The Ameliorating Effect of Lizhong-Tang on Antibiotic-Associated Imbalance in the Gut Microbiota in Mouse
Abstract
1. Introduction
2. Materials and Methods
2.1. Plant Material
2.2. Isolation of Compounds
2.3. Cell Culture
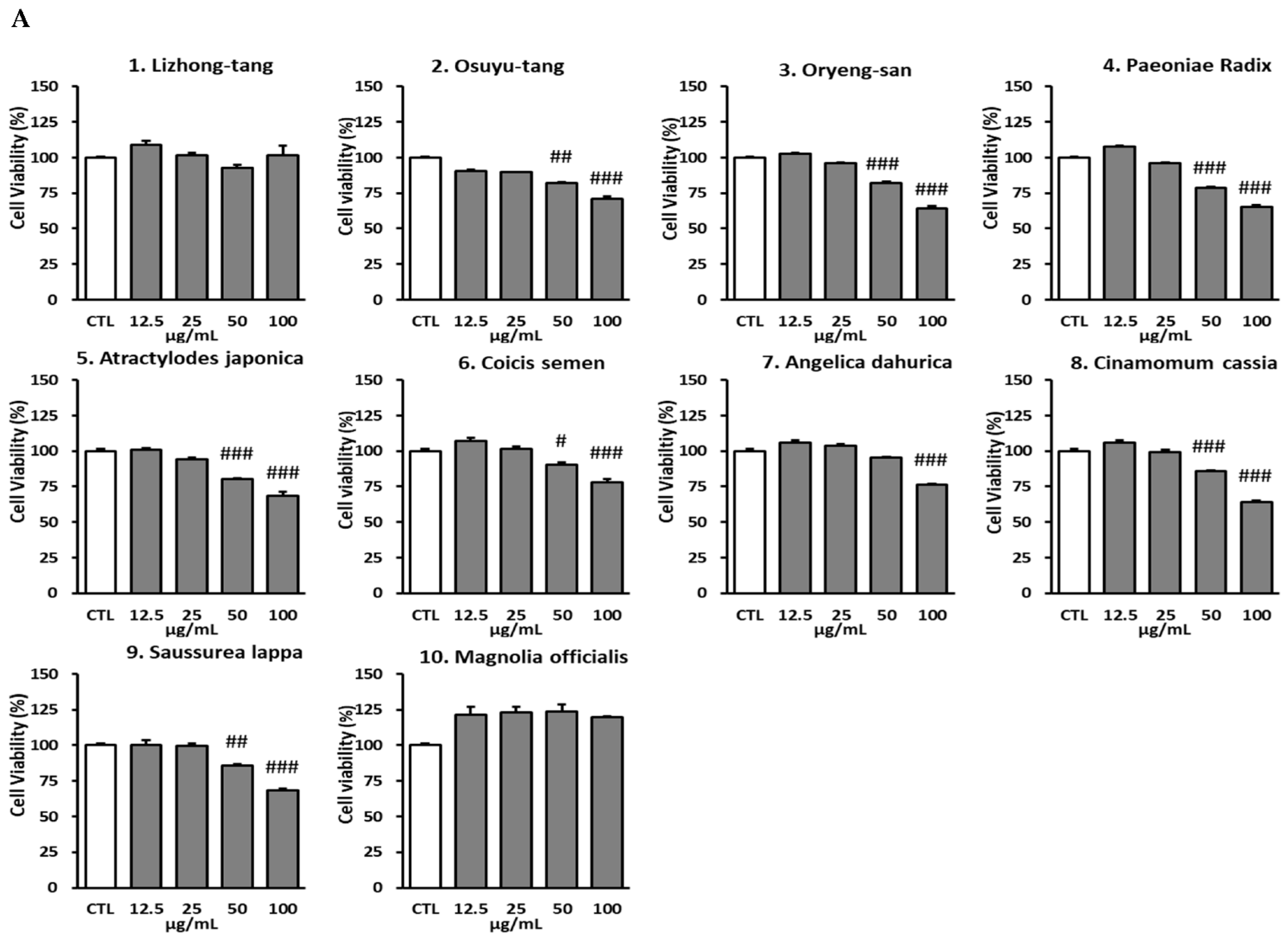
2.4. Cell Viability Assay
2.5. Western Blot Analysis
2.6. In Vivo AAD Model Generation and Treatment Experiments
2.7. Gene Expression Analysis Using Quantitative Real-Time Polymerase Chain Reaction (qRT-PCR)
2.8. Measurement of Nitric Oxide (NO) Produced by RAW 264.7 Cells
2.9. Statistical Analysis
3. Results
3.1. Effect of Herbal Extracts on LPS-Induced NO Production in RAW 264.7 Cells
3.2. Evaluation of the Inhibitory Activity of the Active Compounds of Lizhong-Tang on LPS-Induced NO Production in RAW 264.7 Cells
3.3. Evaluation of Inhibition of LPS-Induced NO Production in RAW 264.7 Cells by a Mixture of Liquiritin and 6-Gingerol
3.4. Effects of Liquiritin and 6-Gingerol on LPS-Induced Expression of Mitogen-Activated Protein Kinase (MAPK) Proteins in RAW 264.7 Mouse Macrophages
3.5. Effect of Lizhong-Tang and M. officinalis Extracts on AAD Mice
3.6. Effect of Lizhong-Tang on the T-RFLP Profiles of Small Intestinal Contents, Based on Operational Taxonomic Units (OTUs)
4. Discussion
5. Conclusions
Author Contributions
Funding
Conflicts of Interest
References
- Peterson, J.; Garges, S.; Giovanni, M.; McInnes, P.; Wang, L.; Schloss, J.A.; Bonazzi, V.; McEwen, J.E.; Wetterstrand, K.A.; Deal, C. The NIH human microbiome project. Genome Res. 2009, 19, 2317–2323. [Google Scholar] [PubMed]
- Ko, J.S. The intestinal microbiota and human disease. Korean J. Gastroenterol. 2013, 62, 85–91. [Google Scholar] [CrossRef][Green Version]
- Tanaka, M.; Nakayama, J. Development of the gut microbiota in infancy and its impact on health in later life. Allergol. Int. 2017, 66, 515–522. [Google Scholar] [CrossRef] [PubMed]
