M.M.A. Optimization of Cyclic Steam Stimulation (CSS) Injection Parameters. Ph.D. Thesis, Sudan University of Science & Technology, Khartoum, Sudan, 2018. [Google Scholar]
- Trigos, E.M.; Avila, R.D.; Lozano, M.E.; Jimenez, A.M.; Osorio, C.A. Strategies to increase production in a colombian heavy oil field with cyclic steam stimulation. In Proceedings of the SPE Latin America and Caribbean Heavy and Extra Heavy Oil Conference, Lima, Peru, 19 October 2016. [Google Scholar]
- Bao, Y.; Wang, J.; Gates, I.D. Steam injection gravity drainage as a follow-up process for cyclic steam stimulation. J. Pet. Sci. Eng. 2017, 153, 268–282. [Google Scholar] [CrossRef]
- Dai, C.; Gu, C.; Liu, B.; Lyu, Y.; Yao, X.; He, H.; Fang, J.; Zhao, G. Preparation of low-temperature expandable graphite as a novel steam plugging agent in heavy oil reservoirs. J. Mol. Liq. 2019, 293, 111535. [Google Scholar] [CrossRef]
- Liu, H.; Wang, Y.; Zheng, A.; Sun, X.; Dong, X.; Li, D.; Zhang, Q. Experimental investigation on improving steam sweep efficiency by novel particles in heavy oil reservoirs. J. Pet. Sci. Eng. 2020, 193, 107429. [Google Scholar] [CrossRef]










| Ion | K+ | Na+ | Ca2+ | Mg2+ | Cl− | HCO3− | SO42− | TDS |
|---|---|---|---|---|---|---|---|---|
| Concentration, mg/L | 31.3 | 2615.8 | 37.9 | 11.1 | 3257.0 | 1570.4 | 13.2 | 6751.3 |
| Items | Core Holder 1 | Core Holder 2 | Core Holder 3 |
|---|---|---|---|
| Porosity, % | 34 | 33 | 30.1 |
| Permeability, mD | 1513 | 1028 | 497 |
| Oil saturation, % | 91.1 | 91.1 | 91.1 |
| Pipeline dead volume, mL | 5 | 5.3 | 4.5 |
| Core pore volume, mL | 51.7 | 50.1 | 45.6 |
| Case No. | Kw1, mD | T, °C | Kw2, mD | Plugging Ratio, % | Breakthrough Pressure Gradient, MPa/m |
|---|---|---|---|---|---|
| 1 | 13,524 | 220 | 53.45 | 99.60 | 28.33 |
| 2 | 15,232 | 240 | 62.13 | 99.59 | 28.00 |
| 3 | 16,110 | 260 | 65.56 | 99.59 | 26.66 |
| 4 | 11,154 | 280 | 55.12 | 99.51 | 30.33 |
| 5 | 12,565 | 300 | 57.89 | 99.54 | 27.33 |
Publisher’s Note: MDPI stays neutral with regard to jurisdictional claims in published maps and institutional affiliations. |
© 2022 by the authors. Licensee MDPI, Basel, Switzerland. This article is an open access article distributed under the terms and conditions of the Creative Commons Attribution (CC BY) license (https://creativecommons.org/licenses/by/4.0/).
Share and Cite
Lei, C.; Wu, Y.; Yang, G. Experimental Investigation of Steam Conformance Evolution in Vertical-CSS and Optimization of Profile Improvement Agents. Appl. Sci. 2022, 12, 6989. https://doi.org/10.3390/app12146989
Lei C, Wu Y, Yang G. Experimental Investigation of Steam Conformance Evolution in Vertical-CSS and Optimization of Profile Improvement Agents. Applied Sciences. 2022; 12(14):6989. https://doi.org/10.3390/app12146989
Chicago/Turabian StyleLei, Chunyan, Yongbin Wu, and Guo Yang. 2022. "Experimental Investigation of Steam Conformance Evolution in Vertical-CSS and Optimization of Profile Improvement Agents" Applied Sciences 12, no. 14: 6989. https://doi.org/10.3390/app12146989
APA StyleLei, C., Wu, Y., & Yang, G. (2022). Experimental Investigation of Steam Conformance Evolution in Vertical-CSS and Optimization of Profile Improvement Agents. Applied Sciences, 12(14), 6989. https://doi.org/10.3390/app12146989