- Koenig, J.E.; Spor, A.; Scalfone, N.; Fricker, A.D.; Stombaugh, J.; Knight, R.; Angenent, L.T.; Ley, R.E. Succession of microbial consortia in the developing infant gut microbiome. Proc. Natl. Acad. Sci. USA 2011, 108, 4578–4585. [Google Scholar] [CrossRef] [PubMed]
- Mueller, N.T.; Whyatt, R.; Hoepner, L.; Oberfield, S.; Dominguez-Bello, M.G.; Widen, E.; Hassoun, A.; Perera, F.; Rundle, A. Prenatal exposure to antibiotics, cesarean section and risk of childhood obesity. Int. J. Obes. 2015, 39, 665–670. [Google Scholar] [CrossRef] [PubMed]
- Macpherson, A.J.; de Agüero, M.G.; Ganal-Vonarburg, S.C. How nutrition and the maternal microbiota shape the neonatal immune system. Nat. Rev. Immunol. 2017, 17, 508–517. [Google Scholar] [CrossRef] [PubMed]
- Lee, E.J.; Kim, H.J.; Lee, S.H.; Chang, G.T. The relationship between children’s temperament and character to functional gastrointestinal disorders. J. Pediatrics Korean Med. 2015, 29, 60–68. [Google Scholar] [CrossRef][Green Version]
- Lutgendorff, F.; Akkermans, L.; Soderholm, J.D. The role of microbiota and probiotics in stress-induced gastrointestinal damage. Curr. Mol. Med. 2008, 8, 282–298. [Google Scholar] [CrossRef]
- Kardas, P.; Devine, S.; Golembesky, A.; Roberts, C. A systematic review and meta-analysis of misuse of antibiotic therapies in the community. Int. J. Antimicrob. Agents 2005, 26, 106–113. [Google Scholar] [CrossRef]
- McFarland, L.V.; Beneda, H.W.; Clarridge, J.E.; Raugi, G.J. Implications of the changing face of Clostridium difficile disease for health care practitioners. Am. J. Infect. Control. 2007, 35, 237–253. [Google Scholar] [CrossRef]
- Spellberg, B.; Guidos, R.; Gilbert, D.; Bradley, J.; Boucher, H.W.; Scheld, W.M.; Bartlett, J.G.; Edwards, J., Jr.; Infectious Diseases Society of America. The epidemic of antibiotic-resistant infections: A call to action for the medical community from the Infectious Diseases Society of America. Clin. Infect. Dis. 2008, 46, 155–164. [Google Scholar] [CrossRef]
- OECD. OECD Health Data. 2021. Available online: https://stats.oecd.org/Index.aspx?ThemeTreeId=9 (accessed on 1 March 2021).
- Mueller, N.T.; Bakacs, E.; Combellick, J.; Grigoryan, Z.; Dominguez-Bello, M.G. The infant microbiome development: Mom matters. Trends Mol. Med. 2015, 21, 109–117. [Google Scholar] [CrossRef] [PubMed]
- An, X.; Bao, Q.; Di, S.; Zhao, Y.; Zhao, S.; Zhang, H.; Lian, F.; Tong, X. The interaction between the gut microbiota and herbal medicines. Biomed. Pharmacother. 2019, 118, 109252. [Google Scholar] [CrossRef] [PubMed]
- Francino, M.P. Early development of the gut microbiota and immune health. Pathogens 2014, 3, 769–790. [Google Scholar] [CrossRef] [PubMed]
- Bäckhed, F.; Ding, H.; Wang, T.; Hooper, L.V.; Koh, G.Y.; Nagy, A.; Semenkovich, C.F.; Gordon, J.I. The gut microbiota as an environmental factor that regulates fat storage. Proc. Natl. Acad. Sci. USA 2004, 101, 15718–15723. [Google Scholar] [CrossRef] [PubMed]
- Liu, C.; Zhang, C.; Lv, W.; Chao, L.; Li, Z.; Shi, D.; Guo, S. Structural modulation of gut microbiota during alleviation of suckling piglets diarrhoea with herbal formula. Evid.-Based Complementary Altern. Med. 2017, 2017, 8358151. [Google Scholar] [CrossRef]
- Xie, G.; Wu, Y.; Zheng, T.; Shen, K.; Tan, Z. Effect of Debaryomyces hansenii combined with Qiweibaizhu powder extract on the gut microbiota of antibiotic-treated mice with diarrhea. 3 Biotech 2020, 10, 127. [Google Scholar] [CrossRef]
- Qu, Q.; Yang, F.; Zhao, C.; Liu, X.; Yang, P.; Li, Z.; Han, L.; Shi, X. Effects of fermented ginseng on the gut microbiota and immunity of rats with antibiotic-associated diarrhea. J. Ethnopharmacol. 2021, 267, 113594. [Google Scholar] [CrossRef]
- Dethlefsen, L.; Relman, D.A. Incomplete recovery and individualized responses of the human distal gut microbiota to repeated antibiotic perturbation. Proc. Natl. Acad. Sci. USA 2011, 108, 4554–4561. [Google Scholar] [CrossRef]
- Lee, J.H.; Oh, J. A Comparative Analysis about Various Editions of Donguibogam. J. Korean Med. Hist. 2015, 23, 235–243. [Google Scholar]
- Seo, C.-S.; Kim, O.S.; Kim, Y.; Shin, H.-K. Quantification Analysis and Antioxidant Activity of Leejung-tang. Herb. Formula Sci. 2013, 21, 177–185. [Google Scholar] [CrossRef][Green Version]
- Clemente, J.C.; Ursell, L.K.; Parfrey, L.W.; Knight, R. The impact of the gut microbiota on human health: An integrative view. Cell 2012, 148, 1258–1270. [Google Scholar] [CrossRef] [PubMed]
- Ahn, H.R.; Song, J.H.; Lee, H.L. A Review of the Experimental Studies on the Modulatory Effect Herbal Medicine on Gut Microbiota. J. Pediatrics Korean Med. 2020, 34, 43–58. [Google Scholar]
- Ryu, D.; Kim, K. Current trends and future directions of gut microbiota and their-derived metabolite study in the pediatric perspective of korean medicine. J. Pediatrics Korean Med. 2019, 33, 34–45. [Google Scholar]
- Han, L.; Li, T.; Du, M.; Chang, R.; Zhan, B.; Mao, X. Beneficial effects of potentilla discolor bunge water extract on inflammatory cytokines release and gut microbiota in high-fat diet and streptozotocin-induced type 2 diabetic mice. Nutrients 2019, 11, 670. [Google Scholar] [CrossRef]
- Cao, Y.; Yao, G.; Sheng, Y.; Yang, L.; Wang, Z.; Yang, Z.; Zhuang, P.; Zhang, Y. JinQi Jiangtang tablet regulates gut microbiota and improve insulin sensitivity in type 2 diabetes mice. J. Diabetes Res. 2019, 2019, 1872134. [Google Scholar] [CrossRef]
- Chen, M.; Liao, Z.; Lu, B.; Wang, M.; Lin, L.; Zhang, S.; Li, Y.; Liu, D.; Liao, Q.; Xie, Z. Huang-Lian-Jie-Du-decoction ameliorates hyperglycemia and insulin resistant in association with gut microbiota modulation. Front. Microbiol. 2018, 9, 2380. [Google Scholar] [CrossRef]
- Gu, W.; Yang, M.; Bi, Q.; Zeng, L.-X.; Wang, X.; Dong, J.-C.; Li, F.-J.; Yang, X.-X.; Li, J.-P.; Yu, J. Water extract from processed Polygonum multiflorum modulate gut microbiota and glucose metabolism on insulin resistant rats. BMC Complementary Med. Ther. 2020, 20, 107. [Google Scholar] [CrossRef]
- Gong, S.; Ye, T.; Wang, M.; Wang, M.; Li, Y.; Ma, L.; Yang, Y.; Wang, Y.; Zhao, X.; Liu, L. Traditional Chinese medicine formula Kang Shuai Lao Pian improves obesity, gut dysbiosis, and fecal metabolic disorders in high-fat diet-fed mice. Front. Pharmacol. 2020, 11, 297. [Google Scholar] [CrossRef]
- Zhang, C.; Liu, J.; He, X.; Sheng, Y.; Yang, C.; Li, H.; Xu, J.; Xu, W.; Huang, K. Caulis spatholobi ameliorates obesity through activating brown adipose tissue and modulating the composition of gut microbiota. Int. J. Mol. Sci. 2019, 20, 5150. [Google Scholar] [CrossRef]
- Park, J.-H.; Kim, H.-J.; Lee, M.-J. The role of gut microbiota in obesity and utilization of fermented herbal extracts. J. Korean Med. Obes. Res. 2009, 9, 1–14. [Google Scholar]
- Hussain, A.; Yadav, M.K.; Bose, S.; Wang, J.-H.; Lim, D.; Song, Y.-K.; Ko, S.-G.; Kim, H. Daesiho-Tang is an effective herbal formulation in attenuation of obesity in mice through alteration of gene expression and modulation of intestinal microbiota. PLoS ONE 2016, 11, e0165483. [Google Scholar] [CrossRef] [PubMed]
- Chen, Y.; Xiao, S.; Gong, Z.; Zhu, X.; Yang, Q.; Li, Y.; Gao, S.; Dong, Y.; Shi, Z.; Wang, Y. Wuji Wan formula ameliorates diarrhea and disordered colonic motility in post-inflammation irritable bowel syndrome rats by modulating the gut microbiota. Front. Microbiol. 2017, 8, 2307. [Google Scholar] [CrossRef] [PubMed]
- Li, J.; Cui, H.; Cai, Y.; Lin, J.; Song, X.; Zhou, Z.; Xiong, W.; Zhou, H.; Bian, Y.; Wang, L. Tong-Xie-Yao-Fang regulates 5-HT level in diarrhea predominant irritable bowel syndrome through gut microbiota modulation. Front. Pharmacol. 2018, 9, 1110. [Google Scholar] [CrossRef] [PubMed]
- Zhang, Z.; Cao, H.; Shen, P.; Liu, J.; Cao, Y.; Zhang, N. Ping weisan alleviates chronic colitis in mice by regulating intestinal microbiota composition. J. Ethnopharmacol. 2020, 255, 112715. [Google Scholar] [CrossRef] [PubMed]
- Wu, Z.-c.; Zhao, Z.-l.; Deng, J.-p.; Huang, J.-t.; Wang, Y.-f.; Wang, Z.-p. Sanhuang Shu’ai decoction alleviates DSS-induced ulcerative colitis via regulation of gut microbiota, inflammatory mediators and cytokines. Biomed. Pharmacother. 2020, 125, 109934. [Google Scholar] [CrossRef]
- Sun, Y.-F.; Zhang, X.; Wang, X.-Y.; Jia, W. Effect of long-term intake of ginseng extracts on gut microbiota in rats. China J. Chin. Mater. Med. 2018, 43, 3927–3932. [Google Scholar]
- Isolauri, E.; Salminen, S. Probiotics, gut inflammation and barrier function. Gastroenterol. Clin. 2005, 34, 437–450. [Google Scholar] [CrossRef]
- Malakoff, D. The rise of the mouse, biomedicine’s model mammal. Science 2000, 288, 248–253. [Google Scholar] [CrossRef]
- Schellinck, H.M.; Cyr, D.P.; Brown, R.E. How many ways can mouse behavioral experiments go wrong? Confounding variables in mouse models of neurodegenerative diseases and how to control them. In Advances in the Study of Behavior; Elsevier: Amsterdam, The Netherlands, 2010; Volume 41, pp. 255–366. [Google Scholar]
- McFarland, L.V. Normal flora: Diversity and functions. Microb. Ecol. Health Dis. 2000, 12, 193–207. [Google Scholar]
- Lowenstein, C.J.; Dinerman, J.L.; Snyder, S.H. Nitric oxide: A physiologic messenger. Ann. Intern. Med. 1994, 120, 227–237. [Google Scholar] [CrossRef] [PubMed]
- Moncada, S. Nitric oxide: Physiology, pathophysiology and pharmacology. Pharmacol. Rev. 1991, 43, 109–142. [Google Scholar] [PubMed]
- Guha, M.; Mackman, N. LPS induction of gene expression in human monocytes. Cell. Signal. 2001, 13, 85–94. [Google Scholar] [CrossRef]
- Ki, S.H.; Choi, M.J.; Lee, C.H.; Kim, S.G. Gα12 specifically regulates COX-2 induction by sphingosine 1-phosphate: Role for JNK-dependent ubiquitination and degradation of IκBα. J. Biol. Chem. 2007, 282, 1938–1947. [Google Scholar] [CrossRef]
- Dong, C.; Davis, R.J.; Flavell, R.A. MAP kinases in the immune response. Annu. Rev. Immunol. 2002, 20, 55–72. [Google Scholar] [CrossRef]
- Gurfein, B.T.; Stamm, A.W.; Bacchetti, P.; Dallman, M.F.; Nadkarni, N.A.; Milush, J.M.; Touma, C.; Palme, R.; Di Borgo, C.P.; Fromentin, G. The calm mouse: An animal model of stress reduction. Mol. Med. 2012, 18, 606–617. [Google Scholar] [CrossRef]
- Hooper, L.V.; Macpherson, A.J. Immune adaptations that maintain homeostasis with the intestinal microbiota. Nat. Rev. Immunol. 2010, 10, 159–169. [Google Scholar] [CrossRef]
- Korpela, K.; Salonen, A.; Virta, L.J.; Kekkonen, R.A.; Forslund, K.; Bork, P.; De Vos, W.M. Intestinal microbiome is related to lifetime antibiotic use in Finnish pre-school children. Nat. Commun. 2016, 7, 10410. [Google Scholar] [CrossRef]
- Isanaka, S.; Guindo, O.; Langendorf, C.; Matar Seck, A.; Plikaytis, B.D.; Sayinzoga-Makombe, N.; McNeal, M.M.; Meyer, N.; Adehossi, E.; Djibo, A. Efficacy of a low-cost, heat-stable oral rotavirus vaccine in Niger. N. Engl. J. Med. 2017, 376, 1121–1130. [Google Scholar] [CrossRef]









| Primer Sequence | Product Size (bp) | 
|---|---|
| 1 Forward: 5′-CCTGGCTCAGGATGAACG-3′ | approximately 1500 | 
| 1 Reverse: 5′-GGTTACCTTGTTACGACTT-3′ | |
| 2 Forward: 5′-CCTTAAACAGGCCCACTTGA-3′ | approximately 1400 | 
| 2 Reverse: 5′-CCTTCCACAATGCCAAAGTT-3′ | GAPDH | 
| Change of Body Weight (%) | ||||
|---|---|---|---|---|
| Group | Normal | Control | Magnolia Officinalis | Lizhong-Tang | 
| 1 day | 100 ± 2.31 | 100 ± 3.57 | 100 ± 3.31 | 100 ± 3.24 | 
| 2 day | 100.3 ± 2.46 | 98.86 ± 4.06 | 99.27 ± 3.4 | 98.79 ± 4.21 | 
| 3 day | 100.5 ± 2.4 | 97.28 ± 5.07 | 96.11 ± 4.29 | 99.56 ± 5.21 | 
| 4 day | 100.8 ± 3.26 | 95.7 ± 4.1 | 97.3 ± 3.52 | 100.5 ± 2.74 | 
| 5 day | 101 ± 3.3 | 95 ± 2.23 | 96.5 ± 4.0 | 100.2 ± 3.72 | 
| 6 day | 101.3 ± 3.54 | 92.9 ± 4.14 | 94.34 ± 4.14 | 100.5 ± 3.67 | 
| 7 day | 101.6 ± 2.75 | 91.45 ± 2.45 | 93.2 ± 4.3 | 100.7 ± 2.62 | 
| Water intake(mL) | ||||
| group | Normal | Control | Magnolia officinalis | Lizhong-tang | 
| 1 day | 22.2 ± 5.23 | 22.8 ± 2.54 | 22.2 ± 2.1 | 23.2 ± 2.14 | 
| 2 day | 22.3 ± 4.65 | 22.6 ± 3.24 | 22 ± 2.54 | 22.9 ± 3.71 | 
| 3 day | 22.3 ± 3.34 | 22.2 ± 4.27 | 21.3 ± 4.28 | 23.1 ± 4.32 | 
| 4 day | 22.4 ± 2.86 | 21.8 ± 3.13 | 21.6 ± 4.12 | 23.3 ± 3.6 | 
| 5 day | 22.5 ± 4.33 | 21.5 ± 4.53 | 21.2 ± 3.24 | 23.3 ± 2.37 | 
| 6 day | 22.5 ± 5.74 | 21.2 ± 5.21 | 20.9 ± 2.64 | 22.5 ± 4.19 | 
| 7 day | 22.6 ± 2.67 | 20.9 ± 4.16 | 20.7 ± 3.73 | 23.4 ± 3.46 | 
| Diarrhea status score | ||||
| group | Normal | Control | Magnolia officinalis | Lizhong-tang | 
| 1 day | 0 | 10.54 ± 1.2 | 9.81 ± 1.1 | 9.95 ± 1.2 | 
| 2 day | 0 | 7.84 ± 1.4 | 6.91 ± 1.2 | 5.6 ± 1.5 | 
| 3 day | 0 | 7.5 ± 1.5 | 6.51 ± 1.8 | 5.5 ± 1.2 | 
| 4 day | 0 | 6.84 ± 1.2 | 6.28 ± 1.5 | 5.24 ± 1.5 | 
| 5 day | 0 | 5.21 ± 2.2 | 5.2 ± 1.2 | 4.53 ± 1.2 | 
| 6 day | 0 | 5.2 ± 1.2 | 5.0 ± 1.2 | 4.12 ± 1.4 | 
| 7 day | 0 | 4.8 ± 2.2 | 4.5 ± 1.5 | 3.2 ± 1.2 | 
| OTU | Predicted Bacteria from T-RFLP | |
|---|---|---|
| 39 | ND | |
| 45 | ND | |
| 101 | Prevotella ruminicola Alistipes finegoldii Bacteroides fragilis Bacteroides helcogenes Bacteroides salanitronis | Bacteroides thetaiotaomicron Bacteroides vulgatus Odoribacter splanchnicus Parabacteroides distasonis Prevotella ruminicola | 
| 133 | Bifidobacterium bifidum Bifidobacterium longum Bacillus anthracis Bacillus cereus Bacillus thuringiensis | Bifidobacterium breve Bacillus subtilis Bifidobacterium bifidum Listeria innocua | 
| 147 | Eubacterium eligen Staphylococcus aureus | |
| 164 | Lactobacillus acidophilus Lactobacillus crispatus Finegoldia magna Lactobacillus amylovorus | Lactobacillus delbrueckii Lactobacillus acidophilus Lactobacillus crispatus Lactobacillus helveticus | 
| 183 | ND | |
| 195 | Ruminococcus obeum Atopobium parvulum | Atopobium parvulum | 
| 208 | Clostridium saccharolyticum, Roseburia hominis | Clostridiales genomo sp. BVAB3 Clostridium saccharolyticum | 
| 216 | Eubacterium eligen Butyrivibrio proteoclasticus Eubacterium eligens | Eubacterium limosum Eubacterium rectale | 
| 224 | ND | |
| 269 | Ruminococcus albus | |
| 295 | Selenomonas ruminantium Megasphaera elsdenii Veillonella parvula | Acidaminococcus fermentans Acidaminococcus intestini | 
| 316 | Oenococcus oeni | |
| 399 | ND | |
| 458 | ND | |
| 475 | Lactobacillus casei | |
| 485 | Prevotella buccalis | |
| 495 | ND | |
| 522 | ND | |
| 548 | Lactococcus garvieae Lactococcus lactis Leuconostoc citreum Leuconostoc mesenteroides Streptococcus sanguinis Streptococcus oralis Streptococcus macedonicus | Streptococcus mitis Streptococcus parasanguinis Streptococcus salivarius Streptococcus agalactiae Streptococcus infantarius Streptococcus suis Streptococcus thermophilus | 
| 558 | Enterococcus faecalis Lactobacillus salivarius Enterococcus casseliflavus | Enterococcus sp. 7L76 | 
| Publisher’s Note: MDPI stays neutral with regard to jurisdictional claims in published maps and institutional affiliations. | 
© 2022 by the authors. Licensee MDPI, Basel, Switzerland. This article is an open access article distributed under the terms and conditions of the Creative Commons Attribution (CC BY) license (https://creativecommons.org/licenses/by/4.0/).
Share and Cite
Ahn, H.-R.; Park, D.H.; Shin, M.-S.; Nguyen, Q.N.; Park, J.Y.; Kim, D.-W.; Kang, K.S.; Lee, H.L. The Ameliorating Effect of Lizhong-Tang on Antibiotic-Associated Imbalance in the Gut Microbiota in Mouse. Appl. Sci. 2022, 12, 6943. https://doi.org/10.3390/app12146943
Ahn H-R, Park DH, Shin M-S, Nguyen QN, Park JY, Kim D-W, Kang KS, Lee HL. The Ameliorating Effect of Lizhong-Tang on Antibiotic-Associated Imbalance in the Gut Microbiota in Mouse. Applied Sciences. 2022; 12(14):6943. https://doi.org/10.3390/app12146943
Chicago/Turabian StyleAhn, Hye-Ri, Do Hwi Park, Myoung-Sook Shin, Quynh Nhu Nguyen, Jun Yeon Park, Dong-Wook Kim, Ki Sung Kang, and Hye Lim Lee. 2022. "The Ameliorating Effect of Lizhong-Tang on Antibiotic-Associated Imbalance in the Gut Microbiota in Mouse" Applied Sciences 12, no. 14: 6943. https://doi.org/10.3390/app12146943
APA StyleAhn, H.-R., Park, D. H., Shin, M.-S., Nguyen, Q. N., Park, J. Y., Kim, D.-W., Kang, K. S., & Lee, H. L. (2022). The Ameliorating Effect of Lizhong-Tang on Antibiotic-Associated Imbalance in the Gut Microbiota in Mouse. Applied Sciences, 12(14), 6943. https://doi.org/10.3390/app12146943
 
         
                                                



 
       